Next Article in Journal
Comparative Account of Tolerance of Different Submerged Macrophytes to Ammonia Nitrogen in the Water Column: Implications for Remediation and Ecological Rehabilitation of Nutrient-Enriched Aquatic Environments
Previous Article in Journal
Sustainability Synergies Between Water Governance and Agrotourism Development in the Semi-Arid Climate: A Case Study of Esmeraldas Province, Ecuador
 
 
Font Type:
Arial Georgia Verdana
Font Size:
Aa Aa Aa
Line Spacing:
Column Width:
Background:
Article

Time-Variant Instantaneous Unit Hydrograph Based on Machine Learning Pretraining and Rainfall Spatiotemporal Patterns

School of Hydraulic Engineering, Dalian University of Technology, Dalian 116024, China
*
Author to whom correspondence should be addressed.
Water 2025, 17(15), 2216; https://doi.org/10.3390/w17152216
Submission received: 17 June 2025 / Revised: 15 July 2025 / Accepted: 22 July 2025 / Published: 24 July 2025

Abstract

The hydrological response of a watershed is strongly influenced by the spatiotemporal dynamics of rainfall. Rainfall events of similar magnitude can produce markedly different flood processes due to variations in the spatiotemporal patterns of rainfall, posing significant challenges for flood forecasting under complex rainfall scenarios. Traditional methods typically rely on high-resolution or synthetic rainfall data to characterize the scale, direction and velocity of rainstorms, in order to analyze their impact on the flood process. These studies have shown that storms traveling along the main river channel tend to exert the greatest impact on flood processes. Therefore, tracking the movement of the rainfall center along the flow direction, especially when only rain gauge data are available, can reduce model complexity while maintaining forecast accuracy and improving model applicability. This study proposes a machine learning-based time-variable instantaneous unit hydrograph that integrates rainfall spatiotemporal dynamics using quantitative spatial indicators. To overcome limitations of traditional variable unit hydrograph methods, a pre-training and fine-tuning strategy is employed to link the unit hydrograph S-curve with rainfall spatial distribution. First, synthetic pre-training data were used to enable the machine learning model to learn the shape of the S-curve and its general pattern of variation with rainfall spatial distribution. Then, real flood data were employed to learn the actual runoff routing characteristics of the study area. The improved model allows the unit hydrograph to adapt dynamically to rainfall evolution during the flood event, effectively capturing hydrological responses under varying spatiotemporal patterns. The case study shows that the improved model exhibits superior performance across all runoff routing metrics under spatiotemporal rainfall variability. The improved model increased the simulation qualified rate for historical flood events, with significant rainfall center movement during the event from 63% to 90%. This study deepens the understanding of how rainfall dynamics influence watershed response and enhances hourly-scale flood forecasting, providing support for disaster early warning with strong theoretical and practical significance.

1. Introduction

Floods are among the most destructive natural disasters worldwide, posing significant threats to human survival and development [1,2,3]. Establishing reliable flood forecasting systems is crucial for proactive disaster response and informed risk management. As the core technology of modern flood forecasting, hydrological models have evolved through two major stages in the development of runoff generation and routing theories: The first stage occurred in the 1920s–1930s, marked by the proposals of Horton’s infiltration theory and Sherman’s unit hydrograph theory, which laid the theoretical foundation for conceptual hydrological models [4]. The second stage began in the 1960s–1970s, when in-depth field experiments on hillslope hydrology revealed more complex runoff generation and routing mechanisms [5,6]. This not only deepened the research on conceptual hydrological models but also directly promoted the emergence of physically based distributed hydrological models, providing a more rigorous theoretical framework for modern hydrological simulation and flood forecasting. However, although semi-distributed and distributed models can more accurately represent watershed characteristics, the required high-resolution spatial rainfall data remain unavailable or limited in most catchments [7,8]. Additionally, the relatively coarse spatial resolution of remote sensing rainfall products often hampers investigations into the relationship between rainfall spatiotemporal dynamics and watershed hydrological response. Meanwhile, the complex structures of distributed models pose challenges in validating the inputs and outputs of numerous internal units and severely constrain their application in real-time flood forecasting [9,10,11]. By contrast, efficient and reliable traditional lumped models still hold important practical value in both scientific research and engineering applications.
In lumped hydrological models, the rainfall-runoff process is typically divided into two main components: runoff generation and runoff routing. In humid and semi-humid catchments, the runoff generation process is predominantly governed by the saturation-excess mechanism, and its physical basis is relatively well understood. This facilitates the development of reasonable parameterization schemes in runoff generation models, thereby resulting in higher simulation accuracy [12,13]. However, under conditions of strong spatiotemporal heterogeneity in rainfall, such as during typhoon events, the runoff routing process often exhibits pronounced nonlinear characteristics. As a result, some model assumptions may no longer hold, leading to reduced accuracy in runoff routing simulations [14,15]. Rainfall spatiotemporal heterogeneity has long been recognized by hydrologists for its significant influence on flood hydrographs and peak discharge [16], and its sensitive relationship with watershed hydrological response remains a central topic in hydrological research [17,18,19,20,21,22]. Studies have shown that the spatiotemporal evolution of rainfall is a key component of rainfall processes, and the dynamic shift of rainfall centers within a single event is the norm rather than the exception [23,24,25]. Meanwhile, in the context of climate change, alterations in storm paths at the global scale may subject watersheds to unprecedented rainfall processes, leading to extreme flooding events [26,27]. Accounting for the spatiotemporal dynamics of rainfall in flood forecasting is crucial for developing resilient flood control systems. Compared to hydrodynamic routing methods, hydrological routing methods have a more concise structure and lower computational cost [28]. Within hydrological routing methods, the unit hydrograph remains one of the most widely used runoff routing methods due to its simplicity and efficiency [29]. As a lightweight model with clear physical significance, the unit hydrograph can be efficiently and conveniently coupled with rainfall characteristics for in-depth studies, making it an ideal tool for investigating the impact of rainfall spatiotemporal heterogeneity on flood processes.
In previous studies, the impact of storm movement on watershed hydrological response has primarily been investigated through three main approaches: laboratory experiments [30,31,32,33], analytical methods [34,35,36,37] and numerical simulations [38,39,40,41,42,43]. Most studies have shown that storms moving parallel to the main channel and at a speed similar to the flow velocity have the most significant effect on the flood process. Rather than relying on complex constraints to finely define storm characteristics, focusing on the effects of the upstream or downstream movement of rainfall centers on flood processes offers a way to reduce model complexity without compromising forecasting accuracy, thereby improving the practical applicability of models in flood prediction. Traditional hydrological analyses commonly represent rainfall centers using the two-dimensional centroid of accumulated rainfall measured by rain gauge. However, this simplification overlooks differences in flow pathways caused by topography. Modern studies employ flow direction algorithms based on digital elevation models (DEMs) to construct runoff topological networks and propose indicators that more accurately characterize the relative upstream–downstream position of the rainfall center by calculating the actual flow distance. Such indicators include the rainfall spatial variability index [44], spatial moments of rainfall [45] and spatial heterogeneity index of precipitation [46]. By integrating quantitative indicators of rainfall spatial distribution with the unit hydrograph method, a novel variable unit hydrograph can be constructed. This approach can be applied at each time step during flood events, allowing the unit hydrograph shape to adjust in real time according to the spatiotemporal dynamics of rainfall. Consequently, it enables the development of a hydrological model that captures the influence of key spatiotemporal rainfall features on flood processes, providing a basis for in-depth investigation into the mechanisms by which rainfall heterogeneity affects watershed hydrological responses.
Currently, the construction of variable unit hydrographs mainly includes two approaches: The first approach relies on analytical methods that establish explicit functional expressions incorporating key characteristics such as rainfall intensity and spatial distribution, directly determining the shape of the unit hydrograph [47,48,49]. Although these methods are theoretically rigorous, their applicability is limited due to the simplifying assumptions made about flow velocity and other conditions, while the flow dynamics in natural catchments are highly complex. The second approach uses interpolation or regression methods to establish dynamic relationships between unit hydrograph parameters and rainfall characteristics, thereby enabling adaptive adjustment of the unit hydrograph [50]. However, parameter interpolation methods are sensitive to data noise. The presence of anomalous data points deviating from hydrological prior knowledge can significantly compromise the accuracy of interpolation outcomes. Moreover, since the unit hydrograph usually involves multiple parameters, the phenomenon of equifinality can lead to a sharp increase in the dimensionality of the solution space, posing challenges for the applicability and robustness of regression methods. In recent years, the rapid advancement of machine learning and artificial intelligence has markedly accelerated the integration of intelligent modeling approaches within hydrological sciences. Machine learning models, fundamentally serving as robust nonlinear function approximators, excel in capturing complex and nonlinear dependencies between input variables (e.g., rainfall characteristics) and output responses (e.g., unit hydrograph time series). Consequently, machine learning models with powerful high-dimensional mapping capabilities offer an innovative alternative to traditional parametric functions in variable unit hydrograph modeling by directly generating unit hydrograph time series from rainfall characteristics.
Pre-training is a multi-stage machine learning training paradigm that involves initially training a model on large-scale, general-purpose datasets to learn broad patterns and representations, followed by fine-tuning on task-specific data. Compared to training models from scratch, this strategy offers significant advantages, including improved performance, reduced training data requirements and lower computational costs. It has demonstrated strong capabilities across various fields such as natural language processing [51], image classification [52] and multimodal learning [53]. This technique is also well-suited for small-sample learning scenarios in hydrology and has shown promising results in meteorological and hydrological time series forecasting, flood disaster early warning and remote sensing data analysis [54,55,56]. Building on previous research on the relationship between unit hydrograph and rainfall characteristics, a physically informed approach can be employed to systematically generate synthetic unit hydrograph samples that vary with rainfall inputs, thereby enabling the construction of a pre-training dataset. During the pre-training stage, machine learning models can acquire foundational knowledge of the morphological features of unit hydrographs and their general response patterns to variations in rainfall inputs. These models can then be fine-tuned using rainfall-runoff observations from the target watershed to capture its specific runoff routing characteristics. This hybrid framework, which integrates physical process understanding with data-driven modeling, imposes hydrological prior knowledge as a constraint to enhance model interpretability and consistency. At the same time, it leverages the strong nonlinear mapping capabilities of machine learning models to effectively capture the dynamic relationship between rainfall spatiotemporal patterns and the resulting unit hydrograph.
To address the limitations of traditional hydrological models in accurately forecasting floods under scenarios of spatiotemporal rainfall variability, this study proposes an innovative machine learning-based time-varying instantaneous unit hydrograph model (MLTVUH) based on pre-training techniques with rainfall spatial distribution quantification. Compared to previous studies, the innovation of this research lies in establishing a pre-training and fine-tuning modeling framework that preserves the physical basis and interpretability of traditional hydrological models while leveraging the strong high-dimensional mapping capabilities of machine learning models. By analyzing historical flood events, the correlation between rainfall spatial distribution and the shape of the unit hydrograph was established and temporally downscaled to individual time steps, enabling the model to provide more accurate flood forecasts under dynamically changing spatiotemporal rainfall patterns. The Yingnahe watershed, located in southern Liaoning Province, northeastern China, was selected as the case study area to test the MLTVUH approach. The primary objectives of this study are (1) to develop a physically based and interpretable machine learning model for generating different unit hydrographs according to different rainfall inputs using a hydrological prior knowledge constrained pre-training strategy; and (2) to enable fine-scale flood simulation under scenarios of strong rainfall spatiotemporal heterogeneity at an hourly scale, and to investigate the mechanisms by which spatiotemporal rainfall dynamics influence runoff routing processes.

2. Methodology

2.1. Rainfall Spatial Distribution Quantification Method

This study uses Rainfall Spatial Distribution Index (RSDI) to quantify spatial rainfall distribution based on rainfall-weighted flow distance, using rain gauge observations in combination with the classical Thiessen polygon method. First, the watershed is partitioned using Thiessen polygons constructed from rain gauge locations. For each polygon, the average flow distance from all grid cells within the polygon to the watershed outlet is calculated. This average value represents the relative distance of that portion of the watershed to the outlet. Subsequently, a weighted flow distance is computed using rainfall at each gauge as the weighting factor. Finally, this weighted flow distance is divided by the average flow distance of all grid cells across the entire watershed.
C w f d = i = 1 N P i L i i = 1 N P i
C a f d = L ¯
R S D I = C w f d C a f d
where C w f d is the weighted flow distance, which represents the distance from the rainfall center to the outlet. P i is the rainfall measured at the i -th rainfall gauge, where i denotes the gauge index. L i is the average flow distance of grid cells within the Thiessen polygon corresponding to the i -th rainfall gauge. N is the total number of rainfall gauges. C a f d is the average flow distance of all grid cells across the watershed. RSDI values less than 1 indicate rainfall concentrated in the downstream area, while values greater than 1 indicate rainfall concentration in the upstream area. The theoretical bounds of RSDI are [ L m i n L ¯ ,   L m a x L ¯ ] . The event RSDI, calculated from the accumulated rainfall reflects the average upstream–downstream position of the rainfall center relative to the watershed outlet for the entire rainfall event, while the RSDI time series calculated based on hourly rainfall characterize the dynamic movement trajectory of the rainfall center during the event.

2.2. Characteristics of the Nash IUH and Selection of Machine Learning Model Output

Nash systematically proposed an instantaneous unit hydrograph model based on Gamma distribution [57]. The Nash IUH conceptualizes the watershed as a series of linear reservoirs. The parameter n represents the number of linear reservoirs, while K is the storage coefficient of each reservoir. In mathematical form, the Nash IUH is identical to the probability density function (PDF) of the Gamma distribution, as shown in Formula 4. The parameters n and K of the Nash IUH correspond to the shape and scale parameters of the Gamma distribution, respectively. In the following text, these will be denoted by α and β .
u t = 1 k Γ n e t k t k n 1
It is important to emphasize that the shape of the Gamma PDF varies fundamentally depending on the value of the shape parameter α . When α is in the interval ( 0 ,   1 ] , the PDF is a monotonically decreasing concave function. In contrast, when α is in the interval ( 1 , + ) , it takes the form of a bell-shaped curve with both rising and falling limbs, similar to commonly observed unit hydrographs. This abrupt change in curve shape increases the difficulty for machine learning models to capture the patterns of curve variation. Meanwhile, when using the Nash IUH for runoff calculation, it is necessary to first compute the S-curve, i.e., Gamma cumulative distribution function (CDF), based on parameters α and β . The unit hydrograph is then derived from the S-curve based on the time step of the watershed data. As shown in Figure 1, the shape of CDF curve varies more smoothly with changes in the parameters. Therefore, this study selects the Gamma CDF (S-curve) as the output of machine learning model. In other words, the MLTVUH model first outputs the S-curve and subsequently produces the unit hydrograph.

2.3. Partitioning of Training and Validation Floods Based on Mann–Kendall Trend Analysis

The main objective of this study is to incorporate a mechanism into hydrological models that can capture the impact of rainfall center movement on the flood hydrograph, thereby enhancing the model’s capability to forecast floods under complex rainfall scenarios. Due to current limitations, only hourly rainfall data and the complete flood hydrograph are available for flood events in the study area. Since it is difficult to isolate the flood hydrograph generated by rainfall for each individual time step, establishing a direct relationship between rainfall spatial distribution and the shape of unit hydrograph at an hourly scale remains challenging.
To address this issue, this study proposes the following hypothesis: when the rainfall center remains relatively stable, the flood hydrograph is minimally influenced by spatiotemporal rainfall variability. The relationship between rainfall spatial distribution and unit hydrograph shape derived from such a scenario can be downscaled and applied to each individual time step within the flood event. Although this hypothesis introduces some uncertainty, allowing the unit hydrograph shape to dynamically vary with rainfall spatial distribution during a flood event can effectively improve flood forecasting under complex rainfall conditions, and this approach has gained increasing application in recent studies [50].
In hydrological modeling studies, historical rainfall-runoff data are typically divided into a training (or warm-up) period and a validation period. However, to avoid confusion with the training, validation and testing sets commonly used in machine learning, historical flood events in this study are classified as training floods and validation floods. Training floods are those with non-significant rainfall center movement trends and are used to derive the relationship between rainfall spatial distribution and unit hydrograph shape. Validation floods, on the other hand, exhibit significant rainfall center movement trends and are employed to assess the overall performance of the integrated hydrological model. The machine learning model in this study serves as the runoff routing module of the hydrological model, and its training and internal evaluation conducted exclusively using the training floods.
Under the hypothesis proposed in this study, the Mann–Kendall trend test (MK test) is applied to partition historical flood events. The MK test is a non-parametric statistical method commonly used to detect monotonic trends in hydrological and meteorological time series data. Due to space constraints, the detailed formulas of the MK test are not included in the main text; interested readers are referred to [58] for more information. RSDI quantifies the spatial distribution of rainfall, and the time series of RSDI during each historical flood event reflects how the rainfall center shifts over time. The MK test is applied to determine whether the rainfall center exhibited significant movement during each flood event. The significance level for the MK test is set at 0.05, meaning that a significant result at the 95% confidence level is considered to indicate a clear displacement trend of the rainfall center during the flood event.

2.4. Pre-Training Data Generation Method Based on Gamma Distribution Parameter Interpolation

The model pretraining data will be generated using a Gamma distribution parameter interpolation method. First, it is necessary to determine the range of variation of the Gamma CDF curve and the corresponding parameter space. From the training set, which consists of events in which the MK test is not significant, the events with the most concentrated upstream rainfall (maximum RSDI) and the most concentrated downstream rainfall (minimum RSDI) are selected. Using the genetic algorithm, the runoff routing parameters are determined as IUH ( α 1 , β 1 ) and IUH ( α 2 , β 2 ) while keeping other hydrological model parameters unchanged. These two parameter sets represent the watershed’s runoff routing characteristics under scenarios of rainfall most concentrated upstream or downstream. Since the IUH is mathematically equivalent to the Gamma distribution PDF, Gamma CDF ( α 1 , β 1 ) and Gamma CDF ( α 2 , β 2 ) can be used as the lower and upper bounds for the variation range of the S-curve. It should be emphasized that due to the parameter equifinality of the Gamma distribution, different parameter combinations can produce very similar CDF and PDF curves. Therefore, the Pareto solution set of the two parameters obtained from the genetic algorithm can be constrained and filtered such that α 1 > α 2 ,   β 1 > β 2 , and the difference α 1 α 2 is close to β 1 β 2 . This ensures similar magnitudes of variation for both parameters, facilitating subsequent interpolation.
After defining the variation range of the S-curve and the parameter space of the Gamma distribution, interpolation methods can be applied to generate the pretraining data. Compared to β , the shape of curve is more sensitive to α . Therefore, interpolation is primarily guided by α , with uniform sampling in the α variation space using a fixed step size, while β is uniformly sampled over its variation range based on the number of α samples. Based on the mathematical properties of the Gamma distribution, larger values of α and β result in a flatter unit hydrograph. Therefore, by using RSDI as the input and Gamma CDF ( α , β ) as the output, a one-to-one correspondence can be established to form the pretraining dataset.

2.5. Model Development, Training Procedure and Evaluation Metrics

(1)
Runoff Generation Parameter Calibration and Simulation
This study focuses on the impact of spatiotemporal rainfall heterogeneity on the watershed runoff process. Therefore, the effect of rainfall spatiotemporal heterogeneity on the runoff generation process is temporarily neglected. A genetic algorithm is employed to jointly calibrate the runoff generation module parameters for all historical flood events, aiming to minimize the average absolute relative error of runoff depth and maximize the runoff qualification rate, thus ensuring accurate simulation of runoff generation.
(2)
Using the Mann–Kendall Test to Divide Historical Data into Training and Validation Sets
The MK test is applied to the RSDI time series of each historical flood event to determine the significance of rainfall center movement. Events with non-significant movement are used to extract the relationship between rainfall spatial distribution and unit hydrograph shape, while those with significant trends are reserved for hydrological model validation.
(3)
Generating Pretraining and Fine-Tuning Data Using Historical Floods from the Training Set
As described earlier, the pretraining dataset is generated by selecting two historical floods with the maximum and minimum RSDI values to define the range of the S-curve and RSDI through Gamma parameter interpolation. Subsequently, the fine-tuning dataset is built using all historical floods with non-significant rainfall center movement.
(4)
Machine Learning Model Construction, Pre-training, Fine-tuning and Validation
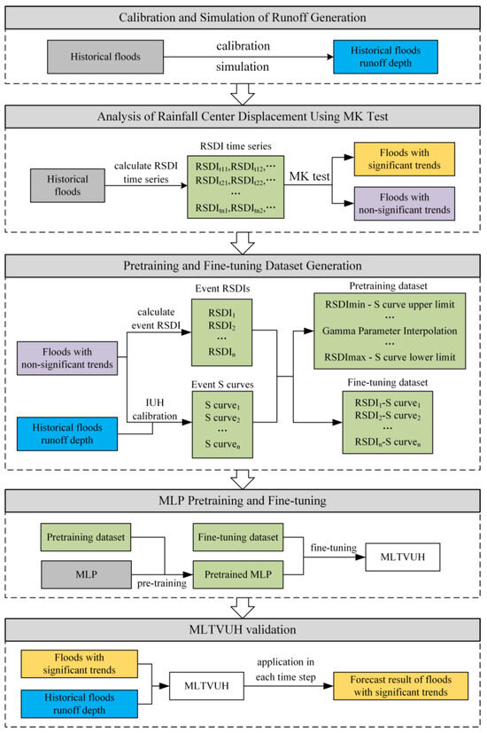
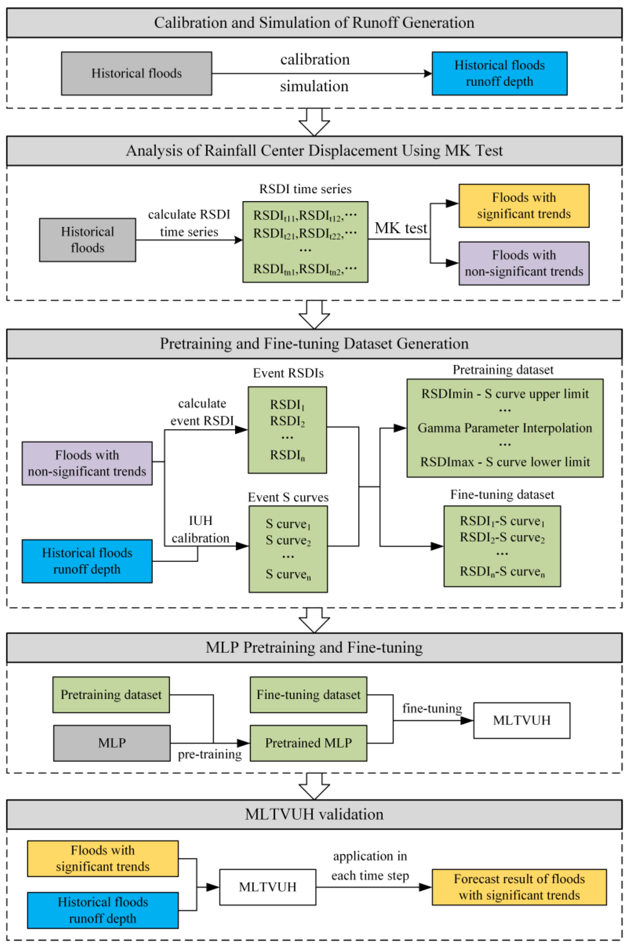
Based on the task of this study—generating S-curves from the input RSDI—a Multi-Layer Perceptron (MLP) is selected. First, the MLP is trained using the pre-training dataset generated in previous work, allowing the model to learn the basic shape features of S-curves and the general patterns of how they vary with changes in rainfall spatial distribution. Then, the parameters of the backbone are frozen, and the model’s head is fine-tuned using a dataset based on observed data, enabling it to learn the relationship between the rainfall spatial distribution and the runoff routing characteristics in the target watershed. Finally, the model is validated using historical flood events with significant trends in the movement of rainfall centers, as detected by the MK test. Figure 2 illustrates the modeling process of MLTVUH.
According to the flood forecasting standards defined in China’s national standard GB/T 22482-2008 [59], this study uses multiple metrics to evaluate model performance, including Relative Error of Runoff Depth (RER), Relative Error of Peak Discharge (REP), Time Error of Peak (TEP), Nash–Sutcliffe Efficiency coefficient (NSE), Qualified Rate of Peak Discharge (QRP), and Qualified Rate of Peak Time Error (QRT). For runoff depth forecasting, a relative error of runoff depth less than 20% is considered acceptable. In this study, a one-hour time step is used. Therefore, a flood forecast is considered qualified if the relative error of peak discharge is less than 20%, the absolute error of peak time is less than 1 h, and the NSE is greater than 0.7. The calculation formulas for each metric are as follows:
R E R = R s i m R o b s R o b s 100 %
R E P = Q p e a k _ s i m Q p e a k _ o b s Q p e a k _ o b s 100 %
T E P = T p e a k _ s i m T p e a k _ o b s
N S E = 1 i = 1 N Q o b s i Q s i m i 2 i = 1 N Q o b s i Q o b s ¯ 2
Q R P = N Q P N 100 %
Q R T = N Q T N 100 %
where R o b s is the observed runoff depth, R s i m is the simulated runoff depth, Q p e a k _ o b s is the observed peak discharge, Q p e a k _ s i m is the simulated peak discharge, T p e a k _ o b s is the observed flood peak time, T p e a k _ s i m is the simulated flood peak time, Q o b s is the observed flood time series, Q s i m is the simulated flood time series, N is the number of historical floods and N Q P and N Q T are the number of floods for which the flood peak discharge and flood peak time simulation are qualified, respectively.

3. Case Study

3.1. Study Area and Data Preparation

The Yingnahe Reservoir watershed covers a drainage area of 692 km2 and is located in the hilly region of southern Liaoning Province, northeastern China. With an average annual precipitation of 789.5 mm and an average annual pan evaporation of 1388.1 mm, it is classified as a typical semi-humid watershed. The Yingnahe Reservoir was constructed in 1974 and expanded in 2003 and has a total volume of 287 million m 3 . In addition to serving as an important water source, it also plays a vital role in flood control system. The Yingnahe Reservoir’s limited flood control capacity places higher demands on the accuracy of flood forecasting. The upper reaches of the Yingnahe watershed are hilly areas, while the lower reaches consist of a gently sloping river valley. The land cover in the watershed is 64.89% forest, 26.71% cultivated land, 4.99% grassland, 1.84% water bodies and 1.58% built-up areas.
The watershed is equipped with seven automatic rainfall gauges that are relatively evenly distributed, as well as a water level monitoring station located at the dam near the basin outlet. The flood season typically spans from late July to early August. During this period, precipitation can account for up to 70% of the total annual rainfall, with rainfall frequently influenced by typhoons or tropical cyclones, resulting in an uneven distribution across the watershed. Figure 3 illustrates the geographic location, topography and distribution of the hydrological monitoring system in the Yingnahe watershed.
The data used in this study were provided by the Yingnahe Reservoir Management Department, covering the period from 2005 to 2023. A total of 55 flood events were extracted from the dataset. After applying the MK test to the RSDI time series of each event, 44 events showed no significant movement in the rainfall center and were classified as the training floods, accounting for 80% of all events. The remaining 11 flood events, which exhibited a significant trend in rainfall center movement, were assigned to the validation floods, accounting for 20% of the total. The pretraining dataset was generated by the following procedure. Two representative cases were selected from the training floods to define the boundaries of input and output—one with rainfall most concentrated upstream (RSDI = 1.19), and the other with rainfall most concentrated downstream (RSDI = 0.87). Based on genetic algorithm optimization and parameter-constrained selection, the variation range for the shape parameter α of the Gamma CDF was determined to be 0.90–1.70, and the scale parameter β was determined to range from 2.2 to 3.2. The sampling step for α was set to 0.005, resulting in 161 samples as the output data. Meanwhile, RSDI was uniformly sampled 161 times within the range of 0.87 to 1.19, as the input data.
The objective of the pre-training phase is to enable the MLP to learn the shape of the S-curve under different spatial distributions of rainfall, as well as its variation patterns in relation to RSDI. Stratified sampling was employed in this study to construct the test set, in order to effectively evaluate the performance of the pre-trained model under different spatial distributions of rainfall. The range of RSDI values was evenly divided into five intervals, from which six samples were randomly selected per interval, resulting in a 30-sample test set. The remaining 131 samples were used as the training set for the pre-training phase.
The fine-tuning phase used real data from 44 training floods, specifically their RSDI and S-curves. Due to limited data, instead of splitting the dataset into training and test sets, a 10-fold cross-validation was conducted to evaluate the model’s performance. The final model used for flood forecasting was then fine-tuned on all 44 samples. The performance of the hydrological model with the MLP as the routing module was validated using validation floods under scenarios of spatiotemporal rainfall variability.

3.2. Runoff Generation Simulation Results for the Study Watershed

The modeling approaches in this study are based on the Xinanjiang hydrological model framework. The Xinanjiang model was first proposed in the 1970s and has undergone decades of research and improvement. It has been widely applied in humid and semi-humid watersheds around the world, demonstrating excellent performance. The model includes four modules: evapotranspiration, runoff generation, runoff separation and runoff routing. Further details are available in previous studies [60]. In the runoff generation simulation, the first 75% of the 55 historical floods (41 events) are selected as the calibration period, and the remaining 14 events are used as the validation period. Table 1 presents a comparison of the calibrated Xinanjiang model parameters between this study and previous studies in the Yingnahe watershed.
In the Yingnahe watershed, the average absolute value of the relative error of runoff depth (RER) was 9.04% during the calibration period and 9.51% during the validation period. The qualified rate was 92.68% in the validation period and 92.86% in the calibration period. These results demonstrate that the saturation-excess runoff generation mechanism of the Xinanjiang model aligns well with the actual conditions of the semi-humid watershed selected in this study, which is consistent with previous research in the region. This consistency provides a solid foundation for further investigation of the relationship between the spatial distribution of rainfall and the runoff routing process within this modeling framework [61,62,63,64].

3.3. Configuration of Machine Learning Models and Comparative Runoff Routing Schemes

The MLP used in this study consists of an input layer with one neuron, followed by three fully connected hidden layers with 64, 48 and 32 neurons, respectively. Each hidden layer is activated using the ReLU function. The output layer contains 21 neurons and employs a linear activation function. During the pre-training phase, the model was trained for 170 epochs with a batch size of 32. In the fine-tuning phase, it was trained for 60 epochs with a batch size of 11. In both phases, the Adam optimizer was used with a fixed learning rate of 1 × 10−3, and the mean squared error (MSE) was adopted as the loss function. Early stopping was manually implemented by adjusting the number of training epochs to prevent overfitting.
This study primarily focuses on comparing two different configurations of the runoff routing module. Scheme I uses a variable unit hydrograph based on the event RSDI calculated from cumulative rainfall over the entire event. In contrast, Scheme II employs the RSDI calculated from rainfall at each time interval, allowing the unit hydrograph to vary with the spatial distribution of rainfall in each time step, thereby capturing the impact of spatiotemporal rainfall dynamics on the runoff routing process. For both schemes, events with non-significant trends in rainfall spatial distribution, as detected by the MK test, are used to establish the relationship between rainfall spatial distribution and routing characteristics. Subsequently, the performance of the hydrological model is evaluated by forecasting flood events under scenarios of rainfall spatiotemporal dynamics, as identified by the MK test.

4. Results and Discussion

4.1. Evaluation of Pre-Trained and Fine-Tuned Machine Learning Models

First, it is necessary to assess whether the pre-training strategy can effectively capture the fundamental shape of the S-curve and its general pattern of variation with the RSDI. In this study, the stratified sampling method described earlier was used to construct the test set for evaluating the performance of the pre-trained MLP. Across all 30 test samples, the S-curves generated by the MLP achieved NSE values above 0.98 and were smooth and monotonically increasing, consistent with the typical shape of a Gamma CDF. Due to space limitations, only the results from the first interval (six samples) are presented in Figure 4, which shows that the MLP-generated S-curves closely match the test samples. The relatively dense sampling intervals facilitated the MLP’s learning during the pre-training phase, enabling the model to effectively capture the fundamental characteristics of the S-curve and its dependence on the RSDI.
In the fine-tuning phase, a 10-fold cross-validation was conducted to evaluate the model’s performance on real flood data. Each fold was trained using MSE as the loss function, and performance was assessed using the NSE. The NSE scores across the folds ranged from 0.911 to 0.979, with an average of 0.939. These results indicate that the fine-tuned MLP successfully adjusts the variation pattern of the S-curve with respect to the RSDI based on real data, building upon the knowledge acquired during pre-training. While some folds yielded slightly lower NSEs than those in the pre-training phase, the primary objective of the MLP is to learn the general relationship between rainfall spatial distribution and unit hydrograph shape. While some deviations may exist, these are acceptable given that the hydrological model’s overall performance is ultimately evaluated based on its ability to forecast validation floods under scenarios of spatiotemporal rainfall variability.
After completing pre-training, the MLP was fine-tuned using 44 observed training flood data, enabling the model to learn the actual relationship between rainfall spatial distribution and runoff routing characteristics in the target watershed. To demonstrate the model’s performance, six input samples were uniformly selected across the RSDI range. The outputs of the pre-trained and fine-tuned models were then compared, as shown in Figure 5. In Figure 5, (a) and (b) display the variation of the S-curves. For ease of comparison, (c) and (d) show the variation of the dimensionless unit hydrographs.
The comparative analysis reveals significant differences in the changing patterns of the S-curves and unit hydrographs produced by the pre-trained and fine-tuned models in response to variations in rainfall spatial distribution (RSDI). Specifically, the pre-trained model, which is based on interpolated data, assumes a linear relationship between runoff routing characteristics and rainfall spatial distribution, resulting in S-curves that change linearly with RSDI. In contrast, the machine learning model fine-tuned with observed data shows greater variation in the unit hydrograph when the RSDI increases from values representing downstream-concentrated rainfall to uniform rainfall. This variation is more pronounced than when the RSDI increases from uniform rainfall to upstream-concentrated rainfall (with RSDI values closer to 1 indicating more uniformly distributed rainfall).
This phenomenon can be reasonably explained by the underlying surface characteristics of the watershed. The watershed’s forests and grasslands are primarily distributed in the upstream areas, while croplands, water bodies and urbanized lands are mainly located along the relatively flat riverbanks in the downstream region. Under the combined influence of topography, land cover, and land use, the spatial distribution of rainfall has a significant impact on the watershed’s flood response. This is especially evident when rainfall is concentrated in the downstream areas where human activities are more intense—resulting in a noticeably shorter runoff concentration time and increased peak discharge. In such cases, the runoff routing characteristics of the watershed become more sensitive to changes in rainfall spatial distribution.
The machine learning model successfully captured the nonlinear response of runoff routing to rainfall spatial distribution, with unit hydrograph variations closely matching theoretical expectations based on watershed topography and geomorphology. This demonstrates the model’s ability to represent complex, high-dimensional hydrological processes.

4.2. Simulation Results Under Scenarios with and Without Significant Rainfall Center Movement Trends

In this study, the MK test was used to determine whether there is a significant upstream or downstream movement trend of the rainfall center during flood events. Figure 6 presents the rainfall and RSDI time series for example flood events. In Figure 6a,b, the rainfall centers show a downstream movement trend; in Figure 6c, an upstream movement trend is observed; and Figure 6d–f represent events where the rainfall center is located downstream, upstream, or is uniformly distributed, respectively, with no significant movement trend.
The RSDI time series of the two types of flood events were fitted using the least squares method to obtain linear trend lines. The slopes of these trend lines show significant differences: the absolute values of the slopes for trend-significant floods are considerably higher than those for trend-insignificant floods. Figure 7 compares box plots of the RSDI trend line slopes for all flood events of both types. It is evident that the minimum, maximum and interquartile range of the absolute slope values for trend-significant floods are all markedly higher than those of trend-insignificant floods, indicating a generally greater magnitude of slope in the former.
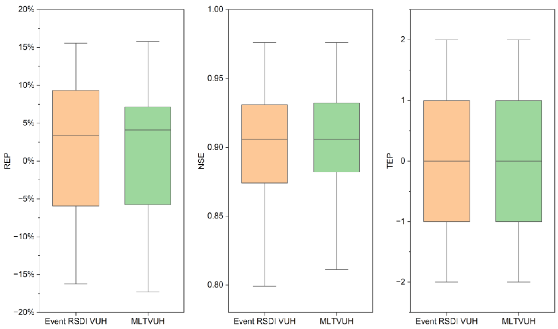
Table 2 presents the runoff routing simulation results for flood events with significant rainfall center movement trends. Compared to the event RSDI VUH, the MLTVUH shows significant improvements. The mean absolute relative error of peak discharge decreased from 18.27% to 8.56%, the peak discharge qualified rate increased from 63.64% to 100%, and the qualified rate of the peak time error rose from 63.64% to 90.91%. The average NSE also improved, from 0.848 to 0.909. These results demonstrate that by accounting for the spatiotemporal characteristics of rainfall, the model is able to more accurately capture the dynamic hydrological response of the watershed, thereby significantly enhancing both its physical plausibility and its simulation accuracy.
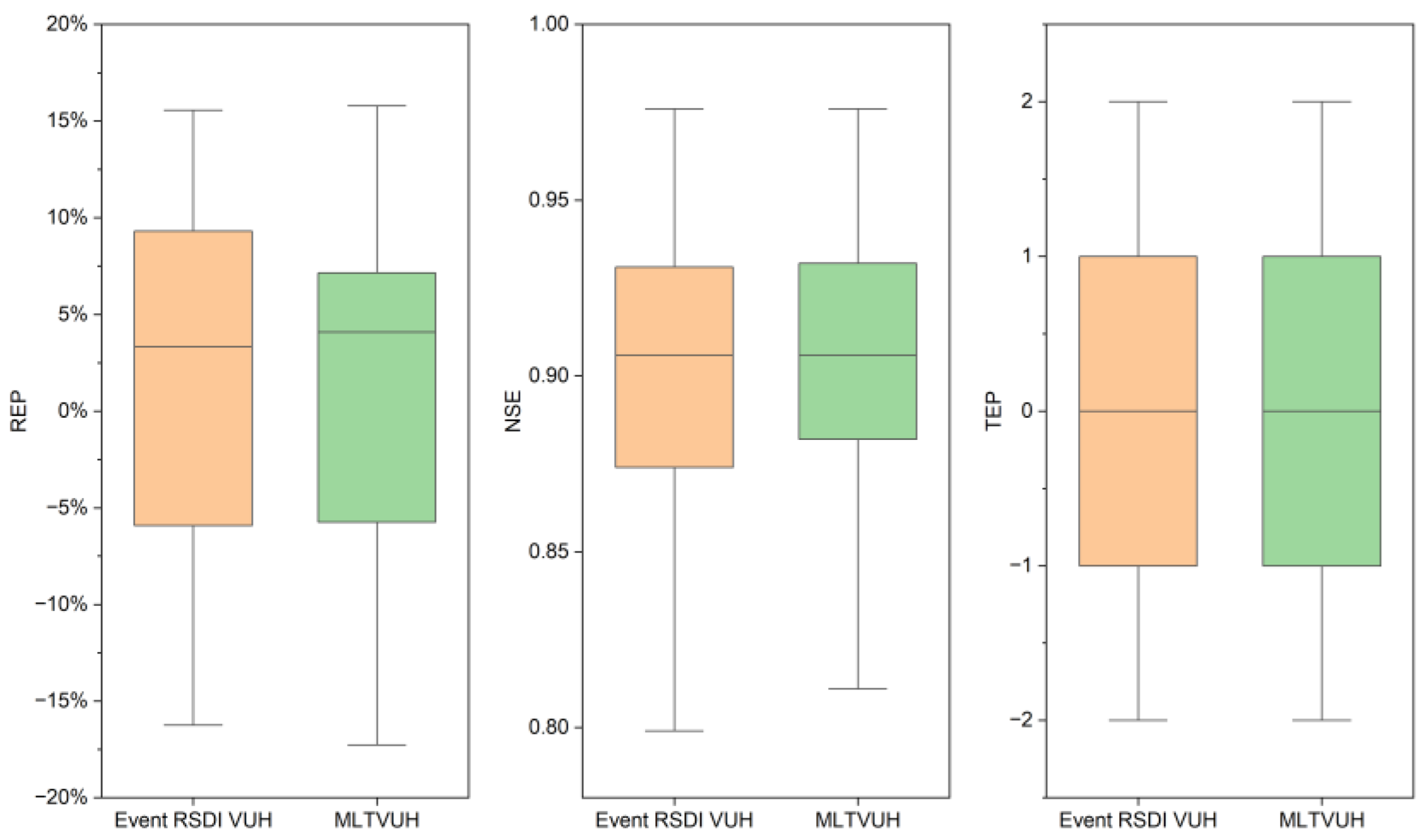
Due to space limitations, the simulation results for all flood events with insignificant trends are not listed in the main text. Instead, Figure 8 presents the statistical values of the routing simulation metrics in the form of box plots. Under conditions of weak spatiotemporal rainfall heterogeneity, the event RSDI VUH can adequately represent the relationship between rainfall spatial distribution and the watershed’s routing characteristics. The mean absolute relative error of the peak discharge is below 10%, the qualified rate of peak time error reaches 93%, and the NSE is close to 0.9. Since the variation in the RSDI across time steps within these flood events is minimal, the shapes of the unit hydrographs across different time steps are similar. As a result, there is little difference between the routing simulation results of the event RSDI VUH and the MLTVUH.

4.3. Routing Result Analysis of Typical Flood Event

To further explore the relationship between spatiotemporal rainfall dynamics and watershed runoff characteristics, four typical flood events were selected for comparative analysis. These include a flood with the rainfall center moving from downstream to upstream (20050808), one with the rainfall center moving from upstream to downstream (20170803), a multi-peaked flood with consecutive rain peaks (20120803) and a flood with uniformly distributed rainfall and minimal spatial variation over time (20080811).
Figure 9a shows the simulation results of the 20050808 flood event produced by the two models under the scenario in which the rainfall center shifts from downstream to upstream. The RSDI calculated based on the cumulative rainfall over the entire event is 0.977, indicating that the rainfall is concentrated downstream and, therefore, a relatively peaky unit hydrograph should be applied. However, the rainfall center shifts noticeably during the event. In the early stage, the RSDI is less than 1, indicating downstream-concentrated rainfall and a rapid runoff response. In the later stage, the RSDI exceeds 1, indicating upstream-concentrated rainfall with a longer concentration time. This results in a significant time gap between the peak discharges from the two rainfall segments at the outlet. The flood peak caused by downstream-concentrated rainfall has already passed before the upstream-induced peak arrives, leading to significant attenuation of the observed flood peak.
Figure 9b shows the simulation results of the 20170803 flood event, illustrating the opposite situation to Figure 9a. Although the event RSDI is 1.081, indicating that rainfall is concentrated upstream, the RSDI time series shows a clear decreasing trend, suggesting that the rainfall center shifts from upstream to downstream during the event. The upstream rainfall generates a flatter flood response, and when its peak reaches the outlet, it coincides with the rapidly rising peak caused by downstream rainfall in the later stage of the event, resulting in a superposition of peaks. Moreover, this event recorded the highest rainfall volume in history, producing a flood peak exceeding 5000 m3/s.
The comparison of the simulation results in Figure 9a,b shows that the event RSDI loses fluctuation and trend information inherent in the rainfall time series. This means that even when using a variable unit hydrograph derived from the relationship between rainfall spatial distribution and hydrograph shape, the model cannot accurately simulate the amplification and attenuation effects on the flood peak caused by the rainfall center’s movement upstream and downstream. This also indicates that, in some cases, deriving VUH from an event RSDI—which loses spatiotemporal rainfall dynamics—may lead to more severe simulation errors than traditional unit hydrograph methods.
For the 20050808 event, the VUH simulated using the event RSDI under the downstream-concentrated rainfall scenario greatly overestimated the peak discharge; whereas for the 20170803 event, the VUH simulated using the event RSDI under the upstream-concentrated rainfall scenario significantly underestimated the peak discharge. In contrast, the MLTVUH method, which allows the unit hydrograph to vary hourly, achieved good simulation accuracy under scenarios with spatiotemporal rainfall dynamics. The relative error of the peak discharge for the 20050808 flood was reduced from 26% to 5%, while for the 20170803 event, it decreased from −25% to −5%. Additionally, the peak time error improved from a 2 h delay to zero.
Figure 9c shows the simulation results of the 20120803 event, illustrating a multi-peaked flood in which each peak corresponds to a different rainfall center location. The first peak is larger in magnitude with the rainfall center located upstream and the second peak is slightly smaller, with the rainfall center shifting downstream. Due to the presence of relatively small rainfall amounts between the two parts of rainfall, the runoff processes generated by these two parts do not overlap, resulting in a double-peaked flood at the outlet. The event RSDI calculated is 1.005, indicating a uniformly distributed rainfall. However, this value represents the average spatial distribution of the two rainfall parts. Consequently, the VUH based on the event RSDI overestimates the first peak discharge and underestimates the second. In contrast, the MLTVUH method, which accounts for the spatiotemporal heterogeneity of rainfall, applies more appropriate unit hydrographs to each rainfall segment based on the dynamic movement of the rainfall center, reducing the relative error of the main peak from 16% to 6%, and that of the secondary peak from −29% to −12%.
Figure 9d shows the simulation results of the 20080811 flood, during which the spatial distribution of rainfall is relatively uniform and exhibits only minor temporal fluctuations. Although slight differences in rainfall distribution exist between time steps, no clear overall trend is observed. In this case, the event RSDI is 0.991, which accurately represents the rainfall spatial distribution. Therefore, the simulation results of both models are very similar and reasonably accurate. The only notable difference lies in the peak time error, primarily due to fluctuations in the RSDI during several periods prior to the flood peak. However, since no significant trend in rainfall center displacement is present, this has minimal impact on the overall flood hydrograph.

5. Conclusions

The event Rainfall Spatial Distribution Index (RSDI) calculated from cumulative rainfall loses the trend information for the rainfall time series and cannot reflect the temporal changes of the rainfall center. Due to this limitation, the Variable Unit Hydrograph (VUH) based on the event RSDI fails to accurately represent the amplification or attenuation effects of spatiotemporal rainfall dynamics on peak discharge when the rainfall center migrates upstream or downstream along the main channel. To address this issue, this study analyzes the relationship between runoff routing characteristics and rainfall spatial distribution in the study area, using it as hydrological prior knowledge to apply a pretraining strategy. A novel machine learning-based time-varying unit hydrograph (MLTVUH) is proposed and applied at an hourly resolution within events, enabling the unit hydrograph to dynamically adjust in response to arbitrary shifts in the rainfall center.
The main limitation of this study lies in the assumption that the relationship between the unit hydrograph shape and rainfall spatial distribution derived from cumulative rainfall and complete flood hydrographs from historical events with relatively stable rainfall centers can be downscaled to hourly time steps. Although allowing the shape of the unit hydrograph to dynamically vary with changes in rainfall spatial distribution during a flood event is a practical approach for flood forecasting under spatiotemporally variable rainfall conditions, it introduces epistemic uncertainty because the model does not fully capture the complex interactions among rainfall inputs across different time intervals. Addressing this limitation by developing methods to quantify and reduce such uncertainty will be an important focus of future research to improve model robustness and predictive performance.
Overall, based on a thorough understanding of the sensitive impact of rainfall spatiotemporal heterogeneity on watershed hydrological response, this study has developed an intelligent hydrological model that integrates both predictive accuracy and physical interpretability. The model achieves a seamless integration of theoretical methods and practical applications, thereby supporting proactive decision-making in managing flood disasters and risks. Not only does it provide a new methodological framework for flood forecasting under complex rainfall conditions, but the proposed physics-informed data-driven hybrid modeling paradigm also holds significant theoretical value for the advancement of hydrological modeling.

Author Contributions

Conceptualization, W.D., B.H., G.L. and G.W.; methodology, W.D., B.H., G.L. and G.W.; validation, W.D., B.H., G.L. and G.W.; formal analysis, W.D., B.H., G.L. and G.W.; writing—original draft preparation, W.D.; writing—review and editing, W.D., B.H. and G.W.; visualization, W.D.; supervision, B.H. and G.W. All authors have read and agreed to the published version of the manuscript.

Funding

This research was funded by the National Natural Science Foundation of China, grant number 51779030.

Data Availability Statement

Further inquiries can be directed to the corresponding authors.

Conflicts of Interest

The authors declare no conflicts of interest.

Abbreviations

The following abbreviations are used in this manuscript:
DEMDigital Elevation Model
IUHInstantaneous Unit Hydrograph
RSDIRainfall Spatial Distribution Index
PDFProbability Density Function
CDFCumulative Distribution Function
MK TestMann–Kendall Trend Test
NSENash–Sutcliffe Efficiency Coefficient
MLPMulti-Layer Perceptron
RERRelative Error of Runoff Depth
REPRelative Error of Peak Discharge
TEPTime Error of Peak
QRPQualified Rate of Peak Discharge
QRTQualified Rate of Peak Time Error

References

  1. Guo, X.; Wang, Q.J.; Western, A.; Ryu, D.; Sharples, W.; Hou, J. Flood Monitoring: A Hydrologically Guided Method for Infilling Incomplete Flood Inundation Maps Derived from Satellite Images. J. Hydrol. 2025, 660, 133365. [Google Scholar] [CrossRef]
  2. Shi, P.; Lyu, K.; Li, Z.; Yang, T.; Xu, C.-Y.; Hao, X.; Xiao, J. A Novel Topography-Based Approach for Real-Time Flood Inundation Mapping. Water Resour. Res. 2025, 61, e2024WR037851. [Google Scholar] [CrossRef]
  3. Wang, J.; Hou, J.; Li, S.; Lu, B.; Yan, Y.; Mu, Y. Innovative Flood Prediction Modeling: Enhancing Efficiency for Large-Scale Simulations and Analyzing Responses to Diverse Impacting Factors. J. Hydrol. 2025, 660, 133155. [Google Scholar] [CrossRef]
  4. Singh, V.P. Hydrologic Modeling: Progress and Future Directions. Geosci. Lett. 2018, 5, 15. [Google Scholar] [CrossRef]
  5. KIRKBY, M.J. Hillslope Hydrology; John Wiley & Sons: Hoboken, NJ, USA, 1978. [Google Scholar]
  6. Li, Z.; Zhang, K.; Wang, D.; Yao, C.; Li, Q.; Huang, Y. Modern Hydrological Modelling and Forecasting; Hohai University Press: Nanjing, China, 2021; ISBN 978-7-5630-7282-8. [Google Scholar]
  7. Pan, X.; Hou, J.; Wang, T.; Li, X.; Jing, J.; Chen, G.; Qiao, J.; Guo, Q. Study on the Influence of Temporal and Spatial Resolution of Rainfall Data on Watershed Flood Simulation Performance. Water Resour. Manag. 2024, 38, 2647–2668. [Google Scholar] [CrossRef]
  8. Hohmann, C.; Kirchengast, G.; O, S.; Rieger, W.; Foelsche, U. Small Catchment Runoff Sensitivity to Station Density and Spatial Interpolation: Hydrological Modeling of Heavy Rainfall Using a Dense Rain Gauge Network. Water 2021, 13, 1381. [Google Scholar] [CrossRef]
  9. Thyer, M.; Gupta, H.; Westra, S.; McInerney, D.; Maier, H.R.; Kavetski, D.; Jakeman, A.; Croke, B.; Simmons, C.; Partington, D. Virtual Hydrological Laboratories: Developing the next Generation of Conceptual Models to Support Decision Making under Change. Water Resour. Res. 2024, 60, e2022WR034234. [Google Scholar] [CrossRef]
  10. Merz, R.; Miniussi, A.; Basso, S.; Petersen, K.-J.; Tarasova, L. More Complex Is Not Necessarily Better in Large-Scale Hydrological Modeling: A Model Complexity Experiment across the Contiguous United States. Bull. Am. Meteorol. Soc. 2022, 103, E1947–E1967. [Google Scholar] [CrossRef]
  11. Li, H.; Xu, C.; Beldring, S. How Much Can We Gain with Increasing Model Complexity with the Same Model Concepts? J. Hydrol. 2015, 527, 858–871. [Google Scholar] [CrossRef]
  12. Huo, W.; Li, Z.; Zhang, K.; Wang, J.; Yao, C. GA-PIC: An Improved Green-Ampt Rainfall-Runoff Model with a Physically Based Infiltration Distribution Curve for Semi-Arid Basins. J. Hydrol. 2020, 586, 124900. [Google Scholar] [CrossRef]
  13. Chen, Y.; Han, J. Problems on Flood Forecasting in the Semi-Arid Region. Adv. Water Sci. 2003, 14, 612–616. (In Chinese) [Google Scholar]
  14. Shi, P.; Wu, H.; Qu, S.; Yang, X.; Lin, Z.; Ding, S.; Si, W. Advancing Real-Time Error Correction of Flood Forecasting Based on the Hydrologic Similarity Theory and Machine Learning Techniques. Environ. Res. 2024, 246, 118533. [Google Scholar] [CrossRef] [PubMed]
  15. Xu, C.; Fu, H.; Yang, J.; Wang, L.; Wang, Y. Land-Use-Based Runoff Yield Method to Modify Hydrological Model for Flood Management: A Case in the Basin of Simple Underlying Surface. Sustainability 2022, 14, 10895. [Google Scholar] [CrossRef]
  16. Maksimov, V. Computing Runoff Produced by a Heavy Rainstorm with a Moving Center. Sov. Hydrol. 1964, 5, 510–513. [Google Scholar]
  17. Wang, Y.; Karimi, H. Impact of Spatial Distribution Information of Rainfall in Runoff Simulation Using Deep Learning Method. Hydrol. Earth Syst. Sci. 2022, 26, 2387–2403. [Google Scholar] [CrossRef]
  18. Amengual, A.; Borga, M.; Ravazzani, G.; Crema, S. The Role of Storm Movement in Controlling Flash Flood Response: An Analysis of the 28 September 2012 Extreme Event in Murcia, Southeastern Spain. J. Hydrometeorol. 2021, 22, 2379–2392. [Google Scholar] [CrossRef]
  19. ten Veldhuis, M.-C.; Zhou, Z.; Yang, L.; Liu, S.; Smith, J. The Role of Storm Scale, Position and Movement in Controlling Urban Flood Response. Hydrol. Earth Syst. Sci. 2018, 22, 417–436. [Google Scholar] [CrossRef]
  20. Archer, D.R.; Fowler, H.J. Characterising Flash Flood Response to Intense Rainfall and Impacts Using Historical Information and Gauged Data in Britain. J. Flood Risk Manag. 2018, 11, S121–S133. [Google Scholar] [CrossRef]
  21. Tarolli, M.; Borga, M.; Zoccatelli, D.; Bernhofer, C.; Jatho, N.; al Janabi, F. Rainfall Space-Time Organization and Orographic Control on Flash Flood Response: The Weisseritz Event of August 13, 2002. J. Hydrol. Eng. 2013, 18, 183–193. [Google Scholar] [CrossRef]
  22. Arnaud, P.; Bouvier, C.; Cisneros, L.; Dominguez, R. Influence of Rainfall Spatial Variability on Flood Prediction. J. Hydrol. 2002, 260, 216–230. [Google Scholar] [CrossRef]
  23. Singh, V.P. Effect of Spatial and Temporal Variability in Rainfall and Watershed Characteristics on Stream Flow Hydrograph. Hydrol. Process. 1997, 11, 1649–1669. [Google Scholar] [CrossRef]
  24. Marshall, R.J. The Estimation and Distribution of Storm Movement and Storm Structure, Using a Correlation Analysis Technique and Rain-Gauge Data. J. Hydrol. 1980, 48, 19–39. [Google Scholar] [CrossRef]
  25. Shearman, R.J. THE SPEED AND DIRECTION OF MOVEMENT OF STORM RAINFALL PATTERNS WITH REFERENCE TO URBAN STORM SEWER DESIGN/Vitesse et Direction de La Distribution de l’intensité de La Pluie En Ce Qui Concerne Le Dessin Des Égouts-Déversoirs Urbains. Hydrol. Sci. Bull. 1977, 22, 421–431. [Google Scholar] [CrossRef]
  26. Mbengue, C.; Schneider, T. Storm Track Shifts under Climate Change: What Can Be Learned from Large-Scale Dry Dynamics. J. Clim. 2013, 26, 9923–9930. [Google Scholar] [CrossRef]
  27. Tamarin-Brodsky, T.; Kaspi, Y. Enhanced Poleward Propagation of Storms under Climate Change. Nat. Geosci. 2017, 10, 908–913. [Google Scholar] [CrossRef]
  28. Cortés-Salazar, N.; Vásquez, N.; Mizukami, N.; Mendoza, P.A.; Vargas, X. To What Extent Does River Routing Matter in Hydrological Modeling? Hydrol. Earth Syst. Sci. 2023, 27, 3505–3524. [Google Scholar] [CrossRef]
  29. Singh, P.; Mishra, S.K.; Jain, M.K. A Review of the Synthetic Unit Hydrograph: From the Empirical UH to Advanced Geomorphological Methods. Hydrol. Sci. J. 2014, 59, 239–261. [Google Scholar] [CrossRef]
  30. Marcus, N. A Laboratory and Analytical Study of Surface Runoff under Moving Rainstorms. Ph.D. Thesis, University of Illinois at Urbana-Champaign, Champaign, IL, USA, 1968. [Google Scholar]
  31. Yen, B.C.; Chow, V.T. A Laboratory Study of Surface Runoff Due to Moving Rainstorms. Water Resour. Res. 1969, 5, 989–1006. [Google Scholar] [CrossRef]
  32. Roberts, M.C.; Klingeman, P.C. The Influence of Landform and Precipitation Parameters on Flood Hydrographs. J. Hydrol. 1970, 11, 393–411. [Google Scholar] [CrossRef]
  33. Black, P.E. Hydrograph Responses to Geomorphic Model Watershed Characteristics and Precipitation Variables. J. Hydrol. 1972, 17, 309–329. [Google Scholar] [CrossRef]
  34. Singh, V.P. Effect of the Direction of Storm Movement on Planar Flow. Hydrol. Process. 1998, 12, 147–170. [Google Scholar] [CrossRef]
  35. Singh, V.P. Effect of the Duration and Direction of Storm Movement on Infiltrating Planar Flow with Full Areal Coverage. Hydrol. Process. 2002, 16, 1479–1511. [Google Scholar] [CrossRef]
  36. Singh, V.P. Effects of Storm Direction and Duration on Infiltrating Planar Flow with Partial Coverage. Hydrol. Process. 2005, 19, 969–992. [Google Scholar] [CrossRef]
  37. Singh Vijay, P. Dwivedi Anuj Kumar Analytical Solution of Kinematic Wave Equation for Overland Flow Due to Storms Moving at a Velocity Lower than Flow Velocity. J. Hydrol. Eng. 2023, 28, 04023034. [Google Scholar] [CrossRef]
  38. Surkan, A.J. Simulation of Storm Velocity Effects on Flow from Distributed Channel Networks. Water Resour. Res. 1974, 10, 1149–1160. [Google Scholar] [CrossRef]
  39. Foroud, N.; Broughton, R.S.; Austin, G.L. THE EFFECTS OF A MOVING RAINSTORM ON DIRECT RUNOFF PROPERTIES. JAWRA J. Am. Water Resour. Assoc. 1984, 20, 87–91. [Google Scholar] [CrossRef]
  40. Ngirane-Katashaya, G.G.; Wheater, H.S. Hydrograph Sensitivity to Storm Kinematics. Water Resour. Res. 1985, 21, 337–345. [Google Scholar] [CrossRef]
  41. Ogden, F.L.; Richardson, J.R.; Julien, P.Y. Similarity in Catchment Response: 2. Moving Rainstorms. Water Resour. Res. 1995, 31, 1543–1547. [Google Scholar] [CrossRef]
  42. de Lima, J.L.M.P.; Singh, V.P. The Influence of the Pattern of Moving Rainstorms on Overland Flow. Adv. Water Resour. 2002, 25, 817–828. [Google Scholar] [CrossRef]
  43. Gao, S.; Fang, Z.N. Investigating Hydrologic Responses to Spatio-Temporal Characteristics of Storms Using a Dynamic Moving Storm Generator. Hydrol. Process. 2019, 33, 2729–2744. [Google Scholar] [CrossRef]
  44. Smith, M.B.; Koren, V.I.; Zhang, Z.; Reed, S.M.; Pan, J.-J.; Moreda, F. Runoff Response to Spatial Variability in Precipitation: An Analysis of Observed Data. J. Hydrol. 2004, 298, 267–286. [Google Scholar] [CrossRef]
  45. Zoccatelli, D.; Borga, M.; Viglione, A.; Chirico, G.B.; Blöschl, G. Spatial Moments of Catchment Rainfall: Rainfall Spatial Organisation, Basin Morphology, and Flood Response. Hydrol. Earth Syst. Sci. 2011, 15, 3767–3783. [Google Scholar] [CrossRef]
  46. Yan, B.; Liu, Y.; Jiang, H.; Li, Z.; Yang, W.; Zhang, J. Study on Dynamic Critical Rainfall Warning Index Considering Spatial Heterogeneity of Rainfall. J. Hydraul. Eng. 2020, 51, 342–348. (In Chinese) [Google Scholar]
  47. Ding, J. Variable Unit Hydrograph. J. Hydrol. 1974, 22, 53–69. [Google Scholar] [CrossRef]
  48. Chen, S.J.; Singh, V.P. Derivation of a New Variable Instantaneous Unit Hydrograph. J. Hydrol. 1986, 88, 25–42. [Google Scholar] [CrossRef]
  49. Lee, K.T.; Chen, N.-C.; Chung, Y.-R. Derivation of Variable IUH Corresponding to Time-Varying Rainfall Intensity during Storms/Dérivation d’un HUI Variable Correspondant à l’évolution Temporelle de l’intensité Pluviométrique Durant Les Averses. Hydrol. Sci. J. 2008, 53, 323–337. [Google Scholar] [CrossRef]
  50. Jeong, M.; Kim, D.-H. Instantaneous Physical Rainfall–Runoff Prediction Technique Using a Power–Law Relationship between Time to Peak and Peak Flow of an Instantaneous Unit Hydrograph and the Rainfall Excess Intensity. J. Hydroinform. 2023, 25, 415–431. [Google Scholar] [CrossRef]
  51. Devlin, J.; Chang, M.-W.; Lee, K.; Toutanova, K. Bert: Pre-Training of Deep Bidirectional Transformers for Language Understanding. In Proceedings of the 2019 Conference of the North American Chapter of the Association for Computational Linguistics: Human Language Technologies, Minneapolis, MN, USA, 2–7 June 2019; pp. 4171–4186. [Google Scholar]
  52. Nam, H.; Han, B. Learning Multi-Domain Convolutional Neural Networks for Visual Tracking. In Proceedings of the 2016 IEEE Conference on Computer Vision and Pattern Recognition (CVPR), Las Vegas, NV, USA, 27 June 2016; pp. 4293–4302. [Google Scholar]
  53. Xu, P.; Zhu, X.; Clifton, D.A. Multimodal Learning With Transformers: A Survey. IEEE Trans. Pattern Anal. Mach. Intell. 2023, 45, 12113–12132. [Google Scholar] [CrossRef] [PubMed]
  54. Zhao, G.; Pang, B.; Xu, Z.; Cui, L.; Wang, J.; Zuo, D.; Peng, D. Improving Urban Flood Susceptibility Mapping Using Transfer Learning. J. Hydrol. 2021, 602, 126777. [Google Scholar] [CrossRef]
  55. Read, J.S.; Jia, X.; Willard, J.; Appling, A.P.; Zwart, J.A.; Oliver, S.K.; Karpatne, A.; Hansen, G.J.A.; Hanson, P.C.; Watkins, W.; et al. Process-Guided Deep Learning Predictions of Lake Water Temperature. Water Resour. Res. 2019, 55, 9173–9190. [Google Scholar] [CrossRef]
  56. Xu, G.; Zhu, X.; Fu, D.; Dong, J.; Xiao, X. Automatic Land Cover Classification of Geo-Tagged Field Photos by Deep Learning. Environ. Model. Softw. 2017, 91, 127–134. [Google Scholar] [CrossRef]
  57. Nash, J. The Form of the Instantaneous Unit Hydrograph. Comptes Rendus Rapp. Assem. Gen. Tor. 1957, 3, 114–121. [Google Scholar]
  58. Gocic, M.; Trajkovic, S. Analysis of Changes in Meteorological Variables Using Mann-Kendall and Sen’s Slope Estimator Statistical Tests in Serbia. Glob. Planet. Change 2013, 100, 172–182. [Google Scholar] [CrossRef]
  59. GB/T 22482-2008; Standard for Hydrological Information and Hydrological Forecasting. Standardization Administration of China: Beijing, China, 2008.
  60. Gong, J.; Liu, X.; Yao, C.; Li, Z.; Weerts, A.H.; Li, Q.; Bastola, S.; Huang, Y.; Xu, J. State Updating of the Xin’anjiang Model: Joint Assimilating Streamflow and Multi-Source Soil Moisture Data via the Asynchronous Ensemble Kalman Filter with Enhanced Error Models. Hydrol. Earth Syst. Sci. 2025, 29, 335–360. [Google Scholar] [CrossRef]
  61. Wu, K. Research on Flood Control Operation of Yingnahe Reservoir Coupled with Weather System. Master’s Thesis, Dalian University of Technology, Dalian, China, 2021. [Google Scholar]
  62. Wang, C. Study and Application of Rainfall Forecast Information in the Yingna River Reservoir. Master’s Thesis, Dalian University of Technology, Dalian, China, 2016. [Google Scholar]
  63. Dong, Z. Research on and Application of the Flood Control Dispatching of Yingnahe Reservoir. Master’s Thesis, Dalian University of Technology, Dalian, China, 2016. [Google Scholar]
  64. Chen, M. Study on Flood Forecasting and Forecasted Flood Operation Rule for Yingnahe Reservoir. Master’s Thesis, Dalian University of Technology, Dalian, China, 2015. [Google Scholar]
Figure 1. (a) Variation of gamma PDF (IUH) with different parameters; (b) Variation of gamma CDF (S-curve) with different parameters; (c) Variation of unit hydrograph derived from S-curve.
Figure 1. (a) Variation of gamma PDF (IUH) with different parameters; (b) Variation of gamma CDF (S-curve) with different parameters; (c) Variation of unit hydrograph derived from S-curve.
Water 17 02216 g001
Figure 2. Flowchart of MLTVUH modeling process.
Figure 2. Flowchart of MLTVUH modeling process.
Water 17 02216 g002
Figure 3. Location, topography and hydrological monitoring system of the Yingnahe watershed.
Figure 3. Location, topography and hydrological monitoring system of the Yingnahe watershed.
Water 17 02216 g003
Figure 4. Test results of the pre-trained MLP.
Figure 4. Test results of the pre-trained MLP.
Water 17 02216 g004
Figure 5. Comparison of the Variation Patterns of S-Curves and Unit Hydrographs with RSDI Between the Pre-trained and Fine-Tuned Models.
Figure 5. Comparison of the Variation Patterns of S-Curves and Unit Hydrographs with RSDI Between the Pre-trained and Fine-Tuned Models.
Water 17 02216 g005
Figure 6. Comparison of RSDI time series and trend lines for selected flood events with significant and insignificant MK test trends.
Figure 6. Comparison of RSDI time series and trend lines for selected flood events with significant and insignificant MK test trends.
Water 17 02216 g006
Figure 7. Comparison of trend line slopes of RSDI time series for flood events with significant and non-significant MK test trends.
Figure 7. Comparison of trend line slopes of RSDI time series for flood events with significant and non-significant MK test trends.
Water 17 02216 g007
Figure 8. Runoff routing performance metrics for flood events with insignificant MK test trends.
Figure 8. Runoff routing performance metrics for flood events with insignificant MK test trends.
Water 17 02216 g008
Figure 9. Comparison of typical flood simulation results.
Figure 9. Comparison of typical flood simulation results.
Water 17 02216 g009
Table 1. Comparison of calibrated Xinanjiang model parameters in this study and previous studies in the Yingnahe watershed.
Table 1. Comparison of calibrated Xinanjiang model parameters in this study and previous studies in the Yingnahe watershed.
ModuleParameter
Name
DescriptionValue in
This Study
Value in
Previous Study
EvapotranspirationWUMAveraged tension water capacity of the upper layer [mm]2320
WLMAveraged tension water capacity of the lower layer [mm]7180
WDMAveraged tension water capacity of the deep layer [mm]4230
KcThe ratio of potential evapotranspiration to pan evaporation0.850.84
CEvapotranspiration coefficient of the deeper layer0.150.15
Runoff generationWMAveraged tension water capacity [mm]136130
BExponent of the tension water capacity curve0.20.2
IMPercentage of impervious areas in the catchment0.030.02
Runoff separationSMAveraged free water storage capacity [mm]3845
EXExponent of the free water capacity curve1.661.74
KIDaily outflow coefficient of free water storage to interflow0.330.3
KGDaily outflow coefficient of free water storage to groundwater0.370.4
Table 2. Runoff Routing Simulation Results for Flood Events with Significant Rainfall Center Movement Trends.
Table 2. Runoff Routing Simulation Results for Flood Events with Significant Rainfall Center Movement Trends.
VUH Based on Event RSDIMLTVUH Based on RSDI Time Series
MK Test
Result
Flood
Events
Event RSDIPeak
Discharge
Simulation
[ m 3 / s ]
Peak
Discharge
Simulation
[ m 3 / s ]
REPTEP
[h]
NSEPeak
Discharge
Simulation
[ m 3 / s ]
REP
[%]
TEP
[h]
NSE
significant200508080.97773092326.44%−10.8607685.21%−10.911
200607301.019655551−15.88%10.787581−11.30%00.853
201208031.0051883219716.68%−10.84720036.37%00.918
201307311.001399355−11.03%00.917367−8.02%00.933
201607211.05625429516.14%−20.83528211.02%−20.893
201708031.08153033977−25.00%20.8304989−5.92%00.927
201808131.0648058627.08%00.9148556.21%00.934
201908111.00948561125.98%−30.75557017.53%−10.883
202107141.03784895712.85%00.9259289.43%00.931
202108211.048373283−24.13%20.739349−6.43%00.884
202308131.05549058719.80%00.9145246.94%00.928
18.27%
63.64%
63.64%0.848 8.56%
100%
90.91%0.909
Notes: In the statistics row, the values in the REP column present both the mean of the absolute values of peak discharge relative errors and the qualified rate of peak discharge simulation. The TEP column shows the accuracy rate of the peak time error simulation.
Disclaimer/Publisher’s Note: The statements, opinions and data contained in all publications are solely those of the individual author(s) and contributor(s) and not of MDPI and/or the editor(s). MDPI and/or the editor(s) disclaim responsibility for any injury to people or property resulting from any ideas, methods, instructions or products referred to in the content.

Share and Cite

MDPI and ACS Style

Dong, W.; Wang, G.; Liang, G.; He, B. Time-Variant Instantaneous Unit Hydrograph Based on Machine Learning Pretraining and Rainfall Spatiotemporal Patterns. Water 2025, 17, 2216. https://doi.org/10.3390/w17152216

AMA Style

Dong W, Wang G, Liang G, He B. Time-Variant Instantaneous Unit Hydrograph Based on Machine Learning Pretraining and Rainfall Spatiotemporal Patterns. Water. 2025; 17(15):2216. https://doi.org/10.3390/w17152216

Chicago/Turabian Style

Dong, Wenyuan, Guoli Wang, Guohua Liang, and Bin He. 2025. "Time-Variant Instantaneous Unit Hydrograph Based on Machine Learning Pretraining and Rainfall Spatiotemporal Patterns" Water 17, no. 15: 2216. https://doi.org/10.3390/w17152216

APA Style

Dong, W., Wang, G., Liang, G., & He, B. (2025). Time-Variant Instantaneous Unit Hydrograph Based on Machine Learning Pretraining and Rainfall Spatiotemporal Patterns. Water, 17(15), 2216. https://doi.org/10.3390/w17152216

Note that from the first issue of 2016, this journal uses article numbers instead of page numbers. See further details here.

Article Metrics

Back to TopTop