Fluvisols Contribution to Water Retention Hydrological Ecosystem Services in Different Floodplain Ecosystems
Abstract
1. Introduction
2. Materials and Methods
2.1. Study Area
2.2. Physical Methods and Hydrological Properties Calculations
2.3. Chemical Methods
2.4. Statistical Analysis
2.5. Remote Sensing Data
3. Results
3.1. Soil Chemical and Physical Properties
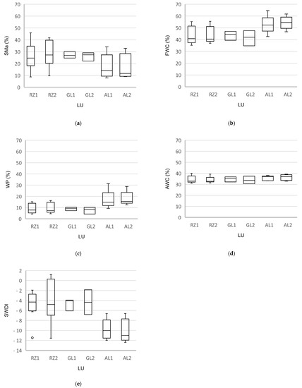
3.2. Soil Hydrological Properties Evaluation in Relation to Soil Water Retention Hydrological Ecosystem Services
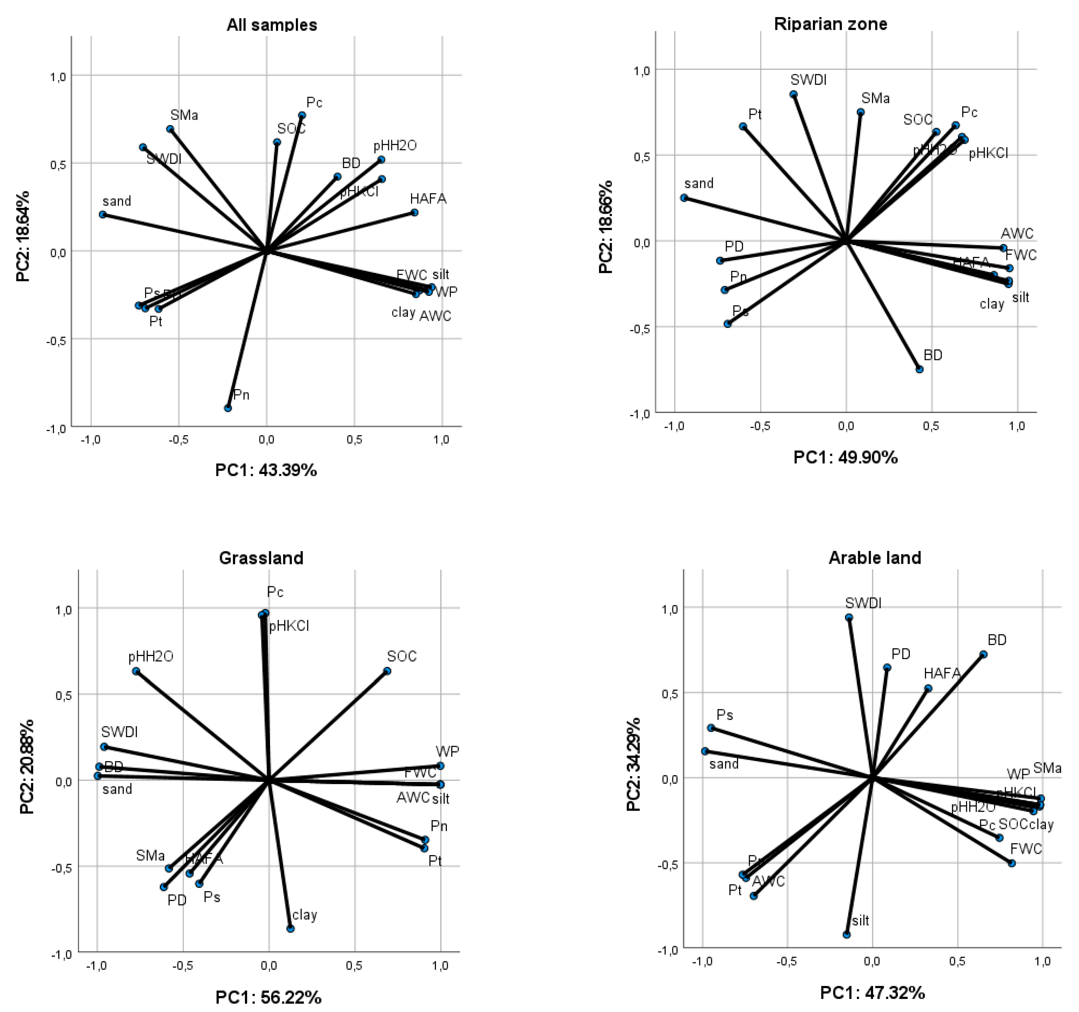
3.3. Relationships between Soil Properties, Ecosystems, Land Uuse, and Soil Layers
3.4. Land Use and Land Cover Changes in Floodplain and Their Impact on Hydrological Ecosystem Services
4. Discussion
4.1. Soil Hydrological Properties and Their Relationships with Soil Properties
4.2. Hydrological Properties and Water Retention Hydrological Ecosystem Services
4.3. Impact of Ecosystems and Land Use on Soil Hydrological Properties and Services
5. Conclusions
Author Contributions
Funding
Institutional Review Board Statement
Informed Consent Statement
Data Availability Statement
Acknowledgments
Conflicts of Interest
References
- Burkhard, B.; de Groot, R.; Costanza, R.; Seppelt, R.; Jorgensen, S.E.; Potschin, M. Solutions for sustaining natural capital and ecosystem services. Ecol. Indic 2012, 21, 1–32. [Google Scholar] [CrossRef]
- Millennium Ecosystem Assessment. Ecosystems and Human Well-Being: Current State and Trends; Island Press: Washington, DC, USA, 2005. [Google Scholar]
- Yin, C.; Zhao, W.; Cherubini, F.; Pereira, P. Integrate ecosystem services into socio-economic development to enhance achievement of sustainable development goals in the post-pandemic era. Geogr. Sustain. 2021, 2, 68–73. [Google Scholar] [CrossRef]
- United Nations. Transforming Our World: The 2030 Agenda for Sustainable Development; General Assembly 70 Session; United Nations: New York, NY, USA, 2015. [Google Scholar]
- Wood, S.L.R.; Jones, S.K.; Johnson, J.A.; Brauman, K.A.; Chaplin-Kramer, R.; Fremier, A.; Givetz, E.; Gordon, L.J.; Kappel, C.V.; Mandle, L.; et al. Distilling the role of ecosystem services in the sustainable development goals. Ecosyst. Serv. 2018, 29, 70–82. [Google Scholar] [CrossRef]
- Palacios, E.; van Beukering, P.P.J.H.; van Zanten, B.; Lacle, F.; Schep, S.; Soellner, I. Linking ecosystem services and the sustainable development goals in small island developing states: The cas of Aruba. One Ecosyst. 2021, 6, e71033. [Google Scholar] [CrossRef]
- CICES. Common International Classification of Ecosystem Services (CICES); Update European Environment Agency: Nottingham, UK, 2011. [Google Scholar]
- Zhen, H.; Gao, W.; Yuan, K.; Ju, X.; Qiao, Y. Internalizing externalities through net ecosystem service analysis—A case study of greenhouse vegetable farms in Beijing. Ecosyst. Serv. 2021, 50, 101323. [Google Scholar] [CrossRef]
- Schmalz, B.; Kruse, M.; Kiesel, J.; Müller, F.; Fohrer, N. Water-related ecosystem services in Western Siberian lowland basins –Analysing and pamming spatial and seasonal effect on regulating services based on ecohydrological modelling results. Ecol. Indic. 2016, 71, 55–65. [Google Scholar] [CrossRef]
- Brauman, K.A.; Daily, G.C.; Duarte, T.K.; Mooney, H.A. The nature and value of ecosystem services: An overview highlighting hydrologic services. Annu. Rev. Environ. Resour. 2007, 32, 67–98. [Google Scholar] [CrossRef]
- Liquete, C.; Piroddi, C.; Drakou, E.G.; Gurney, L.; Katsanevakis, S.; Charef, A.; Egoh, B. Current status and future prospects for the assessment of marine and coastal ecosystem services: A systematic review. PLoS ONE 2013, 8, e67737. [Google Scholar] [CrossRef]
- Cerbari, V.; Stegarescu, G. Quality assessment of an irrigated Fluvisol. Sci. Papers. Ser. A Agron. 2016, LIX, 33–38. Available online: http://agronomyjournal.usamv.ro/pdf/2016/Art4.pdf (accessed on 24 April 2022).
- FAO. Status of the World´s Soil Resources–Main Report; FAO: Rome, Italy, 2015; 75p, ISBN 978-92-5-109004-6. [Google Scholar]
- Tockner, K.; Standford, J.A. Riverine flood plains. Present state and future trends. Environ. Conserv. 2002, 29, 308–330. [Google Scholar] [CrossRef]
- Gutierrez-Arellano, C.; Mulligan, M. A review of regulation ecosystem services and disservices from faunal populations and potential impacts of agriculturalisation on their provision, globally. Nat. Conserv. 2018, 30, 1–39. [Google Scholar] [CrossRef]
- Adhikari, K.; Hartemink, A.E. Linking soils to ecosystem services—A global review. Geoderma 2016, 262, 101–111. [Google Scholar] [CrossRef]
- McBratney, A.B.; Field, D.J.; Koch, A. The dimensions of soil security. Geoderma 2014, 213, 203–213. [Google Scholar] [CrossRef]
- Bouma, J.; Kwakernaak, C.; Bonfante, A.; Stoorvogel, J.J.; Dekker, L.W. Soil science input in transdisciplinary projects in the Netherlands and Italy. Geod. Reg. 2015, 5, 96–105. [Google Scholar] [CrossRef]
- Costanza, R.; d´Arge, R.; de Groot, R.; Farber, S.; Grasso, M.; Hannon, B.; Limburg, K.; Naeem, S.; O´Neil, R.; Paruelo, J.; et al. The value of the world´s ecosystem services and natural capital. Nature 1997, 387, 253–260. [Google Scholar] [CrossRef]
- Maes, J.; Egoh, B.; Willemen, L.; Liquete, C.; Vihervaara, P.; Schägner, J.P.; Grizzetti, B.; Drakou, E.G.; LaNotte, A.; Zullian, G.; et al. Mapping ecosystem services for policy support and decision making in the European Union. Ecosyst. Serv. 2012, 1, 31–39. [Google Scholar] [CrossRef]
- Burkhard, B.; Santos-Martin, F.; Nedkov, S.; Maes, J. An operational framework for integrated mapping and assessment of ecosytems and their services (MAES). One Ecosyst. 2018, 3, e22831. [Google Scholar] [CrossRef]
- Guerra, C.A.; Pinto-Correia, T.; Metzger, M.J. Mapping soil erosion prevention using an ecosystem service modeling framework for integrated land management and policy. Ecosystems 2014, 17, 878–889. [Google Scholar] [CrossRef]
- Sumarga, E.; Hein, L. Mapping ecosystem services for land use planning, the case of Central Kalimantan. Environ. Manag. 2014, 54, 84–97. [Google Scholar] [CrossRef]
- Bartkowski, B.; Hansjürgens, B.; Möckel, S.; Bartke, S. Institutional economics of agricultural soil ecosystem services. Sustainability 2018, 10, 2447. [Google Scholar] [CrossRef]
- Lagrosa, J.J.; Zipperer, W.C.; Andreu, M.G. An ecosystem services-centric land use and land cover classification for a subbasin of the Tampa Bay Watershed. Forests 2022, 13, 745. [Google Scholar] [CrossRef]
- Vihaervaara, P.; Viinikka, A.; Brandr, L.; Santos-Martín, F.; Poikolainen, L.; Nedkov, S. Methodological interlinkages for mapping ecosystem services—from data to analysis and decision-support. One Ecosyst. 2019, 4, e26368. [Google Scholar] [CrossRef]
- Cresswell, H.P.; Coquet, Y.; Bruand, A.; McKenzie, N.J. The transferability of Australian pedotransfer functions for predicting water retention characteristics of French soils. Soil Use Manag. 2006, 22, 62–70. [Google Scholar] [CrossRef]
- Souza, R.; Souza, E.; Netto, A.M.; De Almeida, A.Q.; Barros Júnior, G.; Silva, J.R.I.; De Sousa Lima, J.R.; Antonino, A.C.D. Assessment of the physical quality of a Fluvisol in the Brazilian semiarid region. Geoderma Reg. 2017, 10, 175–182. [Google Scholar] [CrossRef]
- Piedallu, C.; Gégout, J.C.; Bruand, A.; Seynave, I. Mapping soil water holding capacity over large areas to predict potential production of forest stands. Geoderma 2011, 160, 355–366. [Google Scholar] [CrossRef]
- Nemes, A.; Wosten, J.H.M.; Bouma, J.; Várallyay, G. Soil water balance scenario studies using predicted soil hydraulic parameters. Hydrol. Processes 2006, 20, 1075–1094. [Google Scholar] [CrossRef]
- Klinda, L. Landscape Atlas of the Slovak Republic; IAEA: Vienna, Austria, 2003; 344p, ISBN 80-88833-27-2. [Google Scholar]
- Klika, J.; Novák, A.; Gregor, A. Practical Lessons in Phytocenology, Ecology, Climatology and Soil Science; NCSAV: Praha, Czech Republic, 1954. (In Czech) [Google Scholar]
- Blake, G.R.; Hartage, K.H. Particle density. In Methods of Soil Analysis, Part 1, Physical and Mineralogical Methods—Agronomy Monograph No.9; American Society of Agronomy—Soil Science Society of America: Madison, WI, USA, 1986; pp. 377–382. [Google Scholar]
- Van Looy, K.; Bouma, J.; Herbst, M.; Koestel, J.; Minasny, B.; Mishra, U.; Montzka, C.; Nemes, A.; Pachepsky, Y.A.; Padarian, J.; et al. Pedostransfer functions in earth system science: Challenges and perspectives. Rev. Geophys. 2017, 55, 1199–1256. [Google Scholar] [CrossRef]
- Wu, X.; Lu, G.; Wu, Z.; He, H.; Zhou, J.; Liu, Z. An integration approach for mapping field capacity of China based on multi-source soil datasets. Water 2018, 10, 728. [Google Scholar] [CrossRef]
- Haberle, J.; Duffková, R.; Raimanová, I.; Fučík, P.; Svoboda, P.; Lukas, V.; Kurešová, G. The 13C discrimination of crops identifies soil spatial variability related to water shortage vulnerability. Agronomy 2020, 10, 1691. [Google Scholar] [CrossRef]
- Vopravil, J.; Formánek, P.; Janku, J.; Khel, T. Soil water dynamics in drained and undrained meadows. Soil Water Res. 2021, 16, 256–267. [Google Scholar] [CrossRef]
- Gupta, S.C.; Larson, W.E. Estimating soil water retention characteristics from particle size distribution, organic matter percent, and bulk density. Water Resour. Res. 1979, 15, 1633–1635. [Google Scholar] [CrossRef]
- Botula, Y.D.; Cornelis, W.M.; Baert, G.; Van Ranst, E. Evaluation of pedotransfer functions for predicting water retention of soils in Lower Congo (D.R.Congo). Agric. Water Manag. 2012, 111, 1–10. [Google Scholar] [CrossRef]
- Martínez-Fernández, J.; González-Zamora, A.; Sánchez, N.; Gumuzzio, A. A soil water based index as a suitable agricultural drought indicator. J. Hydrol. 2015, 522, 265–273. [Google Scholar] [CrossRef]
- Sevage, M.J.; Ritchie, J.T.; Bland, W.L.; Dugas, W.A. Lower limit of soil water availability. Agron. J. 1996, 88, 644–651. [Google Scholar] [CrossRef]
- Nikitin, V.; Fishman, V. On the improvement of methods for determination of soil carbon. Chem. Agric. 1969, 3, 76–77. [Google Scholar]
- Kononova, M.M. Soil Organic Matter. Its Nature, Its Role in Soil Formation and in Soil Fertility; Pergamon Press: London, UK, 1966. [Google Scholar]
- Schmidt, M.W.I.; Torn, M.S.; Abiven, S.; Dittmar, T.; Guggenberger, G.; Janssesn, I.A.; Kleber, M.; Kögel-Knabner, I.; Lehmann, J.; Manning, D.A.C.; et al. Persistence of soil organic matter as an ecosystem property. Nature 2011, 478, 49–56. [Google Scholar] [CrossRef]
- Zglobicki, W.; Telecka, M.; Pasierbinska, A. Impact of physicochemical characteristics of colluvial and alluvial soils on Cd, Cu, Pb, and Zn content (East Poland). Pol. J. Soil Sci. 2015, 48, 213–228. [Google Scholar] [CrossRef][Green Version]
- Kercheva, M.; Sokolowska, Z.; Hajnos, M.; Skic, K.; Shishkov, T. Physical parameters of Fluvisols on flooded and non-flooded terraces. Int. Agrophys. 2017, 31, 73–82. [Google Scholar] [CrossRef][Green Version]
- Breda, N.; Hur, R.; Granier, A.; Dreyer, E. Temperate forest trees and stands under severe drought: A review of ecophysiological responses, adaptation processes and long-term consequences. Ann. For. Sci. 2006, 63, 625–644. [Google Scholar] [CrossRef]
- Smolczynski, S.; Orzechowski, M.; Kalisz, B.; Sowinski, P.; Urbanowicz, P. Soil Air-Water Properties in Catena of Sepopol Lowland. Pol. J. Soil Sci. 2016, 49, 91–99. [Google Scholar] [CrossRef]
- Rawls, W.J.; Pachepsky, Y.A.; Ritchie, J.C.; Sobecki, T.M.; Bloodworth, H. Effect of soil organic carbon on soil water retention. Geoderma 2003, 116, 61–76. [Google Scholar] [CrossRef]
- Ciarkowska, K. Organic matter transformation and porosity development in non-reclaimed mining soils of different ages and vegetation covers: A field study of soils of the zinc and lead ore area in SE Poland. J. Soils Sediments 2017, 17, 2066–2079. [Google Scholar] [CrossRef]
- Vogel, H.J.; Eberhardt, E.; Franko, U.; Lang, B.; Lies, M.; Weller, U.; Wiesmeier, M.; Wollchläger, U. Quantitative evaluation of soil functions: Potential and state. Front. Environ. Sci. 2019, 7, 164. [Google Scholar] [CrossRef]
- Marfo, T.D.; Datta, R.; Vranová, V.; Ekielski, A. Ecotone dynamics and stability form soil perspective: Forest-Agriculture land transition. Agriculture 2019, 9, 228. [Google Scholar] [CrossRef]
- Minasny, B.; McBratney, A.B. Limited effect of organic matter on soil available water capacity. Eur. J. Soil Sci. 2018, 69, 39–47. [Google Scholar] [CrossRef]
- Libohova, Z.; Seybold, C.; Wysocki, D.; Wills, S.; Schoeneberger, P.; Williams, C.; Lindbo, D.; Scott, D.; Owens, P.R. Reevaluating the effects of soil organic matter and other properties on available water-holding capacity using the National Cooperative Soil Survey Characterization Database. J. Soil Water Conserv. 2018, 73, 411–421. [Google Scholar] [CrossRef]
- Sutton, R.; Sposito, G. Molecular structure in soil humic substances: The new view. Environ. Sci. Technol. 2005, 39, 9009–9015. [Google Scholar] [CrossRef]
- Nardi, S.; Ertani, A.; Francioso, O. Soil-root cross-talking: The role of humic substances. J. Plant Nutr. Soil Sci. 2017, 180, 5–13. [Google Scholar] [CrossRef]
- Fuentes, M.; Baigorri, R.; González-Gaitano, G.; Garcia-Mina, J.M. New methodology to assess the quantity and quality of humic substances in organic materials and commercial products for agriculture. J. Soils Sediments 2018, 18, 1389–1399. [Google Scholar] [CrossRef]
- Shah, Z.H.; Rehman, H.M.; Akhtar, t.; Alsamadany, H.; Hamooh, B.T.; Mujtaba, T.; Daur, I.; Al Zahrani, Y.; Alzahrani, H.A.S.; Ali, S.; et al. Humic substances: Determining potential molecular regulatory processes in plants. Front. Plant. Sci. 2018, 9, 263. [Google Scholar] [CrossRef]
- Neina, D. The role of soil pH in plant nutrition and soil remediation. Appl. Environ. Soil Sci. 2019, 2019, 5794869. [Google Scholar] [CrossRef]
- Minasny, B.; Hong, S.Y.; Hartemink, A.E.; Kim, Y.H.; Kang, S.S. Soil pH increase under paddy in South Korea between 2000 and 2012. Agric. Ecosyst. Environ. 2016, 221, 205–213. [Google Scholar] [CrossRef]
- Paredes-Trejo, F.; Barbosa, H. Evaluation of the SMOS-Derived Soil Water Deficit Index as Agricultural Drought Index in Northeast of Brazil. Water 2017, 9, 377. [Google Scholar] [CrossRef]
- Bai, J.; Cui, Q.; Chen, D.; Yu, H.; Mao, X.; Meng, L.; Cai, Y. Assessment of the SMAP-Derived Soil Water Deficit Index (SWDI-SMAP) as an Agricultural Drought Index in China. Remote Sens. 2018, 10, 1302. [Google Scholar] [CrossRef]
- Martínez-Fernández, J.; González-Zamora, A.; Sánchez, N.; Gumuzzio, A.; Herrero-Jiménez, C.M. Satellite soil moisture for agricultural drought monitoring: Assessment of the SMOS derived Soil Water Deficit Index. Remote Sens. Environ. 2016, 177, 277–286. [Google Scholar] [CrossRef]
- Ejaz, M.K.; Aurangzaib, M.; Iqbal, R.; Shahzman, M.; Habib-ur-Rahman, M.; El-Sharnouby, M.; Datta, R.; Alzuaibr, F.M.; Sakran, M.I.; El Sabagh, A. The use of soil conditioners to ensure a sustainable wheat yield under water deficit conditions by enhancing the physiological and antioxidant potentials. Land 2022, 11, 368. [Google Scholar] [CrossRef]
- El-Naggar, A.; Lee, S.S.; Rinklebe, J.; Farooq, M.; Song, H.; Sarmah, A.K.; Zimmerman, A.R.; Ahmad, M.; Shaheen, S.M.; Ok, Y.S. Biochar application to low fertility soils: A review of current status, and future prospects. Geoderma 2019, 337, 536–554. [Google Scholar] [CrossRef]
- Chang, L.; Xu, L.; Liu, Y.; Qiu, D. Superabsorbent polymers used for agricultural water retention. Polym. Test. 2021, 94, 107021. [Google Scholar] [CrossRef]
- Mi, J.; Gregorich, E.G.; Xu, S.; McLaughlin, N.B.; Liu, J. Effect of bentonite as a soil amendment on field water-holding capacity, and millet photosynthesis and grain quality. Sci. Rep. 2020, 10, 18282. Available online: https://www.nature.com/articles/s41598-020-75350-9 (accessed on 24 April 2022). [CrossRef]
- Rodrigues, M.A.; Garmus, T.; Arrobas, M.; Goncalves, A.; Silva, E.; Rocha, L.; Pinto, L.; Brito, C.; Martins, S.; Vargas, T.; et al. Combined biochar and organic waste have little effect on chemical soil properties and plant growth. Span. J. Soil Sci. 2019, 9, 12–23. [Google Scholar] [CrossRef]
- Jiménez de Santiato, D.E.; Yagüe, M.R.; Antúnez, M.; Bosch Serra, A.D. Diagnosis of soil hydrophobicity linked to pig slurry use in a calcareous soil. Span. J. Soil Sci. 2019, 9, 169–179. [Google Scholar] [CrossRef]
- Morri, E.; Santolini, R. Ecosystem services valuation for the sustainable land use management by nature-based solutions (NbS) in the Common Agricultural Policy actions: A case study on the Foglia river basin (Marche region, Italy. Land 2022, 11, 57. [Google Scholar] [CrossRef]
- De Oliveira Júnior, A.I.; Mendonca, L.A.R.; De Brito Fontenele, S.; Oliveira Araújo, A.; De Sousa Lima Brito, M.G. Statistical multivariate analysis applied to environmental characterization of soil in semiarid region. Rev. Caatinga 2019, 32, 200–210. [Google Scholar] [CrossRef]
- Guo, L.; Sun, Z.; Ouyang, Z.; Han, D.; Li, F. A comparison of soil quality evaluation methods for Fluvisol along the lower Yellow River. Catena 2017, 152, 135–143. [Google Scholar] [CrossRef]
- Guzmán, G.; Cabezas, J.M.; Sánchez-Custa, R.; Lora, Á.; Bauer, T.; Strauss, P.; Winter, S.; Zaller, J.G.; Gómez, J.A. A field evaluation of the impact of temporary cover crops on soil properties and vegetation communities in southern Spain vineyards. Agric. Ecosyst. Environ. 2019, 272, 135–145. [Google Scholar] [CrossRef]
- Kowalska, A.; Affek, A.; Wolski, J.; Regulska, E.; Kruczkowska, B.; Zawiska, I.; Kolaczkowska, E.; Baranowski, J. Assessment of regulating ES potential of lowland riparian hardwood forests in Poland. Ecol. Indic. 2021, 120, 106834. [Google Scholar] [CrossRef]
- Dindaroglu, T.; Reis, M.; Akay, A.E.; Tonguc, F. Hydroecological approach for determining the width of riparian buffer zones for providing soil conservation and water quality. Int. J. Environ. Sci. Technol. 2015, 12, 275–284. [Google Scholar] [CrossRef]
- Felipe-Lucia, M.R.; Comin, F.A. Ecosystem services—biodiversity relationships depend on land use type in floodplain agroecosystems. Land Use Policy 2015, 16, 201–210. [Google Scholar] [CrossRef]
- Gaglio, M.; Aschonitis, V.; Pieretti, L.; Santos, L.; Gissi, E.; Castaldelli, G.; Fano, E.A. Modelling past, present and future Ecosystem Services supply in a protected floodplain under land use and climate changes. Ecol. Model. 2019, 403, 23–34. [Google Scholar] [CrossRef]
- Bennett, E.M.; Peterson, G.D.; Gordon, L.J. Understanding relationships among multiple ecosystem services. Ecol. Lett. 2009, 12, 1394–1404. [Google Scholar] [CrossRef]
- Vidal-Abraca, M.R.; Santos-Martín, F.; Martín-López, B.; Sánchez-Montoya, M.M.; Suárez Alonso, M.L. Exploring the capacity of water framework directive indices to assess ecosystem services in fluvial and riparian systems: Towards a second implementation phase. Environ. Manag. 2016, 57, 1139–1152. [Google Scholar] [CrossRef] [PubMed]
- Turner, R.K.; Daily, G.C. The ecosystem services framework and natural capital conservation. Environ. Resour. Econ. 2008, 39, 25–35. [Google Scholar] [CrossRef]
- Jia, X.; Fu, B.; Feng, X.; Hou, G.; Liu, Y.; Wang, X. The tradeoff and synergy between ecosystem services in the grain-for-Green areas in Northern Shaanxi, China. Ecol. Indic. 2014, 43, 103–111. [Google Scholar] [CrossRef]





| Depth (cm) | Ecosystem | Statistical Characteristics | pH/H2O | pH/KCl | SOC (g kg−1) | HA/FA |
|---|---|---|---|---|---|---|
| 0–10 | RZ | x¯ ± SD | 6.07 ± 0.71 | 5.25 ± 0.87 | 22.51 ± 6.88 | 0.40 ± 0.08 |
| Min | 5.35 | 4.37 | 11.30 | 0.31 | ||
| Max | 7.65 | 7.20 | 30.60 | 0.59 | ||
| x¯ ± SD | 5.96 ± 0.42 | 5.47 ± 0.12 | 21.00 ± 1.70 | 0.42 ± 0.03 | ||
| GL | Min | 5.36 | 5.30 | 19.80 | 0.39 | |
| Max | 6.27 | 5.56 | 23.40 | 0.46 | ||
| AL | x¯ ± SD | 6.53 ± 0.50 | 5.62 ± 0.39 | 15.09 ± 3.76 | 0.55 ± 0.14 | |
| Min | 6.10 | 5.21 | 10.65 | 0.41 | ||
| Max | 7.36 | 6.35 | 21.50 | 0.82 | ||
| 20–30 | RZ | x¯ ± SD | 5.92 ± 0.73 | 5.07 ± 0.86 | 15.69 ± 4.21 | 0.44 ± 0.12 |
| Min | 5.04 | 4.13 | 9.80 | 0.32 | ||
| Max | 7.59 | 7.09 | 22.95 | 0.68 | ||
| x¯ ± SD | 5.93 ± 0.47 | 4.96 ± 0.45 | 12.70 ± 2.45 | 0.44 ± 0.04 | ||
| GL | Min | 5.30 | 4.32 | 9.30 | 0.40 | |
| Max | 6.41 | 5.28 | 15.00 | 0.50 | ||
| AL | x¯ ± SD | 6.76 ± 0.41 | 5.73 ± 0.37 | 11.69 ± 3.55 | 0.49 ± 0.07 | |
| Min | 6.28 | 5.27 | 9.00 | 0.38 | ||
| Max | 7.52 | 6.41 | 18.50 | 0.58 |
| Depth (cm) | Ecosystem | Statistical Characteristics | Clay (%) | Silt (%) | Sand (%) |
|---|---|---|---|---|---|
| 0–10 | RZ | x¯ ± SD | 7.62 ± 2.61 | 34.03 ± 20.81 | 58.37 ± 23.11 |
| Min | 4.45 | 12.24 | 18.75 | ||
| Max | 11.30 | 71.49 | 83.43 | ||
| x¯ ± SD | 6.66 ± 0.25 | 37.05 ± 10.93 | 56.28 ± 10.72 | ||
| GL | Min | 6.31 | 22.74 | 44.43 | |
| Max | 6.87 | 49.26 | 70.39 | ||
| AL | x¯ ± SD | 19.09 ± 13.53 | 50.38 ± 10.30 | 30.28 ± 17.65 | |
| Min | 8.50 | 33.63 | 7.21 | ||
| Max | 42.28 | 60.35 | 56.87 | ||
| 20–30 | RZ | x¯ ± SD | 8.90 ± 3.63 | 32.69 ± 18.99 | 58.42 ± 22.28 |
| Min | 4.35 | 15.55 | 17.01 | ||
| Max | 15.22 | 70.33 | 80.10 | ||
| x¯ ± SD | 6.15 ± 1.45 | 31.74 ± 15.71 | 62.13 ± 16.60 | ||
| GL | Min | 4.25 | 13.13 | 42.02 | |
| Max | 7.76 | 51.55 | 82.67 | ||
| AL | x¯ ± SD | 19.28 ± 10.25 | 54.83 ± 10.52 | 25.89 ± 11.38 | |
| Min | 12.32 | 41.10 | 15.63 | ||
| Max | 39.43 | 67.49 | 46.40 |
| Depth (cm) | Eco System | Statistical Characteristics | PD (g cm−3) | BD (g cm−3) | Pt (%) | Pc (%) | Pn (%) | Ps (%) |
|---|---|---|---|---|---|---|---|---|
| 0–10 | RZ | x¯ ± SD | 2.26 ± 0.17 | 1.05 ± 0.11 | 53.11 ± 6.29 | 33.97 ± 8.84 | 10.76 ± 8.36 | 8.49 ± 4.06 |
| Min | 2.12 | 0.84 | 46.77 | 22.24 | 0.0 | 2.21 | ||
| Max | 2.59 | 1.16 | 64.40 | 47.53 | 23.57 | 14.15 | ||
| GL | x¯ ± SD | 2.22 ± 0.06 | 1.12 ± 0.14 | 49.77 ± 4.92 | 38.60 ± 3.37 | 7.14 ± 6.81 | 4.03 ± 2.20 | |
| Min | 2.16 | 0.95 | 44.12 | 34.02 | 0.0 | 1.59 | ||
| Max | 2.30 | 1.28 | 56.11 | 42.02 | 15.17 | 6.92 | ||
| AL | x¯ ± SD | 2.31 ± 0.04 | 1.32 ± 0.11 | 43.11 ± 4.35 | 32.07 ± 3.41 | 9.11 ± 6.24 | 1.93 ± 1.17 | |
| Min | 2.25 | 1.17 | 35.59 | 26.60 | 0.0 | 0.12 | ||
| Max | 2.35 | 1.50 | 48.11 | 36.77 | 15.06 | 3.73 | ||
| 20–30 | RZ | x¯ ± SD | 2.31 ± 0.18 | 1.05 ± 0.25 | 53.22 ± 12.52 | 32.41 ± 9.96 | 13.88 ± 8.52 | 7.48 ± 4.86 |
| Min | 2.04 | 0.64 | 30.95 | 18.67 | 0.0 | 1.26 | ||
| Max | 2.67 | 1.43 | 73.60 | 47.14 | 24.88 | 17.28 | ||
| GL | x¯ ± SD | 2.30 ± 0.11 | 1.22 ± 0.22 | 47.37 ± 7.59 | 36.06 ± 1.73 | 9.23 ± 7.25 | 2.08 ± 0.27 | |
| Min | 2.14 | 0.97 | 36.98 | 33.86 | 0.0 | 1.78 | ||
| Max | 2.38 | 1.49 | 54.92 | 38.10 | 14.38 | 2.44 | ||
| AL | x¯ ± SD | 2.26 ± 0.04 | 1.28 ± 0.15 | 43.14 ± 6.77 | 27.46 ± 3.98 | 14.38 ± 10.21 | 1.31 ± 0.86 | |
| Min | 2.20 | 1.12 | 33.13 | 24.48 | 1.81 | 0.23 | ||
| Max | 2.31 | 1.54 | 51.15 | 34.85 | 25.47 | 2.85 |
| pH/H2O | pH/KCl | SOC | HA/FA | Clay | Silt | Sand | PD | BD | Pt | Pc | Pn | Ps | SMa | FWC | WP | AWC | SWDI | |
|---|---|---|---|---|---|---|---|---|---|---|---|---|---|---|---|---|---|---|
| pH/H2O | 1 | 0.939 ** | n.c. | 0.480 ** | 0.603 ** | n.c. | −0.491 ** | −0.354 * | 0.413 * | −0.520 ** | n.c. | −0.408 * | −0.422 * | n.c. | 0.541 ** | 0.610 ** | n.c. | −0.403 * |
| pH/KCl | 1 | n.c. | 0.530 ** | 0.507 ** | n.c. | −0.442 * | −0.475 ** | n.c. | −0.452 ** | n.c. | −0.390 * | −0.354 * | n.c. | 0.485 ** | 0.530 ** | n.c. | −0.360 * | |
| SOC | 1 | n.c. | n.c. | n.c. | n.c. | n.c. | n.c. | n.c. | 0.603 ** | −0.564 ** | n.c. | 0.514 ** | n.c. | n.c. | n.c. | n.c. | ||
| HA/FA | 1 | n.c. | 0.495 ** | −0.510 ** | n.c. | 0.514 ** | −0.585 ** | n.c. | n.c. | −0.354 * | n.c. | 0.480 ** | 0.437 * | 0.388 ** | −0439 * | |||
| Clay | 1 | 0.434 * | −0.701 ** | n.c. | 0.462 ** | −0.500 ** | n.c. | n.c. | 0.477 ** | n.c. | 0,802 ** | 0.946 ** | n.c. | −0.489 ** | ||||
| Silt | 1 | −0.946 ** | −0.444 * | n.c. | −0.366 * | n.c. | n.c. | −0.629 ** | −0.353 * | 0.884 ** | 0.701 ** | 0.950 ** | −0.695 ** | |||||
| Sand | 1 | 0.407 * | −0.372 * | 0.470 ** | n.c. | n.c. | 0.670 ** | n.c. | −0.987 ** | −0.893 ** | −0.806 ** | 0.726 ** | ||||||
| PD | 1 | n.c. | n.c. | n.c. | n.c. | n.c. | n.c. | −0.385 * | n.c. | −0.441 * | n.c. | |||||||
| BD | 1 | −0.957 ** | n.c. | −0.563 ** | −0.362 * | n.c. | 0.374 * | 0.458 ** | n.c. | −0.364 ** | ||||||||
| Pt | 1 | n.c. | 0.617 ** | 0.425 * | n.c. | −0.471 ** | −0.531 ** | n.c. | 0.398 ** | |||||||||
| Pc | 1 | −0.500 ** | n.c. | 0.655 ** | n.c. | n.c. | n.c. | 0.530 ** | ||||||||||
| Pn | 1 | n.c. | −0.536 ** | n.c. | n.c. | n.c. | n.c. | |||||||||||
| Ps | 1 | n.c. | −0.652 ** | −0.598 ** | −0.517 ** | 0.482 ** | ||||||||||||
| SMa | 1 | n.c. | n.c. | −0.364 * | 0.844 ** | |||||||||||||
| FWC | 1 | 0.952 ** | 0,711 ** | −0.697 ** | ||||||||||||||
| WP | 1 | 0.461 ** | −0.623 ** | |||||||||||||||
| AWC | 1 | −0.586 ** | ||||||||||||||||
| SWDI | 1 |
| Variables | All Samples | Riparian Zones | Grasslands | Arable Lands | ||||
|---|---|---|---|---|---|---|---|---|
| PC 1 | PC 2 | PC 1 | PC 2 | PC 1 | PC 2 | PC 1 | PC 2 | |
| pH/H2O | 0.653 | 0.519 | 0.675 | 0.606 | −0.774 | 0.632 | 0.947 | −0.173 |
| pH/KCl | 0.656 | 0.409 | 0.690 | 0.589 | −0.022 | 0.970 | 0.982 | −0.169 |
| SOC | 0.059 | 0.619 | 0.525 | 0.635 | 0.688 | 0.633 | 0.946 | −0.197 |
| HA/FA | 0.842 | 0.219 | 0.861 | −0.199 | −0.462 | −0.543 | 0.327 | 0.525 |
| Clay | 0.870 | −0.225 | 0.948 | −0.236 | 0.125 | −0.863 | 0.985 | −0.159 |
| Silt | 0.917 | −0.221 | 0.945 | −0.251 | 0.997 | −0.025 | −0.153 | −0.922 |
| Sand | −0.933 | 0.207 | −0.945 | 0.251 | −0.997 | 0.025 | −0.985 | 0.156 |
| PD | −0.615 | −0.330 | −0.736 | −0.115 | −0.613 | −0.621 | 0.086 | 0.645 |
| BD | 0.404 | 0.423 | 0.427 | −0.748 | −0.988 | 0.579 | 0.652 | 0.723 |
| Pt | −0.691 | −0.327 | −0.602 | 0.667 | 0.904 | −0.396 | −0.745 | −0.588 |
| Pc | 0.202 | 0.772 | 0.638 | 0.674 | −0.042 | 0.958 | 0.746 | −0.353 |
| Pn | −0.22 | −0.894 | −0.708 | −0.286 | 0.908 | −0.347 | −0.765 | −0.569 |
| Ps | −0.728 | −0.311 | −0.691 | −0.483 | −0.407 | −0.602 | −0.950 | 0.293 |
| SMa | −0.549 | 0.694 | 0.084 | 0.750 | −0.583 | −0.513 | 0.989 | −0.122 |
| FWC | 0.939 | −0.206 | 0.951 | −0.159 | 0.997 | −0.025 | 0.818 | −0.503 |
| WP | 0.924 | −0.233 | 0.947 | −0.232 | 0.997 | 0.083 | 0.985 | −0.159 |
| AWC | 0.850 | −0.246 | 0.916 | −0.042 | 0.997 | −0.025 | −0.699 | −0.694 |
| SWDI | −0.704 | 0.590 | −0.307 | 0.854 | −0.959 | 0.194 | −0.139 | 0.940 |
| % of the total variance | 43.39 | 18.64 | 49.90 | 18.66 | 56.22 | 20.88 | 47.32 | 34.29 |
| Variables | Ecosystem | Soil Layer | ||
|---|---|---|---|---|
| F-Value | p-Value | F-Value | p-Value | |
| pH/H2O | 3.745 | 0.036 | 0 | 0.984 |
| pH/KCl | 1.699 | 0.201 | 0.338 | 0.565 |
| SOC | 2.912 | 0.070 | 9.606 | 0.004 |
| HA/FA | 3.271 | 0.052 | 0.024 | 0.877 |
| Clay | 8.262 | 0.001 | 0.093 | 0.762 |
| Silt | 4.460 | 0.020 | 0.008 | 0.928 |
| Sand | 8.140 | 0.002 | 0.001 | 0.976 |
| PD | 0.100 | 0.905 | 0.213 | 0.648 |
| BD | 5.038 | 0.013 | 0.045 | 0.834 |
| Pt | 4.201 | 0.025 | 0.013 | 0.911 |
| Pc | 1.887 | 0.170 | 0.954 | 0.337 |
| Pn | 0.415 | 0.664 | 1.355 | 0.254 |
| Ps | 11.367 | 0.000 | 0.433 | 0.515 |
| SMa | 3.304 | 0.051 | 0.051 | 0.823 |
| FWC | 8.529 | 0.001 | 0.000 | 0.983 |
| WP | 9.777 | 0.000 | 0.012 | 0.915 |
| AWC | 1.528 | 0.234 | 0.035 | 0.853 |
| SWDI | 11.149 | 0.000 | 0.063 | 0.803 |
| LULC Category | 1950 | 2019 | Variations | ||
|---|---|---|---|---|---|
| ha | % | ha | % | % | |
| Forest area | 2715.4 | 25.6 | 3449.5 | 32.5 | 6.9 |
| Riparian vegetation | 151.2 | 1.4 | 113.5 | 1.1 | −0.4 |
| Other non-forest woody vegetation | 269.2 | 2.5 | 753.6 | 7.1 | 4.6 |
| Mosaic structures | 171.7 | 1.6 | 76.9 | 0.7 | −0.9 |
| Permanent grasslands | 2796.7 | 26.3 | 1797.1 | 16.9 | −9.4 |
| Arable land | 3952.1 | 37.2 | 3331.0 | 31.4 | −5.8 |
| Permanent crops | 61.1 | 0.6 | 125.0 | 1.2 | 0.6 |
| Industrial units and parks | 33.5 | 0.3 | 100.7 | 0.9 | 0.6 |
| Mineral extraction sites | 0.0 | 0.0 | 24.1 | 0.2 | 0.2 |
| Other artificial surfaces | 465.3 | 4.4 | 844.6 | 7.9 | 3.6 |
| Water bodies and areas | 8.2 | 0.1 | 8.2 | 0.1 | 0.0 |
Publisher’s Note: MDPI stays neutral with regard to jurisdictional claims in published maps and institutional affiliations. |
© 2022 by the authors. Licensee MDPI, Basel, Switzerland. This article is an open access article distributed under the terms and conditions of the Creative Commons Attribution (CC BY) license (https://creativecommons.org/licenses/by/4.0/).
Share and Cite
Kanianska, R.; Benková, N.; Ševčíková, J.; Masný, M.; Kizeková, M.; Jančová, Ľ.; Feng, J. Fluvisols Contribution to Water Retention Hydrological Ecosystem Services in Different Floodplain Ecosystems. Land 2022, 11, 1510. https://doi.org/10.3390/land11091510
Kanianska R, Benková N, Ševčíková J, Masný M, Kizeková M, Jančová Ľ, Feng J. Fluvisols Contribution to Water Retention Hydrological Ecosystem Services in Different Floodplain Ecosystems. Land. 2022; 11(9):1510. https://doi.org/10.3390/land11091510
Chicago/Turabian StyleKanianska, Radoslava, Nikola Benková, Janka Ševčíková, Matej Masný, Miriam Kizeková, Ľubica Jančová, and Jianying Feng. 2022. "Fluvisols Contribution to Water Retention Hydrological Ecosystem Services in Different Floodplain Ecosystems" Land 11, no. 9: 1510. https://doi.org/10.3390/land11091510
APA StyleKanianska, R., Benková, N., Ševčíková, J., Masný, M., Kizeková, M., Jančová, Ľ., & Feng, J. (2022). Fluvisols Contribution to Water Retention Hydrological Ecosystem Services in Different Floodplain Ecosystems. Land, 11(9), 1510. https://doi.org/10.3390/land11091510

