Abstract
There is an urgent global need for the ecological intensification of agricultural systems to reduce negative impacts on the environment while meeting the rising demand for agricultural products. Enriching grasslands with floral species is a tool to promote diversity and the associated services at higher trophic levels, and ultimately, to enhance the agricultural landscape matrix. Here, we studied an organic pastures-based dairy production system with plant species enhanced grass–clover pastures with respect to the effect on the activity density, functional traits, carabid assemblages, and species richness of carabid beetles. To understand the effect of land management on carabid beetles, we studied two types of grass–clover pastures with low and relatively high plant diversities in an integrated crop–livestock rotational grazing system (ICLS). As a comparison, organic permanent grasslands and conventionally managed maize were studied. We installed pitfall traps for three weeks in early summer, and for two weeks in autumn. In total, 11,347 carabid beetles of 66 species were caught. Grass–clover pastures did not differ in activity density, functional traits, habitat guilds, or species richness, but conventional maize did show a higher activity density in autumn and a higher proportion of eurytopic species and mobile species compared to grass–clover pastures. On grass–clover pastures, we found more endangered species, Carabus beetles, and a distinct carabid assemblage compared to maize. However, we attribute the lack of an effect of increased plant diversity of the grass–clover pastures on carabid species richness and functional traits to the intensive grazing regime, which resulted in the compositional and structural homogeneity of vegetation. Still, the presence of specialized and endangered species indicated the potential for organically managed grass–clover pastures to promote dispersal through an otherwise depleted and fragmented agricultural landscape. By increasing crop diversity in ICLS, more resources for foraging and nesting are created; therefore, organically managed grass–clover pastures add to the multi-functionality of agricultural landscapes.
1. Introduction
The rising demand of food worldwide has led to intensified land use, and the spatial and temporal homogenization of agricultural landscapes [1]. As a consequence of the associated habitat fragmentation and resource degradation, insect abundance and species richness is in decline [2,3]. In order to restore resource availability and diversity, and thereby biodiversity in agroecosystems, the (re)introduction of flowering plants [4,5], grazing cattle [6,7], and organic production systems [8,9,10] are discussed as potential measures to enhance land management. Here, we tested if plant species-enriched grass–clover pastures in organic dairy production can promote carabid beetle activity density, species richness, carabid assemblage, and functional traits.
Dairy systems range from intensive confinement systems to full-grazing systems, which vary, not only in access to pastures by cattle, but also in fertilizer input and the addition of supplementary food for the cattle [11]. Conventional confinement systems can operate without grazing, and incorporate intensively used grasslands and maize crops for fodder. As a result, monocultures of maize, for example, dominate in these systems until now. In contrast, ley systems include temporary grassland in a crop rotation and thereby enhance crop diversity. Ley systems support ecological intensification [11] by improving soil structure and health [12], N-cycling [13], and weed abundance [14]. Further, the type of production system and management strongly affects the species richness of many taxa, among them, insects such as bees [15] or carabids [16,17,18].
Carabid beetles are predators of soil insect pests and weed seeds; therefore, they provide biological control as a key ecosystem service in agroecosystems [19]. In addition, carabid beetles are themselves a food resource for higher trophic levels such as birds, and are an essential link in food webs [20,21]. Carabids respond to habitat changes with shifts in their community structure [22,23]. The composition of carabid beetles has been shown to shift towards medium-sized herbivorous species such as Harpalus affinis once arable land is converted to flowering fields, whereas small carnivorous species, such as Bembidion, decrease [22]. Herbivorous carabids also increased in organic winter spelt [24] and under organic management in wheat and meadows [25]. The management type may also affect mobility-related traits in carabids. Thus, intensively managed and disturbed habitats, such as maize fields, and intensively managed grasslands are often colonized by high-mobile species that are able to fly [17,26], while less mobile flightless species may be better supported by extensive, less disturbed land-use systems [26,27]. Due to these system- or management-type specific assemblages of carabid beetles, increased heterogeneity in agro-ecosystems has been shown to positively affect carabid richness [28,29].
Ley systems can increase carabid beetle species richness in comparison to cereal fields and pastures [30], although crop diversity in the landscape might be a precondition for the size of this effect [29]. Adding ley grasslands into arable crop rotations is one option to increase the heterogeneity of land-use types compared to specialized systems. To enhance the effect of crop diversification with ley systems, a rotational grazing system with cattle will increase environmental heterogeneity via selective grazing, trampling, and the release of dung [31,32]. While some studies found no effect of grazing on carabid beetle species [20,33] or trait diversity [17], others have shown beneficial effects of low (0.2 LSU/ha/year) grazing intensities [18,34,35]. While plant species richness was greater where grazing occurred, no effect of plant species richness was found in carabid assemblage [18], abundance, biomass, or species richness [20]. Plant community type within the semi-natural grasslands, however, was an effective predictor of carabid assemblage [36].
Here, we tested whether, in addition to climate- [37,38], water- [39], and other biodiversity-related [15] benefits, species-enriched grass–clover pastures enhance carabid beetle species richness in an organic ley farming system. We measured carabid beetle activity density, species richness, assemblage composition, and functional traits in (a) conventionally managed maize (CM), (b) organic grass–clover pastures (GC) with grazed and ungrazed management, (c) organic grass–clover pastures with herbs (GCH) with grazed and ungrazed management, and (d) organically managed permanent grassland (PG). We hypothesized that (i) GC and GCH support higher carabid beetle species richness, activity, and functional traits; (ii) they show a different carabid assemblage than CM or PG; (iii) higher plant species richness sown in GCH increases carabid beetle activity, and species richness and functional trait diversity; and (iv) ungrazed strips of GC and GCH support less mobile, flightless carabid beetles than the grazed pastures. We do, however, expect (v) higher carabid abundance and species richness on ungrazed strips as a result of increased plant species richness [15] compared to grazed pastures.
2. Materials and Methods
2.1. Study Region and Design
The study took place on the Lindhof experimental farm of Kiel University, Germany (54°27′ N; 9°57′ E) between 6 May and 16 September 2019. The mean annual temperature in the study area is 10.24 °C, and the mean annual precipitation is 745 mm. A crop rotation system has been in place since 2015, where in spring, grass–clover was sown and was used as pasture for 2–3 years, followed by successive annual cultures of oat (Avena sativa), potato, and winter wheat. In winter wheat, grass–clover is re-established to start the rotation. The organic grass–clover swards were sown in two mixtures: the binary grass–clover mixture (GC, n = 3) containing perennial ryegrass Lolium perenne and white clover Trifolium repens, and the grass–clover mixture with herbs (GCH, n = 3) containing perennial ryegrass L. perenne, white clover T. repens, red clover Trifolium pratense, birdsfoot trefoil Lotus corniculatus, chicory Cichorium intybus, plantain Plantago lanceolata, caraway Carum carvi, and sheep’s burnet Sanguisorba minor. We assume that grass–clover pastures displayed a higher plant species richness, based on the initial seed mixture. The organic grass–clover pastures were rotationally stocked with Jersey cattle from April to September every 3–4 weeks for 1–3 days, with a stocking rate of 2.0 livestock units per hectare. The grass–clover fields were present in their first, second, and third years of usage. Because no replicates for the year of usage were present within mixtures, year was omitted as a factor in our study design, and the three sites per mixture were considered a random sample for this land-use type. To investigate the full potential of grass–clover swards without grazing, an area of 0.042 ha was excluded from grazing for each pasture. These ungrazed grass–clover strips (n = 3 for each of the two mixtures) were cut once on 20 August 2019. As an alternative to ley-pastures in dairy production, this study included organic permanent grasslands (PG, n = 3) at the Lindhof, with one cut per year and a less intense stocking rate of 1.2 livestock units per hectare, which are 20 years in age. In addition, conventional maize (CM) for fodder production for cattle in confinement systems was included in the study. CM (n = 3) of conventional farms in spatial proximity to the Lindhof were investigated. CM was fertilized with cow slurry at 40 m3/ha, Yara Mila NP 20/20 1.5 dt/ha, 40er potassium 1.5 dt/ha during seed drill, nitrogen 180 kg/ha, phosphorus 30 kg/ha, and potassium 170 kg/ha, and treated with herbicides (MaisTer Powder 0.9 L/ha, Aspect 0.9 L/ha). Harvest took place at the end of September.
2.2. Carabid Beetle Sampling
The grass–clover pastures (GC and GCH) were present in their first, second, and third years of production, totaling three sites per mixture. We installed three traps (triple) at three locations (nine traps in total) on each of the sites. The triples had a minimum distance of 350 m to each other, and the pitfall traps within the triple had a distance of 15 m to each other. On the ungrazed strips of the grass–clover pastures, three pitfall traps were installed. On PG and CM, we installed three pitfall traps per site. The pitfall traps were clear cups with a diameter of 10 cm and a volume of 500 mL [40], and they were filled with 50 mL of vinegar solution and a drop of unscented detergent. We used vinegar instead of ethylene glycol, as the study sites were frequently grazed and we wanted to prevent harm to the cattle. A wire mesh with a mesh size of 31 × 31 mm in the upper part of the traps prevented vertebrates from falling into the traps [40]. The traps were emptied once a week for three weeks beginning in May (6 May–9 July 2019), and for two weeks in September (30 August–17 September 2019). Species determination was performed [41] and supervised by an expert in the field. Carabid beetles were stored in ethanol at Kiel University. We identified endangered species according to the red list of Schleswig Holstein [42]. Habitat guilds were defined according to the catalogue supplied by “Gesellschaft für Angewandte Carabidologie” [43]. For our analyses, we selected eurytopic beetles, open-habitat beetles, and agrotopic beetles as the most typical for the studied habitat types. Eurytopic beetles occur across multiple habitat types including shaded areas, whereas open-habitat beetles occur in multiple habitat types without shading. Agrotopic beetles occur on croplands, grasslands, pastures, and ruderal sites. Trophic guilds and mobility were determined according to www.carabids.org (accessed on 15 March 2023) [44]. For estimating species-specific biomass, approximately 10 individuals of each species were dried (50 °C for 48 h) and weighed, and the individuals’ mean weights were calculated.
2.3. Statistical Analysis
First, we performed nonmetric multidimensional scaling (NMDS) and an indicator species analysis with PcOrd Version 5. For the ordination, an NMDS was conducted with the Sørensen-distance measure. We fit variables that determined carabid assembly to the NMDS using the biplot function in PcOrd. Differences between the final ordination plot scores comparing the treatments (GC, GCH, CM, and PG) and managements (grazed and ungrazed) were analyzed with a multi-response permutation procedure (MRPP) using Euclidean distance [45]. We chose indicator species with a significant p-value (<0.05) and an indicator value > 25 [46]. We analyzed the effect of GC and GCH, and management (grazed and ungrazed) to the carabid beetle activity density, biomass, Chao diversity index, activity density, and species richness of different habitat guilds (eurytopic, open-habitat, and agrotopic species) and functional guilds (herbivorous/carnivorous and flying/flightless species) with a linear mixed-effect model [47]. As our study design was not orthogonal, we created a pseudo factor [48], that combined the factors mixture and management. As random factors, we chose a combination of site and year, the triple (three traps installed in 15 m distance) nested in site, the trap nested in triple, and the season nested in trap. Based on the residuals graph (Figure A1), we assumed the residuals to be approximately normally distributed and to be heteroscedastic. Based on these models, the pseudo R2 was calculated [49]. After an ANOVA, multiple contrast tests [50,51] were performed to compare the effects of mixture and management. We did pairwise comparisons of GC and GCH, and compared each mixture with CM and PG. Further, the grazed and ungrazed management of both mixtures were compared with one another. All analyses were performed in R, version 4.1.2. [52].
3. Results
In total, 11,347 carabid beetle individuals representing 66 species of 28 genera were caught. The five most abundant species accounted for 62.7% of individuals: Bembidion lampros (25.2%), Nebria brevicollis (16%), Pterostichus melanarius (7.8%), Agonum muelleri (7.3%), and Bembidion tetracolum (6.4%), full species list in Table 1 and Table A1). In early summer, we caught 9561 carabid beetle individuals of 65 species groups in the three-week sampling period (3.5 individuals per trap per day), and in autumn, 1786 individuals of 35 species groups were caught in the two-week sampling period (1.6 individuals per trap per day). Common habitat generalist species dominated in all of our treatments, but of the 66 species that we captured in total, we found seven threatened species according to the red list in Schleswig-Holstein (Table 1).
Table 1.
Full species list of all carabid beetles caught in early summer and autumn, sorted by body size from small to large species. Trophic level (red: carnivorous species, yellow: herbivorous species) and habitat guilds (e: eurytopic, eO: eurytopic open-habitat, AGR: agrotopic beetles, W: wetlands, F: forest, OH: oligotrophic/heathland, S: swamp, B: banks, /: information on habitat guild missing), are indicated in the list. The heat map shows the activity density in the treatments (GC g: grass–clover grazed, GC u: grass–clover ungrazed, GCH g: grass–clover herbs grazed, GCH u: grass–clover herbs ungrazed, CM: conventional maize, PG: permanent grasslands). Cells with an outline in the heatmap show indicator species. Names of endangered species according to the red list of Schleswig-Holstein are in red text (3: endangered, 2: highly endangered, 1: risk of extinction, 0: extinct).
Grass–clover (GC) and grass–clover herbs (GCH) contained all seven threatened species, while with Amara eurynota, only one threatened species was found in conventionally managed maize (CM) (Table 1). Furthermore, GC and GCH promoted species typical for oligotrophic grasslands/heathland; these were not found on CM. All of the indicator species for CM were either eurytopic or open-habitat species (Bembidion quadrimaculatum, Trechus quadristriatus, Bembidion tetracolum, Clivina fossor, Pterostichus melanarius, and Nebria salina) while indicator species for GC and GCH were agrotopic or swampland species (Acupalpus meridianus, Notiophilus substriatus, and Pterostichus nigrita, Table 1 and Table A1 and Table A2). All species found in CM were present on GC and GCH, except for Abax parallelepipedus (Table 1). Yet, the NMDS for early summer showed a distinct species composition of CM compared to GC and GCH, with no overlap. There are correlations with flying species, activity density, endangered species, and species richness. According to the NMDS, activity density was a strong predictor for CM, whereas GC and GCH were predicted by endangered species and flightless beetles. The final NMDS for the data in early summer had three dimensions, with a stress value of 14.116. The explanatory power was highest for the second (24.3%) and third (42.9%) axis compared to the first axis (19.7%). All of the grass–clover plots showed a larger overlap, indicating similar species composition (Figure 1). The NMDS revealed a distinction between grazed and ungrazed plots of GC and GCH in autumn, but a larger overlap of the grazed pastures and the CM fields compared to the NMDS in summer (Figure 2). The MRPP results verified this pattern, as it showed significant differences between GC and CM (p < 0.001), and GCH and CM (p < 0.001, Table 2). The final ordination for autumn had two dimensions, with an explanatory value of 32.1% for the first axis, 28.6% explanatory power of the second axis, and a stress value of 31.156. Similar to the results of the NMDS in summer, the activity density was a strong predictor of the CM fields. According to the MRPP, there were significant differences comparing GC to CM (p < 0.001) and PG (p < 0.001), as well as GCH to CM (p < 0.001) and PG (p = 0.003). We also found significant differences comparing the management; the grazed pastures of GCH were significantly different from the ungrazed stripes of GCH (p < 0.001, Table 3).
Figure 1.
Non-metric multidimensional scaling (NMDS) of carabid assemblages in the different land-use systems (conventional maize CM, organic grass–clover GC, organic grass–clover herbs GCH, organic permanent grasslands PG) and management types (grazed gr., ungrazed ungr.) in early summer. We found correlations with beetle activity density, species richness, endangered species, and flightless species. Carabid assemblages of grass–clover pastures, irrespective of mixture and management, were distinct from the assemblages of CM.
Figure 2.
Non-metric multidimensional scaling (NMDS) of carabid beetle assemblages in the different land-use types (conventional maize CM, organic grass–clover GC, organic grass–clover herbs GCH, organic permanent grasslands PG) and management types (grazed gr., ungrazed ungr.) in autumn. We found correlations with activity density and agrotopic beetle activity density. Compared to the NMDS in early summer, there was less distinction between the carabid assemblages of CM and grass–clover pastures.
Table 2.
Results of the multi-response permutation procedure (MRPP) for carabid assemblages in early summer. T is the test statistic calculating the difference between observed and expected delta, while A is the chance-corrected within-group agreement.
Table 3.
Results of the multi-response permutation procedure (MRPP) for carabid assemblage in fall, revealing significant differences comparing the grass–clover pastures GC and GCH to CM and PG. T is the test statistic calculating the difference between observed and expected delta, while A is the chance-corrected within-group agreement.
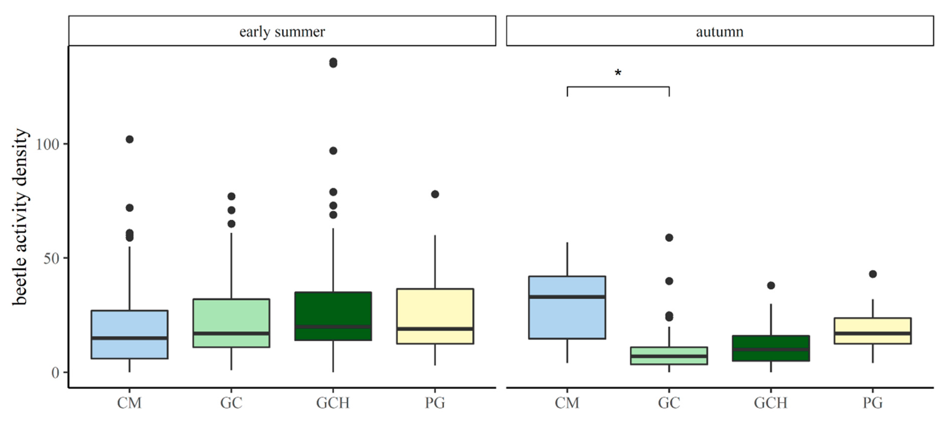
There was no difference in the activity densities of the carabid beetles comparing CM to GC and GCH, in May and June. In CM, the overall activity density was, however, significantly higher (p < 0.05) compared to GC in autumn (Figure 3, Table A4). CM also showed a significantly higher activity density of eurytopic species compared to GC (p < 0.05) and GCH (p < 0.05, Table A5) in autumn, whereas in early summer, GCH showed a higher activity of open-habitat beetles compared to CM (p < 0.05, Figure 4, Table A6). Yet, CM showed a significantly higher species richness of open-habitat species compared to GC (early summer p < 0.05, autumn p < 0.05) and to GCH (early summer p < 0.05, Table A7). None of the treatments differed in activity density and species richness of agrotopic species (Table A8 and Table A9), or in the species richness of eurytopic beetles (Table A10). On organic permanent grassland (PG), significantly more herbivorous beetles were found compared to GC (p < 0.05, Table A11), and on PG, significantly more flightless beetle species were present compared to GC (p < 0.05) and GCH (p < 0.05) in autumn (Figure 5, Table A12). In CM, we found a significantly higher activity density of flying carabid beetles compared to GC (p < 0.05) and GCH (p < 0.05, Table A13). Comparing GC and GCH, we did not find significant differences in activity density, carabid beetle biomass, habitat preferences, Chao diversity index, the activity density of endangered carabids, or feeding behavior (herbivorous and carnivorous species, Table A14, Table A15, Table A16, Table A17).
Figure 3.
Beetle activity density of organic grass–clover (GC) and organic grass–clover herbs (GCH) in comparison to conventional maize (CM) and organic permanent grasslands (PG) in early summer and in autumn. p-values are indicated as * p < 0.05.
Figure 4.
Beetle activity densities of eurytopic and open-habitat beetles, and species richness of open-habitat beetles of organic grass–clover (GC) and organic grass–clover herbs (GCH) in comparison to conventional maize (CM) and organic permanent grasslands (PG) in early summer and in autumn. p-values are indicated as * p < 0.05.
Figure 5.
Trait-specific activity densities of herbivorous carabid beetles, and carabid beetles with a high mobility or low mobility of organic grass–clover (GC) and organic grass–clover herbs (GCH), in comparison to conventional maize (CM) and organic permanent grasslands (PG), in early summer and in autumn. p-values are indicated as * p < 0.05.
On the grazed pastures of GCH, significantly more eurytopic species were observed, compared to the ungrazed strips of GCH in autumn (p < 0.05, Figure 6, Table A18). We found no significant differences between grazed and ungrazed management in carabid beetle activity density, biomass, habitat guilds, endangered species, Chao diversity index, or functional traits (Table A19, Table A20, Table A21, Table A22, Table A23, Table A24, Table A25, Table A26, Table A27, Table A28, Table A29, Table A30 and Table A31).
Figure 6.
Eurytopic beetle activity densities of the different managements (grazed and ungrazed) and mixtures (grass–clover GC and grass–clover herbs GCH) in early summer and autumn. p-values are indicated as * p < 0.05.
4. Discussion
As part of studying the eco-efficiency of pasture-based milk production [37,39,53], we found organic grass–clover pastures to support more endangered carabid beetle species, and a seasonally distinct species composition on both grass–clover pastures in early summer compared to conventional maize (CM). CM fields offered a suitable habitat for eurytopic species and species with high mobility, especially in autumn, when vegetation cover was high. In maize, however, only one endangered species was found. Open-habitat species showed highest richness in CM, and some species were identified indicators of this habitat type, while their activity density was highest in grass–clover (GC) and grass–clover herbs (GCH) in early summer. While these results for open-habitat beetles are equivocal, the NMDS did show a distinct carabid assemblage in GC and GCH compared to CM, especially in early summer.
Although statistical analysis did not show a significantly higher activity density of endangered carabid beetles in GC and GCH, GC supported several endangered carabid beetle species in contrast to CM, with many frequently abundant eurytopic species [54]. Among the endangered species in GC and GCH, Carabus auratus is considered to be an indicator for organic agriculture. In Schleswig-Holstein, the species has almost exclusively been found in organic farms, and was shown to exponentially colonize organic crops after its conversion from conventional to organic management [55]. Carabus beetles in general, because of their low mobility, prefer stable vegetation structures and extensive grazing [18,26], explaining their generally higher activity density in the organic GC and GCH in this study. The CM fields are a less stable habitat, as vegetation cover is only present for a limited amount of time and they were harvested in late autumn, whereas GC and GCH were present for three subsequent years. Similarly, the carnivorous species Poecilus lepidus shows a low dispersal ability, and as an stenoecious xerophilic open-habitat species, it may thus prefer GC and GCH over meadows or maize. In contrast to Carabus, the two endangered species, Harpalus griseus and Harpalus calceatus, are herbivorous, feeding on plant seeds. With a sown grass–clover mixture of a maximum of seven plant species in GCH, including frequently utilized species such as Cichorium intybus [56] or Plantago lanceolata [57], it is likely that the diversity and availability of seeds were higher in GC and GCH than in CM fields [58]. Chlaenius nigricornis was most likely trapped on grass–clover pastures while it was dispersing to reach other habitats, as the species prefers wet habitat conditions. This was likely also the case for Amara eurynota, which was found on grass–clover fields and was the only endangered species found in CM as well.
GC and GCH showed the highest numbers of endangered species. No difference, though, was found between GC and GCH with respect to carabid activity density or species richness. This is in accordance with a previous study investigating a similar plant species mixture, which found no effect of a high diversity seed mixture on carabid beetle activity density, species richness, or biomass, compared to a low diversity seed mixture [20]. The lack of an effect of plant species richness, which was generally highest in the GCH in our study, may be due to the intensive grazing regime in these ley-grasslands. As a result, not many plant species set flowers or established well, and so the plant community was probably less heterogeneous than anticipated, a situation that was also observed in other studies [32,59]. As the permanent grasslands (PG) in this study were not rotationally stocked, the disturbance regime may actually have been lower than that of GC and GCH, as indicated by a higher abundance of flightless beetles, which agrees with other studies [26,27]. Even though GC and GCH were more permanent habitats than CM, their management changes every few years with the crop rotation, and no increase in less mobile species was found.
The effects of grazing on carabid beetles vary, as studies have shown that carabid abundance is increased on grazed sites [20] and systems grazed by sheep [34], as well as showing no effect of grazing to carabid abundance [20]. This may be attributed to differences in the grazing intensity and the studies’ environmental contexts [60]. Most studies agree that moderate grazing benefits carabid richness [18] and the activity density of herbivorous [60] or less immobile (flightless) species [26], while heavy grazing reduces carabid richness [61], possible as a result of a more open and permeable vegetation structures on pastures. In our study, the high grazing intensity of 2.0 livestock units per hectare and per year most likely prevented the general benefits to carabid beetle species richness. Benefits to carabid richness have been previously observed at lower grazing intensities (0.2 LSU/ha/year). Unexpectedly, in this regard, activity density, species richness, or functional traits were similar in the ungrazed strips as compared to the pasture, despite a higher flower cover that benefited bumblebees [15]. Possibly, the dense vegetation cover in ungrazed strips restricted the movements of carabid species, many of which prefer bare ground due to a higher permeability [25].
Higher permeability may also be the reason for the higher carabid beetle activity density in CM in autumn. During our surveys in autumn, CM was still standing and offering vegetation cover for carabid beetles, while bare ground was also present as rows were separated by approximately 0.7 m. In addition to just bare ground, the higher looseness of ploughed soil and favorable microclimatic conditions in CM can increase beetle abundance [62], and soil temperature has possibly risen as a result of decreasing leaf area index, which favors, e.g., Poecilus and Amara [63]. Particularly mobile carabid beetles with a high colonization rate [17] potentially shifted from other habitats to maize in autumn, when habitat conditions became favorable [64]. Despite this attractiveness of maize to some carabid beetle species or during specific times of the year, several studies suggest that the habitat quality of maize fields is low and therefore lacking in carabid beetle species richness [65,66], and similar to our findings, this shows a low proportion of endangered species [65]. In future experiments, carabid activity density could be measured after harvest in autumn, as we suppose that the lack of vegetation cover might decrease activity density, proving further that maize production is a less favorable dairy system in comparison to crop–livestock systems, in terms of the promotion of carabid beetles.
The NMDS showed a shift in the carabid assemblage of GC and GCH compared to maize; however, the analysis of the habitat guilds that could clarify the direction of this shift was equivocal. The direction of this shift may have been unclear, because carabid assemblages with distinct functional traits develop over long periods, suggesting that with GC and GCH being present only for three subsequent years, this may not be long enough to develop an even more distinct assemblage. Changes in guild structure were previously found only after 10 years of grazing [67]. Grass–clover pastures in this study did not increase the species richness of carabid beetles or act as a key habitat structure. Implementing a regime with moderate grazing intensity (e.g., 0.2–1.4 livestock units per hectare) in the investigated system may be a suitable management for enhancing plant resource diversity, and consequently, carabid beetles. Nonetheless, in comparison to conventional confinement systems, integrated crop–livestock systems (ICLS) with crop rotation, rotational grazing, and multi-species pastures such as GCH diversify the agricultural landscape matrix, promote endangered carabid species, and indicate a shifted carabid assemblage. Despite the observed lack of a significant increase in carabid species richness in intensively grazed ley-systems, the presence of more specialized and endangered species may indicate their potential in promoting dispersal through fragmented landscapes. Further, crop diversity increases in ICLS, and more edge habitats are created, which provide habitat niches for nesting, foraging, and overwintering, and this has been shown to enhance carabid trait diversity [24] and Shannon diversity in landscapes that are rich in semi-natural habitats [28]. Improving the matrix quality in agricultural landscapes is essential for allowing species dispersal [68,69], which may be achieved with crop–livestock integrated grass–clover pastures. To solely focus on nature conservation efforts for protected habitats bears the risk of creating isolated habitat patches in an otherwise depleted landscape [69], which limits gene flow in carabid beetles [70], and therefore the long-term resilience of carabid populations. Therefore, ICLS with species enriched grass–clover pastures can help to support biodiversity in agricultural production systems, and in addition, it may also buffer protected areas from being isolated.
5. Conclusions
Reintroducing plant diversity and grazing in ICLS offers a new solution for dairy production that joins agricultural production with benefits for biodiversity, greenhouse gas emissions, and soil properties. Considering the large proportion of intensively used grasslands occupied worldwide, enhancing their plant diversity may have large-scale positive effects. An increased number of endangered species of carabid beetles, and a compositional shift in their assemblages in the species-enriched grass–clover pastures as compared to conventional maize indicates their potential for the promotion of heterogeneity and biodiversity in agricultural landscapes. Yet, in order to express their full potential to increase the species richness of carabid beetles, and particularly immobile and herbivorous species, a moderately reduced grazing regime would benefit plant diversity and flower cover, and thus, biodiversity in general. The less intense management regime may also promote solitary wild bees, as our previous study on the same grass–clover pastures found [15]. In addition to hosting more biodiversity itself, species-enriched grass–clover pastures also enhance the quality of the agricultural matrix, thereby promoting species dispersal and the associated ecosystem services in multifunctional agricultural landscapes. Instead of solely focusing nature conservation to a limited amount of protected areas, ICLS with species enriched grass–clover can counteract landscape fragmentation and facilitate carabid beetle exchange between protected habitats.
Author Contributions
Conceptualization, H.B., F.T. and T.D.; Methodology, H.B. and T.D.; Field work, H.B. and J.S.; Lab analysis, H.B. and J.S.; Data analysis, M.H., H.B., T.W.D. and T.D.; Writing—original draft preparation, H.B.; Writing—review and editing, T.W.D., T.D. and F.T.; Supervision, T.D. and F.T.; Funding acquisition, H.B. and F.T. All authors have read and agreed to the published version of the manuscript.
Funding
H.B. is supported by the Evangelisches Studienwerk Villigst foundation, under the research program: “Third Ways of Feeding the World” providing funding in the form of a doctoral scholarship. Scholarship number: 851227.
Data Availability Statement
The data presented in this study are available on request from the corresponding author.
Acknowledgments
We want to thank Alice Mockford and Christof Kluß for their help in editing the manuscript.
Conflicts of Interest
The authors declare no conflict of interest.
Appendix A
Figure A1.
Residuals graph of the linear mixed effect model analyzing the carabid beetle activity density.
Figure A1.
Residuals graph of the linear mixed effect model analyzing the carabid beetle activity density.

Table A1.
Full species list of all caught ground beetles in total, and separated by the season they were caught in (May/June and September).
Table A1.
Full species list of all caught ground beetles in total, and separated by the season they were caught in (May/June and September).
| Carabidae | Carabid Individuals, Total | Carabid Individuals May–June | Carabid Individuals September |
|---|---|---|---|
| Abax parallelepipedus (Pill. and Mitt., 1783) | 1 | 1 | 0 |
| Acupalpus meridianus (L., 1761) | 184 | 181 | 3 |
| Agonum emarginatum (Gyll., 1827) | 2 | 2 | 0 |
| Agonum fuliginosum (Panzer, 1809) | 1 | 1 | 0 |
| Agonum muelleri (Herbst, 1784) | 830 | 823 | 7 |
| Agonum viduum (Panzer, 1796) | 1 | 1 | 0 |
| Amara aenea (De Geer, 1774) | 147 | 146 | 1 |
| Amara apricaria (Payk., 1790) | 3 | 0 | 3 |
| Amara eurynota (Panzer, 1796) | 24 | 24 | 0 |
| Amara familiaris (Duft., 1812) | 27 | 27 | 0 |
| Amara ovata (F., 1792) | 3 | 3 | 0 |
| Amara similata (Gyll., 1810) | 56 | 55 | 1 |
| Amara spreta Dejean, 1831 | 2 | 2 | 0 |
| Anchomenus dorsalis (Pont., 1763) | 389 | 388 | 1 |
| Badister bullatus (Schrank, 1798) | 9 | 9 | 0 |
| Bembidion aeneum Germar, 1824 | 25 | 25 | 0 |
| Bembidion guttula (Fabricius, 1792) | 3 | 3 | 0 |
| Bembidion lampros (Herbst, 1784) | 2860 | 2774 | 86 |
| Bembidion lunatum (Duftschmid, 1812) | 17 | 388 | 1 |
| Bembidion mannerheimii Sahlb., 1827 | 17 | 17 | 0 |
| Bembidion obtusum Aud.-Serv., 1821 | 56 | 54 | 2 |
| Bembidion properans (Steph., 1828) | 238 | 226 | 12 |
| Bembidion quadrimaculatum (L., 1761) | 30 | 30 | 0 |
| Bembidion tetracolum Say, 1823 | 731 | 724 | 7 |
| Blemus discus (F., 1792) | 10 | 2 | 8 |
| Calathus erratus (Sahlb., 1827) | 4 | 0 | 4 |
| Calathus fuscipes (Goeze, 1777) | 257 | 13 | 244 |
| Carabus convexus F., 1775 | 2 | 2 | 0 |
| Carabus coriaceus L., 1758 | 2 | 1 | 4 |
| Carabus auratus L., 1761 | 197 | 196 | 1 |
| Carabus granulatus L., 1758 | 71 | 70 | 1 |
| Carabus hortensis L., 1758 | 2 | 2 | 0 |
| Carabus nemoralis Müller, 1764 | 19 | 19 | 0 |
| Carabus violaceus L., 1758 | 14 | 1 | 13 |
| Chlaenius nigricornis (F., 1787) | 14 | 14 | 0 |
| Clivina fossor (L., 1758) | 474 | 459 | 15 |
| Demetrias atricapillus (L., 1758) | 5 | 5 | 0 |
| Dyschirius globosus (Herbst, 1784) | 1 | 1 | 0 |
| Epaphius secalis (Paykull, 1790) | 1 | 1 | 0 |
| Harpalus affinis (Schrank, 1781) | 131 | 127 | 4 |
| Harpalus calceatus (Duft. 1812) | 3 | 3 | 0 |
| Harpalus griseus (Panzer, 1796) | 3 | 3 | 0 |
| Harpalus rubripes (Duft., 1812) | 3 | 3 | 0 |
| Harpalus rufipes (De Geer, 1774) | 10 | 5 | 5 |
| Harpalus marginellus (Gyllenhal, 1827) | 1 | 1 | 0 |
| Leistus rufomarginatus (Duft., 1812) | 1 | 1 | 0 |
| Loricera pilicornis (F., 1775) | 90 | 76 | 14 |
| Microlestes minutulus (Goeze, 1777) | 1 | 1 | 0 |
| Nebria brevicollis (F., 1792) | 1812 | 1422 | 390 |
| Nebria salina (Fairm. and Lab., 1854) | 708 | 511 | 197 |
| Notiophilus biguttatus (F., 1779) | 5 | 4 | 1 |
| Notiophilus substriatus (G. R. Waterhouse, 1833) | 66 | 65 | 1 |
| Paranchus albipes (Fabricius, 1796) | 1 | 1 | 0 |
| Paradromius linearis (Ol., 1795) | 1 | 1 | 0 |
| Poecilus cupreus (L., 1758) | 373 | 361 | 12 |
| Poecilus lepidus (Leske, 1785) | 7 | 7 | 0 |
| Poecilus versicolor (Sturm, 1824) | 165 | 156 | 9 |
| Pterostichus melanarius (Ill., 1798) | 888 | 404 | 484 |
| Pterostichus nigrita (Payk., 1790) | 53 | 13 | 40 |
| Pterustichus strenuus (Panzer, 1796) | 23 | 23 | 0 |
| Pterostichus quadrifoveolatus (Letzner, 1852) | 1 | 1 | 0 |
| Pterostichus vernalis (Panzer, 1796) | 13 | 11 | 2 |
| Stomis pumicatus (Panzer, 1796) | 8 | 8 | 0 |
| Synuchus vivalis (Ill., 1798) | 1 | 1 | 0 |
| Trechoblemus micros (Herbst, 1784) | 17 | 17 | 0 |
| Trechus quadristriatus (Schrank, 1781) | 230 | 16 | 214 |
| Total | 11.347 | 9.561 | 1.786 |
Table A2.
Results of the indicator species analysis in May and June (CM: conventional maize, GC: grass–clover, GCH: grass–clover herbs, PG: permanent grasslands).
Table A2.
Results of the indicator species analysis in May and June (CM: conventional maize, GC: grass–clover, GCH: grass–clover herbs, PG: permanent grasslands).
| Species | Group | Indicator Value | p |
|---|---|---|---|
| Abax parallelepipedus | CM | 2.0 | 0.4009 |
| Acumenus meridianus | GC, ungrazed | 15.9 | 0.0034 |
| Agonum emarginatum | GCH, ungrazed | 2.6 | 0.1696 |
| Agonum fuliginosum | GCH, grazed | 0.9 | 1.000 |
| Agonum muelleri | PG | 21.5 | 0.0030 |
| Agonum viduum | GCH, ungrazed | 2.6 | 0.1712 |
| Amara aenea | PG | 44.8 | 0.0002 |
| Amara eurynota | GCH, ungrazed | 7.3 | 0.0122 |
| Amara familiaris | PG | 4.9 | 0.1154 |
| Amara ovata | CM | 1.6 | 0.5709 |
| Amara similata | GC, ungrazed | 6.2 | 0.1136 |
| Amara spreta | PG | 3.0 | 0.1294 |
| Anchomenus dorsalis | GC, ungrazed | 20.1 | 0.0022 |
| Badister bullatus | GC, grazed | 1.6 | 0.5853 |
| Bembidion aeneum | GCH, ungrazed | 6.9 | 0.0250 |
| Bembidion guttula | GCH, grazed | 1.1 | 0.7572 |
| Bembidion lampros | PG | 18.7 | 0.2517 |
| Bembidion lunatum | CM | 3.3 | 0.1464 |
| Bembidion mannerheimii | GCH, grazed | 3.0 | 0.2731 |
| Bembidion obtusum | GCH, ungrazed | 6.8 | 0.0706 |
| Bembidion properans | PG | 29.4 | 0.0002 |
| Bembidion quadrimaculatum | CM | 30.9 | 0.0002 |
| Bembidion tetracolum | CM | 40.1 | 0.0002 |
| Blemus discus | GCH, ungrazed | 1.9 | 0.3037 |
| Calathus fuscipes | GCH, grazed | 4.6 | 0.0536 |
| Carabus convexus | GC, ungrazed | 1.7 | 0.4227 |
| Carabus coriaceus | GC, ungrazed | 2.4 | 0.2701 |
| Carabus auratus | GC, grazed | 7.4 | 0.2478 |
| Carabus granulatus | GCH, ungrazed | 8.0 | 0.0750 |
| Carabus hortensis | GCH, grazed | 1.7 | 0.5859 |
| Carabus nemoralis | GCH, ungrazed | 2.7 | 0.4153 |
| Carabus violaceus | GC, grazed | 0.9 | 0.6991 |
| Chlaenius nigricornis | GCH, ungrazed | 2.6 | 0.3369 |
| Clivina fossor | CM | 20.9 | 0.0022 |
| Demetrias atricapillus | GCH, ungrazed | 0.8 | 0.9628 |
| Dyschirius globosus | GC, grazed | 0.9 | 0.6891 |
| Epaphius secalis | GCH, grazed | 0.9 | 1.0000 |
| Harpalus affinis | GC, ungrazed | 5.9 | 0.7057 |
| Harpalus calceatus | GCH, grazed | 0.9 | 1.0000 |
| Harpalus griseus | GCH, grazed | 1.1 | 0.7590 |
| Harpalus rubripes | GC, grazed | 0.6 | 0.9162 |
| Harpalus rufipes | CM | 2.4 | 0.2318 |
| Harpalus marginatus | PG | 3.7 | 0.0678 |
| Leistus rufomarginatus | GC, grazed | 0.9 | 0.7019 |
| Loricera pilicornis | GC, grazed | 5.7 | 0.2134 |
| Micros minutulus | GC, ungrazed | 2.4 | 0.2757 |
| Nebria brevicollis | GC, ungrazed | 17.4 | 0.2360 |
| Nebria salina | GC, grazed | 14.0 | 0.1676 |
| Notiophilus bigutattus | GC, ungrazed | 0.9 | 0.8370 |
| Notiophilus substratius | GC, grazed | 9.8 | 0.0200 |
| Paranchus albipes | GCH, grazed | 0.9 | 1.0000 |
| Paradromius linearis | GCH, grazed | 0.9 | 1.0000 |
| Poecilus cupreus | GCH, grazed | 14.5 | 0.0180 |
| Poecilus versicolor | PG | 49.7 | 0.0002 |
| Poecilus Lepidus | GCH, grazed | 1.7 | 0.5449 |
| Pterostichus melanarius | CM | 33.4 | 0.0002 |
| Pterostichus nigrita | GCH, ungrazed | 6.5 | 0.0182 |
| Pterostichus strenuus | PG | 10.7 | 0.0026 |
| Pterostichus quadrifoveolatus | GCH, grazed | 0.9 | 1.0000 |
| Pterostichus vernalis | GCH, ungrazed | 4.7 | 0.0724 |
| Stomis pumicollis | GC, grazed | 0.6 | 0.9844 |
| Synuchus vivalis | GCH, ungrazed | 2.6 | 0.1620 |
| Trechus micros | PG | 3.5 | 0.1856 |
| Trechus quadristriatus | CM | 11.1 | 0.0008 |
Table A3.
Results of indicator species analysis in September (CM: conventional maize, GC: grass–clover, GCH: grass–clover herbs, PG: permanent grasslands).
Table A3.
Results of indicator species analysis in September (CM: conventional maize, GC: grass–clover, GCH: grass–clover herbs, PG: permanent grasslands).
| Species | Group | Indicator Value | p |
|---|---|---|---|
| Acupalpus meridianus | CM | 16.7 | 0.0064 |
| Agonum muelleri | GCH, ungrazed | 12.2 | 0.0404 |
| Amara aenea | GCH, grazed | 2.2 | 1.0000 |
| Amara apricaria | GCH, ungrazed | 11.5 | 0.0274 |
| Amara similata | GCH, ungrazed | 6.7 | 0.1688 |
| Anchomenus dorsalis | CM | 8.3 | 0.0808 |
| Bembidion lampros | GCH, ungrazed | 24.7 | 0.0102 |
| Bembidion obtusum | CM | 16.7 | 0.0048 |
| Bembidion properans | GCH, ungrazed | 6.7 | 0.2763 |
| Bembidion tetracolum | CM | 13.4 | 0.0210 |
| Blemus discus | GCH, grazed | 13.0 | 0.0296 |
| Calathus erraticus | GCH, ungrazed | 5.0 | 0.2334 |
| Calathus fuscipes | PG | 51.2 | 0.0002 |
| Carabus coriaceus | GCH, ungrazed | 10.0 | 0.0582 |
| Carabus auratus | GCH, grazed | 2.2 | 1.0000 |
| Carabus granulatus | GCH, grazed | 2.2 | 1.0000 |
| Carabus violaceus | GC, grazed | 6.8 | 0.3025 |
| Clivina fossor | GCH, ungrazed | 7.8 | 0.2418 |
| Harpalus affinis | CM | 9.4 | 0.0638 |
| Harpalus rufipes | CM | 10.2 | 0.0566 |
| Loricera pilicornis | GCH, grazed | 12.1 | 0.0606 |
| Nebria brevicollis | CM | 29.5 | 0.0144 |
| Nebria salina | CM | 46.5 | 0.0002 |
| Notiophilus bigutattus | GC, ungrazed | 6.2 | 0.3963 |
| Notiophilus substratius | GCH, grazed | 2.2 | 1.0000 |
| Poecilus cupreus | CM | 5.9 | 0.3547 |
| Poecilus versicolor | PG | 17.7 | 0.0054 |
| Pterostichus melanarius | CM | 49.0 | 0.0002 |
| Pterostichus nigrita | CM | 10.7 | 0.1972 |
| Pterostichus vernalis | PG | 4.6 | 0.4217 |
| Trechus quadristriatus | CM | 49.1 | 0.0002 |
Table A4.
Differences in the activity densities of carabid beetles, comparing grass–clover (GC) and grass–clover herbs (GCH) with each other, and in comparison to conventional maize (CM) and permanent grasslands (PG) in May/June and September.
Table A4.
Differences in the activity densities of carabid beetles, comparing grass–clover (GC) and grass–clover herbs (GCH) with each other, and in comparison to conventional maize (CM) and permanent grasslands (PG) in May/June and September.
| Estimate | SE | z-Value | p-Value | |
|---|---|---|---|---|
| GCH–GC (September) | 2.437 | 5.045 | 0.483 | 0.995 |
| CM–GC (September) | 20.577 | 6.213 | 3.312 | 0.041 |
| PG–GC (September) | 9.852 | 5.37 | 1.688 | 0.497 |
| CM–GCH (September) | 18.14 | 6.208 | 2.922 | 0.08 |
| PG–GCH (September) | 7.415 | 5.832 | 1.271 | 0.744 |
| GCH–GC (May) | 4.03 | 5.374 | 0.750 | 0.963 |
| CM–GC (May) | −0.27 | 6.032 | −0.045 | 1.0 |
| PG–GC (May) | 3.437 | 6.278 | 0.547 | 0.991 |
| CM–GCH (May) | −4.303 | 6.112 | −0.704 | 0.972 |
| PG–GCH (May) | −0.594 | 6.355 | −0.093 | 1.0 |
Table A5.
Differences in the activity densities of eurytopic carabid beetles, comparing grass–clover (GC) and grass–clover herbs (GCH) with each other, and in comparison to conventional maize (CM) and permanent grasslands (PG) in May/June and September. p-values are indicated as * p < 0.05.
Table A5.
Differences in the activity densities of eurytopic carabid beetles, comparing grass–clover (GC) and grass–clover herbs (GCH) with each other, and in comparison to conventional maize (CM) and permanent grasslands (PG) in May/June and September. p-values are indicated as * p < 0.05.
| Estimate | SE | z-Value | p-Value | |
|---|---|---|---|---|
| GCH–GC (September) | 1.11 | 2.657 | 0.418 | 0.998 |
| CM–GC (September) | 16.71 | 4.850 | 3.445 | 0.033 * |
| PG–GC (September) | 2.086 | 2.730 | 0.758 | 0.964 |
| CM–GCH (September) | 15.6 | 4.732 | 3.297 | 0.043 * |
| PG–GCH (September) | 0.958 | 2.515 | 0.381 | 1.0 |
| GCH–GC (May) | 0.63 | 2.327 | 0.271 | 1.0 |
| CM–GC (May) | −1.4489 | 2.299 | −0.630 | 0.985 |
| PG–GC (May) | −3.653 | 2.23 | −1.638 | 0.535 |
| CM–GCH (May) | −2.079 | 2.323 | −0.895 | 0.928 |
| PG–GCH (May) | −4.283 | 2.255 | −1.899 | 0.39 |
Table A6.
Differences in the activity densities of open-habitat carabid beetles, comparing grass–clover (GC) and grass–clover herbs (GCH) with each other, and in comparison to conventional maize (CM) and permanent grasslands (PG) in May/June and September. p-values are indicated as * p < 0.05.
Table A6.
Differences in the activity densities of open-habitat carabid beetles, comparing grass–clover (GC) and grass–clover herbs (GCH) with each other, and in comparison to conventional maize (CM) and permanent grasslands (PG) in May/June and September. p-values are indicated as * p < 0.05.
| Estimate | SE | z-Value | p-Value | |
|---|---|---|---|---|
| GCH–GC (September) | 0.123 | 0.535 | 0.229 | 1.0 |
| CM–GC (September) | −0.216 | 0.558 | −0.386 | 0.999 |
| PG–GC (September) | 0.395 | 0.557 | 0.71 | 0.98 |
| CM–GCH (September) | −0.338 | 0.577 | −0.587 | 0.992 |
| PG–GCH (September) | 0.273 | 0.575 | 0.474 | 0.998 |
| GCH–GC (May) | 1.449 | 1.182 | 1.225 | 0.805 |
| CM–GC (May) | −3.853 | 1.289 | −2.989 | 0.076 |
| PG–GC (May) | 8.526 | 3.005 | 2.837 | 0.099 |
| CM–GCH (May) | −5.301 | 1.393 | −3.805 | 0.019 * |
| PG–GCH (May) | 7.077 | 3.051 | 2.319 | 0.227 |
Table A7.
Differences in the species richness of open-habitat carabid beetles, comparing grass–clover (GC) and grass–clover herbs (GCH) with each other, and in comparison to conventional maize (CM) and permanent grasslands (PG) in May/June and September. p-values are indicated as * p < 0.05.
Table A7.
Differences in the species richness of open-habitat carabid beetles, comparing grass–clover (GC) and grass–clover herbs (GCH) with each other, and in comparison to conventional maize (CM) and permanent grasslands (PG) in May/June and September. p-values are indicated as * p < 0.05.
| Estimate | SE | z-Value | p-Value | |
|---|---|---|---|---|
| GCH–GC (September) | 0.163 | 0.159 | 1.027 | 0.903 |
| CM–GC (September) | 0.897 | 0.239 | 3.745 | 0.021 * |
| PG–GC (September) | 0.157 | 0.208 | 0.753 | 0.975 |
| CM–GCH (September) | 0.734 | 0.239 | 3.074 | 0.068 |
| PG–GCH (September) | −0.007 | 0.207 | −0.032 | 1.0 |
| GCH–GC (May) | 0.008 | 0.155 | 0.054 | 1.0 |
| CM–GC (May) | 0.944 | 0.238 | 3.964 | 0.014 * |
| PG–GC (May) | 0.532 | 0.212 | 2.508 | 0.173 |
| CM–GCH (May) | 0.936 | 0.236 | 3.973 | 0.014 * |
| PG–GCH (May) | 0.524 | 0.209 | 2.504 | 0.174 |
Table A8.
Differences in activity densities of agrotopic carabid beetles, comparing grass–clover (GC) and grass–clover herbs (GCH) with each other, and in comparison to conventional maize (CM) and permanent grasslands (PG) in May/June and September.
Table A8.
Differences in activity densities of agrotopic carabid beetles, comparing grass–clover (GC) and grass–clover herbs (GCH) with each other, and in comparison to conventional maize (CM) and permanent grasslands (PG) in May/June and September.
| Estimate | SE | z-Value | p-Value | |
|---|---|---|---|---|
| GCH–GC (September) | 0.499 | 0.672 | 0.742 | 0.974 |
| CM–GC (September) | −0.123 | 0.781 | −0.157 | 1.0 |
| PG–GC (September) | 7.161 | 2.748 | 2.606 | 0.141 |
| CM–GCH (September) | −0.622 | 0.766 | −0.811 | 0.96 |
| PG–GCH (September) | 6.662 | 2.744 | 2.428 | 0.188 |
| GCH–GC (May) | 1.751 | 0.896 | 1.955 | 0.375 |
| CM–GC (May) | 0.017 | 1.542 | 0.011 | 1.0 |
| PG–GC (May) | −0.489 | 1.068 | −0.458 | 0.998 |
| CM–GCH (May) | −1.734 | 1.579 | −1.098 | 0.863 |
| PG–GCH (May) | −2.24 | 1.122 | −1.996 | 0.355 |
Table A9.
Differences in the species richness of agrotopic carabid beetles, comparing grass–clover (GC) and grass–clover herbs (GCH) with each other, and in comparison to conventional maize (CM) and permanent grasslands (PG) in May/June and September.
Table A9.
Differences in the species richness of agrotopic carabid beetles, comparing grass–clover (GC) and grass–clover herbs (GCH) with each other, and in comparison to conventional maize (CM) and permanent grasslands (PG) in May/June and September.
| Estimate | SE | z-Value | p-Value | |
|---|---|---|---|---|
| GCH–GC (September) | 0.136 | 0.42 | 0.323 | 1.0 |
| CM–GC (September) | 0.359 | 0.482 | 0.745 | 0.958 |
| PG–GC (September) | 0.195 | 0.461 | 0.422 | 0.997 |
| CM–GCH (September) | 0.223 | 0.485 | 0.460 | 0.996 |
| PG–GCH (September) | 0.059 | 0.465 | 0.127 | 1.0 |
| GCH–GC (May) | 0.076 | 0.438 | 0.174 | 1.0 |
| CM–GC (May) | −1.102 | 0.455 | −2.425 | 0.173 |
| PG–GC (May) | 0.354 | 0.458 | 0.773 | 0.951 |
| CM–GCH (May) | −1.178 | 0.456 | −2.581 | 0.135 |
| PG–GCH (May) | 0.278 | 0.460 | 0.605 | 0.983 |
Table A10.
Differences in the species richness of eurytopic carabid beetles, comparing grass–clover (GC) and grass–clover herbs (GCH) with each other, and in comparison to conventional maize (CM) and permanent grasslands (PG) in May/June and September.
Table A10.
Differences in the species richness of eurytopic carabid beetles, comparing grass–clover (GC) and grass–clover herbs (GCH) with each other, and in comparison to conventional maize (CM) and permanent grasslands (PG) in May/June and September.
| Estimate | SE | z-Value | p-Value | |
|---|---|---|---|---|
| GCH–GC (September) | 0.126 | 0.459 | 0.275 | 1.0 |
| CM–GC (September) | 1.097 | 0.485 | 2.262 | 0.216 |
| PG–GC (September) | −0.008 | 0.473 | −0.016 | 1.0 |
| CM–GCH (September) | 0.97 | 0.486 | 1.997 | 0.317 |
| PG–GCH (September) | −0.134 | 0.475 | −0.283 | 1.0 |
| GCH–GC (May) | 0.119 | 0.437 | 0.273 | 1.0 |
| CM–GC (May) | −0.301 | 0.452 | −0.666 | 0.97 |
| PG–GC (May) | −0.177 | 0.484 | −0.365 | 0.998 |
| CM–GCH (May) | −0.42 | 0.452 | −0.931 | 0.891 |
| PG–GCH (May) | −0.296 | 0.484 | −0.612 | 0.98 |
Table A11.
Differences in activity densities of herbivore carabid beetles, comparing grass–clover (GC) and grass–clover herbs (GCH) with each other, and in comparison to conventional maize (CM) and permanent grasslands (PG) in May/June and September. p-values are indicated as * p < 0.05.
Table A11.
Differences in activity densities of herbivore carabid beetles, comparing grass–clover (GC) and grass–clover herbs (GCH) with each other, and in comparison to conventional maize (CM) and permanent grasslands (PG) in May/June and September. p-values are indicated as * p < 0.05.
| Estimate | SE | z-Value | p-Value | |
|---|---|---|---|---|
| GCH–GC (September) | −0.0001 | 0.445 | 0.000 | 1.0 |
| CM–GC (September) | 0.214 | 0.595 | 0.36 | 0.999 |
| PG–GC (September) | 0.117 | 0.856 | 0.136 | 1.0 |
| CM–GCH (September) | 0.215 | 0.601 | 0.357 | 0.999 |
| PG–GCH (September) | 0.117 | 0.86 | 0.136 | 1.0 |
| GCH–GC (May) | 0.267 | 0.411 | 0.65 | 0.982 |
| CM–GC (May) | 0.11 | 0.452 | 0.243 | 1.0 |
| PG–GC (May) | 2.472 | 0.698 | 3.543 | 0.028 * |
| CM–GCH (May) | −0.157 | 0.454 | −0.347 | 0.999 |
| PG–GCH (May) | 2.205 | 0.699 | 3.153 | 0.055 |
Table A12.
Differences in activity densities of flightless/immobile carabid beetles, comparing grass–clover (GC) and grass–clover herbs (GCH) with each other, and in comparison to conventional maize (CM) and permanent grasslands (PG) in May/June and September. p-values are indicated as * p < 0.05.
Table A12.
Differences in activity densities of flightless/immobile carabid beetles, comparing grass–clover (GC) and grass–clover herbs (GCH) with each other, and in comparison to conventional maize (CM) and permanent grasslands (PG) in May/June and September. p-values are indicated as * p < 0.05.
| Estimate | SE | z-Value | p-Value | |
|---|---|---|---|---|
| GCH–GC (September) | 0.234 | 0.570 | 0.41 | 0.998 |
| CM–GC (September) | −0.999 | 0.517 | −1.931 | 0.37 |
| PG–GC (September) | 6.837 | 1.682 | 4.065 | 0.011 * |
| CM–GCH (September) | −1.232 | 0.47 | −2.623 | 0.13 |
| PG–GCH (September) | 6.603 | 1.668 | 3.959 | 0.013 * |
| GCH–GC (May) | 0.069 | 0.467 | 0.148 | 1.0 |
| CM–GC (May) | −0.964 | 0.439 | −2.194 | 0.255 |
| PG–GC (May) | −0.496 | 1.309 | −0.379 | 0.999 |
| CM–GCH (May) | −1.033 | 0.416 | −2.482 | 0.163 |
| PG–GCH (May) | −0.595 | 1.301 | −0.434 | 0.998 |
Table A13.
Differences in activity densities of flying/mobile carabid beetles, comparing grass–clover (GC) and grass–clover herbs (GCH) with each other, and in comparison to conventional maize (CM) and permanent grasslands (PG) in May/June and September. p-values are indicated as * p < 0.05.
Table A13.
Differences in activity densities of flying/mobile carabid beetles, comparing grass–clover (GC) and grass–clover herbs (GCH) with each other, and in comparison to conventional maize (CM) and permanent grasslands (PG) in May/June and September. p-values are indicated as * p < 0.05.
| Estimate | SE | z-Value | p-Value | |
|---|---|---|---|---|
| GCH–GC (September) | 2.327 | 4.677 | 0.5 | 0.995 |
| CM–GC (September) | 21.521 | 5.906 | 3.644 | 0.023 * |
| PG–GC (September) | 3.356 | 5.296 | 0.634 | 0.983 |
| CM–GCH (September) | 19.194 | 5.901 | 3.252 | 0.046 * |
| PG–GCH (September) | 1.029 | 5.291 | 0.194 | 1.0 |
| GCH–GC (May) | 3.784 | 5.020 | 0.754 | 0.963 |
| CM–GC (May) | 0.509 | 5.681 | 0.09 | 1.0 |
| PG–GC (May) | 3.85 | 5.954 | 0.647 | 0.982 |
| CM–GCH (May) | −3.275 | 5.781 | −0.566 | 0.99 |
| PG–GCH (May) | 0.066 | 6.049 | −0.011 | 1.0 |
Table A14.
Differences in the biomasses of carabid beetles, comparing grass–clover (GC) and grass–clover herbs (GCH) with each other, and in comparison to conventional maize (CM) and permanent grasslands (PG) in May/June and September.
Table A14.
Differences in the biomasses of carabid beetles, comparing grass–clover (GC) and grass–clover herbs (GCH) with each other, and in comparison to conventional maize (CM) and permanent grasslands (PG) in May/June and September.
| Estimate | SE | z-Value | p-Value | |
|---|---|---|---|---|
| GCH–GC (September) | 19.1 | 85.34 | 0.224 | 1.0 |
| CM–GC (September) | 407.78 | 128.9 | 3.163 | 0.054 |
| PG–GC (September) | 150.94 | 92.7 | 1.628 | 0.538 |
| CM–GCH (September) | 388.67 | 126.76 | 3.066 | 0.064 |
| PG–GCH (September) | 131.84 | 89.69 | 1.47 | 0.633 |
| GCH–GC (May) | 29.8 | 86.74 | 0.344 | 0.999 |
| CM–GC (May) | −139.31 | 86.29 | −1.615 | 0.546 |
| PG–GC (May) | −95.7 | 87.86 | −1.089 | 0.848 |
| CM–GCH (May) | −169.12 | 81.22 | −2.082 | 0.303 |
| PG–GCH (May) | −125.5 | 82.89 | −1.514 | 0.606 |
Table A15.
Differences in the Chao diversity index of carabid beetles, comparing grass–clover (GC) and grass–clover herbs (GCH) with each other, and in comparison to conventional maize (CM) and permanent grasslands (PG) in May/June and September.
Table A15.
Differences in the Chao diversity index of carabid beetles, comparing grass–clover (GC) and grass–clover herbs (GCH) with each other, and in comparison to conventional maize (CM) and permanent grasslands (PG) in May/June and September.
| Estimate | SE | z-Value | p-Value | |
|---|---|---|---|---|
| GCH–GC (September) | −0.337 | 0.460 | −0.733 | 0.978 |
| CM–GC (September) | 1.031 | 1.203 | 0.857 | 0.955 |
| PG–GC (September) | −0.803 | 0.476 | −1.685 | 0.541 |
| CM–GCH (September) | 1.369 | 1.18 | 1.16 | 0.846 |
| PG–GCH (September) | −0.465 | 0.416 | −1.117 | 0.866 |
| GCH–GC (May) | 0.401 | 0.452 | 0.887 | 0.948 |
| CM–GC (May) | −0.533 | 0.46 | −1.159 | 0.846 |
| PG–GC (May) | 0.275 | 0.697 | 0.395 | 0.999 |
| CM–GCH (May) | −0.934 | 0.501 | −1.863 | 0.438 |
| PG–GCH (May) | −0.125 | 0.725 | −0.173 | 1.0 |
Table A16.
Differences in activity densities of red list carabid beetles, comparing grass–clover (GC) and grass–clover herbs (GCH) with each other, and in comparison to conventional maize (CM) and permanent grasslands (PG) in May/June and September.
Table A16.
Differences in activity densities of red list carabid beetles, comparing grass–clover (GC) and grass–clover herbs (GCH) with each other, and in comparison to conventional maize (CM) and permanent grasslands (PG) in May/June and September.
| Estimate | SE | z-Value | p-Value | |
|---|---|---|---|---|
| GCH–GC (September) | −0.065 | 0.586 | −0.111 | 1.0 |
| CM–GC (September) | 0.017 | 0.553 | 0.03 | 1.0 |
| PG–GC (September) | −0.033 | 0.563 | −0.059 | 1.0 |
| CM–GCH (September) | 0.081 | 0.515 | 0.158 | 1.0 |
| PG–GCH (September) | 0.032 | 0.526 | 0.06 | 1.0 |
| GCH–GC (May) | −0.048 | 0.52 | −0.092 | 1.0 |
| CM–GC (May) | −0.823 | 0.506 | −1.627 | 0.485 |
| PG–GC (May) | −0.526 | 0.512 | −1.027 | 0.829 |
| CM–GCH (May) | −0.775 | 0.489 | −1.586 | 0.508 |
| PG–GCH (May) | −0.478 | 0.495 | −0.966 | 0.858 |
Table A17.
Differences in activity densities of carnivore carabid beetles, comparing grass–clover (GC) and grass–clover herbs (GCH) with each other, and in comparison to conventional maize (CM) and permanent grasslands (PG) in May/June and September.
Table A17.
Differences in activity densities of carnivore carabid beetles, comparing grass–clover (GC) and grass–clover herbs (GCH) with each other, and in comparison to conventional maize (CM) and permanent grasslands (PG) in May/June and September.
| Estimate | SE | z-Value | p-Value | |
|---|---|---|---|---|
| GCH–GC (September) | 0.176 | 4.136 | 0.042 | 1.0 |
| CM–GC (September) | 9.871 | 5.105 | 1.934 | 0.377 |
| PG–GC (September) | 4.609 | 5.09 | 0.905 | 0.927 |
| CM–GCH (September) | 9.695 | 5.08 | 1.907 | 0.39 |
| PG–GCH (September) | 4.433 | 5.07 | 0.874 | 0.936 |
| GCH–GC (May) | 3.152 | 4.549 | 0.693 | 0.977 |
| CM–GC (May) | −2.343 | 5.067 | −0.462 | 0.997 |
| PG–GC (May) | 1.503 | 5.487 | 0.274 | 1.0 |
| CM–GCH (May) | −5.494 | 5.178 | −1.061 | 0.866 |
| PG–GCH (May) | −1.648 | 5.589 | −0.295 | 1.0 |
Table A18.
Differences in activity densities of eurytopic carabid beetles, comparing the grazed pastures and ungrazed strips of the grass–clover (GC) and the grass–clover herbs (GCH) in May/June and September. p-values are indicated as * p < 0.05.
Table A18.
Differences in activity densities of eurytopic carabid beetles, comparing the grazed pastures and ungrazed strips of the grass–clover (GC) and the grass–clover herbs (GCH) in May/June and September. p-values are indicated as * p < 0.05.
| Estimate | SE | z-Value | p-Value | |
|---|---|---|---|---|
| GC ungr.–GC gr. (September) | −5.675 | 2.632 | −2.157 | 0.156 |
| GCH ungr.–GCH gr. (September) | −6.8 | 2.407 | −2.825 | 0.0495 * |
| GC ungr.–GC gr. (May) | −0.824 | 2.776 | −0.297 | 0.994 |
| GCH ungr.–GCH gr. (May) | −2.484 | 2.456 | −1.013 | 0.715 |
Table A19.
Differences in beetle activity densities, comparing the grazed pastures and ungrazed strips of the grass–clover (GC) and the grass–clover herbs (GCH) in May/June and September.
Table A19.
Differences in beetle activity densities, comparing the grazed pastures and ungrazed strips of the grass–clover (GC) and the grass–clover herbs (GCH) in May/June and September.
| Estimate | SE | z-Value | p-Value | |
|---|---|---|---|---|
| GC ungr.–GC gr. (September) | −6.017 | 5.656 | −1.064 | 0.677 |
| GCH ungr.–GCH gr. (September) | −7.619 | 5.674 | −1.343 | 0.502 |
| GC ungr.–GC gr. (May) | 1.941 | 6.054 | 0.321 | 0.991 |
| GCH ungr.–GCH gr. (May) | −4.186 | 6.076 | −0.689 | 0.891 |
Table A20.
Differences in biomasses, comparing the grazed pastures and ungrazed strips of the grass–clover (GC) and the grass–clover herbs (GCH) in May/June and September.
Table A20.
Differences in biomasses, comparing the grazed pastures and ungrazed strips of the grass–clover (GC) and the grass–clover herbs (GCH) in May/June and September.
| Estimate | SE | z-Value | p-Value | |
|---|---|---|---|---|
| GC ungr.–GC gr. (September) | −193.86 | 84.52 | −2.294 | 0.126 |
| GCH ungr.–GCH gr. (September) | −155.67 | 90.12 | −1.727 | 0.308 |
| GC ungr.–GC gr. (May) | −45.96 | 106.03 | −0.433 | 0.977 |
| GCH ungr.–GCH gr. (May) | −158.67 | 84.67 | −1.874 | 0.248 |
Table A21.
Differences in activity densities of open-habitat carabid beetles, comparing the grazed pastures and ungrazed strips of the grass–clover (GC) and the grass–clover herbs (GCH) in May/June and September.
Table A21.
Differences in activity densities of open-habitat carabid beetles, comparing the grazed pastures and ungrazed strips of the grass–clover (GC) and the grass–clover herbs (GCH) in May/June and September.
| Estimate | SE | z-Value | p-Value | |
|---|---|---|---|---|
| GC ungr.–GC gr. (September) | 0.468 | 0.603 | 0.776 | 0.889 |
| GCH ungr.–GCH gr. (September) | 0.738 | 0.586 | 1.259 | 0.612 |
| GC ungr.–GC gr. (May) | 1.375 | 1.521 | 0.904 | 0.827 |
| GCH ungr.–GCH gr. (May) | −1.392 | 1.385 | −1.005 | 0.77 |
Table A22.
Differences in activity densities of agrotopic carabid beetles, comparing the grazed pastures and ungrazed strips of the grass–clover (GC) and the grass–clover herbs (GCH) in May/June and September.
Table A22.
Differences in activity densities of agrotopic carabid beetles, comparing the grazed pastures and ungrazed strips of the grass–clover (GC) and the grass–clover herbs (GCH) in May/June and September.
| Estimate | SE | z-Value | p-Value | |
|---|---|---|---|---|
| GC ungr.–GC gr. (September) | −0.971 | 0.73 | −1.330 | 0.543 |
| GCH ungr.–GCH gr. (September) | −1.306 | 0.717 | −1.821 | 0.282 |
| GC ungr.–GC gr. (May) | 1.135 | 1.098 | 1.034 | 0.73 |
| GCH ungr.–GCH gr. (May) | −1.313 | 1.161 | −1.131 | 0.669 |
Table A23.
Differences in species richness of eurytopic carabid beetles, comparing the grazed pastures and ungrazed strips of the grass–clover (GC) and the grass–clover herbs (GCH) in May/June and September.
Table A23.
Differences in species richness of eurytopic carabid beetles, comparing the grazed pastures and ungrazed strips of the grass–clover (GC) and the grass–clover herbs (GCH) in May/June and September.
| Estimate | SE | z-Value | p-Value | |
|---|---|---|---|---|
| GC ungr.–GC gr. (September) | −1.128 | 0.481 | −2.343 | 0.11 |
| GCH ungr.–GCH gr. (September) | −1.253 | 0.484 | −2.59 | 0.072 |
| GC ungr.–GC gr. (May) | −0.534 | 0.472 | −1.131 | 0.621 |
| GCH ungr.–GCH gr. (May) | −0.064 | 0.488 | −0.131 | 1.0 |
Table A24.
Differences in species richness of open-habitat carabid beetles, comparing the grazed pastures and ungrazed strips of the grass–clover (GC) and the grass–clover herbs (GCH) in May/June and September.
Table A24.
Differences in species richness of open-habitat carabid beetles, comparing the grazed pastures and ungrazed strips of the grass–clover (GC) and the grass–clover herbs (GCH) in May/June and September.
| Estimate | SE | z-Value | p-Value | |
|---|---|---|---|---|
| GC ungr.–GC gr. (September) | 0.042 | 0.228 | 0.186 | 1.0 |
| GCH ungr.–GCH gr. (September) | 0.264 | 0.243 | 1.085 | 0.728 |
| GC ungr.–GC gr. (May) | 0.007 | 0.197 | 0.035 | 1.0 |
| GCH ungr.–GCH gr. (May) | −0.022 | 0.176 | −0.126 | 1.0 |
Table A25.
Differences in species richness of agrotopic carabid beetles, comparing the grazed pastures and ungrazed strips of the grass–clover (GC) and the grass–clover herbs (GCH) in May/June and September.
Table A25.
Differences in species richness of agrotopic carabid beetles, comparing the grazed pastures and ungrazed strips of the grass–clover (GC) and the grass–clover herbs (GCH) in May/June and September.
| Estimate | SE | z-Value | p-Value | |
|---|---|---|---|---|
| GC ungr.–GC gr. (September) | 0.132 | 0.441 | 0.298 | 0.994 |
| GCH ungr.–GCH gr. (September) | 0.388 | 0.456 | 0.851 | 0.81 |
| GC ungr.–GC gr. (May) | 0.107 | 0.472 | 0.226 | 0.998 |
| GCH ungr.–GCH gr. (May) | −0.172 | 0.469 | −0.366 | 0.987 |
Table A26.
Differences in Chao diversity index, comparing the grazed pastures and ungrazed strips of the grass–clover (GC) and the grass–clover herbs (GCH) in May/June and September.
Table A26.
Differences in Chao diversity index, comparing the grazed pastures and ungrazed strips of the grass–clover (GC) and the grass–clover herbs (GCH) in May/June and September.
| Estimate | SE | z-Value | p-Value | |
|---|---|---|---|---|
| GC ungr.–GC gr. (September) | −0.5775 | 0.6324 | −0.913 | 0.83 |
| GCH ungr.–GCH gr. (September) | 0.2566 | 0.7578 | 0.339 | 0.994 |
| GC ungr.–GC gr. (May) | −0.4892 | 0.5385 | −0.908 | 0.832 |
| GCH ungr.–GCH gr. (May) | −0.3111 | 0.6663 | −0.467 | 0.981 |
Table A27.
Differences in activity densities of red list carabid beetles, comparing the grazed pastures and ungrazed strips of the grass–clover (GC) and the grass–clover herbs (GCH) in May/June and September.
Table A27.
Differences in activity densities of red list carabid beetles, comparing the grazed pastures and ungrazed strips of the grass–clover (GC) and the grass–clover herbs (GCH) in May/June and September.
| Estimate | SE | z-Value | p-Value | |
|---|---|---|---|---|
| GC ungr.–GC gr. (September) | 0.002 | 0.667 | 0.004 | 1.0 |
| GCH ungr.–GCH gr. (September) | 0.047 | 0.568 | 0.083 | 1.0 |
| GC ungr.–GC gr. (May) | −0.148 | 0.557 | −0.265 | 0.996 |
| GCH ungr.–GCH gr. (May) | −0.217 | 0.517 | −0.420 | 0.979 |
Table A28.
Differences in activity densities of herbivore carabid beetles, comparing the grazed pastures and ungrazed strips of the grass–clover (GC) and the grass–clover herbs (GCH) in May/June and September.
Table A28.
Differences in activity densities of herbivore carabid beetles, comparing the grazed pastures and ungrazed strips of the grass–clover (GC) and the grass–clover herbs (GCH) in May/June and September.
| Estimate | SE | z-Value | p-Value | |
|---|---|---|---|---|
| GC ungr.–GC gr. (September) | −0.043 | 0.538 | −0.079 | 1.0 |
| GCH ungr.–GCH gr. (September) | 0.183 | 0.508 | 0.359 | 0.989 |
| GC ungr.–GC gr. (May) | 0.314 | 0.465 | 0.676 | 0.904 |
| GCH ungr.–GCH gr. (May) | −0.045 | 0.458 | −0.098 | 1.0 |
Table A29.
Differences in activity densities of herbivore carabid beetles, comparing the grazed pastures and ungrazed strips of the grass–clover (GC) and the grass–clover herbs (GCH) in May/June and September.
Table A29.
Differences in activity densities of herbivore carabid beetles, comparing the grazed pastures and ungrazed strips of the grass–clover (GC) and the grass–clover herbs (GCH) in May/June and September.
| Estimate | SE | z-Value | p-Value | |
|---|---|---|---|---|
| GC ungr.–GC gr. (September) | −5.179 | 4.710 | −1.1 | 0.672 |
| GCH ungr.–GCH gr. (September) | −4.742 | 4.711 | −1.006 | 0.731 |
| GC ungr.–GC gr. (May) | 2.302 | 5.191 | 0.443 | 0.977 |
| GCH ungr.–GCH gr. (May) | −3.073 | 5.233 | −0.587 | 0.94 |
Table A30.
Differences in activity densities of flightless/immobile carabid beetles, comparing the grazed pastures and ungrazed strips of the grass–clover (GC) and the grass–clover herbs (GCH) in May/June and September.
Table A30.
Differences in activity densities of flightless/immobile carabid beetles, comparing the grazed pastures and ungrazed strips of the grass–clover (GC) and the grass–clover herbs (GCH) in May/June and September.
| Estimate | SE | z-Value | p-Value | |
|---|---|---|---|---|
| GC ungr.–GC gr. (September) | −1.037 | 0.652 | −1.591 | 0.387 |
| GCH ungr.–GCH gr. (September) | −1.359 | 0.503 | −2.701 | 0.065 |
| GC ungr.–GC gr. (May) | −0.215 | 0.505 | −0.425 | 0.982 |
| GCH ungr.–GCH gr. (May) | −0.467 | 0.436 | −1.069 | 0.703 |
Table A31.
Differences in activity densities of flying/mobile carabid beetles, comparing the grazed pastures and ungrazed strips of the grass–clover (GC) and the grass–clover herbs (GCH) in May/June and September.
Table A31.
Differences in activity densities of flying/mobile carabid beetles, comparing the grazed pastures and ungrazed strips of the grass–clover (GC) and the grass–clover herbs (GCH) in May/June and September.
| Estimate | SE | z-Value | p-Value | |
|---|---|---|---|---|
| GC ungr.–GC gr. (September) | −4.83 | 5.275 | −0.196 | 0.773 |
| GCH ungr.–GCH gr. (September) | −6.375 | 5.275 | −1.208 | 0.589 |
| GC ungr.–GC gr. (May) | 1.9 | 5.657 | 0.336 | 0.99 |
| GCH ungr.–GCH gr. (May) | −3.834 | 5.708 | −0.672 | 0.901 |
References
- Hooftman, D.A.P.; Bullock, J.M. Mapping to Inform Conservation. Biol. Conserv. 2012, 145, 30–38. [Google Scholar] [CrossRef]
- Hallmann, C.A.; Sorg, M.; Jongejans, E.; Siepel, H.; Hofland, N.; Schwan, H.; Stenmans, W.; Müller, A.; Sumser, H.; Hörren, T. More than 75 Percent Decline over 27 Years in Total Flying Insect Biomass in Protected Areas. PLoS ONE 2017, 12, e0185809. [Google Scholar] [CrossRef] [PubMed]
- Homburg, K.; Drees, C.; Boutaud, E.; Nolte, D.; Schuett, W.; Zumstein, P.; von Ruschkowski, E.; Assmann, T. Where Have All the Beetles Gone? Long-term Study Reveals Carabid Species Decline in a Nature Reserve in Northern Germany. Insect Conserv. Divers. 2019, 12, 268–277. [Google Scholar] [CrossRef]
- Bommarco, R.; Lindborg, R.; Marini, L.; Öckinger, E. Extinction Debt for Plants and Flower-visiting Insects in Landscapes with Contrasting Land Use History. Divers. Distrib. 2014, 20, 591–599. [Google Scholar] [CrossRef]
- Isbell, F.; Adler, P.R.; Eisenhauer, N.; Fornara, D.; Kimmel, K.; Kremen, C.; Letourneau, D.K.; Liebman, M.; Polley, H.W.; Quijas, S. Benefits of Increasing Plant Diversity in Sustainable Agroecosystems. J. Ecol. 2017, 105, 871–879. [Google Scholar] [CrossRef]
- Enri, S.R.; Probo, M.; Farruggia, A.; Lanore, L.; Blanchetete, A.; Dumont, B. A Biodiversity-Friendly Rotational Grazing System Enhancing Flower-Visiting Insect Assemblages While Maintaining Animal and Grassland Productivity. Agric. Ecosyst. Environ. 2017, 241, 1–10. [Google Scholar] [CrossRef]
- Teague, R.; Barnes, M. Grazing Management That Regenerates Ecosystem Function and Grazingland Livelihoods. Afr. J. Range Forage Sci. 2017, 34, 77–86. [Google Scholar] [CrossRef]
- Bengtsson, J.; Ahnström, J.; Weibull, A. The Effects of Organic Agriculture on Biodiversity and Abundance: A Meta-analysis. J. Appl. Ecol. 2005, 42, 261–269. [Google Scholar] [CrossRef]
- Hole, D.G.; Perkins, A.J.; Wilson, J.D.; Alexander, I.H.; Grice, P.V.; Evans, A.D. Does Organic Farming Benefit Biodiversity? Biol. Conserv. 2005, 122, 113–130. [Google Scholar] [CrossRef]
- Rundlöf, M.; Smith, H.G.; Birkhofer, K. Effects of Organic Farming on Biodiversity. ELS 2016, 243, 19–26. [Google Scholar]
- Rockström, J.; Steffen, W.; Noone, K.; Persson, Å.; Chapin III, F.S.; Lambin, E.; Lenton, T.M.; Scheffer, M.; Folke, C.; Schellnhuber, H.J. Planetary Boundaries: Exploring the Safe Operating Space for Humanity. Ecol. Soc. 2009, 14, 32. [Google Scholar] [CrossRef]
- Martin, G.; Durand, J.-L.; Duru, M.; Gastal, F.; Julier, B.; Litrico, I.; Louarn, G.; Mediene, S.; Moreau, D.; Valentin-Morison, M. Role of Ley Pastures in Tomorrow’s Cropping Systems. A Review. Agron. Sustain. Dev. 2020, 40, 17. [Google Scholar] [CrossRef]
- Reinsch, T.; Malisch, C.; Loges, R.; Taube, F. Nitrous Oxide Emissions from Grass–Clover Swards as Influenced by Sward Age and Biological Nitrogen Fixation. Grass Forage Sci. 2020, 75, 372–384. [Google Scholar] [CrossRef]
- Schuster, M.Z.; Gastal, F.; Doisy, D.; Charrier, X.; De Moraes, A.; Médiène, S.; Barbu, C.M. Weed Regulation by Crop and Grassland Competition: Critical Biomass Level and Persistence Rate. Eur. J. Agron. 2020, 113, 125963. [Google Scholar] [CrossRef]
- Beye, H.; Taube, F.; Lange, K.; Hasler, M.; Kluß, C.; Loges, R.; Diekötter, T. Species-Enriched Grass-Clover Mixtures Can Promote Bumblebee Abundance Compared with Intensively Managed Conventional Pastures. Agronomy 2022, 12, 1080. [Google Scholar] [CrossRef]
- Gallé, R.; Happe, A.; Baillod, A.B.; Tscharntke, T.; Batáry, P. Landscape Configuration, Organic Management, and Within-field Position Drive Functional Diversity of Spiders and Carabids. J. Appl. Ecol. 2019, 56, 63–72. [Google Scholar] [CrossRef]
- Gobbi, M.; Fontaneto, D.; Bragalanti, N.; Pedrotti, L.; Lencioni, V. Carabid Beetle (Coleoptera: Carabidae) Richness and Functional Traits in Relation to Differently Managed Grasslands in the Alps; Taylor & Francis: Abingdon, UK, 2015; Volume 51, pp. 52–59. [Google Scholar]
- Lyons, A.; Ashton, P.A.; Powell, I.; Oxbrough, A. Impacts of Contrasting Conservation Grazing Management on Plants and Carabid Beetles in Upland Calcareous Grasslands. Agric. Ecosyst. Environ. 2017, 244, 22–31. [Google Scholar] [CrossRef]
- Letourneau, D.K.; Jedlicka, J.A.; Bothwell, S.G.; Moreno, C.R. Effects of Natural Enemy Biodiversity on the Suppression of Arthropod Herbivores in Terrestrial Ecosystems. Annu. Rev. Ecol. Evol. Syst. 2009, 40, 573. [Google Scholar] [CrossRef]
- Waite, E.S.; Houseman, G.R.; Jensen, W.E.; Reichenborn, M.M.; Jameson, M.L. Ground Beetle (Coleoptera: Carabidae) Responses to Cattle Grazing, Grassland Restoration, and Habitat across a Precipitation Gradient. Insects 2022, 13, 696. [Google Scholar] [CrossRef]
- Larochelle, A.; Larivière, M.-C. A Natural History of the Ground-Beetles (Coleoptera: Carabidae) of America North of Mexico; Pensoft: Sofia, Bulgaria, 2003; ISBN 954-642-165-0. [Google Scholar]
- Baulechner, D.; Diekötter, T.; Wolters, V.; Jauker, F. Converting Arable Land into Flowering Fields Changes Functional and Phylogenetic Community Structure in Ground Beetles. Biol. Conserv. 2019, 231, 51–58. [Google Scholar] [CrossRef]
- Hoffmann, H.; Peter, F.; Donath, T.W.; Diekötter, T. Landscape-and Time-Dependent Benefits of Wildflower Areas to Ground-Dwelling Arthropods. Basic Appl. Ecol. 2022, 59, 44–58. [Google Scholar] [CrossRef]
- Gayer, C.; Lövei, G.L.; Magura, T.; Dieterich, M.; Batáry, P. Carabid Functional Diversity Is Enhanced by Conventional Flowering Fields, Organic Winter Cereals and Edge Habitats. Agric. Ecosyst. Environ. 2019, 284, 106579. [Google Scholar] [CrossRef]
- Batáry, P.; Holzschuh, A.; Orci, K.M.; Samu, F.; Tscharntke, T. Responses of Plant, Insect and Spider Biodiversity to Local and Landscape Scale Management Intensity in Cereal Crops and Grasslands. Agric. Ecosyst. Environ. 2012, 146, 130–136. [Google Scholar] [CrossRef]
- Cole, L.; Pollock, M.; Robertson, D.; Holland, J.; McCracken, D. Carabid (Coleoptera) Assemblages in the Scottish Uplands: The Influence of Sheep Grazing on Ecological Structure. Entomol. Fenn. 2006, 17, 229–240. [Google Scholar] [CrossRef]
- Ribera, I.; Dolédec, S.; Downie, I.S.; Foster, G.N. Effect of Land Disturbance and Stress on Species Traits of Ground Beetle Assemblages. Ecology 2001, 82, 1112–1129. [Google Scholar] [CrossRef]
- Aguilar, J.; Gramig, G.G.; Hendrickson, J.R.; Archer, D.W.; Forcella, F.; Liebig, M.A.; Hart, J.P. Crop Species Diversity Changes in the United States. PLoS ONE 2015, 10, e0136580. [Google Scholar] [CrossRef]
- Palmu, E.; Ekroos, J.; Hanson, H.I.; Smith, H.G.; Hedlund, K. Landscape-Scale Crop Diversity Interacts with Local Management to Determine Ground Beetle Diversity. Basic Appl. Ecol. 2014, 15, 241–249. [Google Scholar] [CrossRef]
- Weibull, A.-C.; Östman, Ö.; Granqvist, Å. Species Richness in Agroecosystems: The Effect of Landscape, Habitat and Farm Management. Biodivers. Conserv. 2003, 12, 1335–1355. [Google Scholar] [CrossRef]
- Adler, P.; Raff, D.; Lauenroth, W. The Effect of Grazing on the Spatial Heterogeneity of Vegetation. Oecologia 2001, 128, 465–479. [Google Scholar] [CrossRef]
- Vickery, J.; Tallowin, J.; Feber, R.; Asteraki, E.; Atkinson, P.; Fuller, R.; Brown, V. The Management of Lowland Neutral Grasslands in Britain: Effects of Agricultural Practices on Birds and Their Food Resources. J. Appl. Ecol. 2001, 38, 647–664. [Google Scholar] [CrossRef]
- Bassett, E.R.; Fraser, L.H. Effects of Cattle on the Abundance and Composition of Carabid Beetles in Temperate Grasslands. J. Agric. Stud. 2015, 3, 36–47. [Google Scholar] [CrossRef]
- Pozsgai, G.; Quinzo-Ortega, L.; Littlewood, N.A. Grazing Impacts on Ground Beetle (Coleoptera: Carabidae) Abundance and Diversity on Semi-natural Grassland. Insect Conserv. Divers. 2022, 15, 36–47. [Google Scholar] [CrossRef]
- Littlewood, N.A.; Pakeman, R.J.; Pozsgai, G. Grazing Impacts on Auchenorrhyncha Diversity and Abundance on a Scottish Upland Estate: Auchenorrhyncha Responses to Grazing. Insect Conserv. Divers. 2012, 5, 67–74. [Google Scholar] [CrossRef]
- Schaffers, A.P.; Raemakers, I.P.; Sýkora, K.V.; Ter Braak, C.J. Arthropod Assemblages Are Best Predicted by Plant Species Composition. Ecology 2008, 89, 782–794. [Google Scholar] [CrossRef]
- Loza, C.; Reinsch, T.; Loges, R.; Taube, F.; Gere, J.I.; Kluß, C.; Hasler, M.; Malisch, C.S. Methane Emission and Milk Production from Jersey Cows Grazing Perennial Ryegrass–White Clover and Multispecies Forage Mixtures. Agriculture 2021, 11, 175. [Google Scholar] [CrossRef]
- Nyameasem, J.K.; Malisch, C.S.; Loges, R.; Taube, F.; Kluß, C.; Vogeler, I.; Reinsch, T. Nitrous Oxide Emission from Grazing Is Low across a Gradient of Plant Functional Diversity and Soil Conditions. Atmosphere 2021, 12, 223. [Google Scholar] [CrossRef]
- Smit, H.P.J.; Reinsch, T.; Kluß, C.; Loges, R.; Taube, F. Very Low Nitrogen Leaching in Grazed Ley-Arable-Systems in Northwest Europe. Agronomy 2021, 11, 2155. [Google Scholar] [CrossRef]
- Hoffmann, H.; Peter, F.; Herrmann, J.D.; Donath, T.W.; Diekötter, T. Benefits of Wildflower Areas as Overwintering Habitats for Ground-Dwelling Arthropods Depend on Landscape Structural Complexity. Agric. Ecosyst. Environ. 2021, 314, 107421. [Google Scholar] [CrossRef]
- Freude, H.; Harde, K.; Lohse, G.; Klausnitzer, B. Die Käfer Mitteleuropas. Bd: 2. Carabidae; Springer: Berlin/Heidelberg, Germany, 2004. [Google Scholar]
- Gürlich, S.; Suikat, R.; Ziegler, W. Die Käfer Schleswig-Holsteins-Rote Liste; Landesamt für Landwirtschaft, Umwelt und ländliche Räume Schleswig-Holstein: Flintbek, Germany, 2011; ISBN 3-937937-54-4. [Google Scholar]
- Bräunicke, M.; Trautner, J. Lebensraumpräferenzen Der Laufkäfer Deutschlands–Wissensbasierter Katalog. Angew. Carabidol. Suppl. 2009, 1, 45. [Google Scholar]
- Homburg, K.; Homburg, N.; Schuldt, A.; Assmann, T. Carabids. Org–a Dynamic Online Database of Ground Beetle Species Traits (Coleoptera, Carabidae). Insect Conserv. Divers. 2014, 7, 195–205. [Google Scholar] [CrossRef]
- McCune, B.; Grace, J.B. Analysis of Ecological Communities; MjM Software Design: Lincoln County, OR, USA, 2002; ISBN 0-9721290-0-6. [Google Scholar]
- Legendre, P.; Legendre, L. Numerical Ecology; Elsevier: Amsterdam, The Netherlands, 2012; ISBN 0-444-53869-0. [Google Scholar]
- Pinheiro, J.; Bates, D. Mixed-Effects Models in S and S-PLUS; Springer Science & Business Media: New York, NY, USA, 2006; ISBN 0-387-22747-4. [Google Scholar]
- Schaarschmidt, F.; Vaas, L. Analysis of Trials with Complex Treatment Structure Using Multiple Contrast Tests. Hort. Sci 2009, 44, 188–195. [Google Scholar] [CrossRef]
- Nakagawa, S.; Schielzeth, H.; O’Hara, R.B. A General and Simple Method for Obtaining R2 from Generalized Linear Mixed-Effects Models. Methods Ecol. Evol. 2013, 4, 133–142. [Google Scholar] [CrossRef]
- Bretz, F.; Hothorn, T.; Westfall, P. Multiple Comparisons Using R; Chapman and Hall/CRC: Boca Raton, FL, USA, 2016; ISBN 978-1-4200-1090-9. [Google Scholar]
- Hothorn, T.; Bretz, F.; Westfall, P. Simultaneous Inference in General Parametric Models. Biom. J. 2008, 50, 346–363. [Google Scholar] [CrossRef] [PubMed]
- R Core Team. R: A Language and Environment for Statistical Computing; R Foundation for Statistical Computing: Vienna, Austria, 2021. [Google Scholar]
- Reinsch, T.; Loza, C.; Malisch, C.S.; Vogeler, I.; Kluß, C.; Loges, R.; Taube, F. Toward Specialized or Integrated Systems in Northwest Europe: On-Farm Eco-Efficiency of Dairy Farming in Germany. Front. Sustain. Food Syst. 2021, 5, 167. [Google Scholar] [CrossRef]
- da Silva, P.M.; Aguiar, C.A.; Niemelä, J.; Sousa, J.P.; Serrano, A.R. Diversity Patterns of Ground-Beetles (Coleoptera: Carabidae) along a Gradient of Land-Use Disturbance. Agric. Ecosyst. Environ. 2008, 124, 270–274. [Google Scholar] [CrossRef]
- Irmler, U. Veränderung Der Laufkäfergemeinschaften (Carabidae) in 15 Jahren Sukzession Nach Der Umstellung Vom Konventionellen Auf Ökologischen Landbau Auf Hof Ritzerau; Kiel University Publishing: Kiel, Germany, 2020; ISBN 3-928794-30-2. [Google Scholar]
- Honek, A.; Martinkova, Z.; Jarosik, V. Ground Beetles (Carabidae) as Seed Predators. EJE 2013, 100, 531–544. [Google Scholar] [CrossRef]
- Rusch, A.; Binet, D.; Delbac, L.; Thiéry, D. Local and Landscape Effects of Agricultural Intensification on Carabid Community Structure and Weed Seed Predation in a Perennial Cropping System. Landsc. Ecol. 2016, 31, 2163–2174. [Google Scholar] [CrossRef]
- Wietzke, A.; van Waveren, C.-S.; Bergmeier, E.; Meyer, S.; Leuschner, C. Current State and Drivers of Arable Plant Diversity in Conventionally Managed Farmland in Northwest Germany. Diversity 2020, 12, 469. [Google Scholar] [CrossRef]
- Kruess, A.; Tscharntke, T. Grazing Intensity and the Diversity of Grasshoppers, Butterflies, and Trap-nesting Bees and Wasps. Conserv. Biol. 2002, 16, 1570–1580. [Google Scholar] [CrossRef]
- Barton, P.S.; Manning, A.D.; Gibb, H.; Wood, J.T.; Lindenmayer, D.B.; Cunningham, S.A. Experimental Reduction of Native Vertebrate Grazing and Addition of Logs Benefit Beetle Diversity at Multiple Scales. J. Appl. Ecol. 2011, 48, 943–951. [Google Scholar] [CrossRef]
- Cagnolo, L.; Molina, S.I.; Valladares, G.R. Diversity and Guild Structure of Insect Assemblages under Grazing and Exclusion Regimes in a Montane Grassland from Central Argentina. Biodivers. Conserv. 2002, 11, 407–420. [Google Scholar] [CrossRef]
- Baguette, M.; Hance, T. Carabid Beetles and Agricultural Practices: Influence of Soil Ploughing. Biol. Agric. Hortic. 1997, 15, 185–190. [Google Scholar] [CrossRef]
- De Heij, S.E.; Benaragama, D.; Willenborg, C.J. Carabid Activity-Density and Community Composition, and Their Impact on Seed Predation in Pulse Crops. Agric. Ecosyst. Environ. 2022, 326, 107807. [Google Scholar] [CrossRef]
- Triquet, C.; Roume, A.; Wezel, A.; Tolon, V.; Ferrer, A. In-field Cover Crop Strips Support Carabid Communities and Shape the Ecological Trait Repartition in Maize Fields. Agri. For. Entomol. 2022, 25, 152–163. [Google Scholar] [CrossRef]
- Hagge, J.; Seibold, S.; Gruppe, A. Beetle Biodiversity in Anthropogenic Landscapes with a Focus on Spruce Plantations, Christmas Tree Plantations and Maize Fields. J. Insect Conserv. 2019, 23, 565–572. [Google Scholar] [CrossRef]
- Hüber, C.; Zettl, F.; Hartung, J.; Müller-Lindenlauf, M. The Impact of Maize-Bean Intercropping on Insect Biodiversity. Basic Appl. Ecol. 2022, 61, 1–9. [Google Scholar] [CrossRef]
- Woodcock, B.; Pywell, R.; Roy, D.; Rose, R.; Bell, D. Grazing Management of Calcareous Grasslands and Its Implications for the Conservation of Beetle Communities. Biol. Conserv. 2005, 125, 193–202. [Google Scholar] [CrossRef]
- Jauker, F.; Diekoetter, T.; Schwarzbach, F.; Wolters, V. Pollinator Dispersal in an Agricultural Matrix: Opposing Responses of Wild Bees and Hoverflies to Landscape Structure and Distance from Main Habitat. Landsc. Ecol. 2009, 24, 547–555. [Google Scholar] [CrossRef]
- Kremen, C.; Merenlender, A.M. Landscapes That Work for Biodiversity and People. Science 2018, 362, 51. [Google Scholar] [CrossRef]
- Keller, I.; Largiader, C.R. Recent Habitat Fragmentation Caused by Major Roads Leads to Reduction of Gene Flow and Loss of Genetic Variability in Ground Beetles. Proc. R. Soc. Lond. Ser. B Biol. Sci. 2003, 270, 417–423. [Google Scholar] [CrossRef]
Disclaimer/Publisher’s Note: The statements, opinions and data contained in all publications are solely those of the individual author(s) and contributor(s) and not of MDPI and/or the editor(s). MDPI and/or the editor(s) disclaim responsibility for any injury to people or property resulting from any ideas, methods, instructions or products referred to in the content. |
© 2023 by the authors. Licensee MDPI, Basel, Switzerland. This article is an open access article distributed under the terms and conditions of the Creative Commons Attribution (CC BY) license (https://creativecommons.org/licenses/by/4.0/).






