Abstract
Accurate and rapid assessment of the water content in olive fruits is critical for enhancing the efficiency and sustainability of olive oil production. This study investigates the application of visible and short-wave infrared (Vis-SWIR) spectroscopy as a non-invasive method to directly measure the water content in intact olive fruits before milling, also affecting eco-friendly farming practices. Partial least squares (PLS) regression models for the olive fruit weight, weight loss, and water content were developed while using the dehydration process in a drying oven as the reference analysis. The models demonstrated strong predictive performance, with the PLS model for the olive fruit weight achieving a coefficient of determination in cross-validation (R2CV) of 0.78 and a root mean squared error (RMSECV) of 0.6 g. Additionally, for olive fruit weight loss, a R2CV of 0.96 with an RMSECV of 4.5% was achieved. Meanwhile, for the olive fruit water content, an R2CV of 0.94 with an RMSECV of 0.245 mL was obtained. The PLS regression model set up to predict the water content for intact olive fruits showed promise, as evidenced by its fit, RMSE in prediction, and residual prediction deviation (RPD) values (R2P = 0.80, RMSEP = 0.556 mL, and RPD = 2.247). The obtained results indicate that portable Vis-SWIR spectrophotometers provide a rapid and efficient alternative to conventional drying and weighing methods, facilitating early detection of olive fruit quality. This technological approach not only enhances the financial returns for producers but also supports sustainable agricultural practices. The use of Vis-SWIR spectroscopy has broader potential applications in the olive industry, including quality control, monitoring the water status of olive orchards, and optimizing irrigation management, contributing to the sustainable management of land and agricultural resources.
1. Introduction
The olive tree (Olea europaea L.) is thought to have existed for more than 6000 years. Its presence has influenced the lives of the ancient population of the Mediterranean region. In Europe, olive oil was called “green gold” and spread in Babylonian and Phoenician times, reaching its maximum prestige with the Greeks and Romans. Olive oil production has greatly evolved over time, and it is now recognized as one of the most widely grown fruit crops worldwide and a crucial component of the Mediterranean diet [1]. In 2020, the main producers were Spain, Italy, and Tunisia [2]. It can be said that the organoleptic properties of olive fruits and their healthy dietary characteristics have allowed their mass consumption all over the world [3].
The agronomic practices employed, the seasonal conditions, and the stage of olive ripeness can all have an impact on the quality of olive oil. The ideal harvest period, which is usually between October and December, has a significant impact on the oil’s quality [4]. Olive harvesting is an extremely important and delicate process for obtaining both high-quality extra virgin olive oil and table olives.
The growth of olive trees is significantly influenced by the quality of the soil, appropriate irrigation, and the minimal use of synthetic fertilizers. Sustainable agricultural practices, such as organic farming, crop rotation, and the use of natural fertilizers, play a crucial role in maintaining soil health and fertility [5]. These methods help preserve the soil’s nutrient balance, enhance its organic matter content, and improve its structure, supporting the robust growth of olive trees. By promoting healthy root development and reducing the risk of disease, these practices not only improve the overall health and resilience of olive trees but also lead to higher olive oil content and quality [5,6]. Furthermore, sustainable irrigation practices ensure that olive trees receive adequate water without over-irrigation, thereby optimizing the water content in the olives and contributing to lower free acidity (i.e., percentage of free fatty acids present, which is an indicator of the oil’s quality and freshness) in the oil [6]. Free acidity is a crucial indicator of olive oil quality, as it directly affects both the flavor and shelf life. Lower acidity levels are typically associated with higher-quality olive oil, while higher levels can result in undesirable flavors and reduced shelf stability.
The moisture content of olive fruit is a key factor in determining both the quality and yield of olive oil. Managing this moisture content is essential because it affects the oil extraction process and the overall quality of the oil produced [7]. Sustainable agricultural practices prioritize efficient water management and advanced irrigation systems to ensure that olive trees receive the optimal amount of water at the right stages of their growth. Implementing methods for the rapid and reliable assessment of moisture content in olives is crucial to prevent over-irrigation or inadequate irrigation, which can lead to water wastage, soil erosion, and the depletion of valuable water resources [8]. By closely monitoring and managing moisture levels, sustainable practices help maintain environmental balance, conserve water, and promote the production of high-quality olive oil with desirable characteristics, such as lower free acidity [9]. Sustainable agricultural practices play a significant role in minimizing free acidity by reducing the likelihood of diseases and pests, which can stress the olive trees and lead to an increase in acidity [6].
Additionally, these practices help manage the water content of the olives, as excess moisture can promote the activity of enzymes and microorganisms breaking down triglycerides into free fatty acids (FFAs) and glycerol. This breakdown, known as hydrolysis, leads to an increase in free acidity. By optimizing irrigation and maintaining the health of olive trees, sustainable farming methods help control the water content, thus minimizing the conditions which favor hydrolysis and the formation of free fatty acids [10]. This results in the production of olive oil with superior taste, stability, and overall quality.
Determination of the oil content, the moisture of the fruit, and the free acidity of the olive oil is time-consuming and requires considerable handling of samples [11]. These parameters determine the oil value in economic terms as well as the ultimate destiny of the olives. Effective quality control and characterization of the olives require a fast, adaptable, and non-destructive approach.
The olive milling process can be improved with non-destructive methods by predicting the olive’s qualitative attributes. These methods enable quality characteristic monitoring of many olive fruits as they enter a mill, minimizing the need for extensive laboratory testing.
In this context, visible (Vis) and near infrared (NIR) spectroscopy rank among the fundamental techniques which can be used in the determination of those parameters for which olives will be evaluated in economic terms and their ultimate destiny. NIR spectroscopy (NIRS) technology enables fast and inexpensive analysis. Moreover, this technique represents an accurate, adaptable, practical, and sustainable approach. Vis-NIR spectroscopy can be considered a green technology which can be successfully applied to analyzing intact olive fruit, with a significantly lower environmental impact compared with conventional methods of analysis (an impact 15 times lower), as reported by Casson et al. (2020) [12].
The use of NIRS for the determination of various fruit internal quality attributes dates back to the 1980s, although this technique has only recently found its way into industrial applications in most industrialized countries [13].
NIR spectroscopy is widely applied in research focused on food composition and quality assessment. This versatile technique has proven instrumental in a range of studies, providing valuable insights into the nutritional and physicochemical properties of various food products [14,15,16]. In recent years, non-destructive NIRS methods for assessing superficial olive qualities have been widely applied. Portable instruments have been used to measure quality attributes such as the phenolic content, oil content, and moisture while the fruits are still on trees, and their applications are still being studied [17].
Leon et al. (2003) studied the oil content, moisture content, and fatty acid content of intact olives [18]. Their work highlighted how reliable and accurate pre-selection results can be obtained using NIRS for both the oil content and oleic acid content with non-destructive analysis quickly without the use or production of chemical reagents. Morales-Sillero et al. (2011) [19] carried out a study on table olives, highlighting how NIRS is a useful, rapid, and non-destructive technique for genotype selection programs as they observed seedlings of different varieties. Previous studies were carried out to assess olive fruit ripeness with the maturity index (MI) and time of harvest using a benchtop hyperspectral imaging (HSI) system working in the short-wave infrared (SWIR) spectral range (1000–2500 nm) and a portable spectrophotoradiometer working in the Vis–SWIR spectral range (350–2500 nm) [20]. The same spectrophotoradiometer, along with chemometrics, was used to detect olive fruits attacked by olive fruit flies [21].
Numerous studies have leveraged NIR spectroscopy within the olive industry, particularly for quantifying water content and assessing quality parameters. Applications include monitoring olive pomace [22,23,24], analyzing milled olive samples [8], and evaluating olive oil quality [25,26]. These studies highlight the technique’s adaptability and precision in addressing various challenges in the olive industry, from by-product analysis to ensuring the quality of the final product.
However, in this field, there is still a paucity of studies in the literature about NIRS applied to intact olives destined for milling (e.g., [27,28]). The water content of olive fruits directly impacts the milling process. An efficient extraction of oil can be obtained by adjusting milling parameters such as the temperature and pressure if the moisture content is known. Moreover, the water content affects the oil yield (i.e., high water content in olive fruits leads to lower oil yield due to dilution) and the quality of extracted oil (i.e., the flavor, aroma, and shelf life of the oil can all be negatively impacted by excessive moisture).
In the context of sustainable agriculture and land management, understanding and managing the water content of olive fruits is crucial. Variability in the water content not only affects the economic returns of olive oil production but also has broader implications for the management of olive orchards, including irrigation practices and resource use efficiency. Optimizing these factors aligns with the goals of sustainable land use, as it contributes to reducing waste, enhancing resource efficiency, and improving the overall sustainability of the olive oil production process.
In this scenario, the primary objective of this study is to investigate the possibility of determining the water content in olive fruits via Vis-SWIR spectroscopy directly at the inlet of an olive mill. By providing a rapid, non-destructive method for assessing moisture levels, this approach can accelerate the decision-making process regarding harvest timing and milling. Early detection of olive quality can lead to higher economic returns for producers by ensuring that olives are processed in their optimal state, thereby enhancing both the yield and quality.
2. Materials and Methods
In order to study the feasibility of determining the water content in olive fruits using Vis-SWIR spectroscopy, olive fruits underwent a dehydration and weighting process to determine their water content. A portable spectrophotoradiometer was adopted to collect reflectance spectra prior to, during, and after the dehydration process directly on the olive fruits using an ad hoc designed black box. Different chemometric techniques were adopted to process the collected data and perform multivariate regression for the olive fruit weight, weight loss, and water content. A schematic diagram of the adopted methodology which will be detailed further in this section is shown in Figure 1.
Figure 1.
Schematic diagram of the adopted methodology for analyzing reflectance spectra from intact and dehydrating olive fruits, including steps from sample collection to multivariate regression analysis.
2.1. Sample Collection, Preparation, and Data Acquisition
The olive cultivar investigated was the Itrana, which is a typical olive variety of the Lazio region (Italy). A total of 43 olives were randomly harvested from the same tree to obtain a sample which adequately represented the size variability of the drupes. Thirty-three olives were marked as the N series, while 10 olives were identified as the X series. The collection process was performed in September 2022. To monitor the dehydration process, each olive was weighed and marked. Subsequently, immediately after weighing, the olives underwent spectral data collection. Following this process, the olive fruits were placed in a Memmert 100–800 model drying oven (Memmert GmbH + Co. KG, Schwabach, Germany) set at 70 °C. The term T0 represents the moment before the beginning of the dehydration process, corresponding to the state of fresh, intact olive fruit (Figure 2a).
Figure 2.
An example of an olive fruit before and after dehydration process (a) and a scheme of the instrument configuration, with the contact probe connected to the custom black box (b).
At specified timepoints (Table 1), during the dehydration process, each olive fruit was weighed and analysed through being subjected to a Vis-SWIR spectrophotoradiometer. This operation was performed for about 6 days until the drupes reached complete dryness (final timepoint, as shown in Figure 2a). Consequently, a total of 3630 reflectance spectra were obtained (10 spectra for each olive 10 times), which were associated with the residual water contents of the individual drupes during processing. The residual water was calculated as follows:
| Weight in g(T0) − Weight in g(Final T) = Total water content of fresh drupe |
| Weight in g(T1) − Weight in g(Final T) = Total water content of the fresh drupe at time T1 |
| Weight in g(Tn) − Weight in g(Final T) = Total water content of the fresh drupe at time Tn |
Table 1.
Mean (M) ± standard deviation (SD) of olive fruit weight, weight loss, and water content at each timepoint.
Each test point’s residual water content value was linked to their corresponding spectra.
At the same time, the 10 olives of the X series were subjected to initial weighing and spectral data collection at T0 (fresh drupes). For the X series, a total of 200 spectra were collected. Finally, they were placed in a dryer to determine the total water content by establishing the dry weight of the drupes.
2.2. Portable Spectroradiometer System and Spectral Data Collection Procedure
After weighing each olive fruit using an analytical balance, 10 spectra were randomly collected from each fruit surface. The spectra collected for the samples from the N series at different timepoints were used for calibrating the regression model. While the spectra obtained from the samples of the X series at T0 were used to validate the regression model which was previously developed.
Spectrum collection was performed using a FieldSpec 4 Standard-Res portable field spectroradiometer (ASD Inc., Boulder, CO, USA) capable of working in the range of 350–2500 nm with a spectral resolution of 3 nm at 700 nm and 10 nm at 1400/2100 nm [29]. The device has 2151 channels with a spectral sampling bandwidth of 1.4 nm between 350 and 1000 nm and 1.1 nm from 1001 to 2500 nm, enabling highly detailed spectral acquisition. This portable device essentially consists of a detector case connected to a personal computer. The case of the detectors is connected to a contact probe to perform spectra acquisition in reflectance mode via a fiber optic cable. The detection architecture of this spectroradiometer consists of three different separate holographic diffraction gratings, each interfaced with a specific detection unit, which are (1) a VNIR detector (350–1000 nm) utilizing a 512 element silicon array, (2) an SWIR 1 detector (1001–1800 nm) based on a graded-index InGaAs photodiode with two-stage TE cooling, and (3) an SWIR 2 detector (1801–2500 nm), also employing a graded-index InGaAs photodiode with two-stage TE cooling. Each detector is covered by an order separation filter capable of eliminating second- and upper- order light. The ASD contact probe incorporates a halogen light source with a color temperature of 2901 ± 10% K and has a spot size of 10 mm. The light source within the contact probe is positioned at approximately 12° relative to the normal of the probe’s spot, while the 1.5 fiber optic is oriented at about 35° relative to the probe’s main axis. The fiber optic probe has a field of view of 25°, and it was positioned at a distance of approximately 10 mm from the sample surface.
Spectral data collection was performed for each olive fruit using a custom black box specifically designed and built for this purpose (Figure 2b). The contact probe, placed in a specific housing, was positioned in direct contact with the sample placed on a sample holder within the black box. The light source irradiated the sample (e.g., olive fruit), ensuring that reflectance acquisitions occurred without interference from environmental conditions or diffraction phenomena.
2.3. Calibration Procedure and Spectral Data Handling
Calibration of the portable spectroradiometer was performed using the dark current calibration file and a white Spectralon reference standard for white. The calibration procedure, along with data acquisition, was performed using RS3 software (Ver. 6.3; ASD Inc., Boulder, CO, USA) [30]. The collected spectra (“.asd” format) were converted to ASCII text files (“.txt” format) using ViewSpec Pro (Ver. 6.2; ASD Inc., Boulder, CO, USA) and then imported into a MATLAB environment (R2021b Ver. 9.11; MathWorks, Inc., Natick, MA, USA) using a custom script accessible from GitHub (“fieldspec_import3.m”; https://github.com/Gasby90/FieldSpec4_Import3/tree/v.3.1; accessed on 28 May 2024). The obtained data files were stored in dataset objects (DSOs). The DSOs were then processed and analyzed using the PLS_Toolbox (Ver. 9.0; Eigenvector Research, Inc., Wenatchee, WA, USA).
2.4. Data Preprocessing and Exploratory Analysis
The first analytical step was used to evaluate the spectral differences among the olive fruits. To achieve this, a dataset was created from the collected reflectance data (Vis-SWIR range: 350–2500 nm). The collected reflectance spectra underwent data preprocessing. Data preprocessing is an important step to enhance the differences between spectra and remove unwanted noise caused by factors such as light scattering or other effects which occur during acquisition (e.g., sample surface geometry, sample surface roughness, or texture features) [31]. For these reasons, spectral data were preprocessed to remove undesired artifacts, attenuate noise effects due to detectors, and enhance sample differences. The following preprocessing sequence was selected: the Savitzky–Golay (S-G) second derivative and mean centering (MC). In more detail, the S–G second derivative with a 21 point window was used to enhance signal differences [32], while MC was adopted in order to have columns with a mean of zero [31].
Finally, principal component analysis (PCA), a statistical technique used for dimensionality reduction and data visualization [33,34], was chosen to perform the exploratory analysis of decomposed spectral data and evaluate the differences among the drying times of olive fruits. PCA transforms high-dimensional spectral data into a set of orthogonal components called principal components (PCs). These PCs are linear combinations of the original variables (spectral bands) and are ordered based on the amount of variance they capture in the data.
In more detail, PCA was applied to the reflectance spectra collected from olive fruits at various drying times. This approach facilitated the identification and visualization of patterns or clusters corresponding to different drying stages, helping to assess the variations in spectral properties over time. The first few PCs, which explained the majority of the total variance, were used to explore these differences among the drying times, enabling an intuitive interpretation of the spectral data.
2.5. Partial Least Squares Regression
The partial least squares (PLS) regression method was adopted to evaluate the correlation between the collected reflectance spectra and the measured reference parameters obtained with the dehydration process (i.e., olive fruit weight, weight loss, and water content). PLS is a multivariate regression method which aims to search for linear relationships between the spectral dataset matrix (X) and reference measurements (Y) [35,36]. This chemometric method assumes that the studied system can be described by a set of variables called latent variables (LVs).
The regression models were trained using the spectra collected for the N series olive fruits. The Venetian blinds (VBs) algorithm was used as a cross-validation technique to determine the appropriate model complexity and choose the number of LVs. Reflectance spectra utilized to build the regression models were preprocessed using the same methods applied to perform the PCA: the S-G second derivative and MC. Subsequently, the PLS model calibrated for the water content was also tested on the spectral dataset of the X series olive fruits. Finally, the predictive reliability of the calibration curve was assessed by comparing the water content calculated by the model with the total amount of water measured through the difference between the initial and final weights.
The following statistical parameters were then used to assess the regression models’ performance [37]: the root mean square error (RMSE), the coefficient of determination R2, the bias, and the ratio of the standard error of performance to the standard deviation (RPD). All three of these statistical parameters can refer to the calibration (C), cross-validation (CV), and prediction (P) phases of modeling. The RMSE parameter enables evaluation of the differences between the estimated and the observed responses Y. The coefficient of determination R2 is a parameter used to evaluate the fitting of a model, while bias represents the systematic difference which may be present between the results obtained with the reference method and those obtained through prediction with the spectra. The RPD is a non-dimensional statistical parameter which can be used to quickly assess an NIR-based spectroscopy calibration model [38,39]. Based on the RPD values, several degrees of prediction precision can be established for a heterogeneous material. In this approach, an RPD value of 1.5–2.0 indicates the potential to distinguish between high and low values, while a value of 2.0–2.5 allows for approximative quantitative predictions [38]. Finally, a good calibration prediction is represented by an RPD value of 2.5–3.0.
For the performed PLS regressions, the contribution of variables of interest can be summarized by the variable importance for projection (VIP) scores [40,41]. Generally, the principle adopted to determine whether a certain variable was significant was based on the value that the VIP score assumed. According to this criterion, since the average value of the squares of the VIP scores was equal to one, the variables with VIP > 1 were those which made a significant contribution to the prediction of the variable Y. This criterion can be also adopted as a variable selection technique.
3. Results and Discussion
The olive fruits analyzed from the N series had a weight ranging from 1.689 g to 6.314 g (mean ± standard deviation: 3.885 ± 1.275 g). The estimated water content ranged from 0.993 mL to 3.803 mL (mean ± standard deviation: 2.324 ± 0.778 mL). Table 1 reports the average values for the fruit weight, weight loss, and evaluated water content for each timepoint.
As shown in Figure 3, at time T6 (46 h in the oven), most of the water content had evaporated, resulting in weight loss of about 55.3%. Complete evaporation of water occurred at time T8, following a drying process of about 69 h in the oven. By time T8, the olive fruits reached an average weight loss of about 58.5%.
Figure 3.
Olive weight (a), percent weight loss (b), and calculated olive water content (c) as a function of time.
The samples from X series, which were used to test the PLS regression of the water content, had a weight ranging from 1.476 g to 6.438 g (mean ± standard deviation: 3.633 ± 1.352 g) and an estimated water content ranging from 0.822 mL to 3.553 mL (mean ± standard deviation: 2.131 ± 0.746 mL), corresponding to weight loss of about 58.892 ± 2.481%.
3.1. Exploratory Analysis of Reflectance Spectra
The raw reflectance and the preprocessed (after application of the S-G second derivative and MC) spectra are shown in Figure 4. Across timepoints T0–T5, the reflectance spectra showed characteristic absorption between 900 and 1000 nm, which became less and less pronounced with increasing times until it almost disappeared in times T8, T9, and T10. In addition to the absorption band between 1100 and 1250 nm distinguishing T0 from other timepoints, a characteristic range was observed at 1650–1850 nm. Finally, other absorptions occurred between 1350 nm and 1500 nm and from 1900 to 2000 nm.
Figure 4.
Raw reflectance (a) and preprocessed spectra (b) of the olive fruits averaged for each time of dehydration. In (b), the preprocessed spectra using the S-G second derivative and MC are reported.
Additionally, the visible range between 400 and 700 nm displayed distinct characteristics for each timepoint. This is attributable to the olive browning during the drying process. Enhanced peaks in the preprocessed spectra can be found at 700 nm, 750 nm, 900–1000 nm, 1100–1200 nm, 1400 nm, and 1900 nm. These spectral ranges, in which the peaks are found, correspond to the absorption bands of the third OH overtone region (700–800 nm), second OH overtone region (900–1000 nm), second CH overtone (1100–1200 nm), first OH overtone region (1400–1500 nm), and second overtone of C=O (1900–2000 nm).
In more detail, modifications in the peaks near 750–850 nm may be attributed to the CH functional group and the third overtone of H2O [42]. Moreover, in the NIR spectral range, it is possible to investigate other water absorbance bands near 1440 nm (the first harmonic of OH elongation) and 1940 nm (a combination of bending and OH elongation) [43]. According to aquaphotomics studies [44,45], within the area of the first overtone of H2O in the NIR region (1300–1600 nm), water confined in a local field of ion (trapped water) absorption is located near 1398–1418 nm.
The PCA results show that the first PC explained 34% of the total variance in the dataset. As shown in the PCA score plot of the first two PCs in Figure 5a, the scores for the olive fruits at timepoints T0, T1, T2, and T3 predominantly occupied the positive space of PC1, while the scores at T4 and T5 were mostly placed in the negative space of PC1. Finally, the T6, T7, T8, T9, and T10 scores were in the negative space of PC1. As highlighted in the loading plot of PC1 (Figure 5b), the scores of T0, T1, T2, and T3 are in the positive space of PC1, attributed to positive peaks at wavelengths of approximately 650 nm, 950–1000 nm, 1150 nm, 1400 nm, and 1900 nm. Conversely, the scores of timepoints T4, T5, T6, T7, T8, T9, and T10 were predominantly in the negative space of PC1, as defined by the negative peaks observed in the PC1 loadings at approximately 500–600 nm, 700–800 nm, 950 nm, 1100 nm, 1200 nm, and 1700–1800 nm.
Figure 5.
PCA score plot of the first and second principal components (PCs) (a) and loading plot of the first PC (b).
3.2. Regression Models
3.2.1. PLS for Fruit Weight
The PLS regression for the olive fruit weight, built for a range of 0.684–6.310 g, is reported in Figure 6a. According to Table 2, the performed PLS, built with three LVs and an R2CV of 0.78, reached an RMSECV of 0.6 g. As shown in Figure 6b, the VIP score peaks were located near 650–750 nm, 950 nm, 1100–1200 nm, 1400 nm, and 1850 nm.
Figure 6.
Regression plot of the PLS model for olive fruit weight (a) and the corresponding VIP score plot (b). The PLS model was obtained with Vis-SWIR spectra preprocessed using the S-G second derivative and MC.
Table 2.
Statistical parameters of the PLS regressions performed using reflectance spectra collected from intact olive fruits (prior to and during the drying process) for weight, weight loss, and water content in calibration (C) and cross-validation (CV). The reflectance spectra were acquired using the FieldSpec 4 Standard-Res portable field spectroradiometer in the Vis-SWIR range (350–2500 nm). The Y data ranges correspond to measurements carried out for the olive fruits using the drying and weighing method as the reference analysis. The statistical parameters of the PLS regression are as follows: LV = latent variable; RMSEC = root mean square error of calibration; RMSECV = root mean square error of cross-validation; Bias C = bias of calibration; Bias CV = bias of cross-validation; R2C = R2 in calibration; and R2CV = R2 in cross-validation.
3.2.2. PLS for Fruit Weight Loss During Drying
The PLS regression for olive fruit weight loss, built in the range of 0.00–62.2%, is reported in Figure 7a. As shown in Table 2, the PLS built with seven LVs reached an R2CV of 0.963 and an RMSECV of 4.5%. In this case, the VIP score peaks were concentrated in similar spectral regions to those observed in the PLS model performed for the weight (i.e., near 700 nm, 950 nm, 1150 nm, 1200 nm, 1400 nm, and 1850 nm; refers to Figure 7b).
Figure 7.
Regression plot of the PLS model calibrated for olive fruit weight loss (a) and the corresponding VIP score plot (b). PLS model was obtained with Vis-SWIR spectra preprocessed using S-G second derivative and MC.
3.2.3. PLS for Fruit Water Content
The PLS regression for the olive fruit water content, built in the data range of 0.000–3.803 mL (mean ± SD: 0.978 ±1.039 mL), is reported in Figure 8a. The PLS performed with 5 LVs, reaching an R2CV of 0.944 and an RMSECV of 0.245 mL (Table 2). As shown in Figure 8b, the highest VIP score peaks were observed near 650–750 nm, 950 nm, 1100–1200 nm, 1400 nm, and 1850 nm.
Figure 8.
Regression plot of the PLS model calibrated for the olive fruit water content (a) and the corresponding VIP score plot (b). PLS model was obtained with Vis-SWIR spectra preprocessed using S-G second derivative and MC.
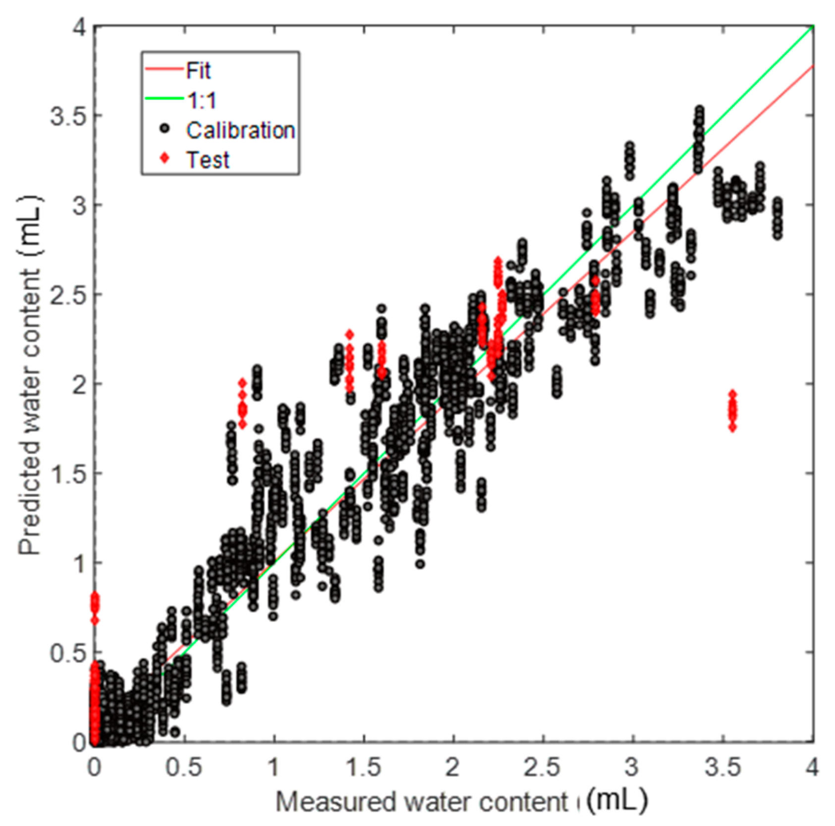
When testing the PLS regression for the water content using the reflectance spectra of the X series sample set (with a water content range of 0.000–3.553 mL; mean ± SD: 1.065 ± 1.180 mL), an RMSEP of 0.556 mL with an R2P of 0.802, an RPD of 2.247, and a prediction bias of 0.178 were achieved (Figure 9). As a result, the mean of the measured water content and the mean of the predicted water content of the X series sample set were in quite good agreement (1.065 ± 1.180 mL versus 1.244 ± 1.004 mL). This indicates that when analyzing the water content of a batch of olives before the milling process, one may obtain a reliable estimate of the water content by analyzing a representative number of olives [46].
Figure 9.
Regression plot of the PLS model for the prediction of olive fruit water content, obtained with Vis-SWIR spectra preprocessed using the S-G second derivative and MC. Black dots are representative of the calibration set (N series set), while the red diamonds represent the test set (X series).
Moreover, the obtained results are in line with a previous study performed on intact olives by Grassi et al. in 2021 [27]. In their study, the authors used a handheld portable Vis-NIR spectrometer and PLS method for assessing the moisture content (expressed as a percentage). The authors, in their best-performing PLS regression model, achieved an R2c of 0.88, an RMSEC of 3.56% in calibration and an R2P of 0.84, and an RMSEP of 3.97% in predicting the moisture content (expressed as a percentage) by using seven LVs. Although the presented methodology and results share similarities with those reported in [27], this study introduces several notable differences. The measurement approach distinguishes itself by employing a portable spectrometer capable of capturing a rather broad spectral range in a single acquisition and leveraging a direct fiber probe for reflectance measurements. Additionally, the data analysis strategy integrates advanced techniques such as the S-G second derivative and MC preprocessing.
4. Conclusions and Future Perspective
This preliminary study demonstrates the effective application of visible and short-wave infrared (Vis-SWIR) spectroscopy for rapid and non-destructive assessment of the water content in intact olive fruits prior to milling. Predictive models based on PLS regression showed strong predictive capabilities not only for the water content but also for related parameters such as fruit weight and weight loss during dehydration. The obtained results suggest that Vis-SWIR spectroscopy can be considered a potential tool for monitoring and quality control in real time during the process of olive oil production. However, certain limitations of the proposed approach should be acknowledged. The methodology was developed using a single olive cultivar and a specific phenological stage, which may limit the generalizability of the predictive models. Spectral variations due to differences in cultivar and ripening stages need to be thoroughly investigated. Expanding the dataset to encompass a broader range of cultivars and ripening conditions would likely enhance the accuracy and robustness of the models. Additionally, while this study underscores the importance of water content in optimizing irrigation and sustainability practices, the connection between water content and oil quality remains underexplored. Further research is needed to establish this relationship comprehensively across diverse conditions and cultivars.
The integration of Vis-SWIR spectroscopy into olive cultivation and processing practices offers significant advantages for sustainable land and resource management. The possibility of assessing the water content in real time facilitates more informed decision making regarding optimal harvest times, ensuring that olives are processed at their peak quality and contributing to higher oil yields and improved product standards. Such technology also enables precise monitoring of the water status in olive orchards, supporting efficient irrigation management and reducing water waste, which are essential aspects of sustainable agriculture, especially in arid and semi-arid regions. Furthermore, the adoption of portable Vis-SWIR spectrophotometric equipment will bring about the availability of instant crop condition data closer to farmers and millers, who lack much infrastructure at the laboratory level. This ease of access promotes equitable technological advancement across various scales of agricultural operations, enhancing overall productivity and economic returns while minimizing environmental impacts.
The implications of this study extend beyond the olive oil industry, highlighting the broader applicability of Vis-SWIR spectroscopy in precision agriculture and land management. For example, Vis-SWIR spectroscopy can monitor olive plant health even in the absence of fruits by analyzing spectral signatures from leaves and other vegetative parts. This capability allows for real-time assessments of chlorophyll content, water stress, nutrient deficiencies, and pest or disease presence. Such data can guide better irrigation practices, optimize fertilizer and pesticide use, and mitigate stressors like drought or disease, promoting resource-efficient and eco-friendly farming. Upscaling Vis-SWIR spectroscopy to airborne platforms is another promising avenue. Hyperspectral imaging (HSI) systems equipped on drones or satellites could enable high-resolution monitoring of large olive orchards. However, challenges such as the need for adapted spectrometers, balancing spatial resolution with area coverage, and mitigating environmental factors like cloud cover must be addressed. In this context, airborne platforms may provide more flexibility for real-time observations in challenging conditions.
By facilitating optimized use of natural resources and improving crop management strategies, such technologies contribute to the achievement of several United Nations Sustainable Development Goals (SDGs), including responsible consumption and production (SDG 12), clean water and sanitation (SDG 6), and zero hunger (SDG 2).
Future research should focus on expanding the dataset to include diverse olive cultivars and growing conditions, as well as integrating Vis-SWIR spectroscopy with other remote sensing and data analytics tools. Such interdisciplinary approaches can enhance predictive models and support comprehensive land use planning and sustainable agricultural practices, advancing the role of innovative technologies in addressing global food security and environmental challenges.
Author Contributions
Conceptualization: E.L. and R.G.; methodology: E.L., D.G. and R.G.; software: R.G.; validation: E.L., G.B., D.G., R.G., L.M., R.M. and S.S.; formal analysis: E.L. and R.G.; investigation: G.B., R.G., E.L. and D.G.; resources: G.B. and S.S.; data curation: D.G. and R.G.; writing—original draft preparation: R.G. and D.G.; writing—review and editing: E.L., G.B., R.G., D.G., L.M. and R.M.; visualization: E.L., G.B., L.M., R.M. and S.S.; supervision: E.L., G.B. and S.S. All authors have read and agreed to the published version of the manuscript.
Funding
This study was carried out within the Agritech National Research Center and received funding from the European Union’s Next-GenerationEU (PNRR–MISSION 4, COMPONENT 2, INVESTMENT 1.4—D.D. 1032, 17 June 2022, CN00000022—CUP: B83C22002920007) as well as “Ateneo” Sapienza grants to L.M. and Ministero dell’Istruzione, dell’Università e della Ricerca, Progetti di Ricerca di Interesse Nazionale (PRIN) 2022 (grant number: 2022B9WP2K) to L.M. While R.M. benefitted from FSE REACT-EU funding within the PON “Research and Innovation” 2014–2020 program (PON R&I), Action IV.6 “Contratti di ricerca su tematiche Green”.
Data Availability Statement
The data presented in this study are available from the corresponding authors upon reasonable request.
Acknowledgments
The authors gratefully acknowledge Giovanni Acampora (Camera di Commercio Frosinone—Latina) for supporting this study and Luigi Centauri (Centro Assaggiatori Produzioni Olivicole Latina—CAPOL association), for providing the samples of Olea europea vr. Itrana.
Conflicts of Interest
The authors declare that they have no known competing financial interests or personal relationships which could have appeared to influence the work reported in this paper.
References
- Buckland, G.; González, C.A. Chapter 72—Trends in Olive Oil Production, Supply and Consumption in Mediterranean Countries from 1961 to the Present Day. In Olives and Olive Oil in Health and Disease Prevention; Preedy, V.R., Watson, R.R., Eds.; Academic Press: San Diego, CA, USA, 2010; pp. 689–698. [Google Scholar]
- UN Food and Agriculture Organization. C.S.D.-F. Top 10 Country Production of Olives-2020; UN Food and Agriculture Organization: Rome, Italy, 2022. [Google Scholar]
- Bonifazi, G.; Serranti, S. Hyperspectral Sensing Techniques Applied to Bio-masses Characterization: The Olive Husk Case. In Proceedings of the International Conference on Computer and Computing Technologies in Agriculture, Nanchang, China, 22–25 October 2010; pp. 751–764. [Google Scholar]
- Garcia, J.M.; Seller, S.; Perez-Camino, M.C. Influence of fruit ripening on olive oil quality. J. Agric. Food Chem. 1996, 44, 3516–3520. [Google Scholar] [CrossRef]
- Aïachi Mezghani, M.; Ayadi, M.; Attia, F.; Zouari, I.; Labidi, F.; Attia, L. Effects of irrigation and fertigation on tree growth, yield and oil quality of olive cultivars in south Tunisia. In Proceedings of the VIII International Olive Symposium 1199, Split, Croatia, 10–14 October 2016; pp. 255–260. [Google Scholar]
- Brkić Bubola, K.; Kolega, Š.; Marcelić, Š.; Šikić, Z.; Gašparović Pinto, A.; Zorica, M.; Klisović, D.; Novoselić, A.; Jukić Špika, M.; Kos, T. Effect of different watering regimes on olive oil quality and composition of coratina cultivar olives grown on karst soil in Croatia. Foods 2022, 11, 1767. [Google Scholar] [CrossRef] [PubMed]
- Vicario, G.; Cantini, C.; Francini, A.; Raffaelli, A.; Cifelli, M.; Domenici, V.; Sebastiani, L. Olive Fruit Ripening Degree and Water Content Relationships with Phenolic Acids and Alcohols, Secoiridoids, Flavonoids and Pigments in Fruit and Oil. Molecules 2023, 28, 6943. [Google Scholar] [CrossRef] [PubMed]
- Lee, C.; Polari, J.J.; Kramer, K.E.; Wang, S.C. Near-infrared (NIR) spectrometry as a fast and reliable tool for fat and moisture analyses in olives. ACS Omega 2018, 3, 16081–16088. [Google Scholar] [CrossRef] [PubMed]
- Saffar Taluri, S.; Jafari, S.M.; Bahrami, A. Evaluation of changes in the quality of extracted oil from olive fruits stored under different temperatures and time intervals. Sci. Rep. 2019, 9, 19688. [Google Scholar] [CrossRef]
- Mohamad, R.S.; Verrastro, V.; Cardone, G.; Bteich, M.R.; Favia, M.; Moretti, M.; Roma, R. Optimization of organic and conventional olive agricultural practices from a Life Cycle Assessment and Life Cycle Costing perspectives. J. Clean. Prod. 2014, 70, 78–89. [Google Scholar] [CrossRef]
- Muik, B.; Lendl, B.; Molina-Díaz, A.; Ayora-Cañada, M.J. Fourier Transform Raman spectrometry for the quantitative analysis of oil content and humidity in olives. Appl. Spectrosc. 2003, 57, 233–237. [Google Scholar] [CrossRef] [PubMed]
- Casson, A.; Beghi, R.; Giovenzana, V.; Fiorindo, I.; Tugnolo, A.; Guidetti, R. Environmental advantages of visible and near infrared spectroscopy for the prediction of intact olive ripeness. Biosyst. Eng. 2020, 189, 1–10. [Google Scholar] [CrossRef]
- Nicolai, B.M.; Beullens, K.; Bobelyn, E.; Peirs, A.; Saeys, W.; Theron, K.I.; Lammertyn, J. Nondestructive measurement of fruit and vegetable quality by means of NIR spectroscopy: A review. Postharvest Biol. Technol. 2007, 46, 99–118. [Google Scholar] [CrossRef]
- Fodor, M.; Matkovits, A.; Benes, E.L.; Jókai, Z. The Role of Near-Infrared Spectroscopy in Food Quality Assurance: A Review of the Past Two Decades. Foods 2024, 13, 3501. [Google Scholar] [CrossRef]
- Achata, E.; Esquerre, C.; O’Donnell, C.; Gowen, A. A Study on the Application of Near Infrared Hyperspectral Chemical Imaging for Monitoring Moisture Content and Water Activity in Low Moisture Systems. Molecules 2015, 20, 2611–2621. [Google Scholar] [CrossRef]
- Büning-Pfaue, H. Analysis of water in food by near infrared spectroscopy. Food Chem. 2003, 82, 107–115. [Google Scholar] [CrossRef]
- Stella, E.; Moscetti, R.; Haff, R.P.; Monarca, D.; Cecchini, M.; Contini, M.; Massantini, R. Recent advances in the use of non-destructive near infrared spectroscopy for intact olive fruits. J. Near Infrared Spectrosc. 2015, 23, 197–208. [Google Scholar] [CrossRef]
- Leon, L.; Rallo, L.; Garrido, A. Near-Infrared Spectroscopy (NIRS) analysis of intact olive fruit: An useful tool in olive breeding programs. Grasas Aceites 2003, 54, 41–47. [Google Scholar] [CrossRef]
- Morales-Sillero, A.; Fernández-Cabanás, V.-M.; Casanova, L.; Jiménez, M.-R.; Suárez, M.-P.; Rallo, P. Feasibility of NIR spectroscopy for non-destructive characterization of table olive traits. J. Food Eng. 2011, 107, 99–106. [Google Scholar] [CrossRef]
- Serranti, S.; Bonifazi, G.; Gasbarrone, R. Olive Fruit Ripening Evaluation and Quality Assessment by Hyperspectral Sensing Devices. In Proceedings of the SPIE 10665, Sensing for Agriculture and Food Quality and Safety X, Orlando, FL, USA, 17–18 April 2018; p. 106650R. [Google Scholar]
- Bonifazi, G.; Gasbarrone, R.; Serranti, S. Detection of olive fruits attacked by olive fruit flies using visible-short wave infrared spectroscopy. In Proceedings of the SPIE 11693, Photonic Instrumentation Engineering VIII, SPIE OPTO 2021, Online, 6–11 March 2021; p. 1169315. [Google Scholar]
- Leone, A.; Berardi, A.; Antonelli, G.; Dellisanti, C.D.; Tamborrino, A. NIR Spectroscopy for the Online Monitoring of Water and Olive Oil Content in Pomace during the Extraction Process. Appl. Syst. Innov. 2024, 7, 96. [Google Scholar] [CrossRef]
- Altieri, G.; Matera, A.; Genovese, F.; Di Renzo, G.C. Models for the rapid assessment of water and oil content in olive pomace by near-infrared spectrometry. J. Sci. Food Agric. 2020, 100, 3236–3245. [Google Scholar] [CrossRef] [PubMed]
- Muik, B.; Lendl, B.; Molina-Díaz, A.; Pérez-Villarejo, L.; Ayora-Cañada, M.J. Determination of oil and water content in olive pomace using near infrared and Raman spectrometry. A comparative study. Anal. Bioanal. Chem. 2004, 379, 35–41. [Google Scholar] [CrossRef]
- García Martín, J.F. Potential of near-infrared spectroscopy for the determination of olive oil quality. Sensors 2022, 22, 2831. [Google Scholar] [CrossRef] [PubMed]
- Karunathilaka, S.R.; Fardin-Kia, A.R.; Roberts, D.; Mossoba, M.M. Determination of moisture in olive oil: Rapid FT-NIR spectroscopic procedure based on the Karl-Fischer reference method. J. Oleo Sci. 2020, 69, 1373–1380. [Google Scholar] [CrossRef] [PubMed]
- Grassi, S.; Jolayemi, O.S.; Giovenzana, V.; Tugnolo, A.; Squeo, G.; Conte, P.; De Bruno, A.; Flamminii, F.; Casiraghi, E.; Alamprese, C. Near infrared spectroscopy as a green technology for the quality prediction of intact olives. Foods 2021, 10, 1042. [Google Scholar] [CrossRef] [PubMed]
- Hernández-Sánchez, N.; Gómez-Del-Campo, M. From NIR spectra to singular wavelengths for the estimation of the oil and water contents in olive fruits. Grasas Aceites 2018, 69, e278. [Google Scholar] [CrossRef]
- ASD Inc. FieldSpec® 4 User Manual, ASD Document 600979; ASD Inc.: Boulder, CO, USA, 2015. [Google Scholar]
- ASD Inc. RS3™ User Manual, ASD Document 600545; ASD Inc.: Boulder, CO, USA, 2008. [Google Scholar]
- Rinnan, Å.; Van Den Berg, F.; Engelsen, S.B. Review of the most common pre-processing techniques for near-infrared spectra. TrAC Trends Anal. Chem. 2009, 28, 1201–1222. [Google Scholar] [CrossRef]
- Savitzky, A.; Golay, M.J. Smoothing and differentiation of data by simplified least squares procedures. Anal. Chem. 1964, 36, 1627–1639. [Google Scholar] [CrossRef]
- Bro, R.; Smilde, A.K. Principal component analysis. Anal. Methods 2014, 6, 2812–2831. [Google Scholar] [CrossRef]
- Wold, S.; Esbensen, K.; Geladi, P. Principal component analysis. Chemom. Intell. Lab. Syst. 1987, 2, 37–52. [Google Scholar] [CrossRef]
- Wold, S.; Sjöström, M.; Eriksson, L. PLS-regression: A basic tool of chemometrics. Chemom. Intell. Lab. Syst. 2001, 58, 109–130. [Google Scholar] [CrossRef]
- Geladi, P.; Kowalski, B.R. Partial least-squares regression—A tutorial. Anal. Chim. Acta 1986, 185, 1–17. [Google Scholar] [CrossRef]
- Martens, H.; Naes, T. Multivariate Calibration; John Wiley & Sons: Hoboken, NJ, USA, 1992. [Google Scholar]
- Williams, P. The RPD statistic: A tutorial note. NIR News 2014, 25, 22–26. [Google Scholar] [CrossRef]
- Fearn, T. Assessing calibrations: Sep, rpd, rer and r 2. NIR News 2002, 13, 12–13. [Google Scholar] [CrossRef]
- Bonifazi, G.; Capobianco, G.; Gasbarrone, R.; Serranti, S. Hazelnuts Classification by Hyperspectral Imaging Coupled with Variable Selection Methods. In Proceedings of the SPIE 11754, Sensing for Agriculture and Food Quality and Safety XIII, Online, 12–16 April 2021; p. 117540Q. [Google Scholar]
- Chong, I.-G.; Jun, C.-H. Performance of some variable selection methods when multicollinearity is present. Chemom. Intell. Lab. Syst. 2005, 78, 103–112. [Google Scholar] [CrossRef]
- Xia, Y.; Huang, W.; Fan, S.; Li, J.; Chen, L. Effect of spectral measurement orientation on online prediction of soluble solids content of apple using Vis/NIR diffuse reflectance. Infrared Phys. Technol. 2019, 97, 467–477. [Google Scholar] [CrossRef]
- Ozaki, Y. Application in chemistry. In Near-Infrared Spectroscopy; Siesler, H.W., Ozaki, Y., Kawata, S., Heise, H.M., Eds.; Wiley-VCH: Weinheim, Germany, 2002; pp. 179–211. [Google Scholar]
- Tsenkova, R. Aquaphotomics: Dynamic spectroscopy of aqueous and biological systems describes peculiarities of water. J. Near Infrared Spectrosc. 2009, 17, 303–313. [Google Scholar] [CrossRef]
- Muncan, J.; Tsenkova, R. Aquaphotomics—From innovative knowledge to integrative platform in science and technology. Molecules 2019, 24, 2742. [Google Scholar] [CrossRef] [PubMed]
- Israel, G.D. Determining Sample Size; University of Florida Cooperative Extension Service, Institute of Food and Agriculture Sciences, EDIS: Gainesville, FL, USA, 1992. [Google Scholar]
Disclaimer/Publisher’s Note: The statements, opinions and data contained in all publications are solely those of the individual author(s) and contributor(s) and not of MDPI and/or the editor(s). MDPI and/or the editor(s) disclaim responsibility for any injury to people or property resulting from any ideas, methods, instructions or products referred to in the content. |
© 2024 by the authors. Licensee MDPI, Basel, Switzerland. This article is an open access article distributed under the terms and conditions of the Creative Commons Attribution (CC BY) license (https://creativecommons.org/licenses/by/4.0/).








