Geometry, Extent, and Chemistry of Fermentative Hot Spots in Municipal Waste Souk Sebt Landfill, Ouled Nemma, Beni Mellal, Morocco
Abstract
1. Introduction
2. Materials and Methods
2.1. Study Area
2.2. Soub Sekt Landfill
2.3. Self-Potential Measurements
2.4. SP Data Treatment
2.5. Leachates Sampling and Analysis
3. Results
3.1. Self-Potential Survey of the Landfill Site
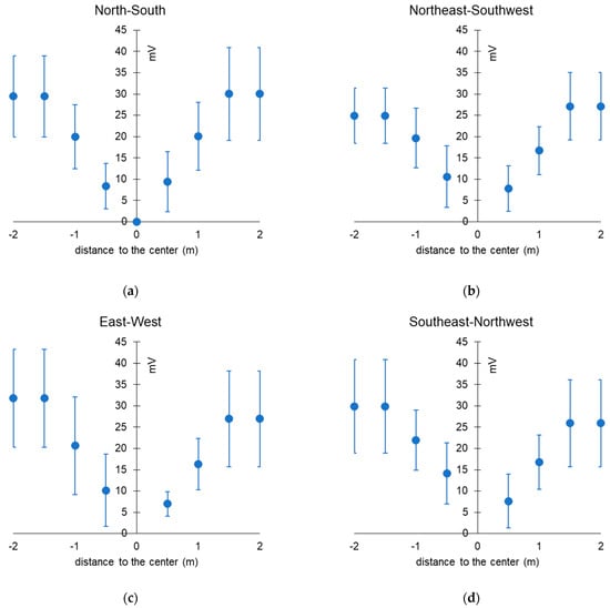
3.2. Size and Shape of Fermentative Hotspots
3.3. Leachates Characteristics
4. Discussion
4.1. Intermittent and Fleeting Fermentation Processes
4.2. Intense Fermentation Processes
5. Conclusions
Supplementary Materials
Author Contributions
Funding
Data Availability Statement
Acknowledgments
Conflicts of Interest
References
- Belevi, H.; Baccini, P. Long-term behavior of municipal solid waste landfills. Waste Manag. Res. 1989, 7, 43–56. [Google Scholar] [CrossRef]
- Han, Z.; Ma, H.; Shi, G.; He, L.; Wei, L.; Shi, Q. A review of groundwater contamination near municipal solid waste landfill sites in China. Sci. Total Environ. 2016, 569–570, 1255–1264. [Google Scholar] [CrossRef] [PubMed]
- Naudet, V.; Revil, A.; Rizzo, E.; Bottero, J.-Y.; Bégassat, P. Groundwater redox conditions and conductivity in a contaminant plume from geoelectrical investigations. Hydrol. Earth Syst. Sci. 2004, 8, 8–22. [Google Scholar] [CrossRef]
- Jhamnani, B.; Singh, S.K. Groundwater Contamination due to Bhalaswa Landfill Site in New Delhi. Int. J. Civ. Environ. Eng. 2009, 1, 121–125. [Google Scholar]
- Nazli, Y.; Hanson, J.L.; Wei-Lien, L. Heat Generation in Municipal Solid Waste Landfills. J. Geotech. Geoenvironmental Eng. 2005, 131, 1330–1344. [Google Scholar]
- Hanson, J.L.; Yeşiller, N.; Oettle, N.K. Spatial and Temporal Temperature Distributions in Municipal Solid Waste Landfills. J. Environ. Eng. 2010, 136, 804–814. [Google Scholar] [CrossRef]
- Martínez-Pagán, P.; Jardani, A.; Revil, A.; Haas, A. Self-potential monitoring of a salt plume. Geophysics 2010, 75, WA17–WA25. [Google Scholar] [CrossRef]
- Revil, A.; Naudet, V.; Nouzaret, J.; Pessel, M. Principles of electrography applied to self-potential electrokinetic sources and hydrogeological applications. Water Resour. Res. 2003, 39, 1–15. [Google Scholar] [CrossRef]
- Revil, A.; Titov, K.; Doussan, C.; Lapenna, V. Applications of The Self-Potential Method to Hydrological Problems. In Proceedings of the Applied Hydrogeophysics; Vereecken, H., Binley, A., Cassiani, G., Revil, A., Titov, K., Eds.; Springer: Dordrecht, The Netherlands, 2006; pp. 255–292. [Google Scholar]
- Arisalwadi, M. Rahmania Mapping leachate distribution based on the self-potential method in Manggar Landfill, Balikpapan Indonesia. J. Phys. Conf. Ser. 2021, 1763, 12013. [Google Scholar] [CrossRef]
- Stanly, R.; Yasala, S.; Oliver, D.H.; Nair, N.C.; Emperumal, K.; Subash, A. Hydrochemical appraisal of groundwater quality for drinking and irrigation: A case study in parts of southwest coast of Tamil Nadu, India. Appl. Water Sci. 2021, 11, 53. [Google Scholar] [CrossRef]
- Arora, T.; Linde, N.; Revil, A.; Castermant, J. Non-intrusive characterization of the redox potential of landfill leachate plumes from self-potential data. J. Contam. Hydrol. 2007, 92, 274–292. [Google Scholar] [CrossRef]
- Rani, P.; Piegari, E.; Di Maio, R.; Vitagliano, E.; Soupios, P.; Milano, L. Monitoring time evolution of self-potential anomaly sources by a new global optimization approach. Application to organic contaminant transport. J. Hydrol. 2019, 575, 955–964. [Google Scholar] [CrossRef]
- Gallas, J.D.F.; Taioli, F.; Malagutti Filho, W. Induced polarization, resistivity, and self-potential: A case history of contamination evaluation due to landfill leakage. Environ. Earth Sci. 2011, 63, 251–261. [Google Scholar] [CrossRef]
- Naudet, V.; Revil, A.; Bottero, J.-Y.; Bégassat, P. Relationship between self-potential (SP) signals and redox conditions in contaminated groundwater. Geophys. Res. Lett. 2003, 30, 2091. [Google Scholar] [CrossRef]
- Naudet, V.; Gourry, J.C.; Girard, F.; Mathieu, F.; Saada, A. 3D electrical resistivity tomography to locate DNAPL contamination around a housing estate. Near Surf. Geophys. 2014, 12, 351–360. [Google Scholar] [CrossRef]
- Cui, Y.A.; Liu, L.; Zhu, X. Unscented Kalman filter assimilation of time-lapse self-potential data for monitoring solute transport. J. Geophys. Eng. 2017, 14, 920–929. [Google Scholar] [CrossRef]
- Revil, A.; Mendonça, C.A.; Atekwana, E.A.; Kulessa, B.; Hubbard, S.S.; Bohlen, K.J. Understanding biogeobatteries: Where geophysics meets microbiology. J. Geophys. Res. Biogeosciences 2010, 115, G1. [Google Scholar] [CrossRef]
- Artíñano, B.; Gómez-Moreno, F.J.; Díaz, E.; Amato, F.; Pandolfi, M.; Alonso-Blanco, E.; Coz, E.; García-Alonso, S.; Becerril-Valle, M.; Querol, X.; et al. Outdoor and indoor particle characterization from a large and uncontrolled combustion of a tire landfill. Sci. Total Environ. 2017, 593–594, 543–551. [Google Scholar] [CrossRef]
- Barry, A.A.; Yameogo, S.; Ayach, M.; Jabrane, M.; Tiouiouine, A.; Nakolendousse, S.; Lazar, H.; Filki, A.; Touzani, M.; Mohsine, I. Mapping Contaminant Plume at a Landfill in a Crystalline Basement Terrain in Ouagadougou, Burkina Faso, Using Self-Potential Geophysical Technique. Water 2021, 13, 1212. [Google Scholar] [CrossRef]
- Touzani, M.; Kacimi, I.; Kassou, N.; Morarech, M.; Bahaj, T.; Valles, V.; Barbiero, L.; Yameogo, S. El impacto del vertedero de Oum Azza sobre la calidad de las aguas subterráneas de Rabat (Marruecos). Cuad. Geográficos 2019, 58, 68–82. [Google Scholar] [CrossRef]
- El Mouine, Y.; El Hamdi, A.; Morarech, M.; Kacimi, I.; Touzani, M.; Mohsine, I.; Tiouiouine, A.; Ouardi, J.; Zouahri, A.; Yachou, H.; et al. Landfill Pollution Plume Survey in the Moroccan Tadla Using Spontaneous Potential. Water 2021, 13, 910. [Google Scholar] [CrossRef]
- Touzani, M.; Mohsine, I.; Ouardi, J.; Kacimi, I.; Morarech, M.; El Bahajji, M.H.; Bouramtane, T.; Tiouiouine, A.; Yameogo, S.; El Mahrad, B. Mapping the Pollution Plume Using the Self-Potential Geophysical Method: Case of Oum Azza Landfill, Rabat, Morocco. Water 2021, 13, 961. [Google Scholar] [CrossRef]
- Massoni, C.; Missante, G.; Beaudet, G.; Combes, M.; Etienne, H.P.; Ionesco, T. La plaine du Tadla. Cah. Rech. Agron. 1967, 24, 163–194. [Google Scholar]
- ABHOER. Etude D’actualisation du Plan Directeur D’aménagement Intègre des Ressources en eau (PDAIRE) de la zone D’action de L’agence du bassin Hydraulique de l’Oum Er Rbia: Données Génerales sur la Plaine du Tadla; ABHOER: Rabat, Morocco, 2008. [Google Scholar]
- Merzouki, H.; Hanine, H.; Lekhlif, B.; Latrache, L.; Mandi, L.; Sinan, M. Physicochemical Characterization of Leachate Discharge Fkih Ben Salah from Morocco. J. Mater. Environ. Sci. 2015, 6, 1354–1363. [Google Scholar]
- Van Loon, G.W.; Duffy, S.J. Environmental Chemistry: A Global Perspective, 4th ed.; Oxford University Press: Oxford, UK, 2017. [Google Scholar]
- El Ouali, A.; Roubil, A.; Lahrach, A.; Mudry, J.; El Ghali, T.; Qurtobi, M.; El Hafyani, M.; Alitane, A.; El Hmaidi, A.; Essahlaoui, A.; et al. Isotopic Characterization of Rainwater for the Development of a Local Meteoric Water Line in an Arid Climate: The Case of the Wadi Ziz Watershed (South-Eastern Morocco). Water 2022, 14, 779. [Google Scholar] [CrossRef]
- Naudet, V.; Revil, A. A sandbox experiment to investigate bacteria-mediated redox processes on self-potential signals. Geophys. Res. Lett. 2005, 32, L11405. [Google Scholar] [CrossRef]
- Gonzalez-Valencia, R.; Magana-Rodriguez, F.; Cristóbal, J.; Thalasso, F. Hotspot detection and spatial distribution of methane emissions from landfills by a surface probe method. Waste Manag. 2016, 55, 299–305. [Google Scholar] [CrossRef] [PubMed]
- Karimi, N.; Ng, K.T.W.; Richter, A. Prediction of fugitive landfill gas hotspots using a random forest algorithm and Sentinel-2 data. Sustain. Cities Soc. 2021, 73, 103097. [Google Scholar] [CrossRef]
- Wimmer, B.; Hrad, M.; Huber-Humer, M.; Watzinger, A.; Wyhlidal, S.; Reichenauer, T.G. Stable isotope signatures for characterising the biological stability of landfilled municipal solid waste. Waste Manag. 2013, 33, 2083–2090. [Google Scholar] [CrossRef]
- Xie, S.; Ma, Y.; Strong, P.J.; Clarke, W.P. Fluctuation of dissolved heavy metal concentrations in the leachate from anaerobic digestion of municipal solid waste in commercial scale landfill bioreactors: The effect of pH and associated mechanisms. J. Hazard. Mater. 2015, 299, 577–583. [Google Scholar] [CrossRef]
- Rittgers, J.B.; Revil, A.; Karaoulis, M.; Mooney, M.A.; Slater, L.D.; Atekwana, E.A. Self-potential signals generated by the corrosion of buried metallic objects with application to contaminant plumes. Geophysics 2013, 78, EN65–EN82. [Google Scholar] [CrossRef]
- Ilgen, G.; Glindemann, D.; Herrmann, R.; Hertel, F.; Huang, J.-H. Organometals of tin, lead and mercury compounds in landfill gases and leachates from Bavaria, Germany. Waste Manag. 2008, 28, 1518–1527. [Google Scholar] [CrossRef] [PubMed]









| Parameter | F1 | F2 | Parameter | F1 | F2 | Parameter | F1 | F2 |
|---|---|---|---|---|---|---|---|---|
| Li | 1.00 | 0.01 | Zn | 1.00 | 0.06 | F− | 1.00 | −0.03 |
| B | 1.00 | −0.01 | As | 0.94 | 0.33 | Cl− | 0.99 | 0.16 |
| Na | 1.00 | 0.05 | Rb | 1.00 | 0.04 | NO2− | 0.99 | −0.14 |
| Mg | 1.00 | −0.06 | Sr | 0.99 | −0.10 | Br− | 0.96 | 0.27 |
| Al | 0.53 | 0.85 | Y | 0.99 | 0.11 | NO3− | 0.85 | 0.53 |
| S | 1.00 | −0.07 | Mo | −0.10 | −0.99 | SO42− | 1.00 | −0.09 |
| K | 1.00 | 0.05 | Cd | 0.81 | −0.58 | Na+ | 0.99 | 0.15 |
| Ca | 0.99 | −0.10 | Sb | 1.00 | −0.02 | NH4+ | 1.00 | 0.05 |
| Ti | −0.02 | 1.00 | Cs | 1.00 | 0.06 | K+ | 0.99 | 0.13 |
| V | 0.99 | 0.16 | Ba | 1.00 | −0.05 | Mg2+ | 1.00 | −0.07 |
| Cr | 0.52 | 0.85 | Tl | −0.99 | 0.17 | Ca2+ | 0.99 | −0.16 |
| Mn | 0.99 | −0.16 | Pb | 0.95 | 0.32 | SiO2 | −0.04 | −1.00 |
| Fe | 0.99 | −0.16 | U | 0.89 | −0.46 | pH | −0.61 | 0.79 |
| Co | 1.00 | 0.05 | EC | 0.90 | 0.43 | T °C | 0.85 | −0.52 |
| Ni | 1.00 | 0.05 | HCO3− | 1.00 | −0.04 | Eh | 0.32 | −0.95 |
| Cu | 1.00 | 0.10 | TOC | 0.85 | −0.52 |
Disclaimer/Publisher’s Note: The statements, opinions and data contained in all publications are solely those of the individual author(s) and contributor(s) and not of MDPI and/or the editor(s). MDPI and/or the editor(s) disclaim responsibility for any injury to people or property resulting from any ideas, methods, instructions or products referred to in the content. |
© 2024 by the authors. Licensee MDPI, Basel, Switzerland. This article is an open access article distributed under the terms and conditions of the Creative Commons Attribution (CC BY) license (https://creativecommons.org/licenses/by/4.0/).
Share and Cite
El Mouine, Y.; El Hamdi, A.; Bousouis, A.; El Jarjini, Y.; Touzani, M.; Valles, V.; Barbiero, L.; Morarech, M. Geometry, Extent, and Chemistry of Fermentative Hot Spots in Municipal Waste Souk Sebt Landfill, Ouled Nemma, Beni Mellal, Morocco. Water 2024, 16, 795. https://doi.org/10.3390/w16060795
El Mouine Y, El Hamdi A, Bousouis A, El Jarjini Y, Touzani M, Valles V, Barbiero L, Morarech M. Geometry, Extent, and Chemistry of Fermentative Hot Spots in Municipal Waste Souk Sebt Landfill, Ouled Nemma, Beni Mellal, Morocco. Water. 2024; 16(6):795. https://doi.org/10.3390/w16060795
Chicago/Turabian StyleEl Mouine, Yousra, Amal El Hamdi, Abderrahim Bousouis, Youssouf El Jarjini, Meryem Touzani, Vincent Valles, Laurent Barbiero, and Moad Morarech. 2024. "Geometry, Extent, and Chemistry of Fermentative Hot Spots in Municipal Waste Souk Sebt Landfill, Ouled Nemma, Beni Mellal, Morocco" Water 16, no. 6: 795. https://doi.org/10.3390/w16060795
APA StyleEl Mouine, Y., El Hamdi, A., Bousouis, A., El Jarjini, Y., Touzani, M., Valles, V., Barbiero, L., & Morarech, M. (2024). Geometry, Extent, and Chemistry of Fermentative Hot Spots in Municipal Waste Souk Sebt Landfill, Ouled Nemma, Beni Mellal, Morocco. Water, 16(6), 795. https://doi.org/10.3390/w16060795

