Spatial and Temporal Distribution and Risk Assessment of Dissolved and Particulate Heavy Metals in the Middle and Lower Reaches of the Yellow River During the Water and Sediment Regulation Period
Abstract
1. Introduction
2. Materials and Methods
2.1. Study Area
2.2. Sampling Collection
2.3. Sampling Analysis
2.4. Assessment Methods
2.5. Data Processing and Analysis
3. Results
3.1. Hydrological and SPM Characteristics
3.2. Spatial and Temporal Distribution Characteristics of Heavy Metals
3.2.1. Dissolved Heavy Metals in WSRS
3.2.2. Heavy Metals in SPM
3.3. Ecological Risk Assessment of Suspended Sediment and Heavy Metals
3.4. Suspended Sediment Heavy Metal Occurrence Forms During the Sediment Regulation Stage
4. Discussion
4.1. Impact of SPM on Dissolved Heavy Metals Concentration
4.2. Interactions Between the Water Phase and the Particulate Phase
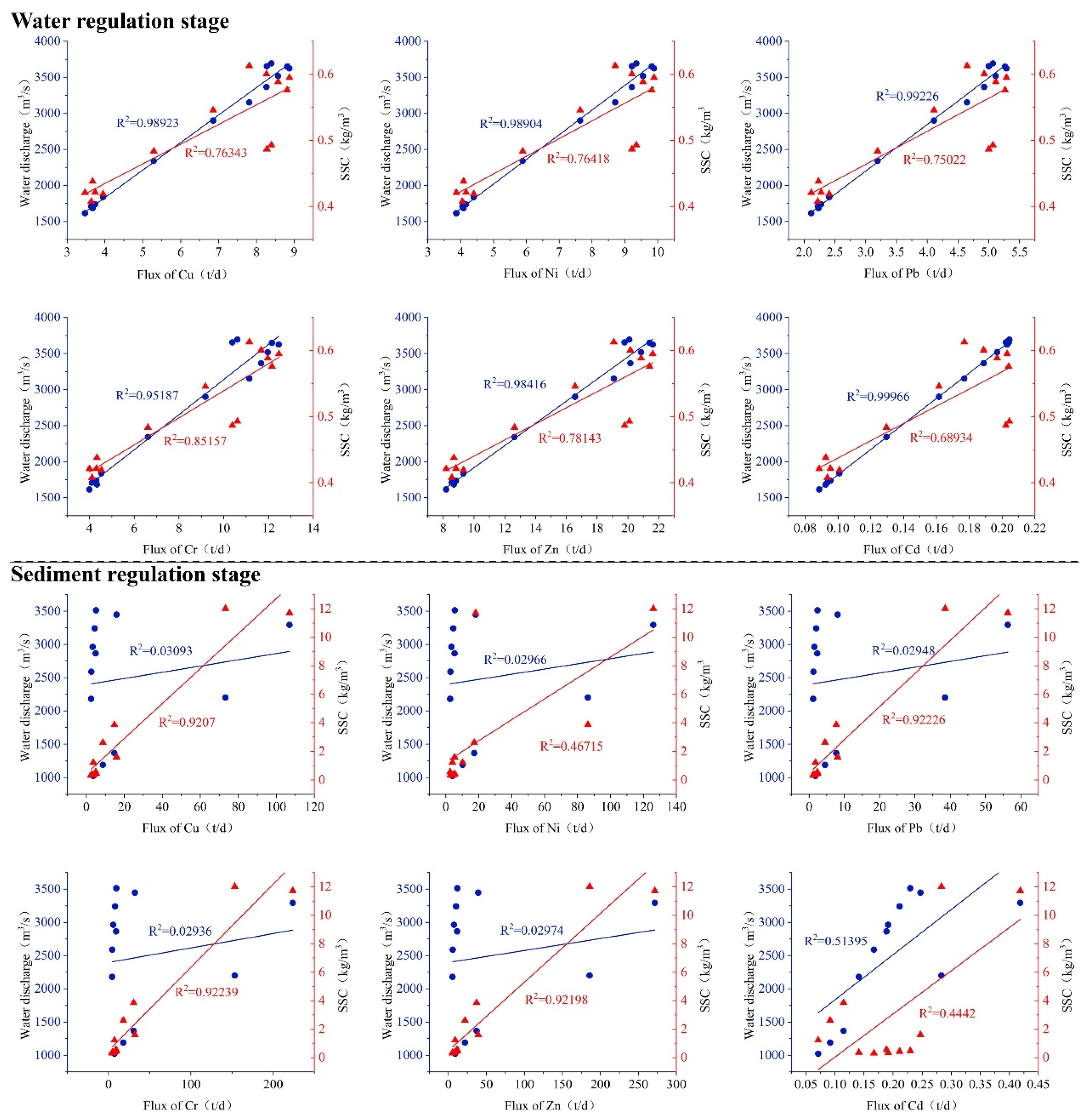
4.3. Impact of SPM on Heavy Metals Flux
4.4. Comparative Assessment of Heavy Metal Form Risk and Total Risk During the Sediment Regulation Stage
5. Conclusions
Supplementary Materials
Author Contributions
Funding
Data Availability Statement
Acknowledgments
Conflicts of Interest
References
- Zhang, G.; Zhou, S.; Wang, Y.; Liu, Y. Research Progress and Outlook on Sediment Transport Problems. J. Water Resour. Arch. Eng. 2019, 17, 8–15. [Google Scholar]
- Wilkinson, J.L.; Hooda, P.S.; Swinden, J.; Barker, J.; Barton, S. Spatial distribution of organic contaminants in three rivers of Southern England bound to suspended particulate material and dissolved in water. Sci. Total Environ. 2017, 593–594, 487–497. [Google Scholar] [CrossRef] [PubMed]
- Rügner, H.; Schwientek, M.; Milačič, R.; Zuliani, T.; Vidmar, J.; Paunović, M.; Laschou, S.; Kalogianni, E.; Skoulikidis, N.T.; Diamantini, E.; et al. Particle bound pollutants in rivers: Results from suspended sediment sampling in Globaqua River Basins. Sci. Total Environ. 2019, 647, 645–652. [Google Scholar] [CrossRef] [PubMed]
- Shi, Z.L.; Wang, Y.Y.; Wen, A.B.; Yan, D.C.; Chen, J.C. Tempo-spatial variations of sediment-associated nutrients and contaminants in the Ruxi tributary of the Three Gorges Reservoir, China. J. Mt. Sci. 2018, 15, 319–326. [Google Scholar] [CrossRef]
- Zhao, K.; Wang, Q.; Qian, S.; Li, F. Spatial and temporal distribution characteristics of antibiotics and heavy metals in the Yitong River basin and ecological risk assessment. Sci. Rep. 2023, 13, 4202. [Google Scholar] [CrossRef]
- Bharathi, M.D.; Sarma, V.V.S.S. Impact of monsoon-induced discharge on phytoplankton community structure in the tropical Indian estuaries. Reg. Stud. Mar. Sci. 2019, 31, 100795. [Google Scholar] [CrossRef]
- Jin, X.; Zhang, W.; Li, S. Complex responses of suspended particulate matter in eutrophic river and its indicative function in river recovery process. Ecol. Indic. 2020, 115, 106397. [Google Scholar] [CrossRef]
- Zou, X.; Li, Y.; Wang, L.; Ahmed, M.K.; Chen, K.; Wu, J.; Xu, Y.; Lin, Y.; Xiao, X.; Chen, B. Distribution and assessment of heavy metals in suspended particles in the Sundarban mangrove river, Bangladesh. Mar. Pollut. Bull. 2022, 181, 113856. [Google Scholar] [CrossRef]
- Li, W.; Qian, H.; Xu, P.; Zhang, Q.; Chen, J.; Hou, K.; Ren, W.; Qu, W.; Chen, Y. Distribution characteristics, source identification and risk assessment of heavy metals in surface sediments of the Yellow River, China. Catena 2022, 216, 106376. [Google Scholar] [CrossRef]
- Feng, C.; Guo, X.; Yin, S.; Tian, C.; Li, Y.; Shen, Z. Heavy metal partitioning of suspended particulate matter–water and sediment–water in the Yangtze Estuary. Chemosphere 2017, 185, 717–725. [Google Scholar] [CrossRef]
- Dhiman, A.; Ramanthan, A.L.; Macklin, M.; Yadav, S.; Kushwaha, S.; Mudbhatkal, A.; Senapathi, V. Heavy metal distribution in various environmental matrices and their risk assessment in Ganga River Basin, India. Hum. Ecol. Risk Assess. 2023, 29, 621–650. [Google Scholar] [CrossRef]
- Niampradit, S.; Kiangkoo, N.; Mingkhwan, R.; Kliengchuay, W.; Worakhunpiset, S.; Limpananont, Y.; Hongsibsong, S.; Inthorn, D.; Tantrakarnapa, K. Occurrence, distribution, and ecological risk assessment of heavy metals in Chao Phraya River, Thailand. Sci. Rep. 2024, 14, 8366. [Google Scholar] [CrossRef]
- Khan, K.; Younas, M.; Sharif, H.M.A.; Wang, C.; Yaseen, M.; Cao, X.; Zhou, Y.; Ibrahim, S.M.; Yvette, B.; Lu, Y. Heavy metals contamination, potential pathways and risks along the Indus Drainage System of Pakistan. Sci. Total Environ. 2022, 809, 151994. [Google Scholar] [CrossRef]
- Liu, H.; Ding, C.; Zhang, G.; Guo, Y.; Song, Y.; Thangaraj, S.; Zhang, X.; Sun, J. Dissolved and particulate heavy metal pollution status in seawater and sedimentary heavy metals of the Bohai Bay. Mar. Environ. Res. 2023, 191, 106158. [Google Scholar] [CrossRef] [PubMed]
- Mwanuzi, F.; De Smedt, F. Heavy metal distribution model under estuarine mixing. Hydrol. Process. 1999, 13, 789–804. [Google Scholar] [CrossRef]
- Zhang, L.; Wu, Y.; Yang, J.; Li, P.; Ni, Z.; Huang, X. Hydrodynamics and dissolved organic matter regulate partitioning behaviour of heavy metals in seawater in a human-impacted subtropical estuary. Environ. Pollut. 2025, 383, 126854. [Google Scholar] [CrossRef] [PubMed]
- Jia, Z.; Li, S.; Liu, Q.; Jiang, F.; Hu, J. Distribution and partitioning of heavy metals in water and sediments of a typical estuary (Modaomen, South China): The effect of water density stratification associated with salinity. Environ. Pollut. 2021, 287, 117277. [Google Scholar] [CrossRef]
- Zhang, N.; Zang, S.; Sun, Q. Health risk assessment of heavy metals in the water environment of Zhalong Wetland, China. Ecotoxicology 2014, 23, 518–526. [Google Scholar] [CrossRef]
- Dong, J.; Xia, X.; Liu, Z.; Zhang, X.; Chen, Q. Variations in concentrations and bioavailability of heavy metals in rivers during sediment suspension-deposition event induced by dams: Insights from sediment regulation of the Xiaolangdi Reservoir in the Yellow River. J. Soils Sediments 2018, 19, 403–414. [Google Scholar] [CrossRef]
- Liu, X.; Sheng, Y.; Liu, Q.; Li, Z. Suspended particulate matter affects the distribution and migration of heavy metals in the Yellow River. Sci. Total Environ. 2024, 912, 169537. [Google Scholar] [CrossRef]
- Zhao, Q.; Ding, S.; Lu, X.; Liang, G.; Hong, Z.; Lu, M.; Jing, Y. Water-sediment regulation scheme of the Xiaolangdi Dam influences redistribution and accumulation of heavy metals in sediments in the middle and lower reaches of the Yellow River. Catena 2022, 210, 105880. [Google Scholar] [CrossRef]
- Wang, H.; Sun, F. Variability of annual sediment load and runoff in the Yellow River for the last 100 years (1919–2018). Sci. Total Environ. 2021, 758, 143715. [Google Scholar] [CrossRef] [PubMed]
- Li, C.; Yu, Q.; Gong, X.; Yang, L.; Cao, Y. Remote Sensing Monitoring of Sediment Content Variation in Lower Reach of Yellow River since 1980s. Environ. Sci. Manag. 2020, 45, 165–170. [Google Scholar]
- Qiu, Z.; Liu, D.; Duan, M.; Chen, P.; Yang, C.; Li, K.; Duan, H. Four-decades of sediment transport variations in the Yellow River on the Loess Plateau using Landsat imagery. Remote Sens. Environ. 2024, 306, 114147. [Google Scholar] [CrossRef]
- Li, G.; Sheng, L. Model of water-sediment regulation in Yellow River and its effect. Sci. China Technol. Sci. 2011, 54, 924–930. [Google Scholar] [CrossRef]
- Han, S.; Sun, S.; Liu, B.; Dou, Y.; Zhao, L. Study on the Annual and Interannual Fluctuation Characteristics of Recent Water and Sediment Discharge in the Lower Reaches of the Yellow River_Han Shasha. Yellow River 2024, 46, 28–32, 37. [Google Scholar]
- Li, J.; Zhao, A.; Xuan, H.; You, X. Speciation Distribution Characteristic and Ecological Risk of Heavy Metals in Surface Sediments of Cascading Hydropower Dams in Lancang River. Water 2022, 14, 3248. [Google Scholar] [CrossRef]
- Vukovic, D.; Vukovic, Z.; Stankovic, S. The impact of the Danube Iron Gate Dam on heavy metal storage and sediment flux within the reservoir. Catena 2014, 113, 18–23. [Google Scholar] [CrossRef]
- Zeng, Y.; Wang, H.; Liang, D.; Yuan, W.; Yan, Y.; Shen, Z. Three gorges dam shifts estuarine heavy metal risk through suspended sediment gradation. J. Environ. Manag. 2023, 338, 117784. [Google Scholar] [CrossRef]
- Dong, J.; Xia, X.; Zhang, Y.; Liu, Z.; Zhang, X.; Li, H. Variations in concentrations and bioavailability of heavy metals in rivers caused by water conservancy projects: InsigZhts from water regulation of the Xiaolangdi Reservoir in the Yellow River. J. Environ. Sci. 2018, 74, 79–87. [Google Scholar] [CrossRef]
- Song, F. Spatial-Temporal Evolution and Driving Factors of Air Quality Index over the Yellow River Basin; Shandong Normal University: Zhengzhou, China, 2023. [Google Scholar]
- Han, S. Research on the Ecological Environment Status and Influencing Factors in the Yellow River Basin; Northwest A&F University: Xianyang, China, 2023. [Google Scholar]
- Xue, B. Ecological Environment Status of the Yellow River Basin and Its Influencing Factors Xue Bowen. Analysis and Simulation Study on the Formation Mechanism of Abnormal Meanders in the Meandering Reaches of the Lower Yellow River; North China University of Water Resources and Electric Power: Zhengzhou, China, 2023. [Google Scholar]
- Lu, M.; Zhao, Q.; Ding, S.; Wang, S.; Hong, Z.; Jing, Y.; Wang, A. Hydro-geomorphological characteristics in response to the water-sediment regulation scheme of the Xiaolangdi Dam in the lower Yellow River. J. Clean. Prod. 2022, 335, 130324. [Google Scholar] [CrossRef]
- Fang, H.; Lai, R.; Lin, B.; Xu, X.; Zhang, F.; Zhang, Y. Variational-Based Data Assimilation to Simulate Sediment Concentration in the Lower Yellow River, China. J. Hydrol. Eng. 2016, 21, 04016010. [Google Scholar] [CrossRef]
- Wang, P.; Yu, F.; Lv, H.; Wu, L.; Zhou, H. Potential risk of heavy metals release in sediments and soils of the Yellow River Basin (Henan section): A perspective on bioavailability and bioaccessibility. Ecotoxicol. Environ. Saf. 2025, 291, 117799. [Google Scholar] [CrossRef] [PubMed]
- Ao, L.; Chang, R.; Tang, Y.; Zhang, S. Ecological risk assessment and source tracing of heavy metals in surface sediments of a hilly riverine reservoir in Chongqing, China. Environ. Sci. Eur. 2024, 36, 69. [Google Scholar] [CrossRef]
- Han, G.; Hu, M.; Wang, Y.; Liu, J.; Zhang, S.; Wang, D.; Zeng, J. Geochemistry of Dissolved Heavy Metals in Upper Reaches of the Three Gorges Reservoir of Yangtze River Watershed during the Flood Season. Water 2021, 13, 2078. [Google Scholar] [CrossRef]
- Hao, M.; Zuo, Q.; Li, J.; Shi, S.; Li, B.; Zhao, X. A comprehensive exploration on distribution, risk assessment, and source quantification of heavy metals in the multi-media environment from Shaying River Basin, China. Ecotoxicol. Environ. Saf. 2022, 231, 113190. [Google Scholar] [CrossRef]
- Choudhury, T.R.; Acter, T.; Alam, M.A.; Sowrav, S.F.F.; Rahman, M.S.; Chowdhury, A.S.; Quraishi, S.B. Appraisal of heavy metal contamination and their source apportionment identification in five river water systems of the coastal areas in Bangladesh. Reg. Stud. Mar. Sci. 2024, 70, 103378. [Google Scholar] [CrossRef]
- Shao, F.; Zhou, H. Soil Environmental Background Values of Major Elements in Henan Province. Henan Agric. 1998, 10, 28. [Google Scholar]
- Chen, C.; Zhao, D.; Wang, Z.; Bi, N.; Yang, Z.; Xu, C. Sediment Flushing Patterns and Control Indicators of Xiaolangdi Reservoir. Yellow River 2025, 47, 36–41. [Google Scholar]
- Cao, D.; Li, H.; Chen, X.; Zhang, Y.; Yang, H.; Da, C. Pollution and Environmental Risk Assessment of Heavy Metals in the Water Body of the Huaihe River (Anhui Section). J. Zhejiang Wanli Univ. 2025, 38, 81–87. [Google Scholar]
- Chen, X.; Fu, X.; Li, G.; Zhang, J.; Li, H.; Xie, F. Source-specific probabilistic health risk assessment of heavy metals in surface water of the Yangtze River Basin. Sci. Total Environ. 2024, 926, 171923. [Google Scholar] [CrossRef]
- Wu, X.; Fan, Y.; Wang, H.; Bi, N.; Yang, Z.; Xu, C. Sedimentary Response of the Lower Yellow River and Estuary to the Suspension of Water and Sediment Transfer from 2015 to 2017_Wu Xiao. Chin. Sci. Bull. 2021, 66, 3059–3070. [Google Scholar] [CrossRef]
- Zhang, Y.; Zhang, K.; Wang, P.; Zhang, W. Variations in sediment particle diameter in the Lower Yellow River since the operation of the Xiaolangdi Reservoir. Adv. Water Sci. 2025, 36, 680–692. [Google Scholar] [CrossRef]
- Jiang, Z.; Cheng, H.; Chen, J.; Zhou, T. Effect of Resuspension of Bottom Sediments in the South Channel of the Yangtze River Estuary on Heavy Metal Adsorption. J. Saf. Environ. 2003, 3, 36–40. [Google Scholar]
- Xue, B.; Zhang, X.; Xu, L.; Li, J.; Mao, H. Response Law of Sediment Diameter Change in the Lower Yellow River to Water and Sediment Regulation in Xiaolangdi Reservoir. J. North China Univ. Water Resour. Electr. Power Nat. Sci. Ed. 2020, 41, 55–62. [Google Scholar]
- Bai, H.; Ma, A.; Hu, Y.; Hu, Y.; Cao, M. Spatiotemporal Distribution Characteristics of Sediment in the Shandong Section of the Lower Yellow River After the Completion of Xiaolangdi Reservoir. China Water Transp. 2025, 6, 102–105. [Google Scholar]
- Hu, X.; Cheng, K.; Zhou, X. Numerical Simulation Study on Sediment Adsorption of Heavy Metal Pollutants. Yellow River 2020, 42, 97–102, 107. [Google Scholar]
- Nicolau, R.; Galera-Cunha, A.; Lucas, Y. Transfer of nutrients and labile metals from the continent to the sea by a small Mediterranean river. Chemosphere 2006, 63, 469–476. [Google Scholar] [CrossRef] [PubMed]
- Hamad, S.H.; Schauer, J.J.; Shafer, M.M.; Al-Raheem, E.A.; Satar, H. The Distribution between the Dissolved and the Particulate Forms of 49 Metals across the Tigris River, Baghdad, Iraq. Sci. World J. 2012, 2012, 246059. [Google Scholar] [CrossRef] [PubMed]
- Zeng, J.; Han, G.; Wu, Q.; Tang, Y. Heavy Metals in Suspended Particulate Matter of the Zhujiang River, Southwest China: Contents, Sources, and Health Risks. Int. J. Environ. Res. Public Health 2019, 16, 1843. [Google Scholar] [CrossRef]
- Zeng, J.; Han, G.; Yang, K. Assessment and sources of heavy metals in suspended particulate matter in a tropical catchment, northeast Thailand. J. Clean. Prod. 2020, 265, 121898. [Google Scholar] [CrossRef]
- Zhang, J.; Zhou, F.; Chen, C.; Sun, X.; Shi, Y.; Zhao, H.; Chen, F. Spatial distribution and correlation characteristics of heavy metals in the seawater, suspended particulate matter and sediments in Zhanjiang Bay, China. PLoS ONE 2018, 13, e0201414. [Google Scholar] [CrossRef]
- Liao, J.; Qian, X.; Liu, F.; Deng, S.; Lin, H.; Liu, X.; Wei, C. Multiphase distribution and migration characteristics of heavy metals in typical sandy intertidal zones: Insights from solid-liquid partitioning. Ecotoxicol. Environ. Saf. 2021, 208, 111674. [Google Scholar] [CrossRef]
- Wu, W. Spatiotemporal Variations of Nutrients and Trace Elements in the Yangtze River, Their Fluxes into the Sea, and Responses to Human Activities; First Institute of Oceanography, Ministry of Natural Resources: Qingdao, China, 2020. [Google Scholar]
- Qu, M.; Zhou, W.; Hu, C. Discussion on the flux of heavy meatals from the waters of Poyang Lake River. Gdaas 2012, 39, 114–117. [Google Scholar]
- Dou, X.; Liu, Q.; Fan, Q.; Guo, J.; Qi, W. Comprehensive analysis of common heavy metals in the Yellow River over 20 Years: Spatiotemporal distribution, migration characteristics, traceability, and potential risk evaluation. Environ. Res. 2025, 281, 121931. [Google Scholar] [CrossRef]
- Geng, J.; Wang, Y.; Luo, H. Distribution, sources, and fluxes of heavy metals in the Pearl River Delta, South China. Mar. Pollut. Bull. 2015, 101, 914–921. [Google Scholar] [CrossRef]
- Briant, N.; Chiffoleau, J.-F.; Knoery, J.; Araújo, D.F.; Ponzevera, E.; Crochet, S.; Thomas, B.; Brach-Papa, C. Seasonal trace metal distribution, partition and fluxes in the temperate macrotidal Loire Estuary (France). Estuar. Coast. Shelf Sci. 2021, 262, 107616. [Google Scholar] [CrossRef]
- Chen, J.; Liu, M.; Bi, N.; Yang, Y.; Wu, X.; Fan, D.; Wang, H. Variability of heavy metal transport during the water–sediment regulation period of the Yellow River in 2018. Sci. Total Environ. 2021, 798, 149061. [Google Scholar] [CrossRef]
- Dange, S.; Arumugam, K.; Vijayaraghavalu, S.S. Geochemical Insights into Heavy Metal Contamination and Health Hazards in Palar River Basin: A Pathway to Sustainable Solutions. Ecol. Indic. 2024, 166, 112568. [Google Scholar] [CrossRef]
- Xue, S.; Jian, H.; Yang, F.; Liu, Q.; Yao, Q. Impact of water-sediment regulation on the concentration and transport of dissolved heavy metals in the middle and lower reaches of the Yellow River. Sci. Total Environ. 2022, 806, 150535. [Google Scholar] [CrossRef]
- Li, D.; Zhang, B.; Li, H.; Wu, E.; Zhao, J.; Chen, Q.; Bai, X.; Li, Y.-F.; Li, B.; Wu, G.; et al. Heavy metals pollution and the associated ecological risks along the Luanhe River basin in North China. J. Environ. Manag. 2025, 376, 124452. [Google Scholar] [CrossRef]
- He, L.; Liu, D.; Lin, J.; Yu, Z.; Yang, X.; Fu, C.; Liu, Z.; Zhao, Q. Total nitrogen and pH-controlled chemical speciation, bioavailability and ecological risk from Cd, Cr, Cu, Pb and Zn in the water level-fluctuating zone sediments of the Three Gorges Reservoir. Chem. Speciat. Bioavailab. 2017, 29, 89–96. [Google Scholar] [CrossRef]
- Zhao, S.; Su, Q.; Huang, L.; Wen, C.; Zhu, Z.; Zheng, J.; Lu, J.; Li, N. Heavy Metal Speciation and Potential Ecological Risks in Surface Sediments of Typical Bays in Guangxi. Mar. Environ. Res. 2025, 44, 35–46. [Google Scholar]
- Chen, X.; Wu, P.; Liu, H.; Li, X. Source apportionment of heavy metal(loid)s in sediments of a typical karst mountain drinking-water reservoir and the associated risk assessment based on chemical speciations. Environ. Geochem. Health 2023, 45, 7585–7601. [Google Scholar] [CrossRef]
- Zhang, T.; Zheng, B.; Wang, M.; He, J.; Xia, S. Spatial distribution, occurrence form, availability and ecological risk assessment of arsenic in soils of riparian zones on the Tibetan Plateau. Gondwana Res. 2024, 130, 131–139. [Google Scholar] [CrossRef]
- Wang, F.; Bao, K.; Chen, Z.; Huang, C.; Zhang, C.; Zhao, X.; Liu, X. Bioavailability and Ecological Risk Assessment of Cadmium in the Sea-Land Interaction Sediments of the Pearl River Delta. Environ. Sci. 2021, 42, 653–662. [Google Scholar]











Disclaimer/Publisher’s Note: The statements, opinions and data contained in all publications are solely those of the individual author(s) and contributor(s) and not of MDPI and/or the editor(s). MDPI and/or the editor(s) disclaim responsibility for any injury to people or property resulting from any ideas, methods, instructions or products referred to in the content. |
© 2025 by the authors. Licensee MDPI, Basel, Switzerland. This article is an open access article distributed under the terms and conditions of the Creative Commons Attribution (CC BY) license (https://creativecommons.org/licenses/by/4.0/).
Share and Cite
Ying, Y.; Cui, X.; Wang, X.; Huang, R.; Han, B.; Zhang, Y.; Hou, J.; Shang, M.; Bai, Y. Spatial and Temporal Distribution and Risk Assessment of Dissolved and Particulate Heavy Metals in the Middle and Lower Reaches of the Yellow River During the Water and Sediment Regulation Period. Water 2025, 17, 3272. https://doi.org/10.3390/w17223272
Ying Y, Cui X, Wang X, Huang R, Han B, Zhang Y, Hou J, Shang M, Bai Y. Spatial and Temporal Distribution and Risk Assessment of Dissolved and Particulate Heavy Metals in the Middle and Lower Reaches of the Yellow River During the Water and Sediment Regulation Period. Water. 2025; 17(22):3272. https://doi.org/10.3390/w17223272
Chicago/Turabian StyleYing, Yimei, Xinrui Cui, Xu Wang, Ruijie Huang, Bing Han, Yun Zhang, Jinglei Hou, Meng Shang, and Yu Bai. 2025. "Spatial and Temporal Distribution and Risk Assessment of Dissolved and Particulate Heavy Metals in the Middle and Lower Reaches of the Yellow River During the Water and Sediment Regulation Period" Water 17, no. 22: 3272. https://doi.org/10.3390/w17223272
APA StyleYing, Y., Cui, X., Wang, X., Huang, R., Han, B., Zhang, Y., Hou, J., Shang, M., & Bai, Y. (2025). Spatial and Temporal Distribution and Risk Assessment of Dissolved and Particulate Heavy Metals in the Middle and Lower Reaches of the Yellow River During the Water and Sediment Regulation Period. Water, 17(22), 3272. https://doi.org/10.3390/w17223272

