Profile Soil Carbon and Nitrogen Dynamics in Typical Chernozem under Long-Term Tillage Use
Abstract
1. Introduction
2. Materials and Methods
2.1. Experimental Design
2.2. Sampling and Measurement
2.3. Statistical Analysis
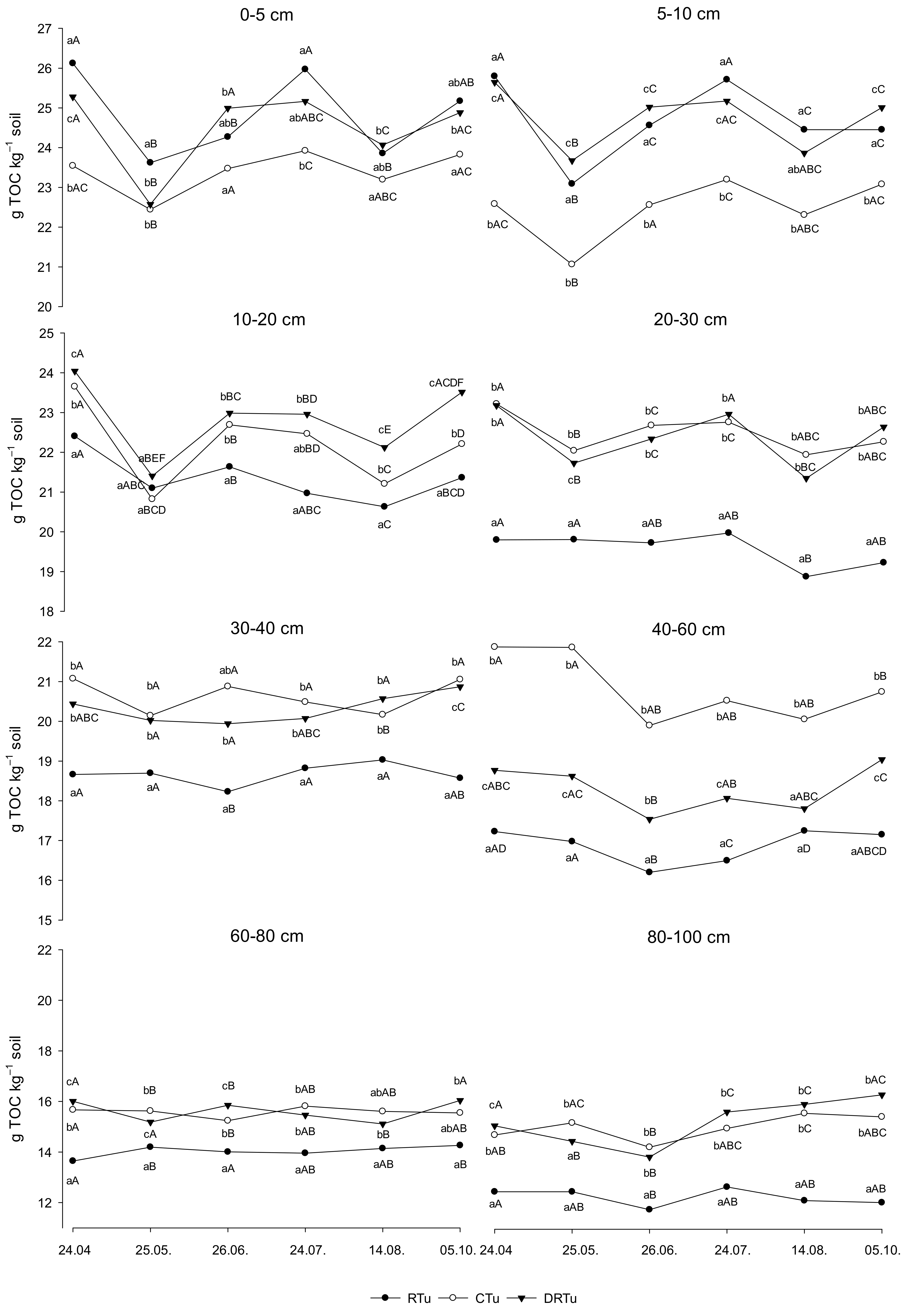
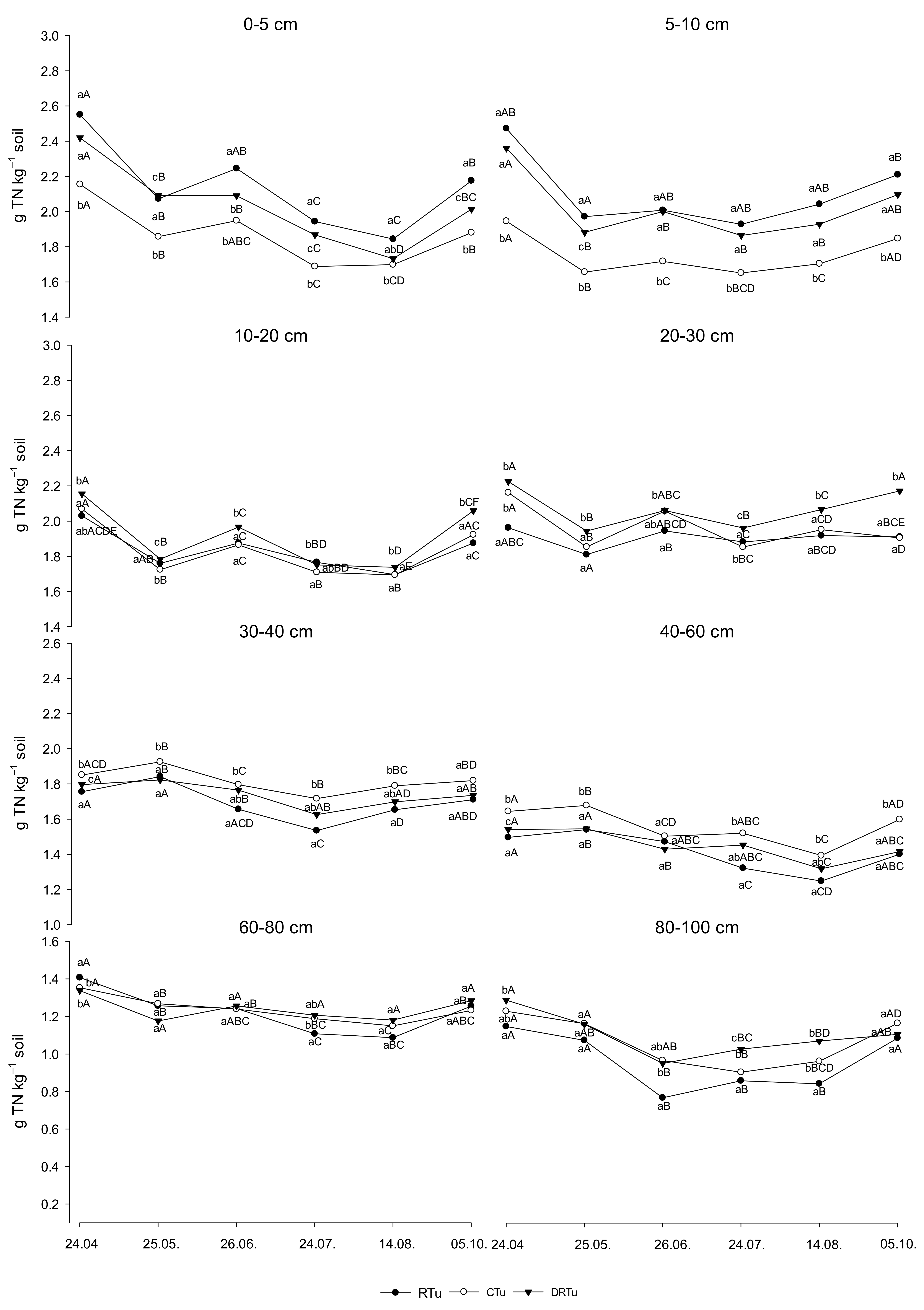
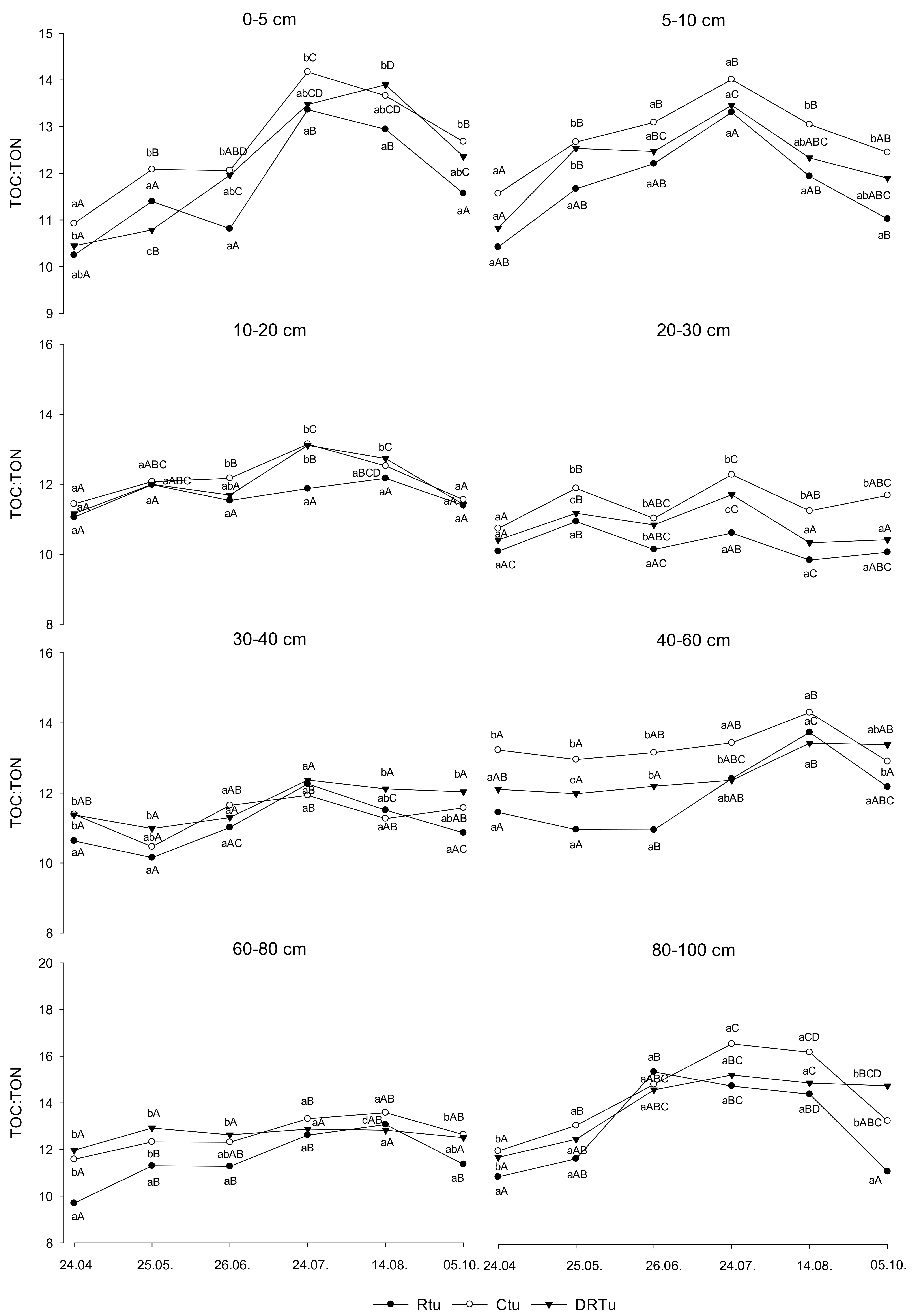
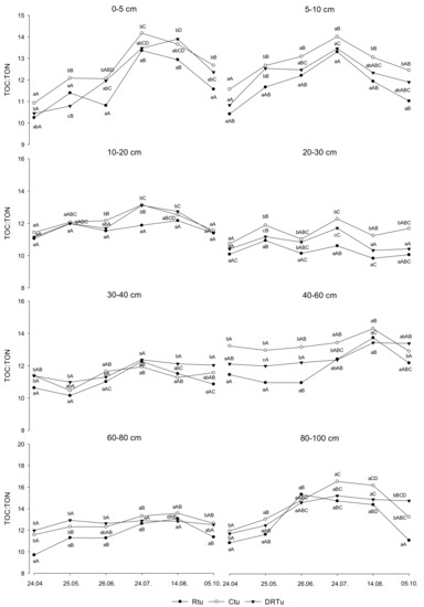
3. Results
3.1. Soil Organic Carbon Changes
3.2. Total Nitrogen Changes
3.3. TOC:TN Changes
4. Discussion
4.1. A Climate Effect on TOC and TN Dynamics
4.2. Seasonal Changes of TOC, TN and TOC:TN
4.3. TOC, TN and TOC:TN Stratigraphy
5. Conclusions
Author Contributions
Funding
Institutional Review Board Statement
Informed Consent Statement
Data Availability Statement
Acknowledgments
Conflicts of Interest
References
- IPCC. Climate Change 2021: The Physical Science Basis. Contribution of Working Group I to the Sixth Assessment Report of the Intergovernmental Panel on Climate Change; Masson-Delmotte, V.P., Zhai, A., Pirani, S.L., Connors, C., Péan, S., Berger, N., Caud, Y., Chen, L., Goldfarb, M.I., Gomis, M., et al., Eds.; Cambridge University Press: Cambridge, UK; New York, NY, USA, 2021. [Google Scholar] [CrossRef]
- Semenov, V.M.; Tulina, A.S.; Semenova, N.A. Humification and Nonhumification Pathways of the Organic Matter Stabilization in Soil. Eurasian Soil Sci. 2013, 46, 355–368. [Google Scholar] [CrossRef]
- Schimel, D.S.; Coleman, D.C.; Horton, K.A. Soil organic matter dynamics in paired rangeland and crop toposequences in North Dakota. Geoderma 1985, 36, 201–214. [Google Scholar] [CrossRef]
- Chen, H.; Hou, R.; Gong, Y.; Li, H.; Fan, M.; Kuzyakov, Y. Effects of 11 years of conservation tillage on soil organic matter fractions in wheat monoculture in Loess Plateau of China. Soil Tillage Res. 2009, 106, 85–94. [Google Scholar] [CrossRef]
- Powlson, D.S.; Brooks, P.C.; Christensen, B.T. Measurement of soil microbial biomass provides and early indication of changes in total soil organic matter due to straw incorporation. Soil Biol. Biochem. 1987, 19, 159–164. [Google Scholar] [CrossRef]
- Blair, G.J.; Lefory, R.D.B.; Lise, L. Soil carbon fractions based on their degree of oxidation and the development of a carbon management index for agricultural system. Aust. J. Agric. Resour. 1995, 46, 1459–1466. [Google Scholar] [CrossRef]
- Galantini, J.; Rosell, R. Long-term fertilization effects on soil organic matter quality and dynamics under different production systems in semiarid Pampean soils. Soil Tillage Res. 2006, 87, 72–79. [Google Scholar] [CrossRef]
- Janzen, H.H.; Campbell, C.A.; Brandt, S.A. Light fraction organic matter in soils from long-term crop rotations. Soil Sci. Soc. Am. J. 1992, 56, 1799–1806. [Google Scholar] [CrossRef]
- Golchin, A.; Oades, J.M.; Skjemstad, J.O. Structural and dynamic properties of soil organic matter as reflected by 13C natural abundance, pyrolysis mass spectrometry and solid state 13C NMR spectroscopy in density fractions of an Oxisol under forest and pasture. Aust. J. Soil Res. 1995, 3, 59–76. [Google Scholar] [CrossRef]
- Besnard, E.; Chenu, C.; Balesdent, J. Fate of particulate organic matter in soil aggregates during cultivation. Eur. J. Soil Sci. 1996, 4, 495–503. [Google Scholar] [CrossRef]
- John, B.; Yamashita, T.; Ludwig, B. Storage of organic carbon in aggregate and density fractions of silty soils under different types of land use. Geoderma 2005, 128, 63–79. [Google Scholar] [CrossRef]
- Kleber, M.; Sollins, P.; Sutton, R. A conceptual model of organo-mineral interactions in soils: Self-assembly of organic molecular fragments into zonal structures on mineral surfaces. Biogeochemistry 2007, 85, 9–24. [Google Scholar] [CrossRef]
- Piccolo, A. The supramolecular structure of humic substances. Soil Sci. 2001, 166, 810–832. [Google Scholar] [CrossRef]
- Sutton, R.; Sposito, G. Molecular structure in soil humic substances: The new view. Environ. Sci. Technol. 2005, 39, 9009–9015. [Google Scholar] [CrossRef]
- Sanderman, J.; Farquharson, R.; Baldock, J. Soil Carbon Sequestration Potential: A review for Australian agriculture. A report prepared for Department of Climate Change and Energy Efficiency. CSIRO Land Water 2001. [Google Scholar] [CrossRef]
- Novikov, A. Nitrogen stocks formation in chernozem subtypies in the South of Russia. Sci. J. KubSAU Electron Sci. J. 2012, 78, 2–10. (In Russian) [Google Scholar]
- Wang, Y.S.; Xue, M.; Zheng, X.; Ji, B.; Du, R.; Wang, Y. Effects of environmental factors on N2O emission from and CH4 uptake by the typical grasslands in the Inner Mongolia. Chemosphere 2005, 58, 205–215. [Google Scholar] [CrossRef]
- Lan, T.; Han, Y.; Roelcke, M.; Nieder, R.; Cai, Z. Sources of nitrous and nitric oxides in paddy soils: Nitrification and denitrification. J. Environ. Sci. 2014, 26, 581–592. [Google Scholar] [CrossRef]
- Franzluebbers, A.J.; Hons, F.M.; Zuberer, D.A. Seasonal changes in soil microbial biomass and mineralizable C and N in wheat management systems. Soil Biol. Biochem 1994, 26, 1469–1475. [Google Scholar] [CrossRef]
- Alvarez, R.; Alvarez, C.R.; Daniel, P.E.; Richter, V.; Blotta, L. Nitrogen distribution in soil density fractions and its relation to nitrogen mineralisation under different tillage systems. Aust. J. Soil Res. 1998, 36, 247–256. [Google Scholar] [CrossRef]
- Six, J.; Elliot, E.T.; Paustian, K. Soil macroaggregate turnover and microaggregate formation: A mechanism for C sequestration under no-tillage agriculture. Soil Biol. Biochem. 2000, 32, 2099–2103. [Google Scholar] [CrossRef]
- Beare, M.H.; Hendrix, P.F.; Coleman, D.C. Water-stable aggregates and organic matter fractions in conventional and non-conventional tillage soils. Soil Sci. Soc. Am. J. 1994, 58, 777–786. [Google Scholar] [CrossRef]
- Wander, M.M.; Yang, X.M. Influence of tillage on the dynamics of loose- and occluded-particulate and humified organic matter fractions. Soil Biol. Biochem. 2000, 32, 1151–1160. [Google Scholar] [CrossRef]
- Madari, B.; Micheli, E.; Czinkota, I.; Johnston, C.T.; Graveel, J.G. Soil organic matter as indicator of changes in the environment. Anthropogenic influences: Tillage. Agroke’Mia E’S Talajt. 1998, 47, 1–4. [Google Scholar]
- Bayer, C.; Martin-Neto, L.; Mielniczuk, J.; Ceretta, C. Effect of no-till cropping systems on soil organic matter in a sandy clay loam Acrisol from Southern Brazil monitored by electron spin resonance and nuclear magnetic resonance. Soil Tillage Res. 2000, 53, 95–104. [Google Scholar] [CrossRef]
- Brazil. MinisteÂrio da Agricultura. Departamento Nacional de Pesquisa AgropecuaÂria. DivisaÄo de Pesquisa PedoloÂgica. Levantamento de reconhecimento dos solos do Estado do Rio Grande do Sul. Div. Pesqui. Pedológica 1973, 30, 431. (In Portugese) [Google Scholar]
- Guggenberg, G.; Zech, W.; Thomas, R.J. Lignin and carbohydrate alteration in particle-size separates of an oxisol under tropical pastures following native Savana. Soil Biol. Biochem. 1995, 27, 1629–1638. [Google Scholar] [CrossRef]
- Kirschbaum, M.U.F. The temperature dependence of soil organic matter decomposition, and the effect of global warming on soil organic-C storage. Soil Biol. Biochem. 1995, 27, 753–760. [Google Scholar] [CrossRef]
- Sanderman, J.; Amundson, R. Biogeochemistry of decomposition and detrital processing. Treatise on Geochemistry. Biogeochemistry 2003, 8, 249–316. [Google Scholar] [CrossRef]
- Trumbore, S.E.; Chadwick, O.A.; Amundson, R. Rapid exchange between soil carbon and atmospheric carbon dioxide driven by temperature change. Science 1996, 272, 393–396. [Google Scholar] [CrossRef]
- Myrold, D.D.; Bottomley, P.P. Nitrogen mineralization and immobilization. In Nitrogen in Agricultural Systems; Schepers, J.S., Raun, W.R., Eds.; ASA, CSSA, SSSA: Madison, WI, USA, 2008; pp. 157–172. [Google Scholar] [CrossRef]
- Agehara, S.; Warncke, D.D. Soil moisture and temperature effects on nitrogen release from organic nitrogen sources. Soil Sci. Soc. Am. J. 2005, 69, 1844–1855. [Google Scholar] [CrossRef]
- Stevenson, F.J. Cycles of Soil: Carbon, Nitrogen, Phosphorus, Sulfur, Micronutrients; John Wiley & Sons: New York, NY, USA, 1986; ISBN 978-0-471-32071-5. [Google Scholar]
- Rozhko, V. Optimization of growing of wheat is in shortly crop rotations of ring-bank forest-steppe of Ukraine. In Proceedings of the 4th International Scientific Conference Agrobiodiversity for Improve the Nutrition, Health and Quality of Human and Bees Life, Nitra, Slovakia, 11–13 September 2019; Slovak University of Agriculture in Nitra: Nitra, Slovakia, 2019; pp. 402–406, ISBN 978-80-552-2070-3. [Google Scholar]
- Luce Mervin, S.; Whalen Joann, K.; Zebarth Bernie, J. Chapter two—Nitrogen Dynamics and Indices to Predict Soil Nitrogen Supply in Humid Temperate Soils. Adv. Agron. 2011, 112, 55–102. [Google Scholar] [CrossRef]
- Whalen, J.K.; Sampedro, L. Soil Ecology and Management; CAB International: Wallingford, UK, 2010. [Google Scholar] [CrossRef]
- Rasouli, S.; Whalen, J.K.; Madramootoo, C.A. Review: Reducing residual soil nitrogen losses from agroecosystems for surface water protection in Quebec and Ontario, Canada: Best management practices, policies and perspectives. Can. J. Soil Sci. 2014, 94, 109–127. [Google Scholar] [CrossRef]
- De Jong, R.; Drury, C.F.; Yang, J.Y.; Campbell, C.A. Risk of water contamination by nitrogen in Canada as estimated by the IROWC-N model. J. Environ. Manag. 2009, 90, 3169–3181. [Google Scholar] [CrossRef] [PubMed]
- Subbarao, G.V.; Ito, O.; Sahrawat, K.L.; Berry, W.L.; Nakahara, K.; Ishikawa, T.; Watanabe, T.; Suenaga, K.; Rondon, M.; Rao, I.M. Scope and strategies for regulation of nitrification in agricultural systems—Challenges and opportunities. Crit. Rev. Plant Sci. 2006, 25, 303–335. [Google Scholar] [CrossRef]
- Wu, T.-Y.; Ma, B.; Liang, B. Quantification of seasonal soil nitrogen mineralization for corn production in eastern Canada. Nutr. Cycl. Agroecosyst. 2008, 81, 279–290. [Google Scholar] [CrossRef]
- Stevens, W.B.; Hoeft, R.G.; Mulvaney, R.L. Fate of nitrogen-15 in a longterm nitrogen rate study. Agron. J. 2005, 97, 1046–1053. [Google Scholar] [CrossRef]
- Six, J.; Elliott, E.T.; Paustian, K. Aggregate and soil organic matter dynamics under conventional and no-tillage systems. Soil Sci. Soc. Am. J. 1999, 63, 1350–1358. [Google Scholar] [CrossRef]
- Mikha, M.M.; Rice, C.W. Tillage and manure effects on soil and aggregate associated carbon and nitrogen. Soil Sci. Soc. Am. J. 2004, 68, 809–816. [Google Scholar] [CrossRef]
- Zhao, S.L.; Gupta, S.C.; Huggins, D.R.; Moncrie, J.F. Tillage and nutrient source effects on surface and subsurface water quality at corn planting. J. Environ. Qual. 2001, 30, 998–1008. [Google Scholar] [CrossRef]
- Kravchenko, Y.S.; Tonkha, O.L. Morphogenesis of Typical chernozem and Izogumusol under longterm tillage use. Plant Soil Sci. 2020, 11, 39–49. [Google Scholar] [CrossRef]
- Soil Classification Working Group. The Canadian System of Soil Classification, 3rd ed; NRC Research Press, Agriculture and Agri-Food: Ottawa, Canada, 1998; ISBN 0-660-17404-9. [Google Scholar]
- IUSS Working Group WRB. World Reference Base for Soil Resources 2006. First Update 2007; Micheli, E., Schad, P., Spaargaren, O., Blume, H.P., Dudal, R., Eds.; World Soil Resources Reports, 103; FAO: Rome, Italy, 2007; ISBN 92-5-105511-4. [Google Scholar]
- Soil Survey Staff. Keys to Soil Taxonomy, 11th ed.; United States Department of Agriculture Natural Resources Conservation Service: Washington, DC, USA, 2010. [Google Scholar]
- Slepetiene, A.; Slepetys, J.; Liaudanskiene, I. Standard and modified methods for soil organic carbon determination in agricultural soils. Agron. Res. 2008, 6, 543–554. [Google Scholar]
- Alvarez, R.; Lavado, R.S. Climate, organic matter and clay content relationships in the Pampa and Chaco soils, Argentina. Geoderma 1998, 83, 127–141. [Google Scholar] [CrossRef]
- Cenkseven, S.; Kizildag, N.; Kocak, B.; Sagliker, H.A.; Darici, C. Soil Organic Matter Mineralization under Different Temperatures and Moisture Conditions in Kızıldağ Plateau, Turkey. Sains Malays. 2017, 46, 763–771. [Google Scholar] [CrossRef]
- González-Domínguez, B.; Niklaus, P.A.; Studer, M.S.; Hagedorn, F.; Wacker, L.; Haghipour, N.; Zimmermann, S.; Walthert, L.; McIntyre, C.; Abiven, S. Climate, generally represented by temperature and moisture, is regarded as one of the fundamental controls. Sci. Rep. 2019, 9, 6422. [Google Scholar] [CrossRef]
- Moyano, F.E.; Vasilyeva, N.; Bouckaert, L.; Cook, F.; Craine, J.; Curiel Yuste, J.; Don, A.; Epron, D.; Formanek, P.; Franzluebbers, A.; et al. The moisture response of soil heterotrophic respiration: Interaction with soil properties. Biogeosciences 2012, 9, 1173–1182. [Google Scholar] [CrossRef]
- Onwuka, B.; Mang, B. Effects of soil temperature on some soil properties and plant growth. Adv. Plants Agric. Res. 2018, 8, 34–37. [Google Scholar] [CrossRef]
- Fang, X.; Zhu, Y.-L.; Liu, J.-D.; Lin, X.-P.; Sun, H.-Z.; Tang, X.-H.; Hu, Y.-L.; Huang, Y.-P.; Yi, Z.-G. Effects of Moisture and Temperature on Soil Organic Carbon Decomposition along a Vegetation Restoration Gradient of Subtropical China. Forests 2022, 13, 578. [Google Scholar] [CrossRef]
- Wang, Q.; Zhao, X.; Chen, L.; Yang, Q.; Chen, S.; Zhang, W. Global synthesis of temperature sensitivity of soil organic carbon decomposition: Latitudinal patterns and mechanisms. Funct. Ecol. 2019, 33, 514–523. [Google Scholar] [CrossRef]
- Azlan, A.; Aweng, E.; Ibrahim, C.; Noorhaidah, A. Correlation between Soil Organic Matter, Total Organic Matter and Water Content with Climate and Depths of Soil at Different Land use in Kelantan, Malaysia. J. Appl. Sci. Environ. Manag. 2012, 16, 353–358, JASEM ISSN 1119-8362. [Google Scholar]
- Semenov, V.; Kohut, B. Soil Organic Matter; GEOS: Moscow, Russia, 2015; ISBN 978-5-89118-702-3. (In Russian) [Google Scholar]
- Stanford, G.; Smith, S.J. Nitrogen mineralization potentials of soils. Soil Sci. Soc. Am. Proc. 1972, 36, 465–472. [Google Scholar] [CrossRef]
- Campbell, C.A.; Jame, Y.W.; Winkleman, G.E. Mineralization rate constants and their use for estimating nitrogen mineralization in some Canadian praire soils. Can. J Soil Sci. 1984, 64, 333–343. [Google Scholar] [CrossRef]
- Buschiazzo, D.; Estelrich, H.; Aimar, S.; Viglizzo, E.; Babinec, F. Soil texture and tree coverage influence on organic matter. J. Range Manag. 2004, 57, 511–516. [Google Scholar] [CrossRef]
- Wuest, S. Seasonal Variation in Soil Organic Carbon. Soil Sci. Soc. Am. J. 2014, 78, 1442–1447. [Google Scholar] [CrossRef]
- Nie, X.; Zhang, H.; Su, Y. Soil carbon and nitrogen fraction dynamics affected by tillage erosion. Sci. Rep. 2019, 9, 16601. [Google Scholar] [CrossRef]
- Kravchenko, Y. The transformation of soil organic matter in typical chernozem under conservation systems of soil tillage. Herald Natl. Univ. Life Environ. Sci. Ukr. 2005, 81, 57–61. (In Ukrainian) [Google Scholar]
- Shao, X. Seasonal dynamics of soil labile organic carbon and enzyme activities in relation to vegetation types in Hangzhou Bay tidal flat wetland. PLoS ONE 2015, 10, e0142677. [Google Scholar] [CrossRef]
- Kuprichenkov, M. Seasonal dynamics of chemical and agrochemical properties of bio- and agrochernozem. Achiev. Agrar. Sci. Tech. 2013, 7, 67–68. (In Russian) [Google Scholar]
- Kravchenko, Y.; Rogovska, N.; Petrenko, L.; Zhang, X.; Song, C.; Chen, Y. Quality and dynamics of soil organic matter in a typical Chernozem of Ukraine under different long-term tillage systems. Can. J. Soil Sci. 2012, 92, 429–438. [Google Scholar] [CrossRef]
- Salinas-Garcia, J.R.; Hons, F.M.; Matocha, J.E.; Zuberer, D.A. Soil carbon and nitrogen dynamics as affected by long-term tillage and nitrogen fertilization. Biol. Fertil. Soils 1997, 25, 182–188. [Google Scholar] [CrossRef]
- Bulygin, S.Y.; Velichko, V.A.; Demidenko, O.V. Agrogenesis of Chernozem; Agrarian Science: Kyiv, Ukraine, 2016; ISBN 978-966-540-442-2. (In Ukrainian) [Google Scholar]
- Kravchenko, Y. The Current State of Ukrainian Chernozems Productivity. Plant Soil Sci. 2019, 10, 29–41. (In Ukrainian) [Google Scholar] [CrossRef]
- Geisseler, D.; Horwath, W.R.; Joergensen, R.G.; Ludwig, B. Pathways of nitrogen utilization by soil microorganisms. Soil Biol. Biochem. 2010, 42, 2058–2067. [Google Scholar] [CrossRef]
- Bonde, T.A.; Schnurer, J.; Rosswall, T. Microbial biomass as a fraction of potentially mineralizable nitrogen in soils from longterm field experiments. Soil Biol. Biochem. 1988, 20, 447–452. [Google Scholar] [CrossRef]
- Piccolo, A. Carbon Sequestration in Agricultural Soils: A Multidisciplinary Approach to Innovative Methods; Springer: Heidleberg, Germany, 2012. [Google Scholar] [CrossRef]
- Piccolo, A.; Spaccini, R.; Cozzolino, V. Effective carbon sequestration in Italian agricultural soils by in situ polymerization of soil organic matter under biomimetic photocatalysis. Land Degrad Dev. 2018, 29, 485–494. [Google Scholar] [CrossRef]
- Nebbioso, A.; Piccolo, A. Basis of a Humeomics Science: Chemical Fractionation and Molecular Characterization of Humic Biosuprastructures. Biomacromolecules 2011, 12, 1187–1199. [Google Scholar] [CrossRef]
- Nuzzo, A. In situ polymerization of soil organic matter by oxidative biomimetic catalysis. Chem. Biol. Technol. Agric. 2017, 4, 12. [Google Scholar] [CrossRef][Green Version]
- You, M.; Burger, M.; Li, L. Changes in Soil Organic Carbon and Carbon Fractions Under Different Land Use and Management Practices after Development from Parent Material of Mollisols. Soil Sci. 2014, 179, 205–210. [Google Scholar] [CrossRef]
- Hua, K. Effects of long-term application of various organic amendments on soil particulate organic matter storage and chemical stabilisation of vertisol soil. Acta Agriculturae Scandinavica, section b. Soil Plant Sci. 2018, 68, 505–514. [Google Scholar] [CrossRef]
- Wang, B. Distribution of soil aggregates and organic carbon in deep soil under long-term conservation tillage with residual retention in dryland. J. Arid. Land 2019, 11, 241–254. [Google Scholar] [CrossRef]
- Boitsova, L.; Puhalsky, Y. Soil organic matter dynamics as well as its labile and inert part in Soddy Podzolic sandy loam soil of different fertility effected. Agrophysics 2013, 2, 14–22. (In Russsian) [Google Scholar]
- Kohut, B. Transformation of chernozem humus under agriculture. In Dissertation Abstract of the Doctor of Agricultural Sciences; Soil Institute Named after V. Docuchaiev: Moskow, Russia, 1996. (In Russian) [Google Scholar]
- Feng, Y.; Ning, T.; Li, Z.; Han, B.; Han, H.; Li, Y.; Sun, T.; Zhang, X. Effects of tillage practices and rate of nitrogen fertilization on crop yield and soil carbon and nitrogen. Plant Soil Environ. 2014, 60, 100–104. [Google Scholar] [CrossRef]
- Agren, G.I.; Bosatta, E.; Magill, A.H. Combining theory and experiment to understand effect of inorganic nitrogen on litter decomposition. Oecologia 2001, 128, 94–98. [Google Scholar] [CrossRef]
- Kvitkina, A.K.; Larionova, A.; Dudarieva, D.; Bychovets. C:N influence at a maize phytomass destraction under exogenic and endogenic nitrogen changes. Theor. Apply Ecol. 2017, 2, 78–83. (In Russian) [Google Scholar]
- Tsybulko, N.N. Carbon sequestration capacity and mineralization of organic matter in different soils of Belarus. J. Belarusian State University. Ecology 2018, 2, 110–117. (In Russian) [Google Scholar]
- Jastrow, J.D. Soil aggregate formation and the accrual of particulate and mineral associated organic matter. Soil Biol. Biochem. 1996, 28, 665–676. [Google Scholar] [CrossRef]
- Luke, C.; Cox, P. Soil carbon and climate change: From the Jenkinson effect to the compost-bomb instability. Eur. J. Soil Sci. 2011, 62, 5–12. [Google Scholar] [CrossRef]






| Soil Depth, cm | Humus Content, % | pHH2O | Bulk Density, Mg m−3 | Field Capacity, Mg m−3 | Total Soil Porosity, % | Particles Fractions (mm) and Their Content, % | |||
|---|---|---|---|---|---|---|---|---|---|
| Sand | Silt | Physical Clay | |||||||
| (1–0.25) | (0.25–0.05) | (0.05–0.01) | (<0.01) | ||||||
| 0–25 | 3.58 | 6.7 | 1.14 | 23.4 | 55.8 | 0.64 | 15.96 | 51.16 | 32.24 |
| 25–45 | 3.46 | 6.7 | 1.20 | 21.2 | 54.2 | - | - | - | - |
| 45–65 | 3.28 | 6.9 | 1.29 | 19.9 | 51.3 | - | - | - | - |
| Parameters | TOC | TN | TOC:TN | W | ||||||||
|---|---|---|---|---|---|---|---|---|---|---|---|---|
| Rtu | Ctu | DRTu | Rtu | Ctu | DRTu | Rtu | Ctu | DRTu | Rtu | Ctu | DRTu | |
| 0–5 cm | ||||||||||||
| T | −0.102 | 0.185 | 0.217 | 0.278 | 0.0774 | 0.335 | −0.207 | −0.112 | −0.269 | −0.102 | 0.0280 | −0.144 |
| P | −0.746 * | −0.234 | −0.283 | −0.769 * | −0.675 * | −0.755 * | 0.603 * | 0.597 * | 0.743 * | −0.746 * | −0.790 * | −0.739 * |
| W | 0.616 * | 0.140 | 0.230 | 0.347 | 0.483 | 0.420 | −0.228 | −0.420 | −0.469 | - | - | - |
| 5–10 cm | ||||||||||||
| T | 0.317 | 0.0836 | 0.353 | −0.0423 | 0.0402 | −0.0485 | 0.156 | 0.0485 | 0.139 | −0.172 | −0.179 | −0.315 |
| P | −0.162 | −0.0630 | −0.445 | −0.626 * | −0.580 * | −0.613 * | 0.727 * | 0.772 * | 0.566 * | −0.865 * | −0.781 * | −0.825 * |
| W | 0.0701 | −0.158 | 0.469 | 0.893 * | 0.865 * | 0.911 * | −0.907 * | −0.872 * | −0.907 * | - | - | - |
| 10–20 cm | ||||||||||||
| T | 0.162 | 0.228 | 0.195 | 0.346 | 0.220 | 0.183 | −0.265 | −0.117 | −0.119 | −0.217 | −0.417 | −0.154 |
| P | −0.731 * | −0.435 | −0.595 | −0.690 * | −0.854 * | −0.854 * | 0.477 | 0.821 * | 0.773 * | −0.839 * | −0.865 * | −0.895 * |
| W | 0.629 * | 0.322 | 0.839 * | 0.832 * | 0.809 * | 0.839 * | −0.490 | −0.830 * | −0.944 * | - | - | - |
| 20–30 cm | ||||||||||||
| T | 0.183 | 0.325 | 0.220 | 0.181 | −0.0423 | 0.123 | 0.0279 | 0.127 | 0.0774 | −0.154 | −0.140 | −0.158 |
| P | −0.181 | −0.400 | −0.576 * | −0.166 | 0.259 | −0.535 | −0.136 | 0.194 | 0.194 | −0.877 * | −0.930 * | −0.956 * |
| W | −0.291 | 0.259 | 0.452 | 0.572 * | 0.727 * | 0.979 * | −0.537 | −0.636 * | −0.841 * | - | - | - |
| 30–40 cm | ||||||||||||
| T | −0.240 | 0.0898 | −0.261 | −0.0258 | 0.0217 | −0.0175 | −0.0217 | 0.139 | −0.0320 | −0.242 | −0.361 | −0.0876 |
| P | 0.480 | −0.468 | −0.301 | −0.605 * | −0.620 * | −0.458 | 0.642 * | 0.0392 | 0.205 | −0.886 * | −0.823 * | −0.907 * |
| W | −0.193 | 0.434 | 0.529 | 0.872 * | 0.683 * | 0.753 | −0.788 * | −0.371 | −0.273 | - | - | - |
| 40–60 cm | ||||||||||||
| T | −0.251 | −0.123 | 0.0526 | 0.226 | 0.133 | 0.0857 | −0.228 | −0.276 | 0.0134 | −0.102 | −0.252 | −0.105 |
| P | −0.154 | −0.559 * | −0.735 * | −0.604 * | −0.732 * | −0.614 * | 0.446 | 0.466 | 0.245 | 0.809 * | −0.615 * | 0.888 * |
| W | 0.690 * | 0.676 * | 0.606 * | 0.666 * | 0.650 * | 0.420 | −0.305 | −0.524 | 0.0699 | - | - | - |
| 60–80 cm | ||||||||||||
| T | 0.0114 | 0.193 | 0.327 | 0.0815 | 0.176 | 0.203 | −0.0795 | −0.146 | −0.0960 | −0.151 | −0.0769 | −0.0315 |
| P | 0.121 | −0.112 | −0.646 * | −0.748 * | −0.630 * | −0.724 * | 0.699 * | 0.631 * | 0.589 * | −0.809 * | −0.608 * | −0.732 * |
| W | −0.217 | −0.0105 | 0.764 * | 0.940 * | 0.778 * | 0.708 * | −0.746 * | −0.760 * | −0.557 | - | - | - |
| 80–100 cm | ||||||||||||
| T | 0.201 | −0.189 | −0.245 | 0.0836 | −0.0175 | −0.125 | 0.0279 | 0.0464 | 0.176 | −0.137 | 0.0001 | 0.0839 |
| P | −0.0413 | 0.0960 | 0.0568 | −0.732 * | −0.713 * | −0.580 * | 0.767 * | 0.752 * | 0.491 * | −0.676 * | −0.692 * | −0.790 * |
| W | −0.287 | −0.182 | −0.487 | 0.413 | 0.678 * | 0.594 * | −0.417 | −0.748 * | −0.538 | - | - | - |
Publisher’s Note: MDPI stays neutral with regard to jurisdictional claims in published maps and institutional affiliations. |
© 2022 by the authors. Licensee MDPI, Basel, Switzerland. This article is an open access article distributed under the terms and conditions of the Creative Commons Attribution (CC BY) license (https://creativecommons.org/licenses/by/4.0/).
Share and Cite
Kravchenko, Y.; Yarosh, A.; Chen, Y. Profile Soil Carbon and Nitrogen Dynamics in Typical Chernozem under Long-Term Tillage Use. Land 2022, 11, 1165. https://doi.org/10.3390/land11081165
Kravchenko Y, Yarosh A, Chen Y. Profile Soil Carbon and Nitrogen Dynamics in Typical Chernozem under Long-Term Tillage Use. Land. 2022; 11(8):1165. https://doi.org/10.3390/land11081165
Chicago/Turabian StyleKravchenko, Yuriy, Anna Yarosh, and Yimin Chen. 2022. "Profile Soil Carbon and Nitrogen Dynamics in Typical Chernozem under Long-Term Tillage Use" Land 11, no. 8: 1165. https://doi.org/10.3390/land11081165
APA StyleKravchenko, Y., Yarosh, A., & Chen, Y. (2022). Profile Soil Carbon and Nitrogen Dynamics in Typical Chernozem under Long-Term Tillage Use. Land, 11(8), 1165. https://doi.org/10.3390/land11081165

