Impact of Levee-Breach Width on the Channel–Levee–Floodplain: A Case Study in the Huaihe River Basin, China
Abstract
1. Introduction
2. Materials and Methods
2.1. Study Area
2.2. Flood Analysis Model
2.3. Scenarios Setting
2.4. Feature Extraction
3. Results
3.1. Inflow through the Breach
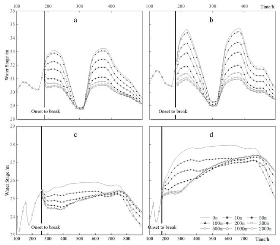
3.2. Fluvial Flood after Breaching
3.3. Flood Hazard Factors in Flood Control Protection Area
4. Discussion
4.1. Range of Influenced by the Breach in the River Channel
4.2. Turning Point of Breach Width in the Effective Restricting of the Inundation Area
4.3. Effective Intentional Breach Width
5. Conclusions
Author Contributions
Funding
Data Availability Statement
Acknowledgments
Conflicts of Interest
References
- Serra-Llobet, A.; Tourment, R.; Montané, A.; Buffin-Belanger, T. Managing Residual Flood Risk behind Levees: Comparing USA, France, and Quebec (Canada). J. Flood Risk Manag. 2022, 15, e12785. [Google Scholar] [CrossRef]
- Fiori, A.; Mancini, C.P.; Annis, A.; Lollai, S.; Volpi, E.; Nardi, F.; Grimaldi, S. The Role of Residual Risk on Flood Damage Assessment: A Continuous Hydrologic-Hydraulic Modelling Approach for the Historical City of Rome, Italy. J. Hydrol. Reg. Stud. 2023, 49, 101506. [Google Scholar] [CrossRef]
- Bomers, A.; Schielen, R.M.J.; Hulscher, S.J.M.H. Consequences of Dike Breaches and Dike Overflow in a Bifurcating River System. Nat. Hazards 2019, 97, 309–334. [Google Scholar] [CrossRef]
- Danka, J.; Zhang, L.M. Dike Failure Mechanisms and Breaching Parameters. J. Geotech. Geoenviron. Eng. 2015, 141, 04015039. [Google Scholar] [CrossRef]
- Goeury, C.; Bacchi, V.; Zaoui, F.; Bacchi, S.; Pavan, S.; El Kadi Abderrezzak, K. Uncertainty Assessment of Flood Hazard Due to Levee Breaching. Water 2022, 14, 3815. [Google Scholar] [CrossRef]
- Maranzoni, A.; D’Oria, M.; Mazzoleni, M. Probabilistic Flood Hazard Mapping Considering Multiple Levee Breaches. Water Resour. Res. 2022, 58, e2021WR030874. [Google Scholar] [CrossRef]
- Tadesse, Y.B.; Fröhle, P. Modelling of Flood Inundation Due to Levee Breaches: Sensitivity of Flood Inundation against Breach Process Parameters. Water 2020, 12, 3566. [Google Scholar] [CrossRef]
- Vorogushyn, S.; Apel, H.; Merz, B. The Impact of the Uncertainty of Dike Breach Development Time on Flood Hazard. Phys. Chem. Earth Parts ABC 2011, 36, 319–323. [Google Scholar] [CrossRef]
- Ciullo, A.; de Bruijn, K.M.; Kwakkel, J.H.; Klijn, F. Accounting for the Uncertain Effects of Hydraulic Interactions in Optimising Embankments Heights: Proof of Principle for the IJssel River. J. Flood Risk Manag. 2019, 12, e12532. [Google Scholar] [CrossRef]
- Domeneghetti, A.; Vorogushyn, S.; Castellarin, A.; Merz, B.; Brath, A. Probabilistic Flood Hazard Mapping: Effects of Uncertain Boundary Conditions. Hydrol. Earth Syst. Sci. 2013, 17, 3127–3140. [Google Scholar] [CrossRef]
- Ranzi, R.; Bacchi, B.; Barontini, S.; Ferri, M.; Mazzoleni, M. Levee Breaches Statistics, “Geotechnical Uncertainty”, Residual Risk in Flood Hazard Mapping. In Proceedings of the 2013 IAHR World Congress, Chengdu, China, 8–13 September 2013; IAHR: Beijing, China, 2014. [Google Scholar]
- Robbins, B.; Corcoran, M. Calculation of Levee-Breach Widening Rates; Engineer Research and Development Center (U.S.): Vicksburg, MS, USA, 2022. [Google Scholar]
- Vorogushyn, S.; Merz, B.; Lindenschmidt, K.-E.; Apel, H. A New Methodology for Flood Hazard Assessment Considering Dike Breaches. Water Resour. Res. 2010, 46, 2009WR008475. [Google Scholar] [CrossRef]
- Dazzi, S.; Vacondio, R.; Mignosa, P.; Aureli, F. Assessment of Pre-Simulated Scenarios as a Non-Structural Measure for Flood Management in Case of Levee-Breach Inundations. Int. J. Disaster Risk Reduct. 2022, 74, 102926. [Google Scholar] [CrossRef]
- D’Oria, M.; Maranzoni, A.; Mazzoleni, M. Probabilistic Assessment of Flood Hazard Due to Levee Breaches Using Fragility Functions. Water Resour. Res. 2019, 55, 8740–8764. [Google Scholar] [CrossRef]
- Huthoff, F.; Remo, J.W.F.; Pinter, N. Improving Flood Preparedness Using Hydrodynamic Levee-Breach and Inundation Modelling: Middle Mississippi River, USA. J. Flood Risk Manag. 2015, 8, 2–18. [Google Scholar] [CrossRef]
- Yang, Y.; Yin, J.; Zhang, W.; Zhang, Y.; Lu, Y.; Liu, Y.; Xiao, A.; Wang, Y.; Song, W. Modeling of a Compound Flood Induced by the Levee Breach at Qianbujing Creek, Shanghai, during Typhoon Fitow. Nat. Hazards Earth Syst. Sci. 2021, 21, 3563–3572. [Google Scholar] [CrossRef]
- Ferrari, A.; Dazzi, S.; Vacondio, R.; Mignosa, P. Enhancing the Resilience to Flooding Induced by Levee Breaches in Lowland Areas: A Methodology Based on Numerical Modelling. Nat. Hazards Earth Syst. Sci. 2020, 20, 59–72. [Google Scholar] [CrossRef]
- Su, L.; Zhang, B.S.; Tian, Z.Z.; Xie, Z.G.; Yu, G.Q. Effect of Levee-Breach Width and Roughness on Flood Routing in Protected Zone of the Lower Yellow River. Yellow River 2021, 43, 49–52. [Google Scholar]
- He, X.J.; Xu, G.B.; Yuan, X.M. Effect of levee-breach width and water intrusion and recession on flood routine in flood protected zone. J. Water Resour. Water Eng. 2016, 27, 142–147. [Google Scholar]
- Sadio, M.; Anthony, E.J.; Diaw, A.T.; Dussouillez, P.; Fleury, J.T.; Kane, A.; Almar, R.; Kestenare, E. Shoreline Changes on the Wave-Influenced Senegal River Delta, West Africa: The Roles of Natural Processes and Human Interventions. Water 2017, 9, 357. [Google Scholar] [CrossRef]
- Min, Z.; Jun, X.; Cheng, H. New Challenges and Opportunities for Flood Control in the Huai River: Addressing a Changing River-Lake Relationship. Clim. Chang. 2012, 26, 40–47. [Google Scholar]
- Mingkai, Q.; Kai, W. Flood Management in China: The Huaihe River Basin as a Case Study. In Flood Risk Management; Hromadka, T., Rao, P., Eds.; InTech: London, UK, 2017; ISBN 978-953-51-3465-7. [Google Scholar]
- DHI. MIKE FLOOD 1D-2D Modelling User Manual; DHI: Hørsholm, Denmark, 2013. [Google Scholar]
- Alipour, A.; Jafarzadegan, K.; Moradkhani, H. Global Sensitivity Analysis in Hydrodynamic Modeling and Flood Inundation Mapping. Environ. Model. Softw. 2022, 152, 105398. [Google Scholar] [CrossRef]
- Farooq, U.; Taha Bakheit Taha, A.; Tian, F.; Yuan, X.; Ajmal, M.; Ullah, I.; Ahmad, M. Flood Modelling and Risk Analysis of Cinan Feizuo Flood Protection Area, Huaihe River Basin. Atmosphere 2023, 14, 678. [Google Scholar] [CrossRef]
- Teng, J.; Jakeman, A.J.; Vaze, J.; Croke, B.F.W.; Dutta, D.; Kim, S. Flood Inundation Modelling: A Review of Methods, Recent Advances and Uncertainty Analysis. Environ. Model. Softw. 2017, 90, 201–216. [Google Scholar] [CrossRef]
- Ministry of Water Resources, PRC. Technical Rules for the Flood Risk Mapping 2013; Ministry of Water Resources (PRC): Beijing, China, 2013.
- Serra-Llobet, A.; Kondolf, G.M.; Magdaleno, F.; Keenan-Jones, D. Flood Diversions and Bypasses: Benefits and Challenges. WIREs Water 2022, 9, e1562. [Google Scholar] [CrossRef]
- Apel, H.; Merz, B.; Thieken, A.H. Influence of Dike Breaches on Flood Frequency Estimation. Comput. Geosci. 2009, 35, 907–923. [Google Scholar] [CrossRef]
- de Bruijn, K.M.; Diermanse, F.L.M.; Beckers, J.V.L. An Advanced Method for Flood Risk Analysis in River Deltas, Applied to Societal Flood Fatality Risk in the Netherlands. Nat. Hazards Earth Syst. Sci. 2014, 14, 2767–2781. [Google Scholar] [CrossRef]
- Merz, B.; Blöschl, G.; Vorogushyn, S.; Dottori, F.; Aerts, J.C.J.H.; Bates, P.; Bertola, M.; Kemter, M.; Kreibich, H.; Lall, U.; et al. Causes, Impacts and Patterns of Disastrous River Floods. Nat. Rev. Earth Environ. 2021, 2, 592–609. [Google Scholar] [CrossRef]
- Al-Hafidh, I.A.I.; Calamak, M.; LaRocque, L.A.; Chaudhry, M.H.; Imran, J. Experimental Investigation of Flood Management by an Instantaneous Levee Breach. J. Hydraul. Eng. 2022, 148, 04021056. [Google Scholar] [CrossRef]








| No. | Breach Location | Breach Width/m | Hydrological Condition |
|---|---|---|---|
| 1–7 | Yuanzhai at the left levee of the Yinghe River | 10, 50, 100, 200, 300, 500, 1000 | 50-year Yinghe River flood |
| 8–14 | 100-year Yinghe River flood | ||
| 15–20 | Yushanba at the left levee of the Huaihe River | 50, 100, 200, 500, 1000, 2000 | 100-year Huaihe River flood |
| 21–26 | 300-year Huaihe River flood |
| Breach Width/m | Increment of Inundation Depth/m | Increment of Flow Velocity/(m/s) | Increment of Inundation Time/d | |||
|---|---|---|---|---|---|---|
| Small Breach | Large Breach | Within the Inundation Area by Small Breach | Additional Inundation Area of Large Breach | Within the Inundation Area by Small Breach | Additional Inundation Area of Large Breach | Within the Inundation Area by Small Breach |
| 10 | 50 | 0.68 | 0.91 | 0.06 | 0.11 | 6.30 |
| 50 | 100 | 0.33 | 1.29 | 0.03 | 0.10 | 2.72 |
| 100 | 200 | 0.42 | 0.42 | 0.03 | 0.06 | 1.93 |
| 200 | 300 | 0.16 | 0.23 | 0.01 | 0.04 | 0.96 |
| 300 | 500 | 0.08 | 0.10 | 0.01 | 0.05 | 0.51 |
| 500 | 1000 | 0.03 | 0.06 | 0.00 | 0.04 | 0.22 |
Disclaimer/Publisher’s Note: The statements, opinions and data contained in all publications are solely those of the individual author(s) and contributor(s) and not of MDPI and/or the editor(s). MDPI and/or the editor(s) disclaim responsibility for any injury to people or property resulting from any ideas, methods, instructions or products referred to in the content. |
© 2024 by the authors. Licensee MDPI, Basel, Switzerland. This article is an open access article distributed under the terms and conditions of the Creative Commons Attribution (CC BY) license (https://creativecommons.org/licenses/by/4.0/).
Share and Cite
Hu, Y.; Qin, T.; Dong, G.; Zhang, Q.; Chen, X.; Wang, M.; Ruan, H.; Wang, L. Impact of Levee-Breach Width on the Channel–Levee–Floodplain: A Case Study in the Huaihe River Basin, China. Water 2024, 16, 413. https://doi.org/10.3390/w16030413
Hu Y, Qin T, Dong G, Zhang Q, Chen X, Wang M, Ruan H, Wang L. Impact of Levee-Breach Width on the Channel–Levee–Floodplain: A Case Study in the Huaihe River Basin, China. Water. 2024; 16(3):413. https://doi.org/10.3390/w16030413
Chicago/Turabian StyleHu, Yong, Tianling Qin, Guoqiang Dong, Qibing Zhang, Xiaofeng Chen, Minjie Wang, Hongwei Ruan, and Lei Wang. 2024. "Impact of Levee-Breach Width on the Channel–Levee–Floodplain: A Case Study in the Huaihe River Basin, China" Water 16, no. 3: 413. https://doi.org/10.3390/w16030413
APA StyleHu, Y., Qin, T., Dong, G., Zhang, Q., Chen, X., Wang, M., Ruan, H., & Wang, L. (2024). Impact of Levee-Breach Width on the Channel–Levee–Floodplain: A Case Study in the Huaihe River Basin, China. Water, 16(3), 413. https://doi.org/10.3390/w16030413

