Effect of Landscape Structure on Land Surface Temperature in Different Essential Urban Land Use Categories: A Case Study in Jiaozuo, China
Abstract
:1. Introduction
2. Materials and Methods
2.1. Study Scope: Jiaozuo, China
2.2. Data Preparation
2.3. Land Surface Temperature Retrieval
2.4. Interpretation of Land Cover and Land Use Types
2.5. Landscape Metrics
3. Results
3.1. Spatiotemporal Pattern of LST
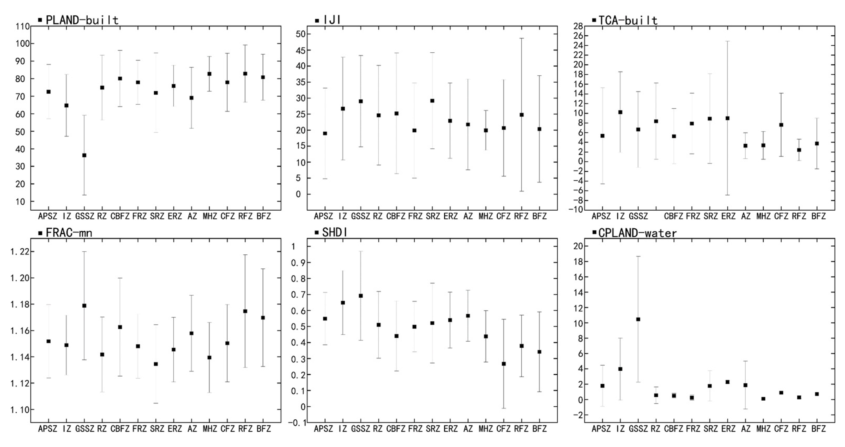
3.2. Spatial Changes of Landscape Metrics
3.3. Correlation between LST and Landscape Pattern
3.4. Relative Importance of Landscape Driving Forces
4. Discussion
4.1. Relationships between Anthropogenic Heat and LST
4.2. Relationships between Landscape Structure and LST
4.3. Planning Strategy Implication
4.4. Limitations and Suggested Future Research
5. Conclusions
Author Contributions
Funding
Institutional Review Board Statement
Informed Consent Statement
Data Availability Statement
Acknowledgments
Conflicts of Interest
References
- Li, W.; Bai, Y.; Chen, Q.; He, K.; Ji, X.; Han, C. Discrepant Impacts of Land Use and Land Cover on Urban Heat Islands: A Case Study of Shanghai, China. Ecol. Indicat. 2014, 47, 171–178. [Google Scholar] [CrossRef]
- National Bureau of Statistics of China. Available online: http://www.stats.gov.cn/was5/web/search?channelid=288041&andsen=%E5%9F%8E%E9%95%87%E5%8C%96%E7%8E%87 (accessed on 2 September 2022).
- Li, W.; Cao, Q.; Lang, K.; Wu, J. Linking Potential Heat Source and Sink to Urban Heat Island: Heterogeneous Effects of Landscape Pattern on Land Surface Temperature. Sci. Total Environ. 2017, 586, 457–465. [Google Scholar] [CrossRef]
- Oke, T.R. The Energetic Basis of the Urban Heat Island. Q. J. Royal Met. Soc. 1982, 108, 5502. [Google Scholar] [CrossRef]
- Zhang, Y.; Middel, A.; Turner, B.L. Evaluating the Effect of 3D Urban Form on Neighborhood Land Surface Temperature Using Google Street View and Geographically Weighted Regression. Landscape Ecol 2019, 34, 681–697. [Google Scholar] [CrossRef]
- Gober, P.; Brazel, A.; Quay, R.; Myint, S.; Grossman-Clarke, S.; Miller, A.; Rossi, S. Using Watered Landscapes to Manipulate Urban Heat Island Effects: How Much Water Will It Take to Cool Phoenix? J. Am. Plann. Assoc. 2009, 76, 109–121. [Google Scholar] [CrossRef]
- Impact of Regional Climate Change on Human Health | Nature. Available online: https://www.nature.com/articles/nature04188 (accessed on 27 March 2022).
- Dissanayake, D.; Morimoto, T.; Murayama, Y.; Ranagalage, M. Impact of Landscape Structure on the Variation of Land Surface Temperature in Sub-Saharan Region: A Case Study of Addis Ababa Using Landsat Data (1986–2016). Sustainability 2019, 11, 2257. [Google Scholar] [CrossRef]
- Li, J.; Song, C.; Cao, L.; Zhu, F.; Meng, X.; Wu, J. Impacts of Landscape Structure on Surface Urban Heat Islands: A Case Study of Shanghai, China. Remote Sens. Environ. 2011, 115, 3249–3263. [Google Scholar] [CrossRef]
- Imhoff, M.L.; Zhang, P.; Wolfe, R.E.; Bounoua, L. Remote Sensing of the Urban Heat Island Effect across Biomes in the Continental USA. Remote Sens. Environ. 2010, 114, 504–513. [Google Scholar] [CrossRef]
- Chow, W.T.L.; Roth, M. Temporal Dynamics of the Urban Heat Island of Singapore. Int. J. Climatol. 2006, 26, 2243–2260. [Google Scholar] [CrossRef]
- Göttsche, F.-M.; Olesen, F.-S.; Trigo, I.; Bork-Unkelbach, A.; Martin, M. Long Term Validation of Land Surface Temperature Retrieved from MSG/SEVIRI with Continuous in-Situ Measurements in Africa. Remote Sens. 2016, 8, 410. [Google Scholar] [CrossRef] [Green Version]
- Guo, G.; Wu, Z.; Xiao, R.; Chen, Y.; Liu, X.; Zhang, X. Impacts of Urban Biophysical Composition on Land Surface Temperature in Urban Heat Island Clusters. Landsc. Urban Plann. 2015, 135, 7. [Google Scholar] [CrossRef]
- Hu, D.; Meng, Q.; Zhang, L.; Zhang, Y. Spatial Quantitative Analysis of the Potential Driving Factors of Land Surface Temperature in Different “Centers” of Polycentric Cities: A Case Study in Tianjin, China. Sci. Total Environ. 2020, 706, 135244. [Google Scholar] [CrossRef]
- Jia, W.; Zhao, S. Trends and Drivers of Land Surface Temperature along the Urban-Rural Gradients in the Largest Urban Agglomeration of China. Sci. Total Environ. 2020, 711, 134579. [Google Scholar] [CrossRef] [PubMed]
- Yuan, S.; Xia, H.; Yang, L. How Changing Grain Size Affects the Land Surface Temperature Pattern in Rapidly Urbanizing Area: A Case Study of the Central Urban Districts of Hangzhou City, China. Environ. Sci. Pollut. Res. 2021, 28, 40060–40074. [Google Scholar] [CrossRef] [PubMed]
- Zhao, X.F.; Deng, L.; Wang, H.N.; Hua, L.Z.; Chen, F. Landscape Classifications for Landscape Metrics-Based Assessment of Urban Heat Island: A Comparative Study. IOP Conf. Ser.: Earth Environ. Sci. 2014, 17, 012155. [Google Scholar] [CrossRef]
- Bokaie, M.; Zarkesh, M.K.; Arasteh, P.D.; Hosseini, A. Assessment of Urban Heat Island Based on the Relationship between Land Surface Temperature and Land Use/Land Cover in Tehran. Sustain. Cities Soc. 2016, 23, 94–104. [Google Scholar] [CrossRef]
- Coseo, P.; Larsen, L. How Factors of Land Use/Land Cover, Building Configuration, and Adjacent Heat Sources and Sinks Explain Urban Heat Islands in Chicago. Landsc. Urban Plann. 2014, 125, 117–129. [Google Scholar] [CrossRef]
- Wang, C.; Myint, S.; Wang, Z.; Song, J. Spatio-Temporal Modeling of the Urban Heat Island in the Phoenix Metropolitan Area: Land Use Change Implications. Remote Sens. 2016, 8, 185. [Google Scholar] [CrossRef]
- Xie, L.T.; Cai, G.Y. Impact of Land Cover Types and Components on Urban Heat; Zhou, G., Kang, C., Eds.; International Conference on Intelligent Earth Observing and Applications: Guilin, China, 2015; p. 98080S. [Google Scholar]
- Zipper, S.C.; Schatz, J.; Singh, A.; Kucharik, C.J.; Townsend, P.A.; Loheide, S.P. Urban Heat Island Impacts on Plant Phenology: Intra-Urban Variability and Response to Land Cover. Environ. Res. Lett. 2016, 11, 054023. [Google Scholar] [CrossRef]
- Jiaozuo City Bureau of Statistics Statistical Bulletin_Henan Provincial Bureau of Statistics. Available online: https://tjj.henan.gov.cn/2020/05-20/1501269.html (accessed on 2 September 2022).
- Velasco-Forero, S.; Manian, V. Improving Hyperspectral Image Classification Using Spatial Preprocessing. IEEE Geosci. Remote Sensing Lett. 2009, 6, 297–301. [Google Scholar] [CrossRef]
- Wemmert, C.; Puissant, A.; Forestier, G.; Gancarski, P. Multiresolution Remote Sensing Image Clustering. IEEE Geosci. Remote Sensing Lett. 2009, 6, 533–537. [Google Scholar] [CrossRef]
- Ranagalage, M.; Estoque, R.; Zhang, X.; Murayama, Y. Spatial Changes of Urban Heat Island Formation in the Colombo District, Sri Lanka: Implications for Sustainability Planning. Sustainability 2018, 10, 1367. [Google Scholar] [CrossRef]
- Peng, J.; Jia, J.; Liu, Y.; Li, H.; Wu, J. Seasonal Contrast of the Dominant Factors for Spatial Distribution of Land Surface Temperature in Urban Areas. Remote Sens. Environ. 2018, 215, 255–267. [Google Scholar] [CrossRef]
- Wan, Z. MODIS Land Surface Temperature Products. ERI, University of California, Santa Barbara. 33. Available online: https://lpdaac.usgs.gov/documents/118/MOD11_User_Guide_V6.pdf (accessed on 12 August 2022).
- Yu, Z.; Guo, X.; Jørgensen, G.; Vejre, H. How Can Urban Green Spaces Be Planned for Climate Adaptation in Subtropical Cities? Ecol. Indicat. 2017, 82, 152–162. [Google Scholar] [CrossRef]
- Talukdar, S.; Singha, P.; Mahato, S.; Shahfahad; Pal, S.; Liou, Y.-A.; Rahman, A. Land-Use Land-Cover Classification by Machine Learning Classifiers for Satellite Observations—A Review. Remote Sens. 2020, 12, 1135. [Google Scholar] [CrossRef]
- Rwanga, S.S.; Ndambuki, J.M. Accuracy Assessment of Land Use/Land Cover Classification Using Remote Sensing and GIS. IJG 2017, 08, 611–622. [Google Scholar] [CrossRef]
- Effect of Urban Function and Landscape Structure on the Urban Heat Island Phenomenon in Beijing, China | SpringerLink. Available online: https://link.springer.com/article/10.1007/s11355-019-00388-5 (accessed on 28 March 2022).
- Global Patterns of Dissolved N, P and Si in Large Rivers | SpringerLink. Available online: https://link.springer.com/article/10.1023/A:1024960007569 (accessed on 28 March 2022).
- Uuemaa, E.; Antrop, M.; Roosaare, J.; Marja, R.; Mander, Ü. Landscape Metrics and Indices: An Overview of Their Use in Landscape Research. Liv. Rev. Landsc. Res. 2009, 3, 2009-1. [Google Scholar] [CrossRef]
- Peng, J.; Wang, Y.; Zhang, Y.; Wu, J.; Li, W.; Li, Y. Evaluating the Effectiveness of Landscape Metrics in Quantifying Spatial Patterns. Ecol. Indicat. 2010, 10, 217–223. [Google Scholar] [CrossRef]
- Cardille, J.A.; Turner, M.G. Understanding Landscape Metrics. In Learning Landscape Ecology; Gergel, S.E., Turner, M.G., Eds.; Springer New York: New York, NY, USA, 2017; pp. 45–63. ISBN 978-1-4939-6372-0. [Google Scholar]
- Kupfer, J.A. Landscape Ecology and Biogeography: Rethinking Landscape Metrics in a Post-FRAGSTATS Landscape. Progr. Phys. Geogr. Earth Environ. 2012, 36, 400–420. [Google Scholar] [CrossRef]
- Jamieson, P.D.; Porter, J.R.; Wilson, D.R. A Test of the Computer Simulation Model ARCWHEAT1 on Wheat Crops Grown in New Zealand. Field Crops Res. 1991, 27, 337–350. [Google Scholar] [CrossRef]
- Mallick, J.; Kant, Y.; Bharath, B.D. Estimation of Land Surface Temperature over Delhi Using Landsat-7 ETM+. J. Ind. Geophys. Union 2008, 12, 131–140. [Google Scholar]
- Sun, R.; Lü, Y.; Chen, L.; Yang, L.; Chen, A. Assessing the Stability of Annual Temperatures for Different Urban Functional Zones. Build. Environ. 2013, 65, 90–98. [Google Scholar] [CrossRef]
- Urban Heat Islands and Landscape Heterogeneity: Linking Spatiotemporal Variations in Surface Temperatures to Land-Cover and Socioeconomic Patterns | SpringerLink. Available online: https://link.springer.com/article/10.1007/s10980-009-9402-4 (accessed on 28 March 2022).
- Seasonal Variations in the Relationship between Landscape Pattern and Land Surface Temperature in Indianapolis, USA | SpringerLink. Available online: https://link.springer.com/article/10.1007/s10661-007-9979-5 (accessed on 28 March 2022).
- Kardinal Jusuf, S.; Wong, N.H.; Hagen, E.; Anggoro, R.; Hong, Y. The Influence of Land Use on the Urban Heat Island in Singapore. Habitat Int. 2007, 31, 232–242. [Google Scholar] [CrossRef]
- Chapman, S.; Watson, J.E.M.; McAlpine, C.A. Large Seasonal and Diurnal Anthropogenic Heat Flux across Four Australian Cities. JSHESS 2016, 66, 342–360. [Google Scholar] [CrossRef]
- Xiong, Y.; Huang, S.; Chen, F.; Ye, H.; Wang, C.; Zhu, C. The Impacts of Rapid Urbanization on the Thermal Environment: A Remote Sensing Study of Guangzhou, South China. Remote Sens. 2012, 4, 2033–2056. [Google Scholar] [CrossRef]
- Assessing Spatial Pattern of Urban Thermal Environment in Shanghai, China | SpringerLink. Available online: https://link.springer.com/article/10.1007/s00477-012-0638-1 (accessed on 28 March 2022).
- Rinner, C.; Hussain, M. Toronto’s Urban Heat Island—Exploring the Relationship between Land Use and Surface Temperature. Remote Sens. 2011, 3, 1251–1265. [Google Scholar] [CrossRef]
- Yue, W.; Qiu, S.; Xu, H.; Xu, L.; Zhang, L. Polycentric Urban Development and Urban Thermal Environment: A Case of Hangzhou, China. Landsc. Urban Plann. 2019, 189, 58–70. [Google Scholar] [CrossRef]
- Weng, Q. Fractal Analysis of Satellite-Detected Urban Heat Island Effect. Photogramm. Eng. Remote Sens. 2003, 69, 555–566. [Google Scholar] [CrossRef]
- Kato, S.; Yamaguchi, Y. Analysis of Urban Heat-Island Effect Using ASTER and ETM+ Data: Separation of Anthropogenic Heat Discharge and Natural Heat Radiation from Sensible Heat Flux. Remote Sens. Environ. 2005, 99, 44–54. [Google Scholar] [CrossRef]
- Zhao, Z.-Q.; He, B.-J.; Li, L.-G.; Wang, H.-B.; Darko, A. Profile and Concentric Zonal Analysis of Relationships between Land Use/Land Cover and Land Surface Temperature: Case Study of Shenyang, China. Energ. Build. 2017, 155, 282–295. [Google Scholar] [CrossRef]
- Estoque, R.C.; Murayama, Y.; Myint, S.W. Effects of Landscape Composition and Pattern on Land Surface Temperature: An Urban Heat Island Study in the Megacities of Southeast Asia. Sci. Tot. Environ. 2017, 577, 349–359. [Google Scholar] [CrossRef] [PubMed]
- Zhou, W.; Wang, J.; Cadenasso, M.L. Effects of the Spatial Configuration of Trees on Urban Heat Mitigation: A Comparative Study. Remote Sens. Environ. 2017, 195, 43. [Google Scholar] [CrossRef]
- Liu, Y.; Peng, J.; Wang, Y. Relationship between Urban Heat Island and Landscape Patterns: From City Size and Landscape Composition to Spatial Configuration. Acta Ecol. Sin. 2017, 37, 7769–7780. [Google Scholar]
- Xiao, R.; Weng, Q.; Ouyang, Z.; Li, W.; Schienke, E.W.; Zhang, Z. Land Surface Temperature Variation and Major Factors in Beijing, China. Photogramm. Eng. Remote Sens. 2008, 74, 451–461. [Google Scholar] [CrossRef]
- Du, H.; Wang, D.; Wang, Y.; Zhao, X.; Qin, F.; Jiang, H.; Cai, Y. Influences of Land Cover Types, Meteorological Conditions, Anthropogenic Heat and Urban Area on Surface Urban Heat Island in the Yangtze River Delta Urban Agglomeration. Sci. Tot. Environ. 2016, 571, 461–470. [Google Scholar] [CrossRef]
- Zhou, D.; Zhao, S.; Liu, S.; Zhang, L.; Zhu, C. Surface Urban Heat Island in China’s 32 Major Cities: Spatial Patterns and Drivers. Remote Sens. Environ. 2014, 152, 51–61. [Google Scholar] [CrossRef]
- Guo, G.; Wu, Z.; Chen, Y. Complex Mechanisms Linking Land Surface Temperature to Greenspace Spatial Patterns: Evidence from Four Southeastern Chinese Cities. Sci. Tot. Environ. 2019, 674, 77–87. [Google Scholar] [CrossRef]
- Peng, J.; Xie, P.; Liu, Y.; Ma, J. Urban Thermal Environment Dynamics and Associated Landscape Pattern Factors: A Case Study in the Beijing Metropolitan Region. Remote Sens. Environ. 2016, 173, 145–155. [Google Scholar] [CrossRef]
- Dissanayake; Morimoto, T.; Ranagalage, M.; Murayama, Y. Land-Use/Land-Cover Changes and Their Impact on Surface Urban Heat Islands: Case Study of Kandy City, Sri Lanka. Climate 2019, 7, 99. [Google Scholar] [CrossRef]
- Relationships between Landscape Pattern Metrics, Vertical Structure and Surface Urban Heat Island Formation in a Colorado Suburb | SpringerLink. Available online: https://link.springer.com/article/10.1007/s11252-017-0675-0 (accessed on 28 March 2022).
- Lan, Y.; Zhan, Q. How Do Urban Buildings Impact Summer Air Temperature? The Effects of Building Configurations in Space and Time. Build. Environ. 2017, 125, 88–98. [Google Scholar] [CrossRef]
- Nocturnal Heat Island Effect in Urban Residential Developments of Hong Kong—ScienceDirect. Available online: https://www.sciencedirect.com/science/article/abs/pii/S037877880500006X (accessed on 28 March 2022).
- Analysis of the Urban Heat Island Effects on Building Energy Consumption | SpringerLink. Available online: https://link.springer.com/article/10.1007/s40095-014-0154-9 (accessed on 28 March 2022).
- Mou, B.; He, B.-J.; Zhao, D.-X.; Chau, K. Numerical Simulation of the Effects of Building Dimensional Variation on Wind Pressure Distribution. Eng. Appl. Comput. Fluid Mechan. 2017, 11, 293–309. [Google Scholar] [CrossRef]
- Zhao, D.-X.; He, B.-J. Effects of Architectural Shapes on Surface Wind Pressure Distribution: Case Studies of Oval-Shaped Tall Buildings. J. Build. Eng. 2017, 12, 219–228. [Google Scholar] [CrossRef]
- Handayani, H.; Murayama, Y.; Ranagalage, M.; Liu, F.; Dissanayake, D. Geospatial Analysis of Horizontal and Vertical Urban Expansion Using Multi-Spatial Resolution Data: A Case Study of Surabaya, Indonesia. Remote Sens. 2018, 10, 1599. [Google Scholar] [CrossRef]
- Ng, E.; Ren, C. China’s Adaptation to Climate & Urban Climatic Changes: A Critical Review. Urban Clim. 2018, 23, 352–372. [Google Scholar] [CrossRef]









| Satellite | Path/Row | Resolution (m) | Period (Year–Month–Day) | |||
|---|---|---|---|---|---|---|
| 2019 | 2019 | 2019 | 2020 | |||
| Landsat 8 | 119/42 | 30 | 18 April 2019 | 7 July 2019 | 27 October 2019 | 31 January 2020 |
| GF-2 | — | 0.8 | 5 May 2019 | 25 September 2019 | — | — |
| Land Use Types | Number of Samples | Area (m2) | |
|---|---|---|---|
| IZ | 94 | 16,007,740 | |
| GSSZ | 50 | 13,032,007 | |
| RZ | FRZ | 218 | 31,412,640 |
| SRZ | 212 | 23,257,550 | |
| APSZ | AZ | 56 | 2,993,336 |
| ERZ | 35 | 5,148,938 | |
| MHZ | 10 | 437,956 | |
| CBFZ | CFZ | 84 | 8,639,423 |
| BFZ | 28 | 1,495,290 | |
| RFZ | 57 | 1,762,251 |
Publisher’s Note: MDPI stays neutral with regard to jurisdictional claims in published maps and institutional affiliations. |
© 2022 by the authors. Licensee MDPI, Basel, Switzerland. This article is an open access article distributed under the terms and conditions of the Creative Commons Attribution (CC BY) license (https://creativecommons.org/licenses/by/4.0/).
Share and Cite
Jia, X.; Song, P.; Yun, G.; Li, A.; Wang, K.; Zhang, K.; Du, C.; Feng, Y.; Qu, K.; Wu, M.; et al. Effect of Landscape Structure on Land Surface Temperature in Different Essential Urban Land Use Categories: A Case Study in Jiaozuo, China. Land 2022, 11, 1687. https://doi.org/10.3390/land11101687
Jia X, Song P, Yun G, Li A, Wang K, Zhang K, Du C, Feng Y, Qu K, Wu M, et al. Effect of Landscape Structure on Land Surface Temperature in Different Essential Urban Land Use Categories: A Case Study in Jiaozuo, China. Land. 2022; 11(10):1687. https://doi.org/10.3390/land11101687
Chicago/Turabian StyleJia, Xiaoli, Peihao Song, Guoliang Yun, Ang Li, Kun Wang, Kaihua Zhang, Chenyu Du, Yuan Feng, Kexin Qu, Meng Wu, and et al. 2022. "Effect of Landscape Structure on Land Surface Temperature in Different Essential Urban Land Use Categories: A Case Study in Jiaozuo, China" Land 11, no. 10: 1687. https://doi.org/10.3390/land11101687
APA StyleJia, X., Song, P., Yun, G., Li, A., Wang, K., Zhang, K., Du, C., Feng, Y., Qu, K., Wu, M., & Ge, S. (2022). Effect of Landscape Structure on Land Surface Temperature in Different Essential Urban Land Use Categories: A Case Study in Jiaozuo, China. Land, 11(10), 1687. https://doi.org/10.3390/land11101687

