Seminatural Grasslands: An Emblematic Challenge for Nature Conservation in Protected Areas
Abstract
1. Introduction
2. Materials and Methods
2.1. Study Area
2.2. Botanical Investigation
2.3. Pastoral Value and Biomass Analyses
2.4. The Development of a GEE App
2.5. Statistical Analyses
3. Results
3.1. Vegetation Diversity of the Investigated Grasslands
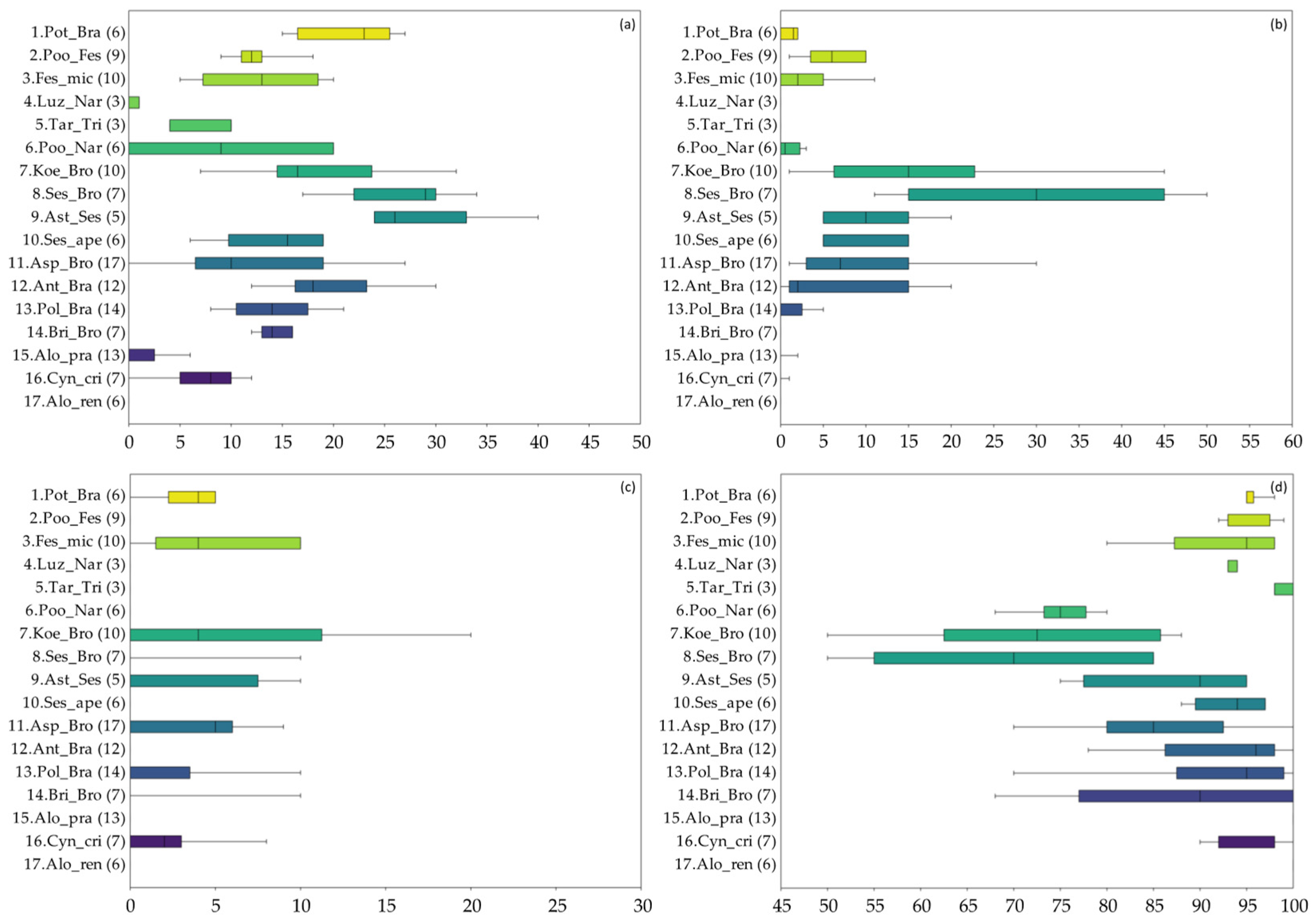
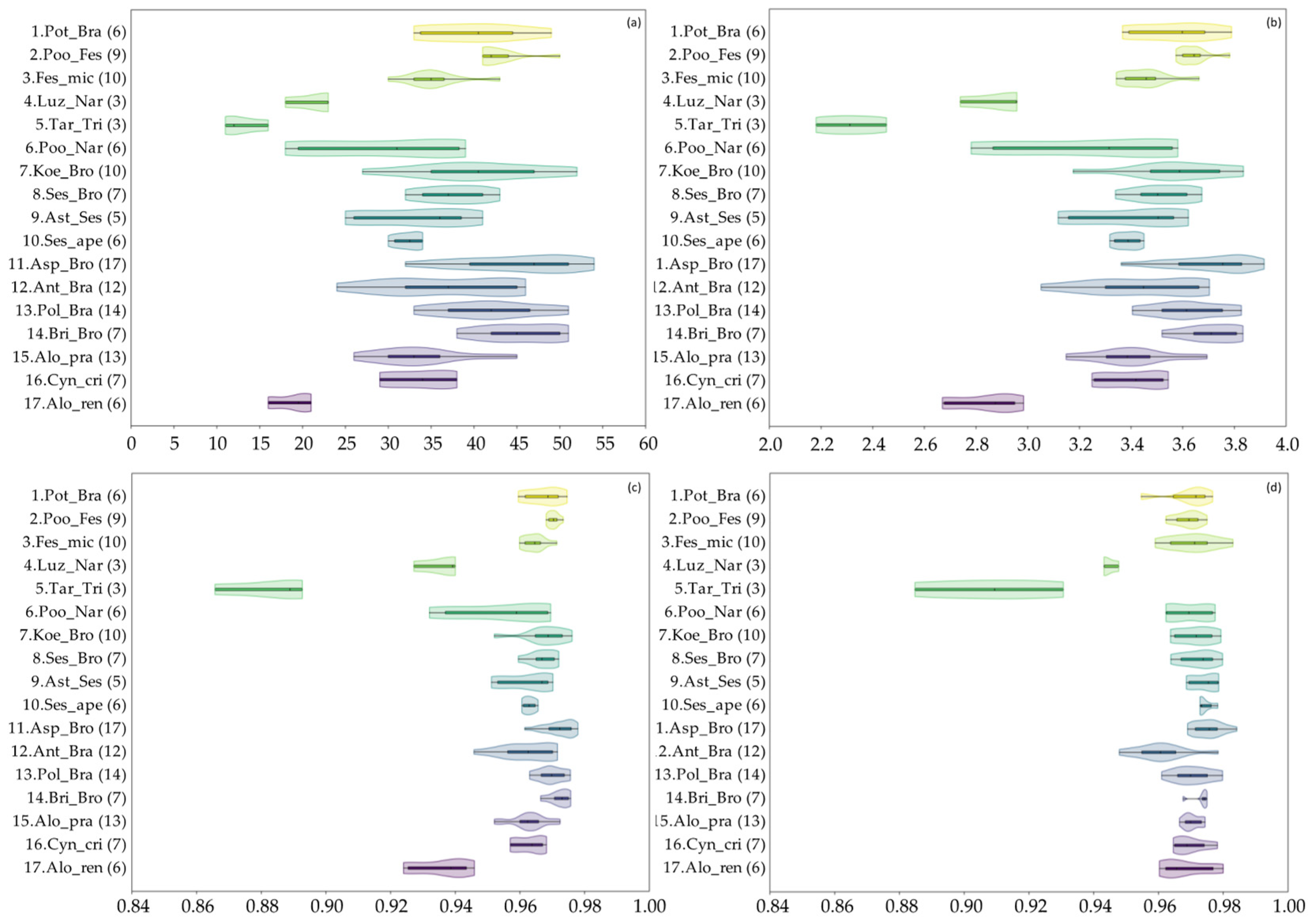
3.2. Productivity and Nutritional Characteristics of the Grasslands
3.3. WebGIS-Based Tool for the Informed and Sustainable Use of Grasslands
4. Discussion
5. Final Remarks
Supplementary Materials
Author Contributions
Funding
Data Availability Statement
Conflicts of Interest
References
- Hejcman, M.; Hejcmanová, P.; Pavlů, V.; Beneš, J. Origin and History of Grasslands in Central Europe—A Review. Grass Forage Sci. 2013, 68, 345–363. [Google Scholar] [CrossRef]
- Tasser, E.; Tappeiner, U. Impact of Land Use Changes on Mountain Vegetation. Appl. Veg. Sci. 2002, 5, 173–184. [Google Scholar] [CrossRef]
- Navarro, L.M.; Proença, V.; Kaplan, J.O.; Pereira, H.M. Maintaining Disturbance-Dependent Habitats. In Rewilding European Landscapes; Pereira, H.M., Navarro, L.M., Eds.; Springer International Publishing: Cham, Switzerland, 2015; pp. 143–167. [Google Scholar] [CrossRef]
- Valkó, O.; Venn, S.; Żmihorski, M.; Biurrun, I.; Labadessa, R.; Loos, J. The Challenge of Abandonment for the Sustainable Management of Palaearctic Natural and Semi-Natural Grasslands. Hacquetia 2018, 17, 5–16. [Google Scholar] [CrossRef]
- Karlík, P.; Poschlod, P. History or Abiotic Filter: Which Is More Important in Determining the Species Composition of Calcareous Grasslands? Preslia 2009, 81, 321–340. [Google Scholar]
- Klimeš, L.; Dančak, M.; Hájek, M.; Jongepierová, I.; Kučera, T. Scale-dependent Biases in Species Counts in a Grassland. J. Veg. Sci. 2001, 12, 699–704. [Google Scholar] [CrossRef]
- Wilson, J.B.; Peet, R.K.; Dengler, J.; Pärtel, M. Plant Species Richness: The World Records. J. Veg. Sci. 2012, 23, 796–802. [Google Scholar] [CrossRef]
- Habel, J.C.; Dengler, J.; Janišová, M.; Török, P.; Wellstein, C.; Wiezik, M. European Grassland Ecosystems: Threatened Hotspots of Biodiversity. Biodivers. Conserv. 2013, 22, 2131–2138. [Google Scholar] [CrossRef]
- Dengler, J.; Biurrun, I.; Boch, S.; Dembicz, I.; Török, P. Grasslands of the Palaearctic Biogeographic Realm: Introduction and Synthesis. In Encyclopedia of the World’s Biomes; Elsevier: Amsterdam, The Netherlands, 2020; pp. 617–637. [Google Scholar] [CrossRef]
- Díaz, S.; Pascual, U.; Stenseke, M.; Martín-López, B.; Watson, R.T.; Molnár, Z.; Hill, R.; Chan, K.M.A.; Baste, I.A.; Brauman, K.A.; et al. Assessing Nature’s Contributions to People. Science 2018, 359, 270–272. [Google Scholar] [CrossRef] [PubMed]
- Landucci, F.; Panella, L.; Lucarini, D.; Gigante, D.; Donnini, D.; Kell, S.; Maxted, N.; Venanzoni, R.; Negri, V. A Prioritized Inventory of Crop Wild Relatives and Wild Harvested Plants of Italy. Crop Sci. 2014, 54, 1628–1644. [Google Scholar] [CrossRef]
- Tscharntke, T.; Klein, A.M.; Kruess, A.; Steffan-Dewenter, I.; Thies, C. Landscape Perspectives on Agricultural Intensification and Biodiversity—Ecosystem Service Management. Ecol. Lett. 2005, 8, 857–874. [Google Scholar] [CrossRef]
- Zulka, K.P.; Abensperg-Traun, M.; Milasowszky, N.; Bieringer, G.; Gereben-Krenn, B.-A.; Holzinger, W.; Hölzler, G.; Rabitsch, W.; Reischütz, A.; Querner, P.; et al. Species Richness in Dry Grassland Patches of Eastern Austria: A Multi-Taxon Study on the Role of Local, Landscape and Habitat Quality Variables. Agric. Ecosyst. Environ. 2014, 182, 25–36. [Google Scholar] [CrossRef]
- Carboni, M.; Dengler, J.; Mantilla-Contreras, J.; Venn, S.; Török, P. Conservation Value, Management and Restoration of Europe’S Semi-Natural Open Landscapes. Hacquetia 2015, 14, 5–17. [Google Scholar] [CrossRef]
- Bengtsson, J.; Bullock, J.M.; Egoh, B.; Everson, C.; Everson, T.; O’Connor, T.; O’Farrell, P.J.; Smith, H.G.; Lindborg, R. Grasslands—More Important for Ecosystem Services than You Might Think. Ecosphere 2019, 10, e02582. [Google Scholar] [CrossRef]
- Sollenberger, L.E.; Kohmann, M.M.; Dubeux, J.C.B.; Silveira, M.L. Grassland Management Affects Delivery of Regulating and Supporting Ecosystem Services. Crop Sci. 2019, 59, 441–459. [Google Scholar] [CrossRef]
- Isbell, F.; Calcagno, V.; Hector, A.; Connolly, J.; Harpole, W.S.; Reich, P.B.; Scherer-Lorenzen, M.; Schmid, B.; Tilman, D.; van Ruijven, J.; et al. High Plant Diversity Is Needed to Maintain Ecosystem Services. Nature 2011, 477, 199–202. [Google Scholar] [CrossRef] [PubMed]
- Janssen, J.A.M.; Rodwell, J.S.; García Criado, M.; Gubbay, S.; Haynes, T.; Nieto, A.; Sanders, N.; Landucci, F.; Loidi, J.; Ssymank, A.; et al. European Red List of Habitats. Part 2. Terrestrial and Freshwater Habitats; Publications Office of the European Union: Luxembourg, 2016. [Google Scholar]
- Gigante, D.; Acosta, A.T.R.; Agrillo, E.; Armiraglio, S.; Assini, S.; Attorre, F.; Bagella, S.; Buffa, G.; Casella, L.; Giancola, C.; et al. Habitat Conservation in Italy: The State of the Art in the Light of the First European Red List of Terrestrial and Freshwater Habitats. Rend. Fis. Acc. Lincei 2018, 29, 251–265. [Google Scholar] [CrossRef]
- Török, P.; Ambarlı, D.; Kamp, J.; Wesche, K.; Dengler, J. Step(Pe) up! Raising the Profile of the Palaearctic Natural Grasslands. Biodivers. Conserv. 2016, 25, 2187–2195. [Google Scholar] [CrossRef]
- EIONET Portal. Habitat Assessments at EU Biogeographical Level, Grasslands, Overall Assessment, 2013–2018. 2019. Available online: https://nature-art17.eionet.europa.eu/article17/habitat/progress/?period=5&group=Grasslands&conclusion=overall+assessment (accessed on 20 December 2023).
- Baur, B.; Cremene, C.; Groza, G.; Rakosy, L.; Schileyko, A.A.; Baur, A.; Stoll, P.; Erhardt, A. Effects of Abandonment of Subalpine Hay Meadows on Plant and Invertebrate Diversity in Transylvania, Romania. Biol. Conserv. 2006, 132, 261–273. [Google Scholar] [CrossRef]
- Díaz, S.; Lavorel, S.; McIntyre, S.; Falczuk, V.; Casanoves, F.; Milchunas, D.G.; Skarpe, C.; Rusch, G.; Sternberg, M.; Noy-Meir, I.; et al. Plant Trait Responses to Grazing—A Global Synthesis. Glob. Chang. Biol. 2007, 13, 313–341. [Google Scholar] [CrossRef]
- Cramer, V.; Hobbs, R.; Standish, R. What’s New about Old Fields? Land Abandonment and Ecosystem Assembly. Trends Ecol. Evol. 2008, 23, 104–112. [Google Scholar] [CrossRef]
- Halada, L.; Ružičková, H.; David, S.; Halabuk, A. Semi-Natural Grasslands under Impact of Changing Land Use during Last 30 Years: Trollio-Cirsietum Community in the Liptov Region (N Slovakia). Community Ecol. 2008, 9 (Suppl. 1), 115–123. [Google Scholar] [CrossRef]
- Vitasović Kosić, I.; Tardella, F.M.; Ruščić, M.; Catorci, A. Assessment of Floristic Diversity, Functional Composition and Management Strategy of North Adriatic Pastoral Landscape (Croatia). Pol. J. Ecol. 2011, 59, 765–776. [Google Scholar]
- Plieninger, T.; Hui, C.; Gaertner, M.; Huntsinger, L. The Impact of Land Abandonment on Species Richness and Abundance in the Mediterranean Basin: A Meta-Analysis. PLoS ONE 2014, 9, e98355. [Google Scholar] [CrossRef]
- Viciani, D.; Dell’Olmo, L.; Gabellini, A.; Gigante, D.; Lastrucci, L. Landscape Dynamics of Mediterranean Montane Grasslands over 60 Years and Implications for Habitats Conservation. A Case Study in the Northern Apennines (Italy). Landsc. Res. 2018, 43, 952–964. [Google Scholar] [CrossRef]
- Olmeda, C.; Šefferová, V.; Underwood, E.; Millan, L.; Gil, T.; Naumann, S. EU Action Plan to Maintain and Restore to Favourable Conservation Status the Habitat Type 6210 Semi-Natural Dry Grasslands and Scrubland Facies on Calcareous Substrates (Festuco-Brometalia) (*important Orchid Sites). 2019. Available online: https://www.ecologic.eu/17536 (accessed on 25 January 2024).
- van den Pol-van Dasselaar, A.; Bastiaansen-Aantjes, L.; Bogue, F.; O’Donovan, M.; Huyghe, C. Grassland Use in Europe: A Syllabus for Young Farmers; Éditions Quae: Versailles, France, 2019. [Google Scholar]
- Reinermann, S.; Asam, S.; Kuenzer, C. Remote Sensing of Grassland Production and Management—A Review. Remote Sens. 2020, 12, 1949. [Google Scholar] [CrossRef]
- Zarzycki, J.; Korzeniak, J.; Perzanowska, J. Impact of Land Use Changes on the Diversity and Conservation Status of the Vegetation of Mountain Grasslands (Polish Carpathians). Land 2022, 11, 252. [Google Scholar] [CrossRef]
- Fantinato, E.; Lorenzato, L.; Buffa, G. Patterns of Floral Resources and Pollination Interactions along Dry Grassland Succession. Plant Sociol. 2023, 60, 93–103. [Google Scholar] [CrossRef]
- Ceauşu, S.; Carver, S.; Verburg, P.H.; Kuechly, H.U.; Hölker, F.; Brotons, L.; Pereira, H.M. European Wilderness in a Time of Farmland Abandonment. In Rewilding European Landscapes; Pereira, H.M., Navarro, L.M., Eds.; Springer International Publishing: Cham, Switzerland, 2015; pp. 25–46. [Google Scholar] [CrossRef]
- Poschlod, P.; WallisDeVries, M.F. The Historical and Socioeconomic Perspective of Calcareous Grasslands—Lessons from the Distant and Recent Past. Biol. Conserv. 2002, 104, 361–376. [Google Scholar] [CrossRef]
- Pykälä, J.; Luoto, M.; Heikkinen, R.K.; Kontula, T. Plant Species Richness and Persistence of Rare Plants in Abandoned Semi-Natural Grasslands in Northern Europe. Basic Appl. Ecol. 2005, 6, 25–33. [Google Scholar] [CrossRef]
- Klimek, S.; Gen, R.; Kemmermann, A.; Hofmann, M.; Isselstein, J. Plant Species Richness and Composition in Managed Grasslands: The Relative Importance of Field Management and Environmental Factors. Biol. Conserv. 2007, 134, 559–570. [Google Scholar] [CrossRef]
- Schrautzer, J.; Jansen, D.; Breuer, M.; Nelle, O. Succession and Management of Calcareous Dry Grasslands in the Northern Franconian Jura, Germany. Tüxenia 2009, 29, 339–351. [Google Scholar]
- Tardella, F.M.; Catorci, A. Context-Dependent Effects of Abandonment vs. Grazing on Functional Composition and Diversity of Sub-Mediterranean Grasslands. Community Ecol. 2015, 16, 254–266. [Google Scholar] [CrossRef][Green Version]
- Vitasović Kosić, I.; Tardella, F.M.; Grbeša, D.; Škvorc, Ž.; Catorci, A. Effects of Abandonment on the Functional Composition and Forage Nutritive Value of a North Adriatic Dry Grassland Community (Ćićarija, Croatia). Appl. Ecol. Environ. Res. 2014, 12, 285–299. [Google Scholar] [CrossRef]
- Brooks, T.M.; Mittermeier, R.A.; Da Fonseca, G.A.B.; Gerlach, J.; Hoffmann, M.; Lamoreux, J.F.; Mittermeier, C.G.; Pilgrim, J.D.; Rodrigues, A.S.L. Global Biodiversity Conservation Priorities. Science 2006, 313, 58–61. [Google Scholar] [CrossRef]
- Schmeller, D.S.; Gruber, B.; Budrys, E.; Framsted, E.; Lengyel, S.; Henle, K. National Responsibilities in European Species Conservation: A Methodological Review. Conserv. Biol. 2008, 22, 593–601. [Google Scholar] [CrossRef] [PubMed]
- Schmeller, D.; Maier, A.; Evans, D.; Henle, K. National Responsibilities for Conserving Habitats—A Freely Scalable Method. NC 2012, 3, 21–44. [Google Scholar] [CrossRef]
- Schmeller, D.S.; Evans, D.; Lin, Y.-P.; Henle, K. The National Responsibility Approach to Setting Conservation Priorities—Recommendations for Its Use. J. Nat. Conserv. 2014, 22, 349–357. [Google Scholar] [CrossRef]
- Orsenigo, S.; Montagnani, C.; Fenu, G.; Gargano, D.; Peruzzi, L.; Abeli, T.; Alessandrini, A.; Bacchetta, G.; Bartolucci, F.; Bovio, M.; et al. Red Listing Plants under Full National Responsibility: Extinction Risk and Threats in the Vascular Flora Endemic to Italy. Biol. Conserv. 2018, 224, 213–222. [Google Scholar] [CrossRef]
- Martinasso, B.; Lombardi, G. Remote Sensing in NW Italian Alps for Pastoral Inventory and Improvement of Grassland Management. In Land Use Systems in Grassland Dominated Regions; Luscher, A., Jeangros, B., Kessler, W., Huguenin, O., Lobsiger, M., Millar, N., Suter, D., Eds.; Grassland Science in Europe; ETH Zentrum: Luzern, Switzerland, 2004; Volume 9, pp. 317–319. [Google Scholar]
- Pino-Del-Carpio, A.; Ariño, A.H.; Villarroya, A.; Puig, J.; Miranda, R. The Biodiversity Data Knowledge Gap: Assessing Information Loss in the Management of Biosphere Reserves. Biol. Conserv. 2014, 173, 74–79. [Google Scholar] [CrossRef]
- Urbano, F.; Viterbi, R.; Pedrotti, L.; Vettorazzo, E.; Movalli, C.; Corlatti, L. Enhancing Biodiversity Conservation and Monitoring in Protected Areas through Efficient Data Management. Environ. Monit. Assess. 2024, 196, 12. [Google Scholar] [CrossRef] [PubMed]
- Conde, D.A.; Staerk, J.; Colchero, F.; Da Silva, R.; Schöley, J.; Baden, H.M.; Jouvet, L.; Fa, J.E.; Syed, H.; Jongejans, E.; et al. Data Gaps and Opportunities for Comparative and Conservation Biology. Proc. Natl. Acad. Sci. USA 2019, 116, 9658–9664. [Google Scholar] [CrossRef] [PubMed]
- Demangeot, J. La Montagne de La Majella [The Mountains of Majella]. In Geomorphologie des Abruzzes Adriatiques; Centre National de la Recherche Scientifique (CNRS): Paris, France, 1965; pp. 165–192. [Google Scholar]
- Liberatoscioli, E.; Boscaino, G.; Agostini, S.; Garzarella, A.; Patacca Scandone, E. The Majella National Park: An Aspiring UNESCO Geopark. Geosciences 2018, 8, 256. [Google Scholar] [CrossRef]
- Di Martino, L.; Del Vecchio, S.; Di Cecco, V.; Di Santo, M.; Stanisci, A.; Frattaroli, A.R. The Role of GA3 in the Germination Process of High-Mountain Endemic and Threatened Species: Leontopodium nivalePinguicula Fiorii and Soldanella Minima Subsp. Samnitica (Central Apennines, Italy). Plant Biosyst.—Int. J. Deal. All Asp. Plant Biol. 2014, 148, 1231–1238. [Google Scholar] [CrossRef]
- ISPRA. Meteo 1991–2020. 2023. Available online: https://www.isprambiente.gov.it/it/banche-dati/banche-dati-folder/clima-e-meteo/meteo (accessed on 15 December 2023).
- Conti, F.; Ciaschetti, G.; Di Martino, L.; Bartolucci, F. An Annotated Checklist of the Vascular Flora of Majella National Park (Central Italy). Phytotaxa 2019, 412, 1–90. [Google Scholar] [CrossRef]
- Rossi, G.; Montagnani, C.; Gargano, D.; Peruzzi, L.; Abeli, T.; Ravera, S.; Cogoni, A.; Fenu, G.; Magrini, S.; Gennai, M.; et al. Lista Rossa Della Flora Italiana. 1. Policy Species e Altre Specie Minacciate. 2013. Available online: https://www.iucn.it/pdf/Comitato_IUCN_Lista_Rossa_della_flora_italiana_policy_species.pdf (accessed on 3 January 2024).
- Rossi, G.; Orsenigo, S.; Gargano, D.; Montagnani, C.; Peruzzi, L.; Fenu, G.; Abeli, T.; Alessandrini, A.; Astuti, G.; Bacchetta, G.; et al. Lista Rossa Della Flora Italiana. 2 Endemiti e Altre Specie Minacciate. 2020. Available online: https://www.iucn.it/pdf/LISTAROSSAvol-2-FLORAITALIANA.pdf (accessed on 20 December 2023).
- European Commission. Council Directive 92/43/EEC of 21 May 1992 on the Conservation of Natural Habitats and of Wild Fauna and Flora. 1992. Available online: https://eur-lex.europa.eu/legal-content/EN/TXT/?uri=CELEX%3A01992L0043-20130701 (accessed on 13 March 2024).
- European Commission. Interpretation Manual of European Union Habitats. EUR 28. 2013. Available online: https://circabc.europa.eu/ui/group/3f466d71-92a7-49eb-9c63-6cb0fadf29dc/library/37d9e6d9-b7de-42ce-b789-622e9741b68f/details (accessed on 15 December 2023).
- Biondi, E.; Blasi, C.; Burrascano, S.; Casavecchia, S.; Copiz, R.; Del Vico, E.; Galdenzi, D.; Gigante, D.; Lasen, C.; Spampinato, G.; et al. Manuale Italiano Di Interpretazione Degli Habitat Della Direttiva 92/43/CEE. 2009. Available online: http://vnr.unipg.it/habitat/ (accessed on 10 December 2023).
- Frattaroli, A.-R.; Di Martino, L.; Di Cecco, V.; Catoni, R.; Varoni, L.; Di Santo, M.; Gratani, L. Seed Germination Capability of Four Endemic Species in the Central Apennines (Italy): Relationships with Seed Size. LAZA 2013, 34, 43–53. [Google Scholar] [CrossRef]
- Di Cecco, V.; Di Santo, M.; Di Musciano, M.; Manzi, A.; Di Cecco, M.; Ciaschetti, G.; Marcantonio, G.; Di Martino, L. The Majella National Park: A Case Study for the Conservation of Plant Biodiversity in the Italian Apennines. IB 2020, 10, 1–24. [Google Scholar] [CrossRef]
- Regione Abruzzo. Modello Digitale Del Terreno—Risoluzione 10x10 Metri. 2015. Available online: http://opendata.regione.abruzzo.it/opendata/Modello_digitale_del_terreno_risoluzione_10x10_metri (accessed on 28 December 2023).
- Società Geologica Italiana. Abruzzo. Guida Geologica; BeMa Editrice: Milano, Italy, 2003. [Google Scholar]
- Patacca, E.; Scandone, P. Geological Map of the Majella Mountain, 1:25,000. 2021. Available online: https://www.isprambiente.gov.it/it/attivita/suolo-e-territorio/cartografia/carta-geologica-della-majella/majella_small.jpg/@@images/b984c8c7-89cb-43a2-8640-3ebebfaf37a5.jpeg (accessed on 15 December 2023).
- Pesaresi, S.; Biondi, E.; Casavecchia, S. Bioclimates of Italy. J. Maps 2017, 13, 955–960. [Google Scholar] [CrossRef]
- Pirone, G.; Frattaroli, A.R.; Ciaschetti, G. Le Serie Di Vegetazione Della Regione Abruzzo. In La Vegetazione d’Italia; Blasi, C., Ed.; Palombi & Partner S.r.l.: Roma, Italy; pp. 311–336.
- Braun-Blanquet, J. Plant Sociology. The Study of Plant Communities. Translated, Revised and Edited by George D. Fuller and Herry S. Conard. Authorized English Translations of ‘Pflanzensoziologie’, 1st ed.; McGraw-Hill Book: New York, NY, USA; London, UK, 1932. [Google Scholar]
- Braun-Blanquet, J. Fitosociologia; Blume: Madrid, Spain, 1964. [Google Scholar]
- Dengler, J.; Chytrý, M.; Ewald, J. Phytosociology. In Encyclopedia of Ecology; Jørgensen, S.E., Fath, B.D., Eds.; General Ecology; Elsevier: Oxford, UK, 2008; Volume 4, pp. 2767–2779. [Google Scholar]
- Biondi, E. Phytosociology Today: Methodological and Conceptual Evolution. Plant Biosyst.—Int. J. Deal. All Asp. Plant Biol. 2011, 145 (Suppl. 1), 19–29. [Google Scholar] [CrossRef]
- Gigante, D.; Attorre, F.; Venanzoni, R.; Acosta, A.T.R.; Agrillo, E.; Aleffi, M.; Alessi, N.; Allegrezza, M.; Angelini, P.; Angiolini, C.; et al. A Methodological Protocol for Annex I Habitats Monitoring: The Contribution of Vegetation Science. Plant Sociol. 2016, 53, 77–87. [Google Scholar] [CrossRef]
- Chytrý, M.; Otýpková, Z. Plot Sizes Used for Phytosociological Sampling of European Vegetation. J. Veg. Sci. 2003, 14, 563–570. [Google Scholar] [CrossRef]
- Pignatti, S. Flora d’Italia. Volume 1; Seconda edizione in 4 volumi; Edagricole: Milano, Italy, 2017. [Google Scholar]
- Pignatti, S. Flora d’Italia. Volume 2; Seconda edizione in 4 volumi; Edagricole: Milano, Italy, 2017. [Google Scholar]
- Pignatti, S. Flora d’Italia. Volume 3; Seconda edizione in 4 volumi; Edagricole: Milano, Italy, 2018. [Google Scholar]
- AA.VV. Portal to the Flora of Italy. 2024. Available online: http://dryades.units.it/floritaly (accessed on 10 January 2024).
- Biondi, E.; Guitian, J.; Allegrezza, M.; Ballelli, S. Su Alcuni Pascoli a Sesleria Apennina Ujhelyi Nell’Appennino Centrale. Doc. Phytosoc. N.S. 1988, 11, 417–422. [Google Scholar]
- Biondi, E.; Allegrezza, M.; Frattaroli, A.R. Inquadramento Fitosociologico Di Alcune Formazioni Pascolive Dell’ Appennino Abruzzese-Molisano. Doc. Phytosoc. N.S. 1992, 14, 195–210. [Google Scholar]
- Biondi, E.; Allegrezza, M.; Ballelli, S.; Calandra, R.; Crescente, M.F.; Frattaroli, A.R.; Gratani, L.; Rossi, A.; Taffetani, F. Indagini per Una Cartografia Fitoecologica Dell’altipiano Di Campo Imperatore (Gran Sasso d’Italia). Boll. A.I.C. 1992, 86, 85–98. [Google Scholar]
- Biondi, E.; Ballelli, S. Le Praterie Del Monte Coscerno e Monte Di Civitella (Appennino Umbro- Marchigiano—Italia Centrale). Fitosociologia 1995, 30, 91–121. [Google Scholar]
- Biondi, E.; Ballelli, S.; Allegrezza, M.; Taffetani, F.; Frattaroli, A.R.; Guitian, J.; Zuccarello, V. La Vegetazione Di Campo Imperatore (Gran Sasso d’Italia). Braun-Blanquetia 1999, 16, 53–115. [Google Scholar]
- Manzi, A. La Gestione Dei Pascoli Montani in Abruzzo e La Società Delle Erbe Seconde Di Pescasseroli Ed Opi. Arch. Bot. Ital. 1990, 66, 129–142. [Google Scholar]
- Lucchese, F.; Persia, G.; Pignatti, S. I Pascoli a Bromus Erectus Hudson Dell’ Appennino Laziale. Fitosociologia 1995, 30, 145–180. [Google Scholar]
- Petriccione, B.; Persia, G. Prodromo Delle Praterie Di Altitudine Degli Appennini Su Calcare (Classe Festuco-Seslerietea). Atti dei Convegni Lincei. “La vegetazione italiana” 1995, 115, 361–389. [Google Scholar]
- Pirone, G. Il Paesaggio Vegetale Di Rivisondoli. Aspetti Della Flora e Della Vegetazione. In Azienda Autonoma Soggiorno e Turismo Rivisondoli; Edigrafital S.p.a.: Teramo, Italy, 1997. [Google Scholar]
- Stanisci, A.; Pelino, G.; Blasi, C. Gli Arbusteti Altomontani Dell’Appennino Centrale e Meridionale. Fitosociologia 1997, 34, 3–46. [Google Scholar]
- Ubaldi, D.; Filz, W.; De Santo, G.; Di Cecco, M. Osservazioni Sulla Vegetazione Della Riserva Majella Orientale. Micol. Vegetaz. Medit. 1998, 13, 177–192. [Google Scholar]
- Allegrezza, M. Vegetazione e Paesaggio Vegetale Della Dorsale Del Monte San Vicino (Appennino Centrale). Fitosociologia 2003, 40, 3–118. [Google Scholar]
- Stanisci, A.; Pelino, G.; Blasi, C. Vascular Plant Diversity and Climate Change in the Alpine Belt of the Central Apennines (Italy). Biodivers. Conserv. 2005, 14, 1301–1318. [Google Scholar] [CrossRef]
- Ciaschetti, G.; Pirone, A.R.; Frattaroli, A.R.; Corbetta, F. La Vegetazione Del Piano Di Pezza (Parco Naturale Regionale “Sirente-Velino”—Italia Centrale). Fitosociologia 2006, 43, 67–84. [Google Scholar]
- Blasi, C.; Burrascano, S.; Del Vico, E.; Di Pietro, R.; Iocchi, M.; Rosati, L. Cynosurion Cristati Grasslands in the Central Apennines (Tyrrhenian Sector): A Phytosociological Survey in the Lepini and Prenestini Mountains. Plant Biosyst.—Int. J. Deal. All Asp. Plant Biol. 2009, 143 (Suppl. 1), S69–S77. [Google Scholar] [CrossRef]
- Catorci, A.; Cesaretti, S.; Gatti, R.; Ottaviani, G. Abiotic and Biotic Changes Due to Spread of Brachypodium Genuense (DC.) Roem. & Schult, in Sub-Mediterranean Meadows. Community Ecol. 2011, 12, 117–125. [Google Scholar]
- Di Pietro, R.; Conte, A.L.; Iamonico, D. La Vegetazione Di San Martino D’Agri (Monografia e Carta Della Vegetazione); Grafica Mente, Sant’Arcangelo (PZ): Comune di S. Martino D’Agri, Italy, 2014. [Google Scholar]
- Di Pietro, R.; Theurillat, J.-P.; Capelo, J.; Fernández-González, F.; Terzi, M.; Čarni, A.; Mucina, L. Nomenclature and Syntaxonomic Notes on Some High-Rank Syntaxa of the European Grassland Vegetation. Lazaroa 2015, 36, 79–106. [Google Scholar] [CrossRef]
- Filibeck, G.; Sperandii, M.G.; Bazzichetto, M.; Mancini, L.D.; Rossini, F.; Cancellieri, L. Exploring the Drivers of Vascular Plant Richness at Very Fine Spatial Scale in Sub-Mediterranean Limestone Grasslands (Central Apennines, Italy). Biodivers. Conserv. 2019, 28, 2701–2725. [Google Scholar] [CrossRef]
- Biondi, E.; Blasi, C. Prodromo Della Vegetazione Italiana. 2015. Available online: http://www.prodromo-vegetazione-italia.org (accessed on 28 December 2023).
- Mucina, L.; Bültmann, H.; Dierßen, K.; Theurillat, J.-P.; Raus, T.; Čarni, A.; Šumberová, K.; Willner, W.; Dengler, J.; García, R.G.; et al. Vegetation of Europe: Hierarchical Floristic Classification System of Vascular Plant, Bryophyte, Lichen, and Algal Communities. Appl. Veg. Sci. 2016, 19 (S1), 3–264. [Google Scholar] [CrossRef]
- Theurillat, J.; Willner, W.; Fernández-González, F.; Bültmann, H.; Čarni, A.; Gigante, D.; Mucina, L.; Weber, H. International Code of Phytosociological Nomenclature. 4th Edition. Appl. Veg. Sci. 2021, 24, e12491. [Google Scholar] [CrossRef]
- Biondi, E.; Burrascano, S.; Casavecchia, S.; Copiz, R.; Del Vico, E.; Gigante, D.; Lasen, C.; Spampinato, G.; Venanzoni, R.; Zivkovic, L.; et al. Diagnosis and Syntaxonomic Interpretation of Annex I Habitats (Dir. 92/43/EEC) in Italy at the Alliance Level. Plant Sociol. 2012, 49, 5–37. [Google Scholar] [CrossRef]
- Angelini, P. Manuali per il Monitoraggio di Specie e Habitat di Interesse Comunitario (Direttiva 92/43/CEE) in Italia: Habitat; ISPRA: Roma, Italy, 2016. [Google Scholar]
- Roggero, P.P.; Bagella, S.; Farina, R. Un Archivio Dati Di Indici Specifici per La Valutazione Integrata Del Valore Pastorale. Riv. Agron. 2002, 36, 149–156. [Google Scholar]
- Reiné, R.; Ascaso, J.; Barrantes, O. Nutritional Quality of Plant Species in Pyrenean Hay Meadows of High Diversity. Agronomy 2020, 10, 883. [Google Scholar] [CrossRef]
- Daget, P.; Poissonet, T. Analyse Phytologique Des Praisies; Centre National de la Recherche Scientifique, Centre d’Études Phytosociologiques et Écologiques: Montpellier, France, 1969. [Google Scholar]
- Daget, P.; Poissonet, T. Un Procédé d’estimation de La Valeur Pastorale Des Pâturages. Fourrages 1972, 49, 31–39. [Google Scholar]
- Argenti, G.; Lombardi, G. The Pasture-Type Approach for Mountain Pasture Description and Management. Ital. J. Agron. 2012, 7, e39. [Google Scholar] [CrossRef]
- Argenti, G.; Bianchetto, E.; Ferretti, F. Proposal of a Simplified Method for Pastoral Value Assessment inside Forest Planning. Ann. Silvic. Res. 2017, 41, 67–73. [Google Scholar] [CrossRef]
- Pittarello, M.; Lonati, M.; Gorlier, A.; Perotti, E.; Probo, M.; Lombardi, G. Plant Diversity and Pastoral Value in Alpine Pastures Are Maximized at Different Nutrient Indicator Values. Ecol. Indic. 2018, 85, 518–524. [Google Scholar] [CrossRef]
- Bagella, S. Valore Pastorale Delle Associazioni Vegetali: Un Esempio Di Applicazione neIl’Appennino Umbro-Marchigiano (Italia). Fitosociologia 2001, 38, 153–165. [Google Scholar]
- Bagella, S.; Roggero, P.P. Integrating Phytosociological and Agronomic Analysis to Support the Sustainable Management of Mediterranean Grasslands. Fitosociologia 2004, 41 (Suppl. 1), 101–107. [Google Scholar]
- Bencivenga, M.; Panitti, M.; Taddei, E. Indagine Fitosociologica Nei Prato-Pascoli Del Monte Fausola (Rieti) Sottoposti a Concimazioni Diverse. Nota II—Frequenza e Peso Unitario Delle Specie Più Diffuse. Riv. Agron. 1992, 26, 389–399. [Google Scholar]
- Scotton, M.; Rodaro, P.; Ziliotto, U. Analisi Fitosociologica e Valutazione Agronomica Di Pascoli Subalpini. Stud. Geobotanica. Int. J. 1996, 15, 51–72. [Google Scholar]
- Delpech, R. Criteres de Jugement de La Valeur Agronomique Des Praires. Fourrages 1960, 4, 83–98. [Google Scholar]
- Cavallero, A.; Talamucci, P.; Grignani, C.; Reyneri, A.; Ziliotto, U.; Scotton, M.; Bianchi, A.A.; Santilocchi, R.; Basso, E.; Postiglione, L.; et al. Caratterizzazione Della Dinamica Produttiva Di Pascoli Naturali Italiani. Riv. Agron. 1992, 26, 325–343. [Google Scholar]
- Pacioni, G.; Veri, L. L’ambiente Naturale Dei Monti Simbruini: Contributi Alla Conoscenza. Atti Del Convegno: Per Un’operazione Integrata Di Sviluppo, Il Caso Simbruini. Altipiani Di Arcinazzo, 7 December 1985. [Google Scholar]
- Scoppola, A.; Pelosi, M. I Pascoli Della Riserva Naturale Del Monte Rufeno (Viterbo, Italia Centrale). Fitosociologia 1995, 30, 123–143. [Google Scholar]
- D’Ottavio, P.; Scotton, M.; Ziliotto, U. Pastoral Value of Mountain Pastures of Monti Sibillini (Central Apennines, Italy) Grazed by Sheep. Options Méditerranéennes 2005, 67, 93–98. [Google Scholar]
- AOAC. Official Methods of Analysis of AOAC; Association of Official Analytical Chemists (AOAC) International: Washington, DC, USA, 1995. [Google Scholar]
- Van Soest, P.J.; Robertson, J.B.; Lewis, B.A. Methods for Dietary Fiber, Neutral Detergent Fiber, and Nonstarch Polysaccharides in Relation to Animal Nutrition. J. Dairy Sci. 1991, 74, 3583–3597. [Google Scholar] [CrossRef]
- Zanaga, D.; Van De Kerchove, R.; Daems, D.; De Keersmaecker, W.; Brockmann, C.; Kirches, G.; Wevers, J.; Cartus, O.; Santoro, M.; Fritz, S.; et al. ESA WorldCover 10 m 2021 V200. 2022. Available online: https://doi.org/10.5281/ZENODO.7254221 (accessed on 13 March 2024).
- Tucker, C.J. Red and Photographic Infrared Linear Combinations for Monitoring Vegetation. Remote Sens. Environ. 1979, 8, 127–150. [Google Scholar] [CrossRef]
- Chen, J.; Jönsson, P.; Tamura, M.; Gu, Z.; Matsushita, B.; Eklundh, L. A Simple Method for Reconstructing a High-Quality NDVI Time-Series Data Set Based on the Savitzky–Golay Filter. Remote Sens. Environ. 2004, 91, 332–344. [Google Scholar] [CrossRef]
- R Core Team. R: A Language and Environment for Statistical Computing. 2021. Available online: https://www.R-project.org/ (accessed on 13 March 2024).
- De Cáceres, M.; Legendre, P. Associations between Species and Groups of Sites: Indices and Statistical Inference. Ecology 2009, 90, 3566–3574. [Google Scholar] [CrossRef] [PubMed]
- De Cáceres, M.; Sol, D.; Lapiedra, O.; Legendre, P. A Framework for Estimating Niche Metrics Using the Resemblance between Qualitative Resources. Oikos 2011, 120, 1341–1350. [Google Scholar] [CrossRef]
- Hammer, O.; Harper, D.A.T.; Ryan, P.D. PAST: Paleontological Statistics Software Package for Education and Data Analysis. Palaeontol. Electron. 2001, 4, 1–9. [Google Scholar]
- Magurran, A.E. Ecological Diversity and Its Measurement; Springer: Dordrecht, The Netherlands, 1988. [Google Scholar] [CrossRef]
- Shapiro, S.S.; Wilk, M.B. An Analysis of Variance Test for Normality (Complete Samples). Biometrika 1965, 52, 591. [Google Scholar] [CrossRef]
- Harper, W.V. Reduced Major Axis Regression. In Wiley StatsRef: Statistics Reference Online; Kenett, R.S., Longford, N.T., Piegorsch, W.W., Ruggeri, F., Eds.; Wiley: Hoboken, NJ, USA, 2016; pp. 1–6. [Google Scholar] [CrossRef]
- Cavallero, A.; Aceto, P.; Gorlier, A.; Lombardi, G.; Lonati, M.; Martinasso, B.; Tagliatori, C. I Tipi Pastorali Delle Alpi Piemontesi; Gruppo Perdisa Editore: Bologna, Italy, 2007. [Google Scholar]
- Targetti, S.; Staglianò, N.; Messeri, A.; Argenti, G. A State-and-Transition Approach to Alpine Grasslands under Abandonment. iForest 2010, 3, 44–51. [Google Scholar] [CrossRef]
- Purvis, A.; Hector, A. Getting the Measure of Biodiversity. Nature 2000, 405, 212–219. [Google Scholar] [CrossRef] [PubMed]
- Llopis-Belenguer, C.; Blasco-Costa, I.; Balbuena, J.A. Biodiversidad En elSiglo XXI: Más Allá Del Conteo Deespecies. Mètode 2019, 9, 11186. [Google Scholar] [CrossRef]
- Hillebrand, H.; Blasius, B.; Borer, E.T.; Chase, J.M.; Downing, J.A.; Eriksson, B.K.; Filstrup, C.T.; Harpole, W.S.; Hodapp, D.; Larsen, S.; et al. Biodiversity Change Is Uncoupled from Species Richness Trends: Consequences for Conservation and Monitoring. J. Appl. Ecol. 2018, 55, 169–184. [Google Scholar] [CrossRef]
- Blasi, C.; Di Pietro, R.; Pelino, G. The Vegetation of Alpine Belt Karst-Tectonic Basins in the Central Apennines (Italy). Plant Biosyst.—Int. J. Deal. All Asp. Plant Biol. 2005, 139, 357–385. [Google Scholar] [CrossRef]
- Kruess, A.; Tscharntke, T. Grazing Intensity and the Diversity of Grasshoppers, Butterflies, and Trap-Nesting Bees and Wasps. Conserv. Biol. 2002, 16, 1570–1580. [Google Scholar] [CrossRef]
- Fantinato, E.; Sonkoly, J.; Török, P.; Buffa, G. Patterns of Pollination Interactions at the Community Level Are Related to the Type and Quantity of Floral Resources. Funct. Ecol. 2021, 35, 2461–2471. [Google Scholar] [CrossRef]
- Manzi, A. Storia Dell’ambiente Nell’Appennino Centrale: La Trasformazione Della Natura in Abruzzo Dall’ultima Glaciazione Ai Nostri Giorni; Ed. Meta (Treglio): Chieti, Italy, 2012. [Google Scholar]
- Laiolo, P.; Tella, J.L. Fate of Unproductive and Unattractive Habitats: Recent Changes in Iberian Steppes and Their Effects on Endangered Avifauna. Environ. Conserv. 2006, 33, 223–232. [Google Scholar] [CrossRef]
- Manzi, A.; Manzi, G. Pastori, Lanaioli e Contadini. La Pastorizia e La Lavorazione Della Lana Nel Versante Orientale Della Maiella; Ed. Meta (Treglio): Chieti, Italy, 2007. [Google Scholar]
- Colecchia, A. Paesaggi Storici Agro-Silvo-Pastorali Nell’Abruzzo Interno: Dall’analisi Multidisciplinare al Recupero Delle Identità Culturali Locali. Il Capitale Cult.—Stud. Value Cult. Herit. 2015, 12, 743–771. [Google Scholar]
- Micati, E.; Manzi, A.; Di Martino, L.; Monaco, M. Il Paesaggio Agro-Pastorale Del Parco Nazionale Della Majella; Edizioni Parco Nazionale della Majella: Sulmona, Italy, 2019. [Google Scholar]
- Ramírez-Restrepo, C.A.; Barry, T.N. Alternative Temperate Forages Containing Secondary Compounds for Improving Sustainable Productivity in Grazing Ruminants. Anim. Feed Sci. Technol. 2005, 120, 179–201. [Google Scholar] [CrossRef]
- Macheboeuf, D.; Coudert, L.; Bergeault, R.; Lalière, G.; Niderkorn, V. Screening of Plants from Diversified Natural Grasslands for Their Potential to Combine High Digestibility, and Low Methane and Ammonia Production. Animal 2014, 8, 1797–1806. [Google Scholar] [CrossRef] [PubMed]
- Pirhofer-Walzl, K.; Søegaard, K.; Høgh-Jensen, H.; Eriksen, J.; Sanderson, M.A.; Rasmussen, J.; Rasmussen, J. Forage Herbs Improve Mineral Composition of Grassland Herbage. Grass Forage Sci. 2011, 66, 415–423. [Google Scholar] [CrossRef]
- Hammond, K.J.; Humphries, D.J.; Westbury, D.B.; Thompson, A.; Crompton, L.A.; Kirton, P.; Green, C.; Reynolds, C.K. The Inclusion of Forage Mixtures in the Diet of Growing Dairy Heifers: Impacts on Digestion, Energy Utilisation, and Methane Emissions. Agric. Ecosyst. Environ. 2014, 197, 88–95. [Google Scholar] [CrossRef]
- Farruggia, A.; Martin, B.; Baumont, R.; Prache, S.; Doreau, M.; Hoste, H.; Durand, D. Quels Intérêts de La Diversité Floristique Des Prairies Permanentes Pour Les Ruminants et Les Produits Animaux? INRA Prod. Anim. 2008, 21, 181–200. [Google Scholar] [CrossRef]
- Van Vliet, S.; Provenza, F.D.; Kronberg, S.L. Health-Promoting Phytonutrients Are Higher in Grass-Fed Meat and Milk. Front. Sustain. Food Syst. 2021, 4, 555426. [Google Scholar] [CrossRef]
- Corazza, M.; Tardella, F.M.; Ferrari, C.; Catorci, A. Tall Grass Invasion After Grassland Abandonment Influences the Availability of Palatable Plants for Wild Herbivores: Insight into the Conservation of the Apennine Chamois Rupicapra Pyrenaica Ornata. Environ. Manag. 2016, 57, 1247–1261. [Google Scholar] [CrossRef]
- De Simone, W.; Allegrezza, M.; Frattaroli, A.R.; Montecchiari, S.; Tesei, G.; Zuccarello, V.; Di Musciano, M. From Remote Sensing to Species Distribution Modelling: An Integrated Workflow to Monitor Spreading Species in Key Grassland Habitats. Remote Sens. 2021, 13, 1904. [Google Scholar] [CrossRef]
- Lukac, B.; Kramberger, B.; Meclic, V.; Verbic, J. Importance of Non-Leguminous Forbs in Animal Nutrition and Their Ensiling Properties: A Review. Žemdirbyst Agric. 2012, 99, 3–8. [Google Scholar]
- Andueza, D.; Rodrigues, A.M.; Picard, F.; Rossignol, N.; Baumont, R.; Cecato, U.; Farruggia, A. Relationships between Botanical Composition, Yield and Forage Quality of Permanent Grasslands over the First Growth Cycle. Grass Forage Sci. 2016, 71, 366–378. [Google Scholar] [CrossRef]
- Baumont, R.; Aufrère, J.; Niderkorn, V.; Andueza, D.; Surault, F.; Peccatte, J.R.; Delaby, L.; Pelletier, P. La Diversité Spécifique Dans Le Fourrage: Conséquences Sur La Valeur Alimentaire. Fourrages 2008, 194, 189–206. [Google Scholar]
- Loiseau, P. Signification et Limite de l’indice de Valeur Pastorale Pour Le Diagnostic de La Valeur Agricole Des Paturages En Moyenne Montagne Humide. ColI. Phytosoc. 1988, 16, 411–428. [Google Scholar]
- Daget, P.; Godron, M. Pastoralisme: Tropeaux, Espaces et Sociétés; Hatier: Paris, France, 1995. [Google Scholar]
- Pornaro, C.; Basso, E.; Macolino, S. Pasture Botanical Composition and Forage Quality at Farm Scale: A Case Study. Ital. J. Agron. 2019, 14, 214–221. [Google Scholar] [CrossRef]
- Mainetti, A.; Ravetto Enri, S.; Pittarello, M.; Lombardi, G.; Lonati, M. Main Ecological and Environmental Factors Affecting Forage Yield and Quality in Alpine Summer Pastures (NW-Italy, Gran Paradiso National Park). Grass Forage Sci. 2023, 78, 254–267. [Google Scholar] [CrossRef]
- Primi, R.; Filibeck, G.; Amici, A.; Bückle, C.; Cancellieri, L.; Di Filippo, A.; Gentile, C.; Guglielmino, A.; Latini, R.; Mancini, L.D.; et al. From Landsat to Leafhoppers: A Multidisciplinary Approach for Sustainable Stocking Assessment and Ecological Monitoring in Mountain Grasslands. Agric. Ecosyst. Environ. 2016, 234, 118–133. [Google Scholar] [CrossRef]
- Pittarello, M.; Lonati, M.; Ravetto Enri, S.; Lombardi, G. Environmental Factors and Management Intensity Affect in Different Ways Plant Diversity and Pastoral Value of Alpine Pastures. Ecol. Indic. 2020, 115, 106429. [Google Scholar] [CrossRef]
- Napoleone, F.; Probo, M.; Mariotte, P.; Ravetto Enri, S.; Lonati, M.; Argenti, G.; Burrascano, S. Agri-Environmental Payments Drive the Conservation and Forage Value of Semi-Natural Grasslands by Modifying Fine-Scale Grazing Intensity. Biol. Conserv. 2022, 269, 109531. [Google Scholar] [CrossRef]
- Fischer, M.; Stöcklin, J. Local Extinctions of Plants in Remnants of Extensively Used Calcareous Grasslands 1950–1985. Conserv. Biol. 1997, 11, 727–737. [Google Scholar] [CrossRef]
- Luoto, M.; Pykälä, J.; Kuussaari, M. Decline of Landscape-Scale Habitat and Species Diversity after the End of Cattle Grazing. J. Nat. Conserv. 2003, 11, 171–178. [Google Scholar] [CrossRef]
- Kleijn, D.; Rundlöf, M.; Scheper, J.; Smith, H.G.; Tscharntke, T. Does Conservation on Farmland Contribute to Halting the Biodiversity Decline? Trends Ecol. Evol. 2011, 26, 474–481. [Google Scholar] [CrossRef]
- Bricca, A.; Tardella, F.M.; Ferrara, A.; Xinfang, X.; Tolu, F.; Catorci, A. Environmental Heterogeneity Compensates the Potential Homogenising Effect of Abandonment of Grazing in a Sub-Mediterranean Mountain Landscape. Plant Ecol. Divers. 2021, 14, 223–243. [Google Scholar] [CrossRef]
- MacDonald, D.; Crabtree, J.R.; Wiesinger, G.; Dax, T.; Stamou, N.; Fleury, P.; Gutierrez Lazpita, J.; Gibon, A. Agricultural Abandonment in Mountain Areas of Europe: Environmental Consequences and Policy Response. J. Environ. Manag. 2000, 59, 47–69. [Google Scholar] [CrossRef]
- Mottet, A.; Ladet, S.; Coqué, N.; Gibon, A. Agricultural Land-Use Change and Its Drivers in Mountain Landscapes: A Case Study in the Pyrenees. Agric. Ecosyst. Environ. 2006, 114, 296–310. [Google Scholar] [CrossRef]
- Zlinszky, A.; Schroiff, A.; Kania, A.; Deák, B.; Mücke, W.; Vári, Á.; Székely, B.; Pfeifer, N. Categorizing Grassland Vegetation with Full-Waveform Airborne Laser Scanning: A Feasibility Study for Detecting Natura 2000 Habitat Types. Remote Sens. 2014, 6, 8056–8087. [Google Scholar] [CrossRef]
- King, A. Technology: The Future of Agriculture. Nature 2017, 544, S21–S23. [Google Scholar] [CrossRef]
- Tassi, A.; Gigante, D.; Modica, G.; Di Martino, L.; Vizzari, M. Pixel- vs. Object-Based Landsat 8 Data Classification in Google Earth Engine Using Random Forest: The Case Study of Maiella National Park. Remote Sens. 2021, 13, 2299. [Google Scholar] [CrossRef]
- Angelini, F.; Angelini, P.; Angiolini, C.; Bagella, S.; Bonomo, F.; Caccianiga, M.; Santina, C.D.; Gigante, D.; Hutter, M.; Nanayakkara, T.; et al. Robotic Monitoring of Habitats: The Natural Intelligence Approach. IEEE Access 2023, 11, 72575–72591. [Google Scholar] [CrossRef]
- Angelini, F.; Pollayil, M.J.; Bonini, F.; Gigante, D.; Garabini, M. Robotic Monitoring of Grasslands: A Dataset from the EU Natura2000 Habitat 6210* in the Central Apennines (Italy). Sci. Data 2023, 10, 418. [Google Scholar] [CrossRef]
- Kaur, P.; Gigante, D.; Caccianiga, M.; Bagella, S.; Angiolini, C.; Garabini, M.; Angelini, F.; Remagnino, P. Segmentation and Identification of Mediterranean Plant Species. In Advances in Visual Computing; Bebis, G., Ghiasi, G., Fang, Y., Sharf, A., Dong, Y., Weaver, C., Leo, Z., LaViola, J.J., Kohli, L., Eds.; Lecture Notes in Computer Science; Springer Nature: Cham, Switzerland, 2023; Volume 14362, pp. 431–442. [Google Scholar] [CrossRef]
- Pereira, F.C.; Charters, S.; Smith, C.M.S.; Maxwell, T.M.R.; Gregorini, P. A Geospatial Modelling Approach to Assess the Capability of High-Country Stations in Delivering Ecosystem Services. Land 2023, 12, 1243. [Google Scholar] [CrossRef]
- Vizzari, M.; Parracciani, C.; Gigante, D. Enhanced Map Composition and Diachronic Land Cover Classification of Landsat Data in Google Earth Engine. In Computational Science and Its Applications—ICCSA 2023 Workshops; Gervasi, O., Murgante, B., Rocha, A.M.A.C., Garau, C., Scorza, F., Karaca, Y., Torre, C.M., Eds.; Lecture Notes in Computer Science; Springer Nature: Cham, Switzerland, 2023; Volume 14107, pp. 289–299. [Google Scholar] [CrossRef]
- Anderson, N.V.; Petersen, S.L.; Johnson, R.L.; Terry, T.J.; Anderson, V.J. Detecting Floral Resource Availability Using Small Unmanned Aircraft Systems. Land 2024, 13, 99. [Google Scholar] [CrossRef]
- Parracciani, C.; Gigante, D.; Mutanga, O.; Bonafoni, S.; Vizzari, M. Land Cover Changes in Grassland Landscapes: Combining Enhanced Landsat Data Composition, LandTrendr, and Machine Learning Classification in Google Earth Engine with MLP-ANN Scenario Forecasting. GISci. Remote Sens. 2024, 61, 2302221. [Google Scholar] [CrossRef]
- Parracciani, C.; Gigante, D.; Bonini, F.; Grassi, A.; Morbidini, L.; Pauselli, M.; Valenti, B.; Lilli, E.; Antonielli, F.; Vizzari, M. Leveraging Google Earth Engine for a More Effective Grassland Management: A Decision Support Application Perspective. Sensors 2024, 24, 834. [Google Scholar] [CrossRef]
- Michez, A.; Lejeune, P.; Bauwens, S.; Herinaina, A.A.; Blaise, Y.; Castro Muñoz, E.; Lebeau, F.; Bindelle, J. Mapping and Monitoring of Biomass and Grazing in Pasture with an Unmanned Aerial System. Remote Sens. 2019, 11, 473. [Google Scholar] [CrossRef]
- Segarra, J.; Buchaillot, M.L.; Araus, J.L.; Kefauver, S.C. Remote Sensing for Precision Agriculture: Sentinel-2 Improved Features and Applications. Agronomy 2020, 10, 641. [Google Scholar] [CrossRef]
- Santaga, F.S.; Benincasa, P.; Toscano, P.; Antognelli, S.; Ranieri, E.; Vizzari, M. Simplified and Advanced Sentinel-2-Based Precision Nitrogen Management of Wheat. Agronomy 2021, 11, 1156. [Google Scholar] [CrossRef]
- Jiménez-Jiménez, S.I.; Marcial-Pablo, M.D.J.; Ojeda-Bustamante, W.; Sifuentes-Ibarra, E.; Inzunza-Ibarra, M.A.; Sánchez-Cohen, I. VICAL: Global Calculator to Estimate Vegetation Indices for Agricultural Areas with Landsat and Sentinel-2 Data. Agronomy 2022, 12, 1518. [Google Scholar] [CrossRef]
- Amies, A.C.; Dymond, J.R.; Shepherd, J.D.; Pairman, D.; Hoogendoorn, C.; Sabetizade, M.; Belliss, S.E. National Mapping of New Zealand Pasture Productivity Using Temporal Sentinel-2 Data. Remote Sens. 2021, 13, 1481. [Google Scholar] [CrossRef]
- Schino, G.; Borfecchia, F.; De Cecco, L.; Dibari, C.; Iannetta, M.; Martini, S.; Pedrotti, F. Satellite estimate of grass biomass in a mountainous range in central Italy. Agrofor. Syst. 2003, 59, 157–162. [Google Scholar] [CrossRef]
- Edirisinghe, A.; Clark, D.; Waugh, D. Spatio-Temporal Modelling of Biomass of Intensively Grazed Perennial Dairy Pastures Using Multispectral Remote Sensing. Int. J. Appl. Earth Obs. Geoinf. 2012, 16, 5–16. [Google Scholar] [CrossRef]
- Hill, M.J.; Donald, G.E.; Hyder, M.W.; Smith, R.C.G. Estimation of Pasture Growth Rate in the South West of Western Australia from AVHRR NDVI and Climate Data. Remote Sens. Environ. 2004, 93, 528–545. [Google Scholar] [CrossRef]
- Porter, T.F.; Chen, C.; Long, J.A.; Lawrence, R.L.; Sowell, B.F. Estimating Biomass on CRP Pastureland: A Comparison of Remote Sensing Techniques. Biomass Bioenergy 2014, 66, 268–274. [Google Scholar] [CrossRef]
- Barrachina, M.; Cristóbal, J.; Tulla, A.F. Estimating Above-Ground Biomass on Mountain Meadows and Pastures through Remote Sensing. Int. J. Appl. Earth Obs. Geoinf. 2015, 38, 184–192. [Google Scholar] [CrossRef]
- Filippa, G.; Cremonese, E.; Galvagno, M.; Bayle, A.; Choler, P.; Bassignana, M.; Piccot, A.; Poggio, L.; Oddi, L.; Gascoin, S.; et al. On the Distribution and Productivity of Mountain Grasslands in the Gran Paradiso National Park, NW Italy: A Remote Sensing Approach. Int. J. Appl. Earth Obs. Geoinf. 2022, 108, 102718. [Google Scholar] [CrossRef]
- Cabrera-Bosquet, L.; Molero, G.; Stellacci, A.; Bort, J.; Nogués, S.; Araus, J. NDVI as a Potential Tool for Predicting Biomass, Plant Nitrogen Content and Growth in Wheat Genotypes Subjected to Different Water and Nitrogen Conditions. Cereal Res. Commun. 2011, 39, 147–159. [Google Scholar] [CrossRef]
- Li, Z.; Huffman, T.; McConkey, B.; Townley-Smith, L. Monitoring and Modeling Spatial and Temporal Patterns of Grassland Dynamics Using Time-Series MODIS NDVI with Climate and Stocking Data. Remote Sens. Environ. 2013, 138, 232–244. [Google Scholar] [CrossRef]
- Shelestov, A.; Lavreniuk, M.; Kussul, N.; Novikov, A.; Skakun, S. Exploring Google Earth Engine Platform for Big Data Processing: Classification of Multi-Temporal Satellite Imagery for Crop Mapping. Front. Earth Sci. 2017, 5, 232994. [Google Scholar] [CrossRef]
- Tamiminia, H.; Salehi, B.; Mahdianpari, M.; Quackenbush, L.; Adeli, S.; Brisco, B. Google Earth Engine for Geo-Big Data Applications: A Meta-Analysis and Systematic Review. ISPRS J. Photogramm. Remote Sens. 2020, 164, 152–170. [Google Scholar] [CrossRef]
- Gorelick, N.; Hancher, M.; Dixon, M.; Ilyushchenko, S.; Thau, D.; Moore, R. Google Earth Engine: Planetary-Scale Geospatial Analysis for Everyone. Remote Sens. Environ. 2017, 202, 18–27. [Google Scholar] [CrossRef]
- Kumar, L.; Mutanga, O. Google Earth Engine Applications Since Inception: Usage, Trends, and Potential. Remote Sens. 2018, 10, 1509. [Google Scholar] [CrossRef]
- Rowland, A.; Folmer, E.; Beek, W. Towards Self-Service GIS—Combining the Best of the Semantic Web and Web GIS. IJGI 2020, 9, 753. [Google Scholar] [CrossRef]
- Pittarello, M.; Probo, M.; Perotti, E.; Lonati, M.; Lombardi, G.; Ravetto Enri, S. Grazing Management Plans Improve Pasture Selection by Cattle and Forage Quality in Sub-Alpine and Alpine Grasslands. J. Mt. Sci. 2019, 16, 2126–2135. [Google Scholar] [CrossRef]
- Catorci, A.; Lulli, R.; Malatesta, L.; Tavoloni, M.; Tardella, F.M. How the Interplay between Management and Interannual Climatic Variability Influences the NDVI Variation in a Sub-Mediterranean Pastoral System: Insight into Sustainable Grassland Use under Climate Change. Agric. Ecosyst. Environ. 2021, 314, 107372. [Google Scholar] [CrossRef]
- Scocco, P.; Piermarteri, K.; Malfatti, A.; Tardella, F.M.; Catorci, A. Increase of Drought Stress Negatively Affects the Sustainability of Extensive Sheep Farming in Sub-Mediterranean Climate. J. Arid Environ. 2016, 128, 50–58. [Google Scholar] [CrossRef]
- Boschetti, M.; Bocchi, S.; Brivio, P.A. Assessment of Pasture Production in the Italian Alps Using Spectrometric and Remote Sensing Information. Agric. Ecosyst. Environ. 2007, 118, 267–272. [Google Scholar] [CrossRef]
- Argenti, G.; Bottai, L.; Chiesi, M.; Maselli, F.; Staglianò, N.; Targetti, S. Analisi e Valutazione Di Pascoli Montani Attraverso l’integrazionedi Dati Multispettrali e Ausiliari. Ital. J. Remote Sens./Riv. Ital.Telerilevam. 2011, 43, 45–57. [Google Scholar] [CrossRef]
- Valkó, O.; Zmihorski, M.; Biurrun, I.; Loos, J.; Labadessa, R.; Venn, S. Ecology and Conservation of Steppes and Semi-Natural Grasslands. Hacquetia 2016, 15, 5–14. [Google Scholar] [CrossRef]
- Karlík, P.; Poschlod, P. Identifying Plant and Environmental Indicators of Ancient and Recent Calcareous Grasslands. Ecol. Indic. 2019, 104, 405–421. [Google Scholar] [CrossRef]
- Ribeiro, P.F.; Santos, J.L. Exploring the Effects of Climate Change on Farming System Choice: A Farm-Level Space-for-Time Approach. Land 2023, 12, 2113. [Google Scholar] [CrossRef]






| DM | CEL | HEM | EE | ADF | NDF | ADL | CP | NFC | |
|---|---|---|---|---|---|---|---|---|---|
| H χ2 = 59.20 p < 0.001 | H χ2 = 44.45 p < 0.001 | H χ2 = 44.45 p < 0.001 | H χ2 = 54.21 p < 0.001 | H χ2 = 60.18 p < 0.001 | H χ2 = 56.14 p < 0.001 | H χ2 = 62.68 p < 0.001 | H χ2 = 49.96 p < 0.001 | H χ2 = 62.75 p < 0.001 | |
| 1.Pot_Bra (2) | 98.5 ± 42.4 | 35.2 ± 14.9 | 28.0 ± 10.4 | 2.2 ± 0.7 | 40.9 ± 17.0 | 68.8 ± 27.3 | 5.6 ± 2.1 | 8.6 ± 3.5 | 13.4 ± 8.5 |
| 2.Poo_Fes (9) | 80.2 ± 39.7 | 25.4 ± 12.8 | 21.6 ± 10.7 | 2.3 ± 1.3 | 30.2 ± 14.9 | 51.8 ± 25.6 | 4.8 ± 2.2 | 8.5 ± 4.3 | 14.2 ± 8.0 |
| 3.Fes_mic (4) | 172.4 ± 95.3 | 54.6 ± 27.3 | 31.0 ± 12.6 | 5.2 ± 3.5 | 66.1 ± 34.8 | 97.0 ± 46.7 | 11.5 ± 7.6 | 16.5 ± 10.7 | 43.6 ± 28.6 |
| 4.Luz_Nar (3) | 100.8 ± 23.2 | 33.5 ± 7.5 | 29.2 ± 5.0 | 2.1 ± 0.7 | 38.8 ± 8.4 | 68.0 ± 13.3 | 5.3 ± 0.9 | 10.8 ± 2.3 | 15.1 ± 5.6 |
| 5.Tar_Tri (1) | 26.4 | 5.4 | 4.1 | 0.9 | 7.3 | 11.3 | 1.9 | 4.9 | 6.9 |
| 6.Poo_Nar (5) | 66.3 ± 17.5 | 22.9 ± 6.4 | 19.3 ± 6.0 | 1.6 ± 0.5 | 26.9 ± 7.3 | 46.2 ± 13.1 | 4.0 ± 0.9 | 7.7 ± 2.4 | 7.8 ± 1.4 |
| 7.Koe_Bro (5) | 110.4 ± 32.8 | 35.0 ± 5.6 | 28.8 ± 13.2 | 3.0 ± 0.8 | 43.2 ± 6.9 | 72.0 ± 19.1 | 8.3 ± 1.4 | 9.6 ± 4.4 | 20.4 ± 7.7 |
| 8.Ses_Bro (2) | 209.4 ± 84.6 | 78.8 ± 39.9 | 39.4 ± 25.7 | 5.5 ± 3.2 | 97.2 ± 41.9 | 136.6 ± 67.6 | 18.3 ± 2.0 | 14.4 ± 4.9 | 41.8 ± 4.1 |
| 9.Ast_Ses (1) | 463.8 | 155.9 | 88.7 | 12.5 | 190.8 | 279.5 | 34.9 | 37.9 | 97.9 |
| 10.Ses_ape (6) | 140.0 ± 19.2 | 50.7 ± 7.8 | 29.3 ± 4.1 | 3.3 ± 0.5 | 63.1 ± 9.0 | 92.4 ± 12.9 | 12.4 ± 1.7 | 11.1 ± 1.9 | 26.9 ± 5.0 |
| 11.Asp_Bro (6) | 125.8 ± 76.7 | 44.6 ± 29.7 | 23.6 ± 14.8 | 3.5 ± 2.3 | 54.7 ± 36.2 | 78.2 ± 50.9 | 10.0 ± 6.6 | 9.8 ± 6.1 | 26.7 ± 14.6 |
| 12.Ant_Bra (12) | 183.5 ± 55.1 | 63.6 ± 18.9 | 38.1 ± 10.6 | 4.4 ± 1.3 | 78.5 ± 25.2 | 116.6 ± 34.9 | 14.9 ± 6.7 | 13.8 ± 5.4 | 38.1 ± 15.1 |
| 13.Pol_Bra (6) | 126.9 ± 62.7 | 45.5 ± 25.6 | 22.4 ± 17.6 | 3.1 ± 1.7 | 55.9 ± 29.5 | 78.3 ± 47.0 | 10.5 ± 4.2 | 10.4 ± 4.1 | 25.8 ± 7.5 |
| 14.Bri_Bro (4) | 134.3 ± 34.5 | 49.8 ± 13.2 | 23.3 ± 9.5 | 3.7 ± 0.9 | 60.8 ± 15.9 | 84.0 ± 22.9 | 11.0 ± 3.3 | 12.8 ± 3.7 | 22.2 ± 6.9 |
| 15.Alo_pra (10) | 558.2 ± 301.4 | 207.1 ± 126.2 | 104.4 ± 70.9 | 11.6 ± 4.7 | 242.9 ± 143.1 | 347.3 ± 213.7 | 35.8 ± 17.4 | 45.9 ± 19.0 | 115.4 ± 48.0 |
| 16.Cyn_cri (3) | 162.9 ± 50.6 | 51.3 ± 19.9 | 28.2 ± 12.1 | 3.8 ± 1.0 | 60.3 ± 21.9 | 88.6 ± 34.0 | 9.0 ± 2.1 | 22.0 ± 7.3 | 33.4 ± 12.4 |
| 17.Alo_ren (6) | 528.0 ± 53.9 | 197.0 ± 15.9 | 122.7 ± 35.9 | 10.5 ± 1.3 | 227.7 ± 20.5 | 350.5 ± 47.3 | 30.7 ± 7.9 | 45.7 ± 3.7 | 85.6 ± 26.5 |
| hay_mea (1) | 689.1 | 283.1 | 119.7 | 12.8 | 336.6 | 456.3 | 53.5 | 47 | 121.4 |
| Parameters | Slope | r | r2 | p |
|---|---|---|---|---|
| DM (%) | 0.06 | 0.15 | 0.02 | n.s. |
| EE (%) | 0.32 | 0.16 | 0.03 | n.s. |
| NDF (%) | −1.84 | −0.52 | 0.27 | *** |
| ADF (%) | −0.78 | −0.22 | 0.05 | * |
| ADL (%) | −0.09 | −0.05 | 0.00 | n.s. |
| HEM (%) | −0.61 | −0.43 | 0.02 | *** |
| CEL (%) | −0.68 | −0.21 | 0.05 | * |
| CP (%) | 0.15 | 0.10 | 0.01 | n.s. |
| NFC (%) | 0.62 | 0.46 | 0.21 | *** |
Disclaimer/Publisher’s Note: The statements, opinions and data contained in all publications are solely those of the individual author(s) and contributor(s) and not of MDPI and/or the editor(s). MDPI and/or the editor(s) disclaim responsibility for any injury to people or property resulting from any ideas, methods, instructions or products referred to in the content. |
© 2024 by the authors. Licensee MDPI, Basel, Switzerland. This article is an open access article distributed under the terms and conditions of the Creative Commons Attribution (CC BY) license (https://creativecommons.org/licenses/by/4.0/).
Share and Cite
Gigante, D.; Angelucci, S.; Bonini, F.; Caruso, F.; Di Cecco, V.; Donnini, D.; Morbidini, L.; Pauselli, M.; Valenti, B.; Tassi, A.; et al. Seminatural Grasslands: An Emblematic Challenge for Nature Conservation in Protected Areas. Land 2024, 13, 386. https://doi.org/10.3390/land13030386
Gigante D, Angelucci S, Bonini F, Caruso F, Di Cecco V, Donnini D, Morbidini L, Pauselli M, Valenti B, Tassi A, et al. Seminatural Grasslands: An Emblematic Challenge for Nature Conservation in Protected Areas. Land. 2024; 13(3):386. https://doi.org/10.3390/land13030386
Chicago/Turabian StyleGigante, Daniela, Simone Angelucci, Federica Bonini, Federico Caruso, Valter Di Cecco, Domizia Donnini, Luciano Morbidini, Mariano Pauselli, Bernardo Valenti, Andrea Tassi, and et al. 2024. "Seminatural Grasslands: An Emblematic Challenge for Nature Conservation in Protected Areas" Land 13, no. 3: 386. https://doi.org/10.3390/land13030386
APA StyleGigante, D., Angelucci, S., Bonini, F., Caruso, F., Di Cecco, V., Donnini, D., Morbidini, L., Pauselli, M., Valenti, B., Tassi, A., Vizzari, M., & Di Martino, L. (2024). Seminatural Grasslands: An Emblematic Challenge for Nature Conservation in Protected Areas. Land, 13(3), 386. https://doi.org/10.3390/land13030386

