Characterization and Mapping of Public and Private Green Areas in the Municipality of Forlì (NE Italy) Using High-Resolution Images
Abstract
1. Introduction
1.1. Urban Green Spaces at the Local and European Framework
1.2. Characterisation of Urban Green Spaces for Ecosystem Services Provision
1.3. Geographical Framework of the Study Area
1.4. Aims of the Study
2. Materials and Methods
2.1. Urban Green Spaces Detection and Classification
2.2. Land Use and Land Cover Database and Thematic Maps
2.3. Multispectral Orthophotos, Municipality Cadastral Map and Tree Census
2.4. Statistical Analysis
3. Results
3.1. Public and Private Green Spaces Mapping
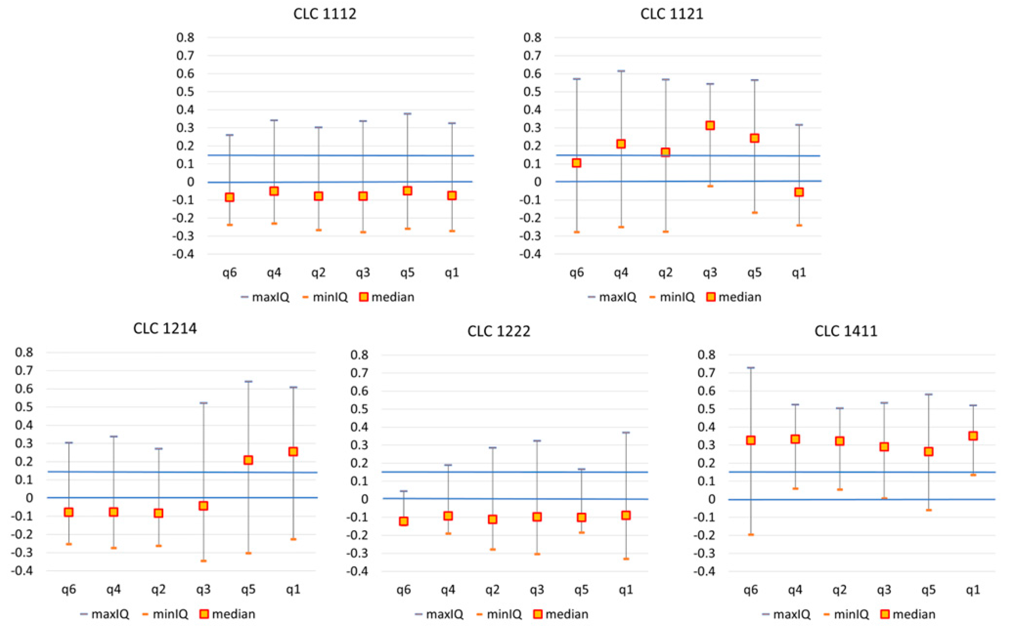
3.2. NDVI and Corine Land Cover Units
4. Discussion
5. Conclusions
Supplementary Materials
Author Contributions
Funding
Data Availability Statement
Acknowledgments
Conflicts of Interest
References
- Ahern, J. Green infrastructure for cities: The spatial dimension. In Cities of the Future: Towards Integrated Sustainable Water and Landscape Management; Novotny, V., Brown, P., Eds.; IWA Publishing: London, UK, 2007; pp. 267–283. [Google Scholar]
- Krajter, S.; Salbitano, F.; Borelli, S.; Verlič, A. Urban Forest research in the Mediterranean: A systematic review. Urban For. Urban Green 2018, 31, 185–196. [Google Scholar] [CrossRef]
- European Commission. INSPIRE Knowledge Base. Available online: https://inspire.ec.europa.eu/inspire-directive/2 (accessed on 16 January 2023).
- Zulian, G.; Marando, F.; Mentaschi, L.; Alzetta, C.; Wilk, B.; Maes, J. Green balance in urban areas as an indicator for policy support: A multi-level application. One Ecosyst. 2022, 7, e72685. [Google Scholar] [CrossRef]
- Nastran, M.; Pintar, M.; Železnikar, Š.; Cvejić, R. Stakeholders’ Perceptions on the Role of Urban Green Infrastructure in Providing Ecosystem Services for Human Well-Being. Land 2022, 11, 299. [Google Scholar] [CrossRef]
- La Notte, A.; Zulian, G. An Ecosystem Services-Based Approach to Frame NBS in Urban Context. In Nature-Based Solutions for More Sustainable Cities—A Framework Approach for Planning and Evaluation; Croci, E., Lucchitta, B., Eds.; Emerald Publishing Limited: Bingley, UK, 2021; pp. 47–65. [Google Scholar] [CrossRef]
- Slaev, A.D.; Alexander, E.R.; Zdravkov, Z.; Ivanov, V.; Georgieva, S. Market tools for the provision of urban green spaces in post-socialist Sofia. Land Use Policy 2022, 122, 106377. [Google Scholar] [CrossRef]
- European Commission. Green Infrastructure (GI)—Enhancing Europe’s Natural Capital. Communication from the Commission to the European Parliament, the Council, the European Economic and Social Committee and the Committees of the Regions. COM/2013/0249 Final. 2013. Available online: https://ec.europa.eu/environment/nature/ecosystems/docs/green_infrastructures/1_EN_ACT_part1_v5.pdf (accessed on 21 November 2022).
- European Commission. The Urban Agenda for the EU. 2021. Available online: https://ec.europa.eu/regional_policy/en/policy/themes/urban-development/agenda/, (accessed on 3 July 2022).
- United Nations. World Urbanization Prospects: The 2018 Revision; Department of Economic and Social Affairs, Population Division: New York, NY, USA. Available online: https://www.un.org/development/desa/pd/file/1942 (accessed on 22 July 2022).
- The World Bank. Urban Population. Available online: https://data.worldbank.org/indicator/SP.URB.TOTL.IN.ZS (accessed on 3 November 2022).
- D’Alfonso, A.; Italy’s National Recovery and Resilience Plan. Latest State of Play. European Parliamentary Research Service. Available online: https://www.europarl.europa.eu/thinktank/en/document/EPRS_BRI(2021)698847 (accessed on 18 November 2022).
- Steenberg, J.W.N. People or Place? An exploration of social and ecological drivers of urban forest species composition. Urban Ecosyst. 2018, 21, 887–901. [Google Scholar] [CrossRef]
- Shahtahmassebi, A.; Li, C.; Fan, Y.; Wu, Y.; Lin, Y.; Gan, M.; Wang, K.; Malik, A.; Blackburn, A. Remote sensing of urban green spaces: A review. Urban For. Urban Green. 2021, 57, 126946. [Google Scholar] [CrossRef]
- Christoforidi, I.; Kollaros, D.; Papadakaki, M.; Psaroudaki, A.; Antoniou, T.; Daliakopoulos, I.N. A novel index for assessing perceived availability and public demand for urban green space: Application in a Mediterranean island. Urban For. Urban Green 2022, 69, 127498. [Google Scholar] [CrossRef]
- Pouya, S.; Aghlmand, M. Evaluation of urban green space per capita with new remote sensing and geographic information system techniques and the importance of urban green space during the COVID-19 pandemic. Environ. Monit. Assess. 2022, 194, 633. [Google Scholar] [CrossRef]
- WHO (World Health Organization). Urban Green Spaces and Health; WHO Regional Office for Europe: Copenhagen, Danmark, 2016. Available online: https://www.euro.who.int/__data/assets/pdf_file/0005/321971/Urban-green-spaces-and-health-review-evidence.pdf (accessed on 4 July 2022).
- De Meo, I.; Becagli, C.; Cantiani, M.G.; Casagli, A.; Paletto, A. Citizens’ use of public urban green spaces at the time of the COVID-19 pandemic in Italy. Urban For. Urban Green. 2022, 77, 127739. [Google Scholar] [CrossRef]
- Ugolini, F.; Massetti, L.; Pearlmutter, D.; Sanesi, G. Usage of urban green spaces and related feelings of deprivation during the COVID-19 lockdown: Lesson learned from an Italian case study. Land Use Policy 2021, 105, 105437. [Google Scholar] [CrossRef]
- De Meo, I.; Alfano, A.; Cantiani, M.G.; Paletto, A. The Impact of the COVID-19 Pandemic on Citizens’ Attitude and Behaviours in the Use of Peri-Urban Forests: An Experience from Italy. Sustainability 2023, 15, 2852. [Google Scholar] [CrossRef]
- Pamukcu-Albers, P.; Ugolini, F.; La Rosa, D.; Gradinaru, S.R.; Azevedo, J.C.; Wu, J. Building green infrastructure to enhance urban resilience to climate change and pandemics. Landscape Ecol. 2021, 36, 665–673. [Google Scholar] [CrossRef] [PubMed]
- Sitzia, T.; Campagnaro, T.; Weir, R.G. Novel woodland patches in a small historical Mediterranean city: Padova, Northern Italy. Urban Ecosyst 2019, 19, 475–487. [Google Scholar] [CrossRef]
- Conceptual Framework Working Group of the Millennium Ecosystem Assessment. Ecosystems and Human Well-Being: A Framework for Assessment; Island Press: Washington, DC, USA, 2003; pp. 7–19. [Google Scholar]
- Haines-Young, R.; Potschin, M. Common International Classification of Ecosystem Services (CICES): Consultation on Version 4, August–December 2012; European Environment Agency: Copenhagen, Denmark, 2013. [Google Scholar]
- Choudhury, M.A.; Marcheggiani, E.; Despini, F.; Costanzini, S.; Rossi, P.; Galli, A.; Teggi, S. Urban Tree Species Identification and Carbon Stock Mapping for Urban Green and Management. Forest 2020, 11, 1226. [Google Scholar] [CrossRef]
- Cappucci, S.; Nappi, S.; Cappelli, A. Green Public Areas and Urban Open Spaces Management: New GreenCAL Tool Algorithms and Circular Economy Implications. Land 2022, 11, 886. [Google Scholar] [CrossRef]
- Page, J.; Karesdotter, E.; Destouni, G.; Pan, H.; Kalantari, Z. A more complete accounting of greenhouse gas emission and sequestration in the urban landscape. Anthropocene 2021, 34, 100296. [Google Scholar] [CrossRef]
- Pristeri, G.; Peroni, F.; Pappalardo, S.E.; Codato, D.; Castaldo, A.G.; Masi, A.; de Marchi, M. Mapping and assessing soil sealing in Padua municipality through biotope area factor index. Sustainability 2020, 12, 5167. [Google Scholar] [CrossRef]
- Gray, L.; Guzman, P.; Glowa, K.M.; Drevno, A.G. Can home gardens scale up into movements for social change? The role of home gardens in providing food security and community change in San Jose, California. Local Environ. Int. J. Justice Sustain. 2014, 19, 187–203. [Google Scholar] [CrossRef]
- Semeraro, T.; Scarano, A.; Buccolieri, R.; Santino, A.; Aarrevaara, E. Planning of Urban Green Spaces: An Ecological Perspective on Human Benefits. Land 2021, 10, 105. [Google Scholar] [CrossRef]
- Calzolari, C.; Tarocco, P.; Lombardo, N.; Marchi, N.; Ungaro, F. Assessing soil ecosystem services in urban and peri-urban areas: From urban soils survey to providing support tool for urban planning. Land Use Policy 2020, 99, 105037. [Google Scholar] [CrossRef]
- Reis, C.; Lopes, A. Evaluating the Cooling Potential of Urban Green Spaces to Tackle Urban Climate Change in Lisbon. Sustainability 2019, 11, 2480. [Google Scholar] [CrossRef]
- Aronson, M.; Lepczk, C.A.; Evans, K.L.; Goddard, M.A.; Lerman, S.B.; Maclvor, J.S.; Nilon, C.H.; Vargo, T. Biodiversity in the city: Key challenges for urban green space management. Front. Ecol. Environ. 2017, 15, 189–196. [Google Scholar] [CrossRef]
- Pistocchi, A.; Calzolari, C.; Malucelli, F.; Ungaro, F. Soil sealing and flood risks in the pains of Emilia-Romagna, Italy. J. Hydrol. Reg. Stud. 2015, 4, 398–409. [Google Scholar] [CrossRef]
- Ungaro, F.; Maienza, A.; Ugolini, F.; Lanini, G.M.; Baronti, S.; Calzolari, C. Assessment of joint soil ecosystem services supply in urban green spaces: A case study in Northern Italy. Urban For. Urban Green. 2022, 67, 127455. [Google Scholar] [CrossRef]
- Thanapura, P.; Helder, D.L.; Burckhard, S.; Warmath, E.; O’Neill, M.; Galster, D. Mapping urban land cover using Quickbird NDVI and GIS spatial modelling for runoff coefficient determination. Photogramm. Eng. Remote Sens. 2007, 73, 57–65. [Google Scholar] [CrossRef]
- Gaston, K.J.; Warren, P.H.; Thompson, K.; Smith, R.M. Urban Domestic Gardens (IV), The Extent of the Resource and its Associated Features. Biodivers. Conserv. 2005, 14, 3327–3349. [Google Scholar] [CrossRef]
- Clark, C.; Ordonez, C.; Livesley, S.J. Private tree removal, public loss: Valuing and enforcing existing tree protection mechanisms in the key to retaining urban trees on private land. Landsc. Urban Plan. 2020, 203, 103899. [Google Scholar] [CrossRef]
- Steenberg, J.W.N.; Duinker, P.N.; Nitoslawski, S.A. Ecosystem-based management revisited: Updating the concepts for urban forests. Landsc. Urban Plan. 2019, 186, 24–35. [Google Scholar] [CrossRef]
- Coolen, H.; Meesters, J. Private and public green spaces: Meaningful but different settings. J. Hous. Built Environ. 2012, 27, 49–67. [Google Scholar] [CrossRef]
- Haaland, C.; Bosch, C.K. Challenges and strategies for urban green-space planning in cities undergoing densification: A review. Urban For. Urban Green. 2015, 14, 25573. [Google Scholar] [CrossRef]
- Nordström, J.; Hammarlund, C. You Win Some, You Lose Some: Compensating the Loss of Green Space in Cities Considering Heterogeneous Population Characteristics. Land 2021, 10, 1156. [Google Scholar] [CrossRef]
- Qian, Y.; Zhou, W.; Nytch, C.J.; Han, L.; Li, Z. A new index to differentiate tree and grass based on high-resolution image and object-based methods. Urban For. Urban Green 2020, 53, 126661. [Google Scholar] [CrossRef]
- Emilia Romagna, R.D. Regional Administrative Act May, 1, 2021, n. 647 (in Italian: Delibera della Giunta Regionale 10 Maggio 2021, n. 674, seduta n. 23); Regione Emilia-Romagna: Bologna, Italy, 2021. [Google Scholar]
- Vatseva, R.; Kopecka, M.; Otahel, J.; Rosina, K.; Kitev, A.; Genchev, S. Mapping Urban Green Spaces Based on Remote Sensing data: Case studies in Bulgaria and Slovakia. In Proceedings of the 6th International Conference on Cartography and GIS, Albena, Bulgaria, 13–17 June 2016, ISSN 1314-0604. [Google Scholar]
- Pristeri, G.; Peroni, F.; Pappalardo, S.E.; Codato, D.; Masi, A.; De Marchi, M. Whose Urban Green? Mapping and Classifying Public and Private Green Spaces in Padua for Spatial Planning Policies. ISPRS Int. J. Geo-Inf. 2021, 10, 538. [Google Scholar] [CrossRef]
- Ossola, A.; Hopton, M.E. Measuring urban tree loss dynamics across residential landscapes. Sci. Total Environ. 2018, 612, 940–949. [Google Scholar] [CrossRef]
- Xue, J.; Su, B. Significant remote sensing vegetation indices: A review of developments and applications. J. Sens. 2017, 1353691. [Google Scholar] [CrossRef]
- Huang, S.; Tang, L.; Hupy, J.P.; Wang, Y.; Shao, G. A commentary review on the use of normalized difference vegetation index (NDVI) in the era of popular remote sensing. J. For. Res. 2021, 32, 1–6. [Google Scholar] [CrossRef]
- Patón, D. Normalized Difference Vegetation Index Determination in Urban Areas by Full-Spectrum Photography. Ecologies 2020, 1, 22–35. [Google Scholar] [CrossRef]
- Ritchter, M.; Weiland, U. Applied Urban Ecology: A Global Framework; Blackwell Publishing: West Sussex, UK, 2012. [Google Scholar]
- Himan, S.; Baharin, B.A.; Mohammad, H.M.; Mohsen, A.Z. Detection of urban irregular development and green space destruction using normalized difference vegetation index (NDVI), principal component analysis (PCA) and post-classification methods: A case study of Saqqez city. Int. J. Phys. Sci. 2012, 7, 2587–2595. [Google Scholar]
- Moreno, R.; Ojeda, N.; Azòcar, J.; Venegas, C.; Inostroza, L. Application of NDVI for identify potentiality of the urban forest for the design of a green corridors system in intermediary cities of Latin America: Case study, Temuco, Chile. Urban For. Urban Green 2020, 55, 126821. [Google Scholar] [CrossRef]
- Governo della Repubblica Italiana. Piano Nazionale di Ripresa e Resilienza. Next Generation Italia. Available online: https://www.governo.it/sites/governo.it/files/PNRR.pdf (accessed on 21 November 2022).
- Zhou, W.; Cadenasso, M.L.; Schwarz, K.; Pickett, S.T.A. Quantifying Spatial Heterogeneity in Urban Landscapes: Integrating Visual Interpretation and Object-Based Classification. Remote Sens. 2014, 6, 3369–3386. [Google Scholar] [CrossRef]
- Martin, C.A.; Proulx, R.; Vellend, M.; Fahrig, L. How the relationship between vegetation cover and landcover variance constrains biodiversity in a human dominated world. Landsc. Ecol. 2021, 36, 3097–3104. [Google Scholar] [CrossRef]
- ISTAT (Nation Institute of Statistics). Population and Housing Census 2021 Edition. Available online: https://www.istat.it/it/archivio/265472 (accessed on 30 November 2022).
- ARPAE. Climatological Tables. Available online: https://www.arpae.it/it/temi-ambientali/clima/dati-e-indicatori/tabelle-climatiche (accessed on 5 July 2022).
- Regione Emilia-Romagna. 2017—Coperture Vettoriali Uso Del Suolo di Dettaglio, Edizione 2020. Statistics Service and Geographic Information Systems, 2020. Available online: http://www.regione.emilia-romagna.it (accessed on 4 April 2022).
- Copernicus Program. Updated CLC Illustrated Nomenclature Guidelines. Available online: https://land.copernicus.eu/user-corner/technical-library/corine-land-cover-nomenclature-guidelines/html/index-clc-141.html (accessed on 3 July 2022).
- EU (European Union)—European Environment Agency (EEA), Copernicus Land Monitoring Service. Corine Land Cover PRODUCTS user Manual (2020). Available online: https://land.copernicus.eu/user-corner/technical-library/clc-product-user-manual (accessed on 14 July 2022).
- Garberi, M.L.; Lenzi, D.; Mariani, M.C.; Masi, S.; Orlandi, F.; Vigilante, E. Database uso del suolo di dettaglio 2017, 2020, Servizio Statistica e Sistemi Informativi Geografici, Regione Emilia-Romagna. Available online: https://servizigis.regione.emilia-romagna.it/ctwmetadatiRER/metadatoISO.ejb?stato_FileIdentifier=iOrg01iEnP1fileIDr_emiro:2020-04-06T135318 (accessed on 10 April 2022).
- Aryal, J.; Sitaula, C.; Aryal, S. NDVI Threshold-Based Urban Green Space Mapping from Sentinel-2A at the Local Governmental Area (LGA) Level of Victoria, Australia. Land 2022, 11, 351. [Google Scholar] [CrossRef]
- Atasoy, M. Monitoring the urban green spaces and landscape fragmentation using remote sensing: A case study in Osmaniye, Turkey. Environ. Monit. Assess 2018, 190, 713. [Google Scholar] [CrossRef] [PubMed]
- Akbar, T.A.; Hassan, Q.K.; Ishaq, S.; Batool, M.; Butt, H.J.; Jabbar, H. Investigative Spatial Distribution and Modelling of Existing and Future Urban Land Changes and Its Impact on Urbanization and Economy. Remote Sens. 2019, 11, 105. [Google Scholar] [CrossRef]
- RStudio Team. RStudio: Integrated Development for R; RStudio: PBC, Boston, MA, USA. Available online: http://www.rstudio.com (accessed on 4 April 2022).
- Hashim, H.; Abd Latif, Z.; Adnan, N.A. Urban Vegetation Classification with NDVI Threshold Value Method with Very High Resolution (VHR) Pleidas imagery. Int. Arch. Photogramm. Remote Sens. Spat. Inf. Sci. 2019, XLII-4/W16, 237–240. [Google Scholar] [CrossRef]
- Haase, D.; Jänicke, C.; Wellmann, T. Front and back yard green analysis with subpixel vegetation fractions from earth observation data in a city. Landsc. Urban Plan. 2019, 182, 44–54. [Google Scholar] [CrossRef]
- Mathieu, R.; Freeman, C.; Aryal, J. Mapping private gardens in urban areas using object-oriented techniques and very high-resolution satellite imagery. Landsc. Urban Plan. 2007, 81, 179–192. [Google Scholar] [CrossRef]
- ISTAT (Nation Institute of Statistics). Urban Green Spaces. Available online: https://www.istat.it/it/archivio/186708 (accessed on 30 November 2022).
- Codemo, A.; Pianegonda, A.; Ciolli, M.; Favargiotti, S.; Albatici, R. Mapping Pervious Surfaces and Canopy Cover Using High-Resolution Airborne Imagery and Digital Elevation Models to Support Urban Planning. Sustainability 2022, 14, 6149. [Google Scholar] [CrossRef]
- Cameron, R.W.F.; Blanuša, T.; Taylor, J.E.; Salisbury, A.; Halstead, A.J.; Henricot, B.; Thompson, K. The domestic garden—Its contribution to urban green infrastructure. Urban For. Urban Green 2012, 11, 129–137. [Google Scholar] [CrossRef]
- Shekhar, S.; Aryal, J. Role of geospatial technology in understanding urban green spaces of Kalaburagi city for sustainable planning. Urban For. Urban Green 2019, 46, 126450. [Google Scholar] [CrossRef]











| Name | Description | Use | Source |
|---|---|---|---|
| Orthophotos | 0.02 m/pixel resolution, multiband (RGB-NIR) | NDVI extraction | AGEA/Emilia-Romagna Region (2020) |
| Land cover database | Digital land use and cover map (fourth-level classification) | Integration for BD-ANOVA Statistical analysis | Emilia-Romagna Region (edition 2017, 2020) [59] |
| Cadastral database | Cadastral database of municipal parcels | Public and private green areas extraction | Municipality of Forlì |
| Cadastral public green database | Cadastral database of public green surfaces | Public and private green areas extraction | Municipality of Forlì |
| Municipal tree census | Municipal census of trees (2021) with species information | Ancillary data for private and public green extraction | Municipality of Forlì |
| District Code | District Name | Total Surface [km2] | Private Green Surface [km2] | Public Green Space [km2] | N Inhabitants | Public Green Per-Capita [m2 Inhabitant−1] |
|---|---|---|---|---|---|---|
| Q1 | Spazzoli | 1.90 | 0.37 (19.7%) | 0.31 (16.2%) | 11,667 | 26.5 |
| Q2 | Grandi Musicisti Italiani | 1.88 | 0.41 (21.9%) | 0.23 (12.1%) | 7242 | 31.5 |
| Q3 | Resistenza | 1.23 | 0.16 (12.8%) | 0.38 (31.1%) | 6459 | 59.1 |
| Q4 | Foro Boario | 3.86 | 1.44 (37.3%) | 0.29 (7.6%) | 8851 | 33.0 |
| Q5 | Romiti | 2.96 | 1.53 (51.7%) | 0.19 (6.6%) | 3887 | 50.3 |
| Q6 | Centro Storico | 1.77 | 0.20 (11.2%) | 0.18 (10.3%) | 11,457 | 16.0 |
| Total | 13.61 | 4.11 (72.1%) | 1.59 (28.9%) | 49,563 | 32.1 |
Disclaimer/Publisher’s Note: The statements, opinions and data contained in all publications are solely those of the individual author(s) and contributor(s) and not of MDPI and/or the editor(s). MDPI and/or the editor(s) disclaim responsibility for any injury to people or property resulting from any ideas, methods, instructions or products referred to in the content. |
© 2023 by the authors. Licensee MDPI, Basel, Switzerland. This article is an open access article distributed under the terms and conditions of the Creative Commons Attribution (CC BY) license (https://creativecommons.org/licenses/by/4.0/).
Share and Cite
Ottoboni, M.; Pappalardo, S.E.; De Marchi, M.; Ungaro, F. Characterization and Mapping of Public and Private Green Areas in the Municipality of Forlì (NE Italy) Using High-Resolution Images. Land 2023, 12, 660. https://doi.org/10.3390/land12030660
Ottoboni M, Pappalardo SE, De Marchi M, Ungaro F. Characterization and Mapping of Public and Private Green Areas in the Municipality of Forlì (NE Italy) Using High-Resolution Images. Land. 2023; 12(3):660. https://doi.org/10.3390/land12030660
Chicago/Turabian StyleOttoboni, Mara, Salvatore Eugenio Pappalardo, Massimo De Marchi, and Fabrizio Ungaro. 2023. "Characterization and Mapping of Public and Private Green Areas in the Municipality of Forlì (NE Italy) Using High-Resolution Images" Land 12, no. 3: 660. https://doi.org/10.3390/land12030660
APA StyleOttoboni, M., Pappalardo, S. E., De Marchi, M., & Ungaro, F. (2023). Characterization and Mapping of Public and Private Green Areas in the Municipality of Forlì (NE Italy) Using High-Resolution Images. Land, 12(3), 660. https://doi.org/10.3390/land12030660

