Physical and Chemical Properties of Limestone Quarry Technosols Used in the Restoration of Mediterranean Habitats
Abstract
:1. Introduction
2. Materials and Methods
2.1. Experimental Site
2.2. Experimental Setting
2.3. Soil Sampling
2.4. Data Analysis
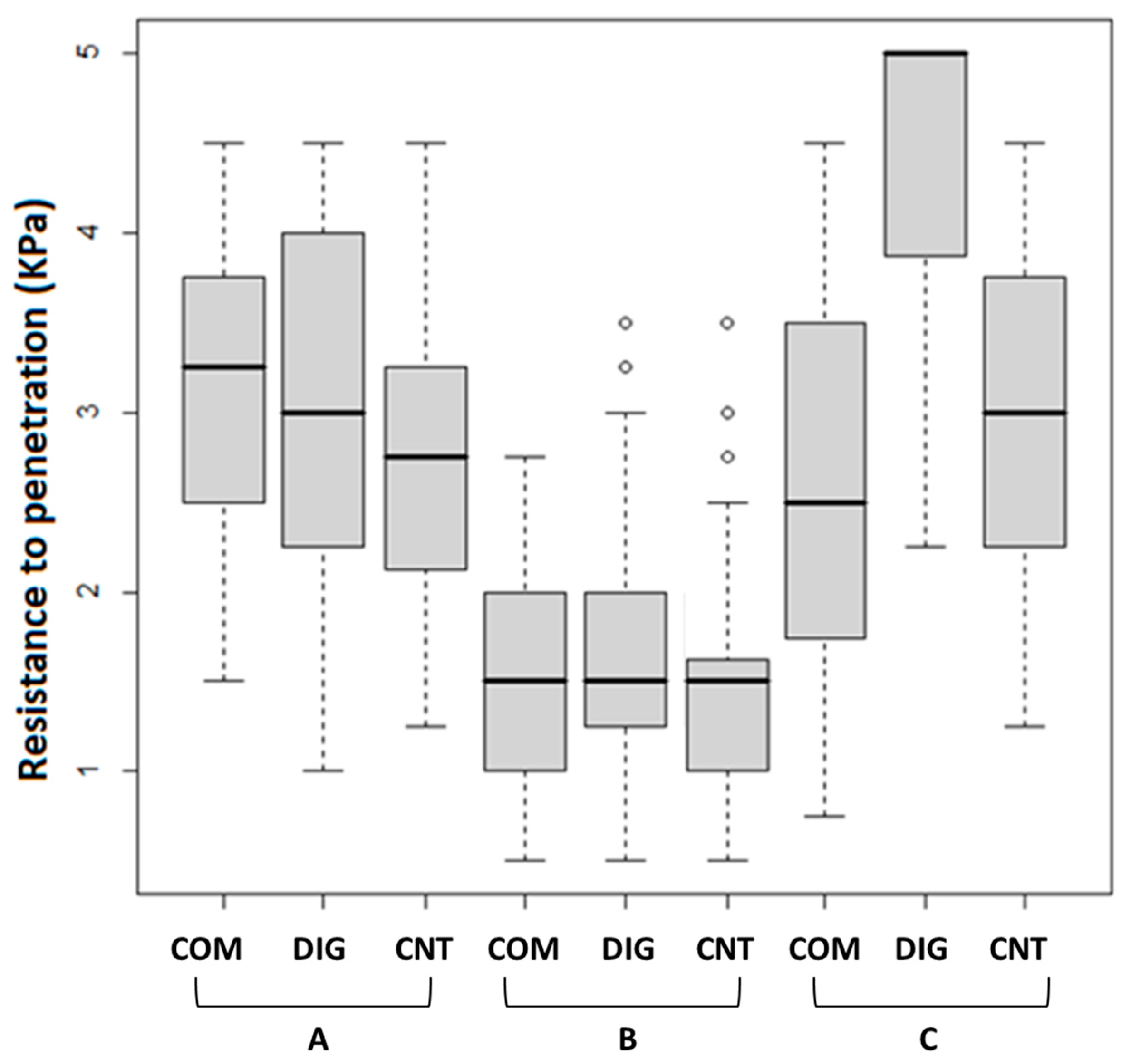
3. Results
4. Discussion
4.1. Soil Chemical Properties
4.2. Soil Physical Factors
5. Conclusions
Author Contributions
Funding
Data Availability Statement
Acknowledgments
Conflicts of Interest
References
- Gams, I.; Nicod, J.; Julian, M.; Anthony, E.; Sauro, U. Environmental change and human impacts on the Mediterranean karst of France, Italy and the Dinaric Region. In Karst Terrains. Environmental Changes and Human Impact; Williams, P.W., Ed.; Catena Verlag: Cremlingen-Destedt, Germany, 1993; pp. 9–98. [Google Scholar]
- European Parliament and council of the European Union. Directive 2006/21/EC of 15 March 2006 on the Management of Waste from Extractive Industries and Amending Directive 2004/35/EC; European Parliament and council of the European Union: Bruselles, Belgium, 2006. [Google Scholar]
- de Catalunya, G. Ley 12/1981, de 24 de diciembre, por la que se establecen normas adicionales de protección de los espacios de especial interés natural afectados por actividades extractivas. DOGC 1981, 189, DOGC-f-1981-90012. [Google Scholar]
- Martín Duque, J.F.; Sanz, M.A.; Bodoque, J.M.; Lucía, A.; Martín, C. Restoring earth surface processes through landform design. A 13-year monitoring of a geomorphic reclamation model for quarries on slopes. Earth Surf. Process. Landf. 2010, 35, 531–548. [Google Scholar] [CrossRef]
- Young, R.E.; Gann, G.D.; Walder, B.; Liu, J.; Cui, W.; Newton, V.; Nelson, C.R.; Tashe, N.; Jasper, D.; Silveira, F.A.O.; et al. International principles and standards for the ecological restoration and recovery of mine sites. Restor. Ecol. 2022, 30, e13771. [Google Scholar] [CrossRef]
- IUSS. Working Group WRB World reference base for soil resources 2006. In World Soil Resources Reports No. 103; FAO: Rome, Italy, 2006. [Google Scholar]
- Norman, D.; Wamper, P.; Throop, A.; Schnitzer, F.; Rolof, J. Best Management Practices for Reclaiming Surface Mines in Washington and Oregon., 1st ed.; Oregon Department of Geology and Mineral Industries: Portland, OR, USA, 1997. [Google Scholar]
- Alcañiz, J.M.; Ortiz, O.; Carabassa, V. Manual de restauració D’activitats Extractives amb Fangs de Depuradora. In Agència Catalana de l’Aigua, Departament de Medi Ambient i Habitatge, 1st ed.; Generalitat de Catalunya: Barcelona, Spain, 2007. [Google Scholar]
- Ojeda, G.; Alcañiz, J.M.; Le Bissonnais, Y. Differences in aggregate stability due to various sewage sludge treatments on a Mediterranean calcareous soil. Agric. Ecosyst. Environ. 2008, 125, 48–56. [Google Scholar] [CrossRef]
- Watkinson, A.D.; Lock, A.S.; Beckett, P.J.; Spiers, G. Developing manufactured soils from industrial by-products for use as growth substrates in mine reclamation. Restor. Ecol. 2017, 25, 587–594. [Google Scholar] [CrossRef]
- Carabassa, V.; Ortiz, O.; Alcañiz, J.M. Sewage sludge as an organic amendment for quarry restoration: Effects on soil and vegetation. Land Degrad. Dev. 2018, 29, 2568–2574. [Google Scholar] [CrossRef]
- Zocche, F.J.; Sehn, L.M.; Pillon, J.G.; Schneider, C.H.; Olivo, E.F.; Raupp-Pereira, F. Technosols in coal mining areas: Viability of combined use of agro-industry waste and synthetic gypsum in the restoration of areas degraded. Clean. Eng. Technol. 2023, 13, 100618. [Google Scholar] [CrossRef]
- Ruiz, F.; Perlatti, F.; Oliveira, D.P.; Ferreira, T.O. Revealing Tropical Technosols as an Alternative for Mine Reclamation and Waste Management. Minerals 2020, 10, 110. [Google Scholar] [CrossRef]
- Jordán, M.M.; García-Sánchez, E.; Almendro-Candel, M.B.; Pardo, F.; Vicente, A.B.; Sanfeliu, T.; Bech, J. Technosols designed for rehabilitation of mining activities using mine spoils and biosolids. Ion mobility and correlations using percolation columns. CATENA 2017, 148, 74–80. [Google Scholar] [CrossRef]
- Tejada, M.; Hernandez, M.T.; Garcia, C. Application of Two Organic Amendments on Soil Restoration: Effects on the Soil Biological Properties. J. Environ. Qual. 2005, 35, 1010–1017. [Google Scholar] [CrossRef]
- RuralCat, Generalitat de Catalunya. Departament d’Acció Climàtica Alimentació i Agenda Rural. Agrometeorological Data from the Garraf-Sant Pere de Ribes Station, 2021–2022. Available online: https://ruralcat.gencat.cat/web/guest/agrometeo.estacions (accessed on 2 June 2022).
- Gobierno de España, Real Decreto 506/2013, de 28 de Junio, Sobre Productos Fertilizantes. «BOE» núm. 164, de 10/07/2013. Available online: https://www.boe.es/eli/es/rd/2013/06/28/506 (accessed on 22 May 2023).
- Clarke Topp, G.; Ferré, P.A. Methods of Soil Analysis Part 4 Physical Methods; SSSA: Madison, WI, USA, 2002. [Google Scholar]
- American Society of Agronomy. Methods of soil analysis. In Part 2 Chemical and Microbiological Properties, 2nd ed.; American Society of Agronomy: Madison, WI, USA, 1982. [Google Scholar]
- Jorba, M.; Vallejo, V.R. Criteris i Mètodes D’avaluació in Manual per a la Restauración de Pedreres de Roca Calcària en Clima Mediterrani, 1st ed.; Direcció General de Qualitat Ambiental. Àrea d’Avaluació i Restauració d’Activitats Extractives: Catalonia, Spain, 2010; Volume 5.1, pp. 99–101. [Google Scholar]
- Raya-Moreno, I. Efectes de L’aplicació de Biochar de pi i de Blat de Moro en el Carboni Orgànic d’un sòl Agrícola Mediterrani. Ph.D. Thesis, Universitat Autònoma de Barcelona, Barcelona, Spain, 2018. [Google Scholar]
- Angelova, V.; Akova, I.R.; Artinova, S.; Ivanov, I. The effect of organic amendments on soil chemical characteristics. Bulg. J. Agric. Sci. 2013, 19, 958–971. [Google Scholar]
- Mikkelsen, R.; Hartz, T.K. Nitrogen sources for organic crop production. Better Crops 2008, 92, 16–452. [Google Scholar]
- Sharpley, A.; Syers, J. Seasonal variations in casting activity and in the amounts and release to solution of phosphorous forms in earthworm casts. Soil Biol. Biochem. 1977, 9, 227–231. [Google Scholar] [CrossRef]
- Brust, G.E. Chapter 9—Management Strategies for Organic Vegetable Fertility. In Safety and Practice for Organic Food, 1st ed.; Biswas, D., Micallef, S.A., Eds.; Elsevier: Amsterdam, The Netherlands, 2019; pp. 193–212. [Google Scholar] [CrossRef]
- Tunesi, S.; Poggi, V.; Gessa, C. Phosphate adsorption and precipitation in calcareous soils: The role of calcium ions in solution and carbonate minerals. Nutr. Cycl. Agroecosystems 1999, 53, 219–227. [Google Scholar] [CrossRef]
- Carabassa, V.; Domene, X.; Díaz, E.; Alcañiz, J.M. Mid-term effects on ecosystem services of quarry restoration with Technosols under Mediterranean conditions: 10-year impacts on soil organic carbon and vegetation development. Restor. Ecol. 2019, 28, 60–970. [Google Scholar] [CrossRef]
- Afif, E.; Matar, A.; Torrent, J. Availability of phosphorus applied to calcareous soils of West Asia and North Africa. Soil Sci. Soc. Am. J. 1993, 57, 756–760. [Google Scholar] [CrossRef]
- Shuman, L.M. Organic waste amendments effect on zinc fractions of two soils. J. Environ. Qual. 1999, 28, 1442–1447. [Google Scholar] [CrossRef]
- Mandal, B.; Hazra, G.C. Zn adsorption in soils as influenced by different soil management practices. Soil Sci. 1997, 162, 713–721. [Google Scholar] [CrossRef]
- Zeng, H.; Chen, L.; Yang, Y.; Deng, X.; Zhou, X.; Zeng, Q. Basal and Foliar Treatment using an Organic Fertilizer Amendment Lowers Cadmium Availability in Soil and Cadmium Uptake by Rice on Field Micro-Plot Experiment Planted in Contaminated Acidic Paddy Soil. Soil Sediment Contam. 2019, 28, 1–14. [Google Scholar] [CrossRef]
- Guo, F.; Ding, C.; Zhou, Z.; Huang, G.; Wang, X. Effects of combined amendments on crop yield and cadmium uptake in two cadmium contaminated soils under rice-wheat rotation. Ecotoxicol. Environ. Saf. 2018, 148, 303–310. [Google Scholar] [CrossRef]
- Elouear, Z.; Bouhamed, F.; Boujelben, N.; Bouzid, J. Application of sheep manure and potassium fertilizer to contaminated soil and its effect on zinc, cadmium and lead accumulation by alfalfa plants. Sustain. Environ. Res. 2016, 26, 131–135. [Google Scholar] [CrossRef]
- Ross, S.M. Retention, transformation and mobility of toxic metals in soils. In Toxic Metals in Soil–Plant Systems; Ross, John Wiley & Sons: Chichester, UK, 1994; pp. 63–153. [Google Scholar]
- Gondek, M.; Weindorf, D.C.; Thiel, C.; Kleinheinz, G. Soluble Salts in Compost and Their Effects on Soil and Plants: A Review. Compost. Sci. Util. 2020, 28, 59–75. [Google Scholar] [CrossRef]
- Baldock, J.A. Composition and Cycling of Organic Carbon in Soil. In Nutrient Cycling in Terrestrial Ecosystems; Marschner, P., Rengel, Z., Eds.; Soil Biology, Springer: Berlin/Heidelberg, Germany, 2007; Volume 10. [Google Scholar] [CrossRef]
- Goldberg, N.; Nachshon, U.; Argaman, E.; Ben-Hur, M. Short Term Effects of Livestock Manures on Soil Structure Stability, Runoff and Soil Erosion in Semi-arid Soils under Simulated Rainfall. Geosciences 2020, 10, 213. [Google Scholar] [CrossRef]
- Caravaca, F.; Garcia, C.; Hernández, M.T.; Roldán, A. Aggregate stability changes after organic amendment and mycorrhizal inoculation in the afforestation of a semiarid site with Pinus halepensis. Appl. Soil Ecol. 2002, 19, 199–208. [Google Scholar] [CrossRef]
- Lal, R. Soil erosion and the global carbon budget. Environ. Int. 2003, 29, 437–450. [Google Scholar] [CrossRef]
- Carter, M.R.; Stewart, B.A. Structure and Organic Matter Storage in Agricultural Soils; CRC Press: Boca Raton, FL, USA, 1996; p. 477. [Google Scholar]






| Technosol | Blasting Debris (BD) | Production Waste (PW) | Excavated Soils | Amendment Doses (m3/ha) | |
|---|---|---|---|---|---|
| Digestate | Compost | ||||
| A | 30 | 40 | 30 | 150 | 100 |
| B | 60 | 40 | 0 | 150 | 100 |
| C | 40 | 40 | 20 | 275 | 175 |
| Units | Blasting Debris (BD) | Production Waste (PW) | Excavated Soils | Topsoils | |
|---|---|---|---|---|---|
| 250–75 mm | % | 31 | 0 | 6 | 21 |
| 75–10 mm | % | 34 | 29 | 24 | 34 |
| 10–2 mm | % | 16 | 42 | 23 | 26 |
| <2 mm | % | 19 | 28 | 46 | 19 |
| Bulk density | t/m3 | 1.7 | 1.4 | 1.5 | 1.6 |
| Sand | % * | 45.8 | 67.3 | 63.7 | 38.1 |
| Loam | % * | 20.2 | 15 | 20.6 | 28.4 |
| Clay | % * | 34 | 17.7 | 15.7 | 33.5 |
| Carbonates | % * | 57 | 73 | 18 | 60 |
| pH | * | 8.8 | 9 | 8.7 | 8.8 |
| O.M. | % * | <0.5 | <0.5 | <0.5 | 1.7 |
| E.C. 1:5 | dS/m * | 0.24 | 0.22 | 0.48 | 0.18 |
| N Kjeldahl | % * | 0.08 | 0.073 | 0.12 | 0.1 |
| N-NO3− | mg/kg * | 2.7 | 4.1 | 12 | 28 |
| P Olsen | mg/kg * | <5 | <5 | 32.3 | <5 |
| Potassium | mg/kg * | 133 | 35 | 276 | 102 |
| Calcium | mg/kg * | 6319 | 6092 | 5285 | 6481 |
| Magnesium | mg/kg * | 293 | 102 | 269 | 121 |
| Sodium | mg/kg * | 153 | 53 | 167 | 24 |
| Cadmium | mg/kg * | <0.5 | <0.5 | <0.5 | <0.5 |
| Copper | mg/kg * | 28 | <20 | 53 | <20 |
| Nickel | mg/kg * | 42 | 9.8 | 32 | 21 |
| Lead | mg/kg * | 14 | <5 | 29 | 10 |
| Zinc | mg/kg * | 73 | <25 | 100 | 37 |
| Mercury | mg/kg * | <0.4 | <0.4 | <0.4 | <0.4 |
| Chromium | mg/kg * | 66 | 13 | 33 | 30 |
| Units | Compost (COM) | Digestate (DIG) | |
|---|---|---|---|
| pH | 7.9 | 8.7 | |
| Electrical conductivity at 25 °C | dS/m | 3.46 | 2.92 |
| C:N ratio | 11.6 | 10.9 | |
| Organic carbon | % d.m. | 24.6 | 29.3 |
| Stability grade | % | 59.6 | 60.3 |
| N-NH4+ | % d.m. | 0.12 | 1.27 |
| Total nitrogen | % d.m. | 2.63 | 3.91 |
| BOD | mg O2/g d.m. | 10.26 | 34.20 |
| Phosphorus (P2O5) | % d.m. | 1.04 | 0.858 |
| Potassium (K2O) | % d.m. | 1.03 | 0.820 |
| Cadmium | mg/kg d.m. | 0.76 | 0.56 |
| Copper | mg/kg d.m. | 105 | 77.3 |
| Chrome | mg/kg d.m. | 25.8 | 20.7 |
| Mercury | mg/kg d.m. | <0.4 | <0.4 |
| Nickel | mg/kg d.m. | 16.7 | 10.7 |
| Lead | mg/kg d.m. | 47.3 | 34.8 |
| Zinc | mg/kg d.m. | 281 | 225 |
| Impurities (Metals + Glass + Plastics) >2 mm | % d.m. | 00.11 | 0.44 |
| Soil Parameter | Units | A | B | C | ||||||
|---|---|---|---|---|---|---|---|---|---|---|
| COM | DIG | CNT | COM | DIG | CNT | COM | DIG | CNT | ||
| Bulk density | (Mg/m3) | 1.66 | 1.91 | 1.59 | 1.74 | 1.75 | 1.28 | 1.4 | 1.25 | 1.3 |
| Coarse elements (>2 mm) | (%) | 69.3 | 63.7 | 67.2 | 64.2 | 72.4 | 71.2 | 64.8 | 65.6 | 68 |
| Clay | (%) | 25.8 | 23.7 | 29.1 | 35.4 | 33.5 | 33.9 | 22.9 | 18.9 | 29.3 |
| Loam | (%) | 30.7 | 26.8 | 26.3 | 28.3 | 22.4 | 24.8 | 28.5 | 26.5 | 22.2 |
| Sand | (%) | 43.5 | 49.5 | 44.6 | 36.3 | 44.1 | 41.3 | 48.6 | 54.6 | 48.5 |
| Soil texture (USDA) | Lo | SaClLo | ClLo | ClLo | ClLo | ClLo | Lo | SaLo | SaClLo | |
| N Kjeldahl | (%) | 0.08 | 0.09 | 0.02 | 0.23 | 0.22 | 0.16 | 0.09 | 0.1 | 0.03 |
| P Olsen | (mg/Kg) | 66.1 | 54 | 9.07 | <5 | <5 | <5 | 80.9 | 56.4 | 10 |
| Potassium | (mg/Kg) | 288 | 263 | 129 | 205 | 219 | 164 | 291 | 242 | 137 |
| Magnesium | (mg/Kg) | 229 | 242 | 182 | 154 | 159 | 145 | 250 | 245 | 197 |
| Sodium | (mg/Kg) | 203 | 172 | 94 | 49 | 37 | 37 | 200 | 183 | 98 |
| C:N | ratio | 6.15 | 6.39 | 14.5 | 8.42 | 10.07 | 10.15 | 9.23 | 6.51 | 10 |
| Zinc | (mg/Kg) | 65 | 58 | 53 | 52 | 55 | 46 | 72 | 57 | 47 |
| Cadmium | (mg/Kg) | <0.5 | <0.5 | <0.5 | <0.5 | <0.5 | <0.5 | <0.5 | <0.5 | <0.5 |
| Chrome | (mg/Kg) | 26 | 28 | 27 | 44 | 48 | 37 | 31 | 27 | 23 |
| Lead | (mg/Kg) | 12 | 10 | 9.8 | 14 | 16 | 12 | 12 | 9.1 | 9.2 |
| Mercury | (mg/Kg) | <0.4 | <0.4 | <0.4 | <0.4 | <0.4 | <0.4 | <0.4 | <0.4 | <0.4 |
| Nickel | (mg/Kg) | 20 | 21 | 19 | 28 | 31 | 25 | 21 | 18 | 17 |
| Copper | (mg/Kg) | 45 | 30 | 38 | 21 | 23 | <20 | 63 | 34 | 27 |
| pH | EC (μS/cm) | |||
|---|---|---|---|---|
| T0 | T1 | T0 | T1 | |
| A—COM | 8.30 ± 0.03 (b) | 8.32 ± 0.01 (ab) | 557.93 ± 37.71 (b) | 262.80 ± 12.99 (a) * |
| A—DIG | 8.27 ± 0.05 (b) | 8.24 ± 0.06 (b) | 592.03 ± 8.06 (b) | 322.47 ± 33.5 (b) * |
| A—CNT | 8.53 ± 0.05 (a) | 8.38 ± 0.03 (a) * | 303.50 ± 74.88 (a) | 257.03 ± 13.25 (a) |
| B—COM | 8.29 ± 0.15 (a) | 8.48 ± 0.08 (a) | 230.07 ± 7.30 (a) | 202.30 ± 23.75 (a) * |
| B—DIG | 8.07 ± 0.05 (a) | 8.41 ± 0.05 (a) * | 230.00 ± 19.87 (a) | 172.27 ± 25.55 (a) * |
| B—CNT | 8.10 ± 0.12 (a) | 8.53 ± 0.13 (a) * | 223.10 ± 11.99 (a) | 163.17 ± 7.24 (a) * |
| C—COM | 8.26 ± 0.04 (b) | 8.52 ± 0.01 (a) * | 476.27 ± 30.69 (b) | 334.90 ± 29.04 (a) |
| C—DIG | 8.10 ± 0.04 (c) | 8.25 ± 0.09 (a) * | 687.93 ± 20.18 (c) | 327.90 ± 1.54 (a) * |
| C—CNT | 8.49 ± 0.03 (a) | 8.43 ± 0.17 (a) | 324.30 ± 41.50 (a) | 179.90 ± 330.78 (a) * |
| Amendment | Time | Amendment × Time | ||
|---|---|---|---|---|
| A | pH | 0.0004 | 0.0964 | 0.043 |
| EC | 0.0002 | 0.0001 | 0.0089 | |
| SOC | 0.0008 | 0.042 | 0.3511 | |
| B | pH | 0.2612 | <0.0001 | 0.0312 |
| EC | 0.2117 | 0.0005 | 0.1524 | |
| SOC | 0.0003 | 0.0006 | 0.3695 | |
| C | pH | 0.0045 | 0.0143 | 0.0244 |
| EC | 0.0407 | 0.0151 | 0.9501 | |
| SOC | 0.0001 | 0.0008 | 0.0031 |
Disclaimer/Publisher’s Note: The statements, opinions and data contained in all publications are solely those of the individual author(s) and contributor(s) and not of MDPI and/or the editor(s). MDPI and/or the editor(s) disclaim responsibility for any injury to people or property resulting from any ideas, methods, instructions or products referred to in the content. |
© 2023 by the authors. Licensee MDPI, Basel, Switzerland. This article is an open access article distributed under the terms and conditions of the Creative Commons Attribution (CC BY) license (https://creativecommons.org/licenses/by/4.0/).
Share and Cite
Solé, P.; Ferrer, D.; Raya, I.; Pous, M.; Gonzàlez, R.; Marañón-Jiménez, S.; Alcañiz, J.M.; Carabassa, V. Physical and Chemical Properties of Limestone Quarry Technosols Used in the Restoration of Mediterranean Habitats. Land 2023, 12, 1730. https://doi.org/10.3390/land12091730
Solé P, Ferrer D, Raya I, Pous M, Gonzàlez R, Marañón-Jiménez S, Alcañiz JM, Carabassa V. Physical and Chemical Properties of Limestone Quarry Technosols Used in the Restoration of Mediterranean Habitats. Land. 2023; 12(9):1730. https://doi.org/10.3390/land12091730
Chicago/Turabian StyleSolé, Pau, Diana Ferrer, Irene Raya, Meri Pous, Robert Gonzàlez, Sara Marañón-Jiménez, Josep Maria Alcañiz, and Vicenç Carabassa. 2023. "Physical and Chemical Properties of Limestone Quarry Technosols Used in the Restoration of Mediterranean Habitats" Land 12, no. 9: 1730. https://doi.org/10.3390/land12091730
APA StyleSolé, P., Ferrer, D., Raya, I., Pous, M., Gonzàlez, R., Marañón-Jiménez, S., Alcañiz, J. M., & Carabassa, V. (2023). Physical and Chemical Properties of Limestone Quarry Technosols Used in the Restoration of Mediterranean Habitats. Land, 12(9), 1730. https://doi.org/10.3390/land12091730

