Lignin Biodegradation in Pulp-and-Paper Mill Wastewater by Selected White Rot Fungi
Abstract
1. Introduction
2. Materials and Methods
2.1. Fungal Strain Master Cell Bank and Working Cell Bank
2.2. Standard Media and Pulp-and-Paper Mill Wastewater
2.3. Chemicals and Analysis
3. Results
3.1. B. adusta and P. crysosporium Growth on SGM
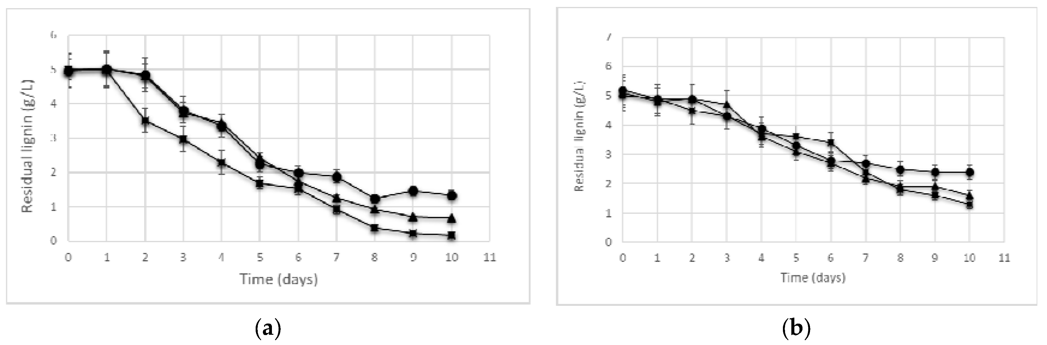
3.2. Lignin Removal Efficiency on Synthetic Pulp-and-Paper Mill Wastewater
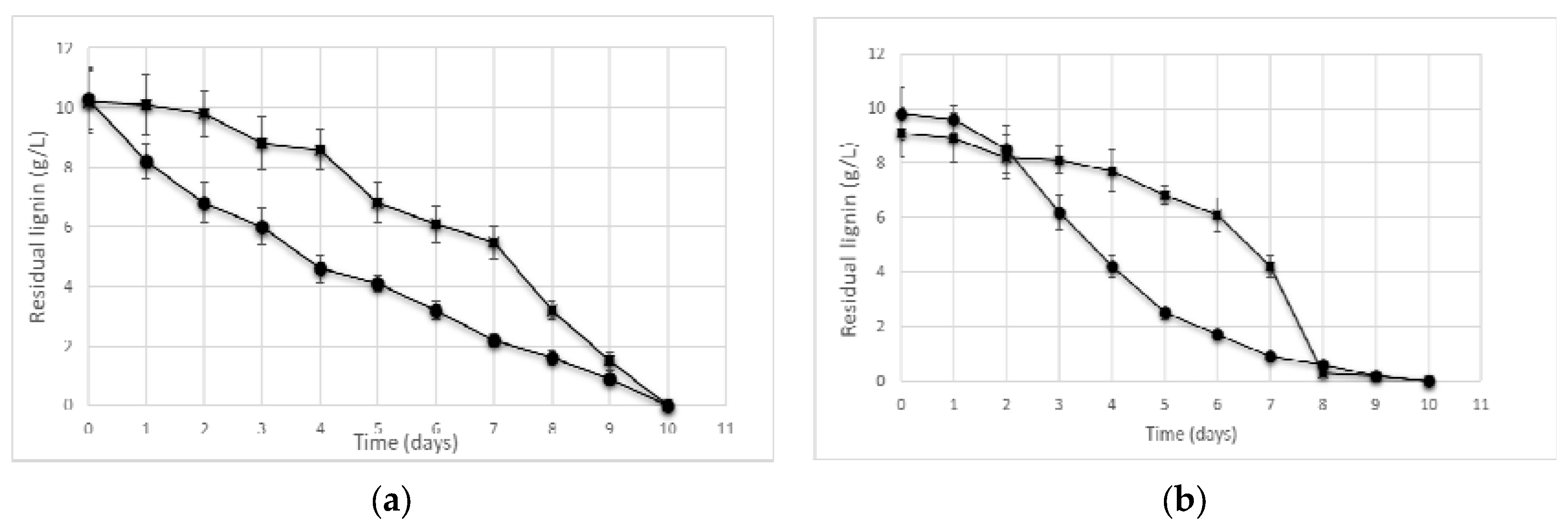
3.3. Lignin Removal Efficiency on Industrial Pulp-and-Paper Mill Wastewater
4. Conclusions
Author Contributions
Conflicts of Interest
References
- Key Statistics 2015. CEPI-Confederation of European Paper Industries. Available online: http://www.cepi.org/statistics/keystatistics2015 (accessed on 9 October 2017).
- Pokhrel, D.; Viraraghavan, T. Treatment of pulp and paper mill wastewater—A review. Sci. Total Environ. 2004, 333, 37–58. [Google Scholar] [CrossRef] [PubMed]
- Thompson, G.; Swain, J.; Kay, M.; Forster, C.F. The treatment of pulp and paper mill effluent: A review. Bioresour. Technol. 2011, 77, 275–286. [Google Scholar] [CrossRef]
- Lara, M.A.; Rodríguez-Malaver, A.J.; Rojas, O.J.; Holmquist, O.; González, A.M.; Bullón, J.; Araujo, E. Black liquor lignin biodegradation by Trametes elegans. Int. Biodeterior. Biodegrad. 2003, 52, 167–173. [Google Scholar] [CrossRef]
- Ali, M.; Sreekrishnan, T.R. Aquatic toxicity from pulp and paper mill effluents: A review. Adv. Environ. Res. 2001, 5, 175–196. [Google Scholar] [CrossRef]
- Vanholme, R.; Demedts, B.; Morreel, K.; Ralph, J.; Boerjan, W. Lignin biosynthesis and structure. Plant Physiol. 2010, 153, 895–905. [Google Scholar] [CrossRef] [PubMed]
- Minu, K.; Jiby, K.K.; Kishore, V.V.N. Isolation and purification of lignin and silica from the black liquor generated during the production of bioethanol from rice straw. Biomass Bioenergy 2012, 39, 210–217. [Google Scholar] [CrossRef]
- Kamali, M.; Khodaparast, Z. Review on recent developments on pulp and paper mill wastewater treatment. Ecotoxicol. Environ. Saf. 2015, 114, 326–342. [Google Scholar] [CrossRef] [PubMed]
- Harila, P.; Kivilinna, V.A. Biosludge incineration in a recovery boiler. Water Sci. Technol 1999, 40, 195–200. [Google Scholar]
- Chang, C.N.; Ma, Y.S.; Fang, G.C.; Chao, A.C.; Tsai, M.C.; Sung, H.F. Decolorizing of lignin wastewater using the photochemical UV/TiO2 process. Chemosphere 2004, 56, 1011–1017. [Google Scholar] [CrossRef] [PubMed]
- Zhang, Q.; Chuang, K.T. Adsorption of organic pollutants from effluents of a Kraft pulp mill on activated carbon and polymer resin. Adv. Environ. Res. 2001, 5, 251–258. [Google Scholar] [CrossRef]
- Wang, J.P.; Chen, Y.Z.; Wang, Y.; Yuan, S.J.; Yu, H.Q. Optimization of the coagulation-flocculation process for pulp mill wastewater treatment using a combination of uniform design and response surface methodology. Water Res. 2011, 45, 5633–5640. [Google Scholar] [CrossRef] [PubMed]
- Sales, F.G.; Abreu, C.A.M.; Pereira, J.A.F.R. Catalytic wet-air oxidation of lignin in a three-phase reactor with aromatic aldehyde production. Braz. J. Chem. Eng. 2004, 21, 211–218. [Google Scholar] [CrossRef]
- Wu, J.; Xiao, Y.Z.; Yu, H.Q. Degradation of lignin in pulp mill wastewaters by white-rot fungi on biofilm. Bioresour. Technol. 2005, 96, 1357–1363. [Google Scholar] [CrossRef] [PubMed]
- Puyol, D.; Batstone, D.J. Resource Recovery from wastewater by biological technologies. Front. Microbiol. 2017, 8. [Google Scholar] [CrossRef] [PubMed]
- Ruiz-Dueñas, F.J.; Martínez, Á.T. Microbial degradation of lignin: How a bulky recalcitrant polymer is efficiently recycled in nature and how we can take advantage of this. Microb. Biotechnol. 2009, 2, 164–177. [Google Scholar] [CrossRef] [PubMed]
- Brown, M.E.; Chang, M.C. Exploring bacterial lignin degradation. Curr. Opin. Chem. Biol. 2014, 19, 1–7. [Google Scholar] [CrossRef] [PubMed]
- Jain, N.; Shrivastava, A.K.; Srivastava, S.K. Treatment of black liquor by Pseudomonas putida and Acinetobacter calcoaceticus in continuous reactor. Environ. Technol. 1996, 17, 903–907. [Google Scholar] [CrossRef]
- Gupta, V.K.; Minocha, A.K.; Jain, N. Batch and continuous studies on treatment of pulp mill wastewater by Aeromonas formicans. J. Chem. Technol. Biotechnol. 2001, 76, 547–552. [Google Scholar] [CrossRef]
- Raj, A.; Reddy, M.K.; Chandra, R. Identification of low molecular weight aromatic compounds by gas chromatography–mass spectrometry (GC–MS) from kraft lignin degradation by three Bacillus sp. Int. Biodeterior. Biodegrad. 2007, 59, 292–296. [Google Scholar] [CrossRef]
- Leonowicz, A.; Matuszewska, A.; Luterek, J.; Ziegenhagen, D.; Wojtaś-Wasilewska, M.; Cho, N.S.; Rogalski, J. Biodegradation of lignin by white rot fungi. Fungal Genet. Biol. 1999, 27, 175–185. [Google Scholar] [CrossRef] [PubMed]
- Kirk, T.K.; Farrell, R.L. Enzymatic “combustion”: The microbial degradation of lignin. Ann. Rev. Microbiol. 1987, 41, 465–501. [Google Scholar] [CrossRef] [PubMed]
- Fu, Y.; Viraraghavan, T. Fungal decolorization of dye wastewaters: A review. Bioresour. Technol. 2001, 79, 251–262. [Google Scholar] [CrossRef]
- Sağlam, N.; Say, R.; Denizli, A.; Patır, S.; Arıca, M.Y. Biosorption of inorganic mercury and alkylmercury species on to Phanerochaete chrysosporium mycelium. Proc. Biochem. 1999, 34, 725–730. [Google Scholar] [CrossRef]
- Faison, B.D.; Kirk, T.K. Factors involved in the regulation of a ligninase activity in Phanerochaete chrysosporium. App. Environ. Microbiol. 1985, 49, 299–304. [Google Scholar]
- Sodaneath, H.; Lee, J.I.; Yang, S.O.; Jung, H.; Ryu, H.W.; Cho, K.S. Decolorization of textile dyes in an air-lift bioreactor inoculated with Bjerkandera adusta OBR105. J. Environ. Sci. Health Part A 2017, 52, 1099–1111. [Google Scholar] [CrossRef] [PubMed]
- Kinnunen, A.; Maijala, P.; JArvinen, P.; Hatakka, A. Improved efficiency in screening for lignin-modifying peroxidases and laccases of basidiomycetes. Curr. Biotechnol. 2017, 6, 105–115. [Google Scholar] [CrossRef]
- Peláez, F.; Martínez, M.J.; Martinez, A.T. Screening of 68 species of basidiomycetes for enzymes involved in lignin degradation. Mycol. Res. 1995, 99, 37–42. [Google Scholar] [CrossRef]
- Rodriguez, E.; Pickard, M.A.; Vazquez-Duhalt, R. Industrial dye decolorization by laccases from ligninolytic fungi. Curr. Microbiol. 1999, 38, 27–32. [Google Scholar] [CrossRef] [PubMed]
- Wang, Y.; Vazquez-Duhalt, R.; Pickard, M.A. Purification, characterization, and chemical modification of manganese peroxidase from Bjerkandera adusta UAMH 8258. Curr. Microbiol. 2002, 45, 77–87. [Google Scholar] [CrossRef] [PubMed]
- Tuomela, M.; Oivanen, P.; Hatakka, A. Degradation of synthetic 14 C-lignin by various white-rot fungi in soil. Soil Biol. Biochem. 2002, 34, 1613–1620. [Google Scholar] [CrossRef]
- Anastasi, A.; Spina, F.; Prigione, V.; Tigini, V.; Giansanti, P.; Varese, G.C. Scale-up of a bioprocess for textile wastewater treatment using Bjerkandera adusta. Bioresour. Technol. 2010, 101, 3067–3075. [Google Scholar] [CrossRef] [PubMed]
- Kraft Lignins—Lignin and Carbohydrate Content—Acid Hydrolysis Method. Available online: http://www.innventia.com (accessed on 12 October 2017).
- Potter, B.B.; Wimsatt, J.C. Method 415.3. Determination of Total Organic Carbon and Specific UV Absorbance at 254 nm in Source Water and Drinking Water; EPA/600/R-05/055; US Environmental Protection Agency: Cincinnati, OH, USA, 2005.
- Reina, R.; Kellner, H.; Jehmlich, N.; Ullrich, R.; García-Romera, I.; Aranda, E.; Liers, C. Differences in the secretion pattern of oxidoreductases from Bjerkandera adusta induced by a phenolic olive mill extract. Fungal Genet. Biol. 2014, 72, 99–105. [Google Scholar] [CrossRef] [PubMed]
- Arora, D.S.; Chander, M.; Gill, P.K. Involvement of lignin peroxidase, manganese peroxidase and laccase in degradation and selective ligninolysis of wheat straw. Int. Biodeterior. Biodegrad. 2002, 50, 115–120. [Google Scholar] [CrossRef]
- Girard, V.; Dieryckx, C.; Job, C.; Job, D. Secretomes: The fungal strike force. Proteomics 2013, 13, 597–608. [Google Scholar] [CrossRef] [PubMed]
- Schützendübel, A.; Majcherczyk, A.; Johannes, C.; Hüttermann, A. Degradation of fluorene, anthracene, phenanthrene, fluoranthene, and pyrene lacks connection to the production of extracellular enzymes by Pleurotus ostreatus and Bjerkandera adusta. Int. Biodeterior. Biodegrad. 1999, 43, 93–100. [Google Scholar] [CrossRef]
- Bonnarme, P.; Asther, M.; Asther, M. Influence of primary and secondary proteases produced by free or immobilized cells of the white-rot fungus Phanerochaete chrysosporium on lignin peroxidase activity. J. Biotechnol. 1993, 30, 271–282. [Google Scholar] [CrossRef]
- Feijoo, G.; Moreira, M.T.; Roca, E.; Lema, J.M. Use of cheese whey as a substrate to produce manganese peroxidase by Bjerkandera sp. BOS55. J. Ind. Microbiol. Biotechnol. 1999, 23, 86–90. [Google Scholar] [CrossRef] [PubMed]
- Dosoretz, C.G.; Chen, H.C.; Grethlein, H.E. Effect of environmental conditions on extracellular protease activity in lignolytic cultures of Phanerochaete chrysosporium. Appl. Environ. Microbiol. 1990, 56, 395–400. [Google Scholar] [PubMed]
- Nakamura, Y.; Sungusia, M.G.; Sawada, T.; Kuwahara, M. Lignin-degrading enzyme production by Bjerkandera adusta immobilized on polyurethane foam. J. Biosci. Bioeng. 1999, 88, 41–47. [Google Scholar] [CrossRef]
- Taboada-Puig, R.; Lú-Chau, T.; Moreira, M.T.; Feijoo, G.; Martínez, M.J.; Lema, J.M. A new strain of Bjerkandera sp. production, purification and characterization of versatile peroxidase. World J. Microbiol. Biotechnol. 2011, 27, 115–122. [Google Scholar] [CrossRef]
- Keyser, P.; Kirk, T.K.; Zeikus, J.G. Ligninolytic enzyme system of Phanaerochaete chrysosporium: Synthesized in the absence of lignin in response to nitrogen starvation. J. Bacteriol. 1978, 135, 790–797. [Google Scholar] [PubMed]
- Srivastava, S.K.; Shrivastava, A.K.; Jain, N. Degradation of black liquor, a pulp mill effluent by bacterial strain Pseudomonas putida. Ind. J. Exp. Biol. 1995, 33, 962–966. [Google Scholar]
- Jain, N.; Shrivastava, A.K.; Srivastava, S.K. Degradation of black liquor, a pulp mill effluent by bacterial strain Acinetobacter calcoaceticus. Ind. J. Exp. Biol. 1997, 35, 139–143. [Google Scholar]
- Alekhina, M.; Ershova, O.; Ebert, A.; Heikkinen, S.; Sixta, H. Softwood kraft lignin for value-added applications: Fractionation and structural characterization. Ind. Crops Prod. 2015, 66, 220–228. [Google Scholar] [CrossRef]




| Constituent | % |
|---|---|
| Total solids | 6.0 |
| Lactose | 5.0 |
| Proteins | 0.6 |
| Non-protein N * | 0.2 |
| Lipids | 0.05 |
| Ash | 0.5 |
| Strain | SGM | SLM | SDM |
|---|---|---|---|
| B. adusta | 2.5 ± 0.4 | 3.6 ± 0.5 | 3.5 ± 0.4 |
| P. crysosporium | 2.7 ± 0.3 | 4.3 ± 0.5 | 3.8 ± 0.6 |
© 2017 by the authors. Licensee MDPI, Basel, Switzerland. This article is an open access article distributed under the terms and conditions of the Creative Commons Attribution (CC BY) license (http://creativecommons.org/licenses/by/4.0/).
Share and Cite
Costa, S.; Dedola, D.G.; Pellizzari, S.; Blo, R.; Rugiero, I.; Pedrini, P.; Tamburini, E. Lignin Biodegradation in Pulp-and-Paper Mill Wastewater by Selected White Rot Fungi. Water 2017, 9, 935. https://doi.org/10.3390/w9120935
Costa S, Dedola DG, Pellizzari S, Blo R, Rugiero I, Pedrini P, Tamburini E. Lignin Biodegradation in Pulp-and-Paper Mill Wastewater by Selected White Rot Fungi. Water. 2017; 9(12):935. https://doi.org/10.3390/w9120935
Chicago/Turabian StyleCosta, Stefania, Davide Gavino Dedola, Simone Pellizzari, Riccardo Blo, Irene Rugiero, Paola Pedrini, and Elena Tamburini. 2017. "Lignin Biodegradation in Pulp-and-Paper Mill Wastewater by Selected White Rot Fungi" Water 9, no. 12: 935. https://doi.org/10.3390/w9120935
APA StyleCosta, S., Dedola, D. G., Pellizzari, S., Blo, R., Rugiero, I., Pedrini, P., & Tamburini, E. (2017). Lignin Biodegradation in Pulp-and-Paper Mill Wastewater by Selected White Rot Fungi. Water, 9(12), 935. https://doi.org/10.3390/w9120935

