Equity Assessment of Groundwater Vulnerability and Risk in Drinking Water Supplies in Arid Regions
Abstract
1. Introduction
1.1. Background
1.1.1. Water Quality Regulations
1.1.2. Disparities in Drinking Water Contamination
1.1.3. Complex Factors Influencing Disparities
1.1.4. Groundwater Quality in the Arid Regions
1.2. Research Gaps and Objectives
- Estimate nitrate (NO3) and arsenic (As) concentrations in groundwater sources of drinking water in Arizona.
- Identify socioeconomic and demographic subgroups using contaminated groundwater sources where contaminants are detected or exceed health-based regulatory limits.
- Characterize contamination risk disparities by examining equity dimensions of potential exposure, system vulnerability, and regulatory response.
2. Material and Methods
2.1. Study Area
2.2. Data Sources
- Water System Characteristics: Service area boundaries, locations of public and private wells, and compliance data from the Arizona Department of Water Resources (ADWR), Environmental Protection Agency (EPA), and Navajo Nation.
- Population and Housing Characteristics: Demographic and socioeconomic indicators—homeownership, water system types, and institutional facilities—representing income, social resources, and political factors relevant to community adaptation to groundwater hazards. Data were sourced from the U.S. Census Bureau’s 2020 Decennial Census.
- Groundwater Basin Characteristics: Aquifer types, policy designations, and well counts provided by ADWR and the U.S. Geological Survey (USGS).
- Water Quality Data: Arsenic and nitrate concentrations from the EPA’s Six-Year Review datasets, Arizona Department of Environmental Quality (ADEQ), USGS, and published studies. These data were accessed through agency portals, Freedom of Information Act (FOIA) requests, and relevant literature.
- Supplementary Data: Building footprints, residential parcels, and water pipeline networks from county governments and online platforms.
2.3. Justification of Measures for Assessing Vulnerability, Risk, and Equity
2.4. Data Processing
- Mapping Water Supply Service Areas: Utilizing data on exempt domestic wells (small private wells typically used for household purposes and exempt from certain water withdrawal regulations), water system supply boundaries, residential parcels, building footprints, and census block group boundaries, and applying methods used in previous studies, service areas were delineated and categorized into two types: CWSs, which are regulated under the SDWA, and DWAs, which rely on ‘unregulated’ private domestic wells as the primary water supply source [70]. A total of 1881 service areas were mapped, comprising 55.3% CWSs and 44.7% DWAs.
- Estimating Community Characteristics: Population estimates and socioeconomic indicators were derived from census data and assigned to CWS and DWA service areas using spatial data management tools in ArcGIS. These population estimates were then used to classify each system by the size of the population utilizing these water sources. [37]. We used the Safe Drinking Water Information System (SDWIS) Service Area module to validate census data counts used for identifying and mapping populations within CWS service areas [34]. Additionally, drinking water sources were classified by the primacy agency code, which specifies the regulatory oversight agency for each system, typically a State agency, Tribal authority, or the EPA region.
- Groundwater Subbasin characteristics: Subbasin hydrological and geological attributes were derived from USGS feature class data.
- Linking Variables to Service Areas: Demographic and socioeconomic characteristics were assigned to 1041 CWS and 840 DWA service areas using unique identifiers for census block groups, as well as EPA and ADEQ water systems. An areal apportionment approach, commonly employed in environmental justice literature, was used to attribute these data based on the geographic boundaries of the service areas [41,83], while spatial overlay methods were applied to incorporate dominant subbasin characteristics.
2.4.1. Water Quality Variables
2.4.2. Contaminant-Specific Data Processing
2.5. Contamination Risk Assessment
3. Results
3.1. Contaminant Detection Disparities
3.1.1. Arsenic Detection
3.1.2. Nitrate Detection
3.2. Contaminant MCL Exceedance in Groundwater Sources
Arsenic and Nitrate
3.3. Identification of Key Factors Influencing MCL Exceedances in Groundwater Sources
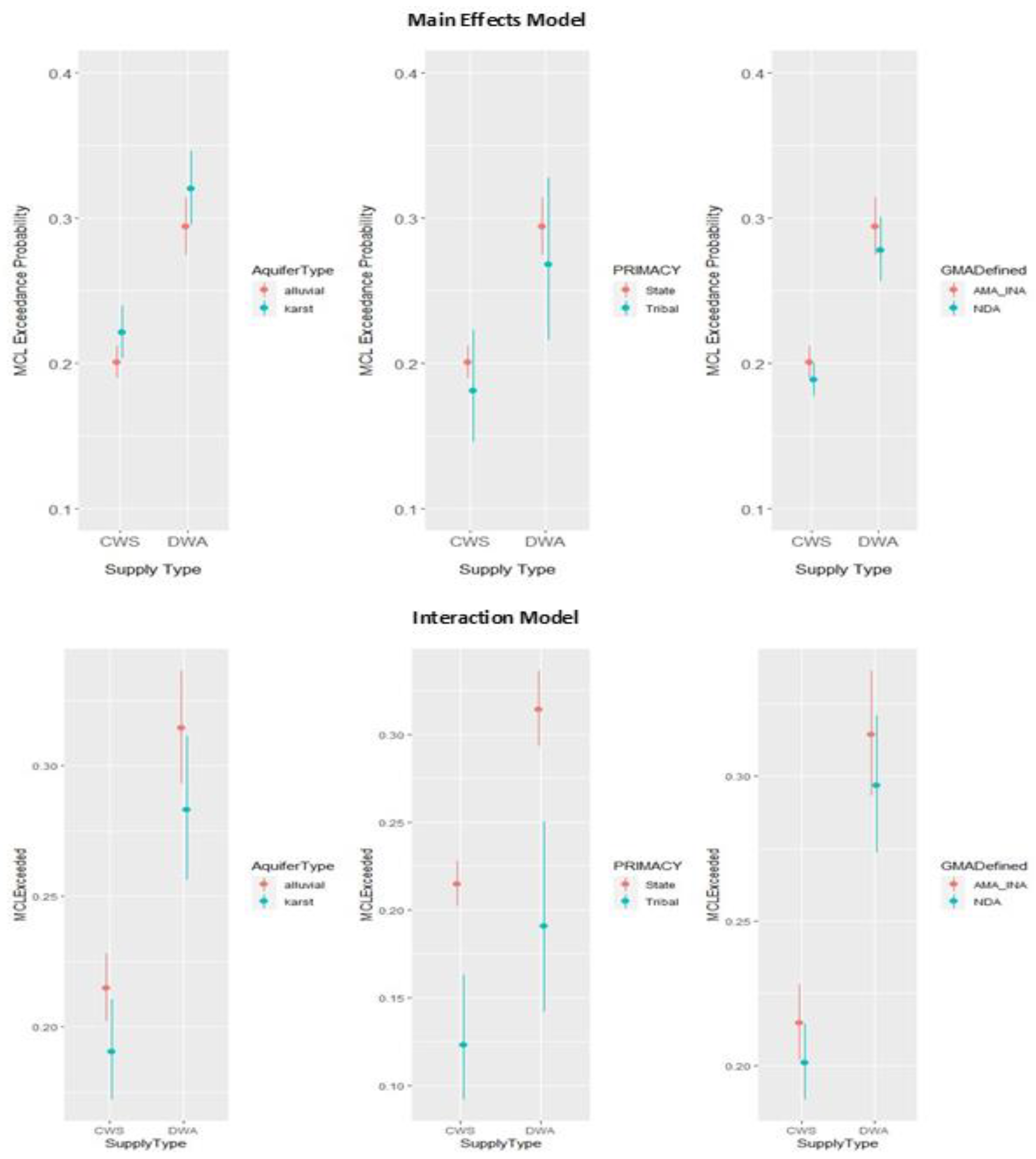
3.4. Main and Interaction Effects of Predictors on Exceedances (Logistic Regression Models)
3.5. Key Factors Influencing MCL Exceedances
3.6. Spatial Distribution of Arsenic and Nitrate in Groundwater Sources
4. Discussion
4.1. Disparities in Arsenic and Nitrate Detection and MCL Exceedances
4.1.1. Water Supply Type and Regulatory Jurisdiction
4.1.2. Aquifer Type
4.1.3. Socioeconomic and Demographic Disparities
4.2. Comparative Models and Implications for Groundwater Management and Policy
4.3. Policy Implications, Recommendations, and Future Research
5. Conclusions
Author Contributions
Funding
Data Availability Statement
Acknowledgments
Conflicts of Interest
Appendix A
| Predictors | Arsenic | Nitrate | ||||
|---|---|---|---|---|---|---|
| Estimate | p Value | log_odds | Estimate | p Value | log_odds | |
| Water Access | ||||||
| Mean_20 | 0.016 | 0.00 | 1.02 | 0.004 | 0.00 | 1.00 |
| Policy and Aquifer | ||||||
| GMADefinedNDA | 0.191 | 0.00 | 0.83 | −1.496 | 0.00 | 0.22 |
| PRIMACYTribal | −0.409 | 0.08 | 0.66 | −1.591 | 0.00 | 0.20 |
| AquiferTypekarst | −0.022 | 0.66 | 0.98 | −0.292 | 0.00 | 0.75 |
| SupplyTypeDWA | −0.603 | 0.00 | 0.55 | −7.687 | 0.00 | 0.00 |
| Demography | ||||||
| Black_pcnt | 0.023 | 0.01 | 1.02 | −0.005 | 0.54 | 0.99 |
| Hisp_Lat_pcnt | −0.001 | 0.22 | 1.00 | −0.016 | 0.00 | 0.98 |
| Indian_Alaska_pcnt | 0.008 | 0.01 | 1.01 | 0.016 | 0.00 | 1.02 |
| Tot_Female_pcnt | 0.020 | 0.00 | 1.02 | −0.004 | 0.10 | 1.00 |
| under_5yrs_pcnt | −0.007 | 0.01 | 0.99 | −0.004 | 0.00 | 1.00 |
| over_65yrs_pcnt | −0.001 | 0.00 | 1.00 | 0.000 | 0.03 | 1.00 |
| Housing | ||||||
| rural_pcnt | −0.001 | 0.30 | 1.00 | −0.006 | 0.00 | 0.99 |
| Family_mchh_pcnt | −0.014 | 0.00 | 0.99 | 0.002 | 0.32 | 1.00 |
| Familyhh_pcnt | 0.019 | 0.00 | 1.02 | −0.008 | 0.00 | 0.99 |
| For_migrant_workers_pcnt | 0.042 | 0.00 | 1.04 | −0.027 | 0.03 | 0.97 |
| For_rent_pcnt | 0.045 | 0.00 | 1.05 | −0.01 | 0.13 | 0.99 |
| Socioeconomic | ||||||
| HU_Owned_clear_pcnt | 0.000 | 1.00 | 1.00 | −0.001 | 0.72 | 1.00 |
| HU_Owned_loan_pcnt | −0.002 | 0.49 | 1.00 | −0.006 | 0.02 | 0.99 |
| HU_Renter_occupied_pcnt | −0.008 | 0.00 | 0.99 | −0.009 | 0.00 | 0.99 |
| seasonal_pcnt | −0.001 | 0.80 | 1.00 | −0.016 | 0.00 | 0.98 |
| Institutional Facilities | ||||||
| Instn_pcnt | −0.001 | 0.52 | 1.00 | −0.014 | 0.00 | 0.99 |
| Non_Instn_pcnt | 0.002 | 0.00 | 1.00 | 0.004 | 0.00 | 1.00 |
| Instn_Correctional_pcnt | 0.002 | 0.05 | 1.00 | 0.005 | 0.00 | 1.00 |
| Instn_Juvenile_pcnt | −0.004 | 0.01 | 1.00 | 0.011 | 0.00 | 1.01 |
| Instn_Nursing_pcnt | −0.004 | 0.00 | 1.00 | 0.000 | 0.74 | 1.00 |
| Non_Instn_Student_pcnt | −0.005 | 0.00 | 1.00 | 0.004 | 0.05 | 1.00 |
| Non_Instn_Military_pcnt | −0.003 | 0.24 | 1.00 | −0.011 | 0.00 | 0.99 |
| Interaction Terms | ||||||
| rural_pcnt:bipoc_pcnt | 0.000 | 0.00 | 1.00 | 0.000 | 0.00 | 1.00 |
| AquiferTypekarst:Indian_Alaska_pcnt | −0.011 | 0.01 | 0.99 | −0.039 | 0.00 | 0.96 |
| PRIMACYTribal:AquiferTypekarst | 0.007 | 0.98 | 1.01 | 2.487 | 0.00 | 12.02 |
| Variables | Arsenic | Nitrate | ||||||||||
|---|---|---|---|---|---|---|---|---|---|---|---|---|
| Main Effects | Interactions | Main Effects | Interaction | |||||||||
| Est. | p Value | log odds | Est. | p Value | log odds | Est. | p Value | log odds | Est. | p Value | log odds | |
| Water Access | ||||||||||||
| Mean_10 | −0.012 | 0.000 | 0.99 | −0.011 | 0.015 | 0.99 | ||||||
| Mean_20 | 0.017 | 0.000 | 1.02 | 0.012 | 0.000 | 1.01 | 0.035 | 0.000 | 1.04 | 0.030 | 0.000 | 1.03 |
| Policy and Aquifer | ||||||||||||
| GMADefinedNDA | −0.078 | 0.061 | 0.92 | −0.083 | 0.046 | 0.92 | −0.864 | 0.000 | 0.42 | −0.851 | 0.000 | 0.43 |
| PRIMACYTribal | −0.128 | 0.410 | 0.88 | −0.668 | 0.001 | 0.51 | −0.899 | 0.000 | 0.41 | −1.048 | 0.000 | 0.35 |
| AquiferTypekarst | 0.123 | 0.006 | 1.13 | 0.103 | 0.035 | 1.11 | −1.161 | 0.000 | 0.31 | −0.921 | 0.000 | 0.40 |
| SupplyTypeDWA | 0.506 | 0.000 | 1.66 | 0.517 | 0.000 | 1.68 | 2.599 | 0.000 | 13.46 | 2.573 | 0.000 | 13.10 |
| Demography | ||||||||||||
| bipoc_pcnt | 0.000 | 0.000 | 1.00 | 0.000 | 0.062 | 1.00 | ||||||
| Black_pcnt | −0.109 | 0.000 | 0.90 | −0.115 | 0.000 | 0.89 | −0.034 | 0.002 | 0.97 | −0.030 | 0.006 | 0.97 |
| Hisp_Lat_pcnt | 0.002 | 0.061 | 1.00 | 0.003 | 0.002 | 1.00 | 0.014 | 0.000 | 1.01 | 0.013 | 0.000 | 1.01 |
| Indian_Alaska_pcnt | 0.003 | 0.112 | 1.00 | 0.010 | 0.000 | 1.01 | 0.019 | 0.000 | 1.02 | 0.023 | 0.000 | 1.02 |
| Tot_Female_pcnt | 0.006 | 0.009 | 1.01 | 0.005 | 0.024 | 1.00 | −0.009 | 0.007 | 0.99 | −0.009 | 0.006 | 0.99 |
| under_5yrs_pcnt | 0.010 | 0.000 | 1.01 | 0.009 | 0.000 | 1.01 | −0.002 | 0.424 | 1.00 | −0.004 | 0.131 | 1.00 |
| over_65yrs_pcnt | 0.000 | 0.093 | 1.00 | 0.000 | 0.157 | 1.00 | −0.001 | 0.154 | 1.00 | −0.001 | 0.094 | 1.00 |
| Housing | ||||||||||||
| rural_pcnt | 0.001 | 0.002 | 1.00 | 0.001 | 0.009 | 1.00 | 0.008 | 0.000 | 1.01 | 0.009 | 0.000 | 1.01 |
| Family_mchh_pcnt | −0.009 | 0.000 | 0.99 | −0.008 | 0.000 | 0.99 | −0.003 | 0.292 | 1.00 | −0.001 | 0.618 | 1.00 |
| Familyhh_pcnt | 0.004 | 0.020 | 1.00 | 0.004 | 0.033 | 1.00 | 0.003 | 0.299 | 1.00 | 0.002 | 0.404 | 1.00 |
| For_migrant_workers_pcnt | 0.086 | 0.000 | 1.09 | 0.084 | 0.000 | 1.09 | −0.008 | 0.472 | 0.99 | 0.000 | 0.966 | 1.00 |
| For_rent_pcnt | 0.019 | 0.001 | 1.02 | 0.015 | 0.011 | 1.02 | −0.012 | 0.298 | 0.99 | −0.007 | 0.534 | 0.99 |
| Socioeconomic | ||||||||||||
| HU_Owned_clear_pcnt | 0.014 | 0.000 | 1.01 | 0.013 | 0.000 | 1.01 | −0.017 | 0.000 | 0.98 | −0.015 | 0.000 | 0.99 |
| HU_Owned_loan_pcnt | 0.012 | 0.000 | 1.01 | 0.012 | 0.000 | 1.01 | −0.001 | 0.712 | 1.00 | 0.002 | 0.508 | 1.00 |
| HU_Renter_occupied_pcnt | 0.007 | 0.001 | 1.01 | 0.007 | 0.001 | 1.01 | −0.016 | 0.000 | 0.98 | −0.013 | 0.000 | 0.99 |
| seasonal_pcnt | 0.014 | 0.000 | 1.01 | 0.014 | 0.000 | 1.01 | 0.006 | 0.068 | 1.01 | 0.008 | 0.010 | 1.01 |
| Institutional Facilities | ||||||||||||
| Instn_pcnt | 0.016 | 0.000 | 1.02 | 0.015 | 0.000 | 1.02 | 0.008 | 0.015 | 1.01 | 0.010 | 0.001 | 1.01 |
| Non_Instn_pcnt | 0.002 | 0.001 | 1.00 | 0.001 | 0.001 | 1.00 | −0.008 | 0.000 | 0.99 | −0.008 | 0.000 | 0.99 |
| Instn_Correctional_pcnt | −0.001 | 0.582 | 1.00 | 0.000 | 0.724 | 1.00 | −0.009 | 0.000 | 0.99 | −0.010 | 0.000 | 0.99 |
| Instn_Juvenile_pcnt | −0.006 | 0.000 | 0.99 | −0.006 | 0.000 | 0.99 | −0.006 | 0.001 | 0.99 | −0.006 | 0.001 | 0.99 |
| Instn_Nursing_pcnt | −0.005 | 0.000 | 1.00 | −0.005 | 0.000 | 1.00 | −0.006 | 0.001 | 0.99 | −0.006 | 0.001 | 0.99 |
| Non_Instn_Student_pcnt | −0.008 | 0.000 | 0.99 | −0.008 | 0.000 | 0.99 | −0.015 | 0.039 | 0.99 | −0.014 | 0.060 | 0.99 |
| Non_Instn_Military_pcnt | 0.013 | 0.000 | 1.01 | 0.013 | 0.000 | 1.01 | −3.118 | 0.934 | 0.04 | −3.145 | 0.934 | 0.04 |
| Interaction Terms | ||||||||||||
| rural_pcnt:bipoc_pcnt | 0.000 | 0.000 | 1.00 | 0.000 | 0.173 | 1.00 | ||||||
| AquiferTypekarst:Indian_Alaska_pcnt | −0.018 | 0.000 | 0.98 | −0.035 | 0.010 | 0.97 | ||||||
| PRIMACYTribal:AquiferTypekarst | 1.758 | 0.000 | 5.80 | 1.297 | 0.288 | 3.66 | ||||||
References
- Kumar, A.; Pramod Krishna, A. Groundwater vulnerability and contamination risk assessment using GIS-based modified DRASTIC-LU model in hard rock aquifer system in India. Geocarto Int. 2020, 35, 1149–1178. [Google Scholar] [CrossRef]
- Aslam, R.A.; Shrestha, S.; Pandey, V.P. Groundwater vulnerability to climate change: A review of the assessment methodology. Sci. Total Environ. 2018, 612, 853–875. [Google Scholar] [CrossRef]
- WHO/UNICEF. Progress on Sanitation and Drinking Water: 2015 Update and MDG Assessment; World Health Organization: Geneva, Switzerland, 2015.
- Kumar, D.M.; Shah, T. Groundwater Pollution and Contamination in India: The Emerging Challenge; International Water Management Institute: New Delhi, India, 2006. [Google Scholar]
- UN-Water. Groundwater: Making the Invisible Visible; United Nations Educational, Scientific and Cultural Organization: Paris, France, 2022; p. 246. [Google Scholar]
- Li, R.; Merchant, J.W.; Chen, X.-H. A Geospatial Approach for Assessing Groundwater Vulnerability to Nitrate Contamination in Agricultural Settings. Water Air Soil Pollut. 2014, 225, 1–17. [Google Scholar] [CrossRef]
- World Health Organization. Protecting Groundwater for Health: Managing the Quality of Drinking-Water Sources; World Health Organization: Geneva, Switzerland, 2006; p. 689.
- Carrard, N.; Foster, T.; Willetts, J. Groundwater as a source of drinking water in southeast Asia and the Pacific: A multi-country review of current reliance and resource concerns. Water 2019, 11, 1605. [Google Scholar] [CrossRef]
- Gleeson, T.; Wada, Y.; Bierkens, M.F.P.; Van Beek, L.P.H. Water balance of global aquifers revealed by groundwater footprint. Nature 2012, 488, 197–200. [Google Scholar] [CrossRef]
- Juntunen, J.; Meriläinen, P.; Simola, A. Public health and economic risk assessment of waterborne contaminants and pathogens in Finland. Sci. Total Environ. 2017, 599, 873–882. [Google Scholar] [CrossRef] [PubMed]
- Martínez-Santos, P.; Martín-Loeches, M.; Díaz-Alcaide, S.; Danert, K. Manual borehole drilling as a cost-effective solution for drinking water access in low-income contexts. Water 2020, 12, 1981. [Google Scholar] [CrossRef]
- Megdal, S.B.; Dillon, P.; Seasholes, K. Water Banks: Using Managed Aquifer Recharge to Meet Water Policy Objectives. Water 2014, 6, 1500–1514. [Google Scholar] [CrossRef]
- Petersen-Perlman, J.D.; Megdal, S.B.; Gerlak, A.K.; Wireman, M.; Zuniga-Teran, A.A.; Varady, R.G. Critical issues affecting groundwater quality governance and management in the United States. Water 2018, 10, 735. [Google Scholar] [CrossRef]
- Varady, R.G.; Zuniga-Teran, A.A.; Gerlak, A.K.; Megdal, S.B. Modes and approaches of groundwater governance: A survey of lessons learned from selected cases across the globe. Water 2016, 8, 417. [Google Scholar] [CrossRef]
- Boelens, R. The Politics of Disciplining Water Rights. Dev. Chang. 2009, 40, 307–331. [Google Scholar] [CrossRef]
- Zwarteveen, M.Z. Wedlock or Deadlock? Feminists’ Attempts to Engage Irrigation Engineers; Wageningen Universiteit: Wageningen, The Netherlands, 2006. [Google Scholar]
- Williams, S.A.; Eden, S.; Megdal, S.B.; Joe-Gaddy, V. Diversity, Equity, Inclusion, and Justice in Water Dialogues: A Review and Conceptualization. J. Contemp. Water Res. Educ. 2023, 177, 113–139. [Google Scholar] [CrossRef]
- Ahamad, F.; Tyagi, S.K.; Singh, M.; Sharma, A.K. Groundwater in Arid and Semi-arid Regions of India: A Review on the Quality, Management and Challenges. In Groundwater in Arid and Semi-Arid Areas: Monitoring, Assessment, Modelling, and Management; Ali, S., Armanuos, A.M., Eds.; Springer Nature: Cham, Switzerland, 2023; pp. 11–52. [Google Scholar]
- Gaaloul, N.; Eslamian, S. Groundwater quality in arid environments. In Clean Water and Sanitation; Springer: Berlin/Heidelberg, Germany, 2022; pp. 260–272. [Google Scholar]
- Gemail, K.S.; Abd-Elaty, I. Unveiling the hidden depths: A review for understanding and managing Groundwater Contamination in arid regions. In Groundwater Quality and Geochemistry in Arid and Semi-Arid Regions; Springer: Berlin/Heidelberg, Germany, 2023; pp. 3–35. [Google Scholar]
- Li, P.; Tian, R.; Xue, C.; Wu, J. Progress, opportunities, and key fields for groundwater quality research under the impacts of human activities in China with a special focus on western China. Environ. Sci. Pollut. Res. 2017, 24, 13224–13234. [Google Scholar] [CrossRef]
- Zwarteveen, M.Z.; Boelens, R. Defining, researching and struggling for water justice: Some conceptual building blocks for research and action. Water Int. 2014, 39, 143–158. [Google Scholar] [CrossRef]
- Megdal, S.B.; Alvarez, J.L. Achieving water policy objectives through water pricing: A case study of Arizona’s decentralized approach to water provision. In Shared Borders, Shared Waters: Israeli-Palestinian and Colorado River Basin Water Challenges; CRC Press: Boca Raton, FL, USA, 2012; pp. 105–116. [Google Scholar]
- Megdal, S.B.; Forrest, A. How a Drought-Resilient Water Delivery System Rose Out of the Desert: The Case of Tucson Water. J. Am. Water Work. Assoc. 2015, 107, 46–52. [Google Scholar] [CrossRef]
- Megdal, S.B.; Teran, A.Z.; Varady, R.G.; Delano, N.; Gerlak, A.K.; Vimont, E.T. Groundwater governance in the United States: A mosaic of approaches. In Advances in Groundwater Governance; CRC Press: Boca Raton, FL, USA, 2017; pp. 483–509. [Google Scholar]
- IARC. Some Drinking-Water Disinfectants and Contaminants, Including Arsenic; Iarc Working Group on the Evaluation of Carcinogenic Risks to Humans; World Health Organization International; Agency for Research on Cancer: Lyon, France, 2004; Volume 84. [Google Scholar]
- Kuo, C.-C.; Moon, K.A.; Wang, S.-L.; Silbergeld, E.; Navas-Acien, A. The Association of Arsenic Metabolism with Cancer, Cardiovascular Disease, and Diabetes: A Systematic Review of the Epidemiological Evidence. Environ. Health Perspect. 2017, 125, 087001. [Google Scholar] [CrossRef]
- Moody, E.C.; Coca, S.G.; Sanders, A.P. Toxic Metals and Chronic Kidney Disease: A Systematic Review of Recent Literature. Curr. Environ. Health Rep. 2018, 5, 453–463. [Google Scholar] [CrossRef]
- Briffa, J.; Sinagra, E.; Blundell, R. Heavy metal pollution in the environment and their toxicological effects on humans. Heliyon 2020, 6, e04691. [Google Scholar] [CrossRef]
- USEPA. Providing Safe Drinking Water in America: 2013 National Public Water Systems Compliance Report; US Environmental Protection Agency Office of Enforcement and Compliance Assurance: Washington, DC, USA, 2015.
- USEPA. The Data Management and Quality Assurance/Quality Control Process for the Third Six-Year Review Information Collection Rule Dataset; US Environmental Protection Agency Office of Enforcement and Compliance Assurance: Washington, DC, USA, 2016; p. 105.
- USEPA. The Analysis of Regulated Contaminant Occurrence Data from Public Water Systems in Support of the Second Six-Year Review of National Primary Drinking Water Regulations; US Environmental Protection Agency Office of Enforcement and Compliance Assurance: Washington, DC, USA, 2009; p. 519.
- Dubrovsky, N.M.; Burow, K.R.; Clark, G.M.; Gronberg, J.M.; Hamilton, P.A.; Hitt, K.J.; Mueller, D.K.; Munn, M.D.; Nolan, B.T.; Puckett, L.J. The quality of our Nation’s waters—Nutrients in the Nation’s streams and groundwater, 1992–2004. US Geol. Surv. Circ. 2010, 1350, 174. [Google Scholar]
- Schaider, L.A.; Swetschinski, L.; Campbell, C.; Rudel, R.A. Environmental justice and drinking water quality: Are there socioeconomic disparities in nitrate levels in U.S. drinking water? Environ. Health 2019, 18, 3. [Google Scholar] [CrossRef]
- Ward, M.H.; Jones, R.R.; Brender, J.D.; De Kok, T.M.; Weyer, P.J.; Nolan, B.T.; Villanueva, C.M.; Van Breda, S.G. Drinking water nitrate and human health: An updated review. Int. J. Environ. Res. Public Health 2018, 15, 1557. [Google Scholar] [CrossRef]
- Schaider, L.A.; Rudel, R.A.; Ackerman, J.M.; Dunagan, S.C.; Brody, J.G. Pharmaceuticals, perfluorosurfactants, and other organic wastewater compounds in public drinking water wells in a shallow sand and gravel aquifer. Sci. Total Environ. 2014, 468-469, 384–393. [Google Scholar] [CrossRef]
- Spaur, M.; Lombard, M.A.; Ayotte, J.D.; Harvey, D.E.; Bostick, B.C.; Chillrud, S.N.; Navas-Acien, A.; Nigra, A.E. Associations between private well water and community water supply arsenic concentrations in the conterminous United States. Sci. Total Environ. 2021, 787, 147555. [Google Scholar] [CrossRef]
- USEPA. National Primary Drinking Water Regulations; Arsenic and Clarifications to Compliance and New Source Contaminants Monitoring; US Environmental Protection Agency Office of Enforcement and Compliance Assurance: Washington, DC, USA, 2001; Volume 66.
- USEPA. Arsenic and Clarifications to Compliance and New Source Monitoring Rule: A Quick Reference Guide; US Environmental Protection Agency Office of Enforcement and Compliance Assurance: Washington, DC, USA, 2001.
- Nigra, A.E.; Chen, Q.; Chillrud, S.N.; Wang, L.; Harvey, D.; Mailloux, B.; Factor-Litvak, P.; Navas-Acien, A. Inequalities in Public Water Arsenic Concentrations in Counties and Community Water Systems across the United States, 2006–2011. Environ. Health Perspect. 2020, 128, 127001. [Google Scholar] [CrossRef]
- Statman-Weil, Z.; Nanus, L.; Wilkinson, N. Disparities in community water system compliance with the Safe Drinking Water Act. Appl. Geogr. 2020, 121, 102264. [Google Scholar] [CrossRef]
- Allaire, M.; Wu, H.; Lall, U. National trends in drinking water quality violations. Proc. Natl. Acad. Sci. USA 2018, 115, 2078–2083. [Google Scholar] [CrossRef]
- Foster, S.A.; Pennino, M.J.; Compton, J.E.; Leibowitz, S.G.; Kile, M.L. Arsenic Drinking Water Violations Decreased across the United States Following Revision of the Maximum Contaminant Level. Environ. Sci. Technol. 2019, 53, 11478–11485. [Google Scholar] [CrossRef]
- Pennino, M.J.; Leibowitz, S.G.; Compton, J.E.; Hill, R.A.; Sabo, R.D. Patterns and predictions of drinking water nitrate violations across the conterminous United States. Sci. Total Environ. 2020, 722, 137661. [Google Scholar] [CrossRef]
- Rubin, S.J. Evaluating violations of drinking water regulations. J. Am. Water Work. Assoc. 2013, 105, E137–E147. [Google Scholar] [CrossRef]
- Bullard, R.D.; Johnson, G.S. Environmentalism and public policy: Environmental justice: Grassroots activism and its impact on public policy decision making. J. Soc. Issues 2000, 56, 555–578. [Google Scholar] [CrossRef]
- Balazs, C.L.; Morello-Frosch, R.; Hubbard, A.E.; Ray, I. Environmental justice implications of arsenic contamination in California’s San Joaquin Valley: A cross-sectional, cluster-design examining exposure and compliance in community drinking water systems. Environ. Health Glob. Access Sci. Sour. 2012, 11, 84. [Google Scholar] [CrossRef]
- Balazs, C.; Morello-Frosch, R.; Hubbard, A.; Ray, I. Social disparities in nitrate-contaminated drinking water in California’s San Joaquin Valley. Environ. Health Perspect. 2011, 119, 1272–1278. [Google Scholar] [CrossRef]
- Delpla, I.; Benmarhnia, T.; Lebel, A.; Levallois, P.; Rodriguez, M.J. Investigating social inequalities in exposure to drinking water contaminants in rural areas. Environ. Pollut. 2015, 207, 88–96. [Google Scholar] [CrossRef]
- Switzer, D.; Teodoro, M.P. The Color of Drinking Water. J. Am. Water Work. Assoc. 2017, 109, 40–45. [Google Scholar] [CrossRef]
- Nigra, A.E.; Navas-Acien, A. Arsenic in US correctional facility drinking water, 2006–2011. Environ. Res. 2020, 188, 109768. [Google Scholar] [CrossRef]
- Nigra, A.E.; Sanchez, T.R.; Nachman, K.E.; Harvey, D.E.; Chillrud, S.N.; Graziano, J.H.; Navas-Acien, A. The effect of the Environmental Protection Agency maximum contaminant level on arsenic exposure in the USA from 2003 to 2014: An analysis of the National Health and Nutrition Examination Survey (NHANES). Lancet Public Health 2017, 2, e513–e521. [Google Scholar] [CrossRef]
- Hanna-Attisha, M.; LaChance, J.; Sadler, R.C.; Champney Schnepp, A. Elevated blood lead levels in children associated with the Flint drinking water crisis: A spatial analysis of risk and public health response. Am. J. Public Health 2016, 106, 283–290. [Google Scholar] [CrossRef]
- Meng, Q. Urban Water Crisis Causes Significant Public Health Diseases in Jackson, Mississippi USA: An Initial Study of Geographic and Racial Health Inequities. Sustainability 2022, 14, 16325. [Google Scholar] [CrossRef]
- Markstrom, C.A.; Charley, P.H. Psychological effects of technological/human-caused environmental disasters: Examination of the Navajo and uranium. Am. Indian Alsk. Nativ. Ment. Health Res. J. Natl. Cent. 2003, 11, 19–45. [Google Scholar] [CrossRef]
- Bray, L.A. Settler colonialism and rural environmental injustice: Water inequality on the Navajo Nation. Rural Sociol. 2021, 86, 586–610. [Google Scholar] [CrossRef]
- Balazs, C.L.; Ray, I. The drinking water disparities framework: On the origins and persistence of inequities in exposure. Am. J. Public Health 2014, 104, 603–611. [Google Scholar] [CrossRef]
- Vanderslice, J. Drinking water infrastructure and environmental disparities: Evidence and methodological considerations. Am. J. Public Health 2011, 101, S109–S114. [Google Scholar] [CrossRef]
- Switzer, D.; Teodoro, M.P.; Karasik, S. The human capital resource challenge: Recognizing and overcoming small utility workforce obstacles. J. Am. Water Work. Assoc. 2016, 108, E416–E424. [Google Scholar] [CrossRef]
- Mishra, B.K.; Kumar, P.; Saraswat, C.; Chakraborty, S.; Gautam, A. Water security in a changing environment: Concept, challenges and solutions. Water 2021, 13, 490. [Google Scholar] [CrossRef]
- Barbulescu, A. Assessing groundwater vulnerability: DRASTIC and DRASTIC-like methods: A review. Water 2020, 12, 1356. [Google Scholar] [CrossRef]
- Jmal, I.; Ayed, B.; Bahloul, M.; Boughariou, E.; Bouri, S. Contribution of GIS tools and statistical approaches to optimize the DRASTIC model for groundwater vulnerability assessment in arid and semi-arid regions: The case of Sidi Bouzid shallow aquifer. Arab. J. Geosci. 2022, 15, 947. [Google Scholar] [CrossRef]
- Williams, S.A. Enhancing Assessment of Groundwater Vulnerability and Contamination Risk in Arid Lands. Ph.D. Thesis, The University of Arizona, Tucson, AZ, USA, 2024. [Google Scholar]
- Chaudhry, A.K.; Kumar, K.; Alam, M.A. Groundwater flow and contaminant transport models–a short review. Desalin. Water Treat. 2021, 211, 80–91. [Google Scholar] [CrossRef]
- Thiros, S.A.; Paul, A.P.; Bexfield, L.M.; Anning, D.W. Water Quality in Basin-Fill Aquifers of the Southwestern United States: Arizona, California, Colorado, Nevada, New Mexico, and Utah, 1993–2009. In U.S. Geological Survey Circular 1358; U.S. Geological Survey: Reston, VA, USA, 2014. [Google Scholar]
- Ernst, C. Protecting the Source: Land Conservation and the Future of America’s Drinking Water; Hopper, K., Summers, D., Eds.; The Trust for Public Land; American Water Works Association: San Francisco, CA, USA, 2004; p. 56. [Google Scholar]
- Chen, B.; Jiang, J.; Yang, X.; Zhang, X.; Westerhoff, P. Roles and knowledge gaps of point-of-use technologies for mitigating health risks from disinfection byproducts in tap water: A critical review. Water Res. 2021, 200, 117265. [Google Scholar] [CrossRef]
- Hasan, H.A.; Muhammad, M.H. A review of biological drinking water treatment technologies for contaminants removal from polluted water resources. J. Water Process Eng. 2020, 33, 101035. [Google Scholar] [CrossRef]
- Stuart, M.; Lapworth, D.; Crane, E.; Hart, A. Review of risk from potential emerging contaminants in UK groundwater. Sci. Total Environ. 2012, 416, 1–21. [Google Scholar] [CrossRef]
- Pace, C.; Balazs, C.; Bangia, K.; Depsky, N.; Renteria, A.; Morello-Frosch, R.; Cushing, L.J. Inequities in Drinking Water Quality Among Domestic Well Communities and Community Water Systems, California, 2011–2019. Am. J. Public Health 2022, 112, 88–97. [Google Scholar] [CrossRef]
- Closas, A.; Villholth, K.G. Groundwater governance: Addressing core concepts and challenges. Wiley Interdiscip. Rev. Water 2020, 7, e1392. [Google Scholar] [CrossRef]
- Priyan, K. Issues and Challenges of Groundwater and Surface Water Management in Semi-Arid Regions. In Groundwater Resources Development and Planning in the Semi-Arid Region; Pande, C.B., Moharir, K.N., Eds.; Springer International Publishing: Cham, Switzerland, 2021; pp. 1–17. [Google Scholar]
- Li, P.; Karunanidhi, D.; Subramani, T.; Srinivasamoorthy, K. Sources and consequences of groundwater contamination. Arch. Environ. Contam. Toxicol. 2021, 80, 1–10. [Google Scholar] [CrossRef]
- Zuniga-Teran, A.A.; Mussetta, P.C.; Ley, A.N.L.; Díaz-Caravantes, R.E.; Gerlak, A.K. Analyzing water policy impacts on vulnerability: Cases across the rural-urban continuum in the arid Americas. Environ. Dev. 2021, 38, 100552. [Google Scholar] [CrossRef]
- Warner, S.; Chapman, D.V.; Dickens, C. Good ambient water quality. Clean Water and Sanitation; Springer: Berlin/Heidelberg, Germany, 2022; pp. 250–260. [Google Scholar]
- Cory, D.C.; Rahman, T. Environmental justice and enforcement of the safe drinking water act: The Arizona arsenic experience. Ecol. Econ. 2009, 68, 1825–1837. [Google Scholar] [CrossRef]
- Baden, B.M.; Noonan, D.S.; Turaga, R.M.R. Scales of justice: Is there a geographic bias in environmental equity analysis? J. Environ. Plan. Manag. 2007, 50, 163–185. [Google Scholar] [CrossRef]
- Engel, K.H.; Loiseleur, E.; Drilhon, E. Arizona’s Groundwater Management Act at Forty: Tackling Unfinished Business. Ariz. J. Environ. Law Policy 2020, 10, 187–215. [Google Scholar]
- Ferris, K.; Porter, S. The Elusive Concept of an Assured Water Supply: The Role of the CAGRD and Replenishment; Kyl Center for Water Policy at Morrison Institute, Arizona State University: Tucson, AZ, USA, 2019. [Google Scholar]
- GWAICC. Issue Brief: AMA Management Structure. 2021. Available online: www.azwater.gov//sites/default/files/2022-08/Issue%20-%20Management%20Structure-01052021_Final.pdf (accessed on 20 May 2024).
- Ravalli, F.; Yu, Y.; Bostick, B.C.; Chillrud, S.N.; Schilling, K.; Basu, A.; Navas-Acien, A.; Nigra, A.E. Sociodemographic inequalities in uranium and other metals in community water systems across the USA, 2006–2011: A cross-sectional study. Lancet Planet. Health 2022, 6, e320–e330. [Google Scholar] [CrossRef]
- Hoover, J.H.; Coker, E.; Barney, Y.; Shuey, C.; Lewis, J. Spatial clustering of metal and metalloid mixtures in unregulated water sources on the Navajo Nation—Arizona, New Mexico, and Utah, USA. Sci. Total Environ. 2018, 633, 1667–1678. [Google Scholar] [CrossRef]
- Konisky, D.M.; Reenock, C.; Conley, S. Environmental injustice in Clean Water Act enforcement: Racial and income disparities in inspection time. Environ. Res. Lett. 2021, 16, 084020. [Google Scholar] [CrossRef]
- Baker, P.; Friel, S.; Kay, A.; Baum, F.; Strazdins, L.; Mackean, T. What Enables and Constrains the Inclusion of the Social Determinants of Health Inequities in Government Policy Agendas? A Narrative Review. Int. J. Health Policy Manag. 2017, 7, 101–111. [Google Scholar] [CrossRef]
- USEPA. EPA Annual Environmental Justice Progress Report FY 2020; EPA Publication Number: 230R20002; Environmental Protection agency: Washington, DC, USA, 2020; p. 52.
- Wallace, K.J.; York, J.M. A systems change framework for evaluating academic equity and inclusion in an Ecology and Evolution Graduate Program. Ecol. Evol. 2020, 10, 10922–10929. [Google Scholar] [CrossRef]
- Wallace, M.; Sharfstein, J.M.; Kaminsky, J.; Lessler, J. Comparison of US county-level public health performance rankings with county cluster and national rankings: Assessment based on prevalence rates of smoking and obesity and motor vehicle crash death rates. J. Am. Med. Assoc. Netw. Open 2019, 2, e186816. [Google Scholar] [CrossRef]
- Kapaj, S.; Peterson, H.; Liber, K.; Bhattacharya, P. Human health effects from chronic arsenic poisoning—A review. J. Environ. Sci. Health Part A 2006, 41, 2399–2428. [Google Scholar]
- Balazs, C.L. Just Water? Social Disparities and Drinking Water Quality in California’s San Joaquin Valley. Ph.D. Thesis, University of California, Berkeley, CA, USA, 2011. [Google Scholar]
- Flanagan, S.V.; Spayd, S.E.; Procopio, N.A.; Chillrud, S.N.; Braman, S.; Zheng, Y. Arsenic in private well water part 1 of 3: Impact of the New Jersey Private Well Testing Act on household testing and mitigation behavior. Sci. Total Environ. 2016, 562, 999–1009. [Google Scholar] [CrossRef]
- Zheng, Y.; Flanagan, S.V. The case for universal screening of private well water quality in the US and testing requirements to achieve it: Evidence from arsenic. Environ. Health Perspect. 2017, 125, 085002. [Google Scholar] [CrossRef]
- Hoover, J.; Gonzales, M.; Shuey, C.; Barney, Y.; Lewis, J. Elevated Arsenic and Uranium Concentrations in Unregulated Water Sources on the Navajo Nation, USA. Expos. Health 2017, 9, 113–124. [Google Scholar] [CrossRef]
- Nolan, B.T.; Hitt, K.J.; Ruddy, B.C. Probability of nitrate contamination of recently recharged groundwaters in the conterminous United States. Environ. Sci. Technol. 2002, 36, 2138–2145. [Google Scholar]
- Swain, S.; Mishra, S.K.; Pandey, A.; Kalura, P. Inclusion of groundwater and socio-economic factors for assessing comprehensive drought vulnerability over Narmada River Basin, India: A geospatial approach. Appl. Water Sci. 2022, 12, 14. [Google Scholar] [CrossRef]
- Tu, J. Spatially varying relationships between land use and water quality across an urbanization gradient explored by geographically weighted regression. Appl. Geogr. 2011, 31, 376–392. [Google Scholar] [CrossRef]






| Variables | Contrast | Arsenic | Nitrate | ||
|---|---|---|---|---|---|
| Estimate | p-Value | Estimate | p-Value | ||
| Supply Type | DWA–CWS | −0.094 | <0.001 | 0.166 | <0.001 |
| Aquifer Type | Karst–Alluvial | −0.022 | 0.001 | −0.032 | <0.001 |
| Primacy | Tribal–State | −0.061 | 0.042 | 0.012 | 0.002 |
| GMA-Defined | NDA–AMA_INA | −0.026 | <0.001 | −0.023 | <0.001 |
| Arsenic | |||||||||
|---|---|---|---|---|---|---|---|---|---|
| Baseline | Main Effects | ||||||||
| Variables | Contrast | Estimate | Std. Error | Statistic | p-Value | Estimate | Std. Error | Statistic | p-Value |
| GMA Defined | NDA–AMA_INA | 0.017 | 0.006 | 2.858 | 0.004 | 0.017 | 0.006 | 2.858 | 0.004 |
| Primacy | Tribal–State | 0.119 | 0.008 | 14.834 | <0.001 | 0.119 | 0.008 | 14.834 | <0.001 |
| Aquifer Type | karst–alluvial | −0.014 | 0.007 | −2.145 | 0.032 | −0.014 | 0.007 | −2.145 | 0.032 |
| Supply Type | DWA–CWS | 0.130 | 0.009 | 14.307 | <0.001 | 0.130 | 0.009 | 14.307 | <0.001 |
| Nitrate | |||||||||
| Baseline | Main Effects | ||||||||
| Variables | Contrast | Estimate | Std. Error | Statistic | p-Value | Estimate | Std. Error | Statistic | p-Value |
| Supply Type | DWA–CWS | 0.166 | 0.006 | 29.67 | <0.001 | 0.112 | 0.005 | 22.58 | <0.001 |
| Aquifer Type | karst–alluvial | −0.032 | 0.002 | −18.58 | <0.001 | −0.029 | 0.002 | −14.693 | <0.001 |
| Primacy | Tribal–State | 0.012 | 0.004 | 3.083 | 0.002 | −0.022 | 0.005 | −4.935 | <0.001 |
| GMA-Defined | NDA–AMA_INA | −0.023 | 0.002 | −12.44 | <0.001 | −0.025 | 0.002 | −11.691 | <0.001 |
| Variable | Arsenic | Nitrate | ||||
|---|---|---|---|---|---|---|
| Estimate | p-Value | log odds | Estimate | p-Value | log odds | |
| Mean_10 | 0.007 | <0.001 | 1.01 | 0.049 | <0.001 | 1.05 |
| GMADefined–NDA | 0.101 | 0.004 | 1.11 | −0.733 | <0.001 | 0.48 |
| Primacy Tribal | 0.631 | <0.001 | 1.88 | 0.321 | 0.001 | 1.38 |
| Aquifer Type–karst | −0.085 | 0.034 | 0.92 | −1.319 | <0.001 | 0.27 |
| Supply Type–DWA | 0.676 | <0.001 | 1.97 | 2.381 | <0.001 | 10.82 |
Disclaimer/Publisher’s Note: The statements, opinions and data contained in all publications are solely those of the individual author(s) and contributor(s) and not of MDPI and/or the editor(s). MDPI and/or the editor(s) disclaim responsibility for any injury to people or property resulting from any ideas, methods, instructions or products referred to in the content. |
© 2024 by the authors. Licensee MDPI, Basel, Switzerland. This article is an open access article distributed under the terms and conditions of the Creative Commons Attribution (CC BY) license (https://creativecommons.org/licenses/by/4.0/).
Share and Cite
Williams, S.A.; Megdal, S.B.; Zuniga-Teran, A.A.; Quanrud, D.M.; Christopherson, G. Equity Assessment of Groundwater Vulnerability and Risk in Drinking Water Supplies in Arid Regions. Water 2024, 16, 3520. https://doi.org/10.3390/w16233520
Williams SA, Megdal SB, Zuniga-Teran AA, Quanrud DM, Christopherson G. Equity Assessment of Groundwater Vulnerability and Risk in Drinking Water Supplies in Arid Regions. Water. 2024; 16(23):3520. https://doi.org/10.3390/w16233520
Chicago/Turabian StyleWilliams, Simone A., Sharon B. Megdal, Adriana A. Zuniga-Teran, David M. Quanrud, and Gary Christopherson. 2024. "Equity Assessment of Groundwater Vulnerability and Risk in Drinking Water Supplies in Arid Regions" Water 16, no. 23: 3520. https://doi.org/10.3390/w16233520
APA StyleWilliams, S. A., Megdal, S. B., Zuniga-Teran, A. A., Quanrud, D. M., & Christopherson, G. (2024). Equity Assessment of Groundwater Vulnerability and Risk in Drinking Water Supplies in Arid Regions. Water, 16(23), 3520. https://doi.org/10.3390/w16233520

