Improved Agricultural Drought Monitoring with an Integrated Drought Condition Index in Xinjiang, China
Abstract
1. Introduction
2. Study Area and Data
2.1. Study Area
2.2. Data
3. Methods
3.1. Integrated Drought Condition Index (IDCI)
3.2. Scaled Crop Yield Index (SCYI)
3.3. Calculation of Drought Frequency
3.4. Rotated Empirical Orthogonal Function (REOF)
4. Results and Discussion
4.1. Agricultural Drought Monitoring Performance of the IDCI
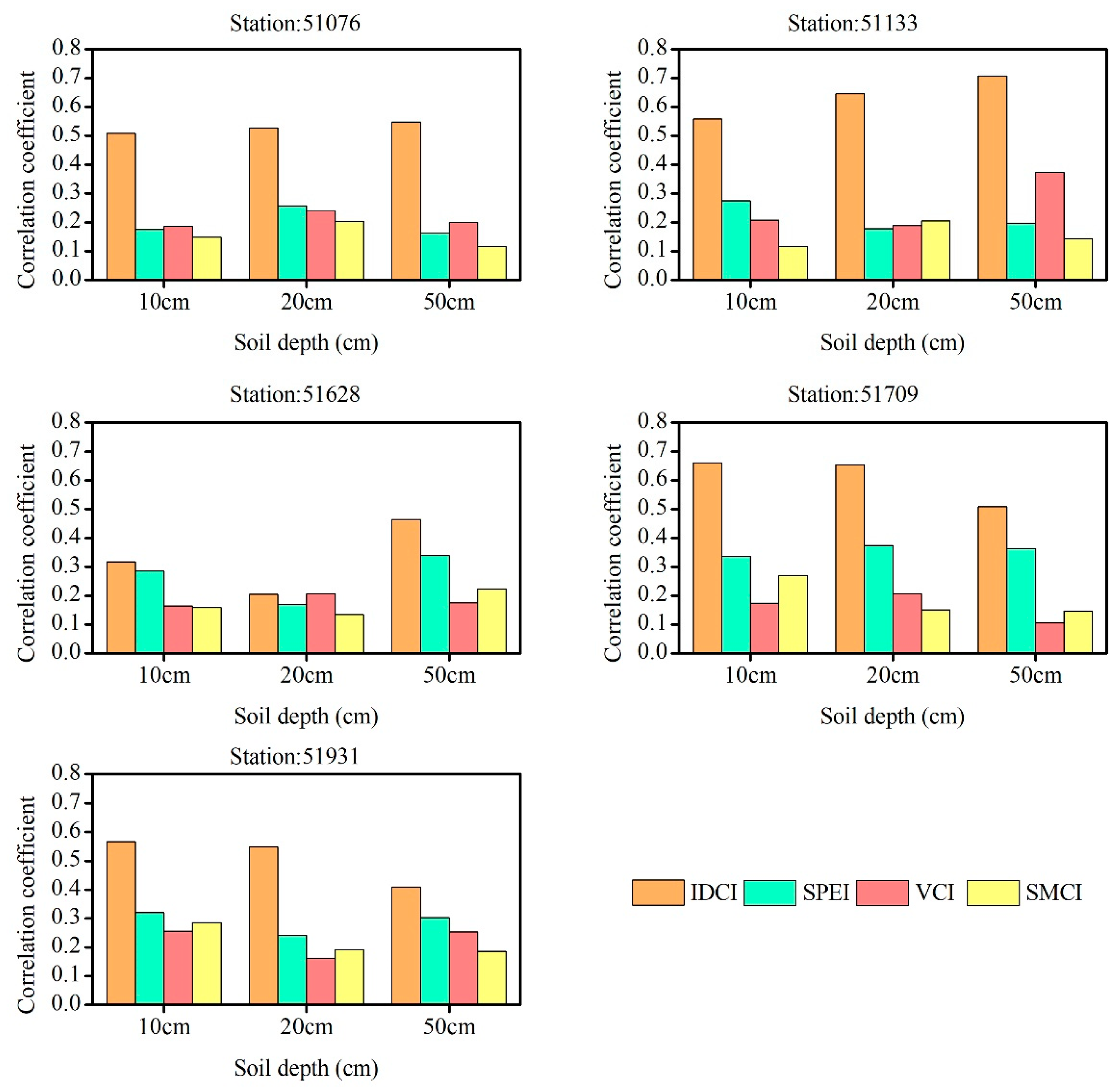
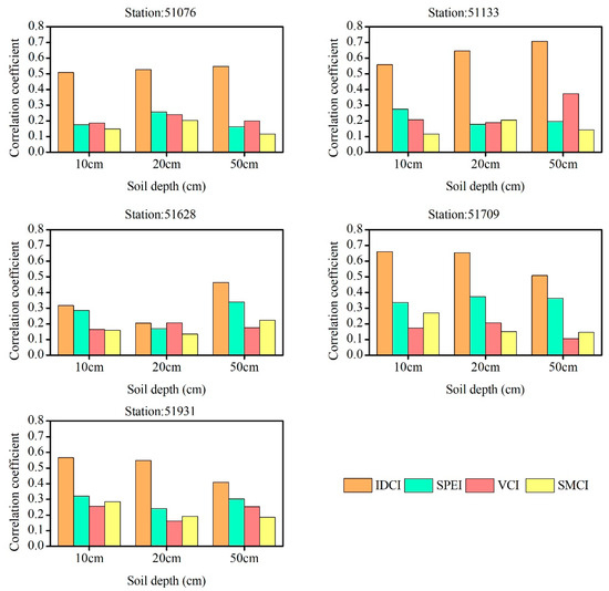
4.1.1. Correlations between the IDCI and Soil Moisture Observations
4.1.2. Correlations between Drought Index and SCYI
4.2. Spatiotemporal Changes in IDCI
4.2.1. Temporal Changes in IDCI
4.2.2. Spatial and Temporal Distributions of the IDCI Based on REOF Analysis
4.2.3. Spatial and Temporal Distribution of Severe and Extremely Severe Drought Frequency
4.3. Effects of Drought on Crop Yields
5. Conclusions
Author Contributions
Funding
Data Availability Statement
Acknowledgments
Conflicts of Interest
References
- Sánchez, N.; González-Zamora, Á.; Piles, M.; Martínez-Fernández, J. A new Soil Moisture Agricultural Drought Index (SMADI) integrating MODIS and SMOS products: A case of study over the Siberian Peninsula. Remote Sens. 2016, 8, 287. [Google Scholar] [CrossRef]
- Chen, Y.; Deng, H.; Li, B.; Li, Z.; Xu, C. Abrupt change of temperature and precipitation extremes in the arid region of Northwest China. Quatern. Int. 2014, 336, 35–43. [Google Scholar] [CrossRef]
- Rasmy, M.; Koike, T.; Lawfort, P.; Hara, M.; Fujita, M.; Kimura, F. Assessment of future water resources in the Tone river basin using a combined dynamical-statistical downscaling approach. J.-STAGE 2015, 71, I_73–I_78. [Google Scholar] [CrossRef] [PubMed]
- Hao, Z.; Xia, Y.; Luo, L. Toward a categorical drought prediction system based on U.S. Drought Monitor (USDM) and climate forecast. J. Hydrol. 2017, 551, 300–305. [Google Scholar] [CrossRef]
- Zhang, M.; Chen, Y.; Shen, Y.; Li, Y. Changes of precipitation extremes in arid Central Asia. Quatern. Int. 2017, 436, 16–27. [Google Scholar] [CrossRef]
- Duan, W.; Hanasaki, N.; Shiogama, H.; Chen, Y.; Zou, S.; Nover, D.; Zhou, B.; Wang, Y. Evaluation and Future Projection of Chinese Precipitation Extremes using Large Ensemble High-Resolution Climate Simulations. J. Clim. 2019, 32, 2169–2183. [Google Scholar] [CrossRef]
- Sung, J.H.; Chung, E.S. Development of streamflow drought severity-duration-frequency curves using the threshold level method. Hydrol. Earth. Syst. Sci. 2014, 18, 3341–3351. [Google Scholar] [CrossRef]
- Zhang, L.; Jiao, W.; Zhang, H.; Huang, C.; Tong, Q. Studying drought phenomena in the Continental United States in 2011 and 2012 using various drought indices. Remote Sens. Environ. 2017, 190, 96–106. [Google Scholar] [CrossRef]
- Liu, L.; Wang, Y.; You, N.; Liang, Z.; Qin, D.; Li, S. Changes in aridity and its driving factors in China during 1961–2016. Int. J. Climatol. 2018, 39, 50–60. [Google Scholar] [CrossRef]
- Wu, X.; Hao, Z.; Zhang, X.; Li, C.; Hao, F. Evaluation of severity changes of compound dry and hot events in China based on a multivariate multi-index approach. J. Hydrol. 2020, 583, 124580. [Google Scholar] [CrossRef]
- Mpelasoka, F.; Hennessy, K.; Jones, R.; Bates, B. Comparison of suitable drought indices for climate change impacts assessment over Australia towards resource management. Int. J. Climatol. 2008, 28, 1283–1292. [Google Scholar] [CrossRef]
- Akyuz, D.E.; Bayazit, M.; Onoz, B. Markov chain models for hydrological drought characteristics. J. Hydrometeorol. 2012, 13, 298–309. [Google Scholar] [CrossRef]
- Paneque, P. Drought management strategies in Spain. Water 2015, 7, 6689–6701. [Google Scholar] [CrossRef]
- Dubrovsky, M.; Svoboda, M.D.; Trnka, M.; Hayes, M.J.; Wilhite, D.A.; Zalud, Z.; Hlavinka, P. Application of relative drought indices in assessing climate-change impacts on drought conditions in Czechia. Theor. Appl. Climatol. 2009, 96, 155–171. [Google Scholar] [CrossRef]
- Piao, S.; Ciais, P.; Huang, Y.; Shen, Z.; Peng, S.; Li, J.; Zhou, L.; Liu, H.; Ma, Y.; Ding, Y.; et al. The impacts of climate change on water resources and agriculture in China. Nature 2010, 467, 43–51. [Google Scholar] [CrossRef] [PubMed]
- Li, K.; Wu, S.; Dai, E.; Xu, Z. Flood loss analysis and quantitative risk assessment in China. Nat. Hazarads 2012, 63, 737–760. [Google Scholar] [CrossRef]
- Zhang, Q.; Gu, X.; Singh, V.P.; Kong, D.; Chen, X. Spatiotemporal behavior of floods and droughts and their impacts on agriculture in China. Glob. Planet. Change 2015, 131, 63–72. [Google Scholar] [CrossRef]
- Han, Z.; Huang, S.; Huang, Q.; Leng, G.; Wang, H. Propagation dynamics from meteorological to groundwater drought and their possible influence factors. J. Hydrol. 2019, 578, 124102. [Google Scholar] [CrossRef]
- Tao, H.; Diop, L.; Bodian, A.; Djaman, K.; Ndiaye, P.M.; Yaseen, Z.M. Reference evapotranspiration prediction using hybridized fuzzy model with firefly algorithm: Regional case study in Burkina Faso. Agric. Water Manag. 2018, 208, 140–151. [Google Scholar] [CrossRef]
- Mishra, A.K.; Singh, V.P. A review of drought concepts. J. Hydrol. 2010, 391, 202–216. [Google Scholar] [CrossRef]
- Sheffield, J.; Wood, E.F.; Roderick, L.M. Little change in global drought over the past 60 years. Nature 2012, 491, 435–438. [Google Scholar] [CrossRef] [PubMed]
- Esfahanian, E.; Nejadhashemi, A.P.; Abouali, M.; Adhikari, U.; Zhang, Z.; Daneshvar, F.; Renani, A.A.; Herman, M.R.; Tang, Y. Defining drought in the context of stream health. Ecol. Eng. 2016, 94, 668–681. [Google Scholar] [CrossRef]
- Heim, R.R., Jr. A Review of Twentieth-Century Drought Indices Used in the United States. Bull. Am. Meteorol. Soc. 2002, 83, 1149–1166. [Google Scholar] [CrossRef]
- Cheng, Q.; Gao, L.; Chen, Y.; Liu, M.; Deng, H.; Chen, X. Temporal-Spatial Characteristics of Drought in Guizhou Province, China, Based on Multiple Drought Indices and Historical Disaster Records. Adv. Meteorol. 2018, 2018, 4721269. [Google Scholar] [CrossRef]
- McKee, T.B.; Doesken, N.J.; Kleist, J. The relationship of drought frequency and duration of time scales. In Proceedings of the Eighth Conference on Applied Climatology, Anaheim, CA, USA, 17–22 January 1993; pp. 179–186. [Google Scholar]
- Hertig, E.Y.; Tramblay, Y. Regional downscaling of Mediterranean droughts under past and future climatic conditions. Glob. Planet Change 2017, 151, 36–48. [Google Scholar] [CrossRef]
- Vicente-Serrano, S.M.; Beguería, S.; López-Moreno, J.I. A multiscalar drought index sensitive to global warming: The standardized precipitation evapotranspiration index. J. Clim. 2010, 23, 1696–1718. [Google Scholar] [CrossRef]
- Yu, M.; Li, Q.; Hayes, M.J.; Svoboda, M.D.; Heim, R.R. Are droughts becoming more frequent or severe in China based on the standardized precipitation evapotranspiration index: 1951–2010? Int. J. Climatol. 2014, 34, 545–558. [Google Scholar] [CrossRef]
- Kogan, K.N. Drought of the late 1980s in the United States as derived from NOAA polar-orbiting satellite data. Bull. Am. Meteorol. Soc. 1995, 76, 655–668. [Google Scholar] [CrossRef]
- Gebrehiwot, T.; van der Veen, A.; Maathuis, B. Spatial and temporal assessment of drought in the Northern highlands of Ethiopia. Int. J. Appl. Earth. Obs. 2011, 13, 309–321. [Google Scholar] [CrossRef]
- Palmer, W.C. Meteorological Drought; Research Paper, No. 45; United States Weather Bureau: Washington, DC, USA, 1965; pp. 1–56.
- Wang, Z.L.; Li, J.L.; Lai, C.G.; Zeng, Z.Y.; Zhong, R.D.; Chen, X.H.; Zhou, X.W.; Wang, M.Y. Does drought in China show a significant decreasing trend from 1961 to 2009? Sci. Total Environ. 2017, 579, 314–324. [Google Scholar] [CrossRef]
- Zhang, B.Q.; Wu, P.T.; Zhao, X.N.; Wang, Y.B.; Wang, J.W.; Shi, Y.G. Drought variation trends in different subregions of the Chinese Loess Plateau over the past four decades. Agric. Water Manag. 2012, 115, 167–177. [Google Scholar] [CrossRef]
- Vicente-Serrano, S.M.; Lopez-Moreno, J.I.; Begueria, S.; Lorenzo-Lacruz, J.; Azorin-Molina, C.; Moran-Tejeda, E. Accurate computation of a streamflow drought index. J. Hydrogen Energy 2012, 17, 318–332. [Google Scholar] [CrossRef]
- Wang, H.; Chen, Z.; Chen, Y.; Pan, Y.; Feng, R. Identification of the Space-Time Variability of Hydrological Drought in the Arid Region of Northwestern China. Water 2019, 11, 1051. [Google Scholar] [CrossRef]
- Bloomfield, J.P.; Marchant, B.P. Analysis of groundwater drought building on the standardized precipitation index approach. Hydrol. Earth Syst. Sci. 2013, 17, 4769–4787. [Google Scholar] [CrossRef]
- Feng, K.; Su, L.; Zhang, X.; Javed, T.; Zhang, Z.Z. Development of a new integrated hydrological drought index (SRGI) and its application in the Heihe River Basin, China. Theor. Appl. Climatol. 2020, 141, 43–59. [Google Scholar] [CrossRef]
- Karamouz, M.; Rasouli, K.; Nazif, S. Development of a hybrid index for drought prediction: Case study. J. Hydrogen Energy 2009, 14, 617–627. [Google Scholar] [CrossRef]
- Mu, Q.; Zhao, M.; Kimball, J.S.; McDowell, N.G.; Running, S.W. A remotely sensed global terrestrial drought severity index. Bull. Am. Meteorol. Soc. 2013, 94, 83–98. [Google Scholar] [CrossRef]
- Wu, X.; Wang, P.; Huo, Z.; Wu, D.; Yang, J. Crop Drought Identification Index for winter wheat based on evapotranspiration in the Huang-Huai-Hai Plain, China. Agric. Ecosyst. Environ. 2018, 263, 18–30. [Google Scholar] [CrossRef]
- Hao, Z.A.; Aghakouchak, A. A nonparametric multivariate multi-index drought monitoring framework. J. Hydrometeorol. 2014, 15, 89–101. [Google Scholar] [CrossRef]
- Peña-Gallardo, M.; Vicente-Serrano, S.M.; Domínguez-Castro, F.; Beguería, S. The impact of drought on the productivity of two rainfed crops in Spain. Nat. Hazard. Eart. 2019, 19, 1215–1234. [Google Scholar] [CrossRef]
- Shen, Z.; Zhang, Q.; Singh, V.P.; Sun, P.; Song, C.; Yu, H. Agricultural drought monitoring across Inner Mongolia, China: Model development, spatiotemporal patterns and impacts. J. Hydrol. 2019, 571, 793–804. [Google Scholar] [CrossRef]
- Rhee, J.; Im, J.; Carbone, G.J. Monitoring agricultural drought for arid and humid regions using multisensor remote sensing data. Remote Sens. Environ. 2010, 114, 2875–2887. [Google Scholar] [CrossRef]
- Ali, Z.; Hussain, I.; Faisal, M.; Nazir, H.; Abd-el Moemen, M.; Hussain, T.; Shamsuddin, S. A Novel Multi-Scalar Drought Index for Monitoring Drought: The Standardized Precipitation Temperature Index. Water Resour. Manag. 2017, 31, 4957–4969. [Google Scholar] [CrossRef]
- Zhang, X.; Chen, N.; Li, J.; Chen, Z.; Niyogi, D. Multi-sensor integrated framework and index for agricultural drought monitoring. Remote Sens. Environ. 2017, 188, 141–163. [Google Scholar] [CrossRef]
- Chen, Y.; Li, W.; Deng, H.; Fang, G.; Li, Z. Changes in Central Asia’s water tower: Past, present and future. Sci. Rep. 2016, 6, 35458. [Google Scholar] [CrossRef] [PubMed]
- Zhang, Q.; Sun, P.; Li, J.; Singh, V.P.; Liu, J. Spatiotemporal properties of droughts and related impacts on agriculture in Xinjiang, China. Int. J. Climatol. 2015, 35, 1254–1266. [Google Scholar] [CrossRef]
- Wang, H.; Pan, Y.; Chen, Y. Comparison of three drought indices and their evolutionary characteristics in the arid region of northwestern China. Atmos. Sci. Lett. 2017, 18, 132–139. [Google Scholar] [CrossRef]
- Yao, J.; Zhao, Y.; Chen, Y.; Yu, X.; Zhang, R. Multi-scale assessments of droughts: A case study in Xinjiang, China. Sci. Total Environ. 2018, 630, 444–452. [Google Scholar] [CrossRef] [PubMed]
- Li, X.; You, Q.; Ren, G.; Wang, S.; Zhang, Y.; Yang, J.; Zheng, G. Concurrent droughts and hot extremes in Northwest China from 1961 to 2017. Int. J. Climatol. 2018, 39, 2186–2196. [Google Scholar] [CrossRef]
- Duan, Y.; Wang, W.; Cai, X. Applied analyses on Palmer, SPEI and CI indices of drought process in Yangtze-Huaihe River Basins during winter of 2010/spring of 2011. Plateau Meteor. 2013, 32, 1126–1139. (In Chinese) [Google Scholar] [CrossRef]
- Huang, S.; Li, P.; Huang, Q.; Leng, G.; Hou, B.; Ma, L. The propagation from meteorological to hydrological drought and its potential influence factors. J. Hydrol. 2017, 547, 184–195. [Google Scholar] [CrossRef]
- Shin, J.Y.; Chen, S.; Lee, J.H.; Kim, T.W. Investigation of drought propagation in South Korea using drought index and conditional probability. Terr. Atmos. Ocean. 2018, 29, 231–241. [Google Scholar] [CrossRef]
- Meng, L.K.; Dong, T.; Zhang, W. Drought monitoring using an Integrated Drought Condition Index (IDCI) derived from multi-sensor remote sensing data. Nat. Hazards 2016, 80, 1135–1152. [Google Scholar] [CrossRef]
- Zhang, Q.; Li, J.; Singh, V.P.; Bai, Y. SPI-based evaluation of drought events in Xinjiang, China. Nat. Hazards 2012, 64, 481–492. [Google Scholar] [CrossRef]
- Zhang, R.; Yuan, Y.; Gou, X.; He, Q.; Shang, H.; Zhang, T.; Chen, F.; Ermenbaev, B.; Yu, S.; Qin, L.; et al. Tree-ring-based moisture variability in western Tianshan Mountains since A.D. 1882 and its possible driving mechanism. Agric. For. Meteorol. 2016, 218–219, 267–276. [Google Scholar] [CrossRef]
- Liu, Z.; Wang, Y.; Shao, M.; Jia, X.; Li, X. Spatiotemporal analysis of multiscalar drought characteristics across the Loess Plateau of China. J. Hydrol. 2016, 534, 281–299. [Google Scholar] [CrossRef]
- Khan, R.; Gilani, H.; Iqbal, N.; Shahid, I. Satellite-based (2000–2015) drought hazard assessment with indices, mapping, and monitoring of Potohar plateau, Punjab, Pakistan. Environ Earth Sci. 2020, 79, 23. [Google Scholar] [CrossRef]
- Beguería, S.; Vicente-Serrano, S.M.; Reig, F.; Latorre, B. Standardized precipitation evapotranspiration index (SPEI) revisited: Parameter fitting, evapotranspiration models, tools, datasets and drought monitoring. Int. J. Climatol. 2013, 34, 3001–3023. [Google Scholar] [CrossRef]
- Allen, R.G.; Pereira, L.S.; Raes, D.; Smith, M. FAO Irrigation and Drainage Paper No. 56; Food and Agriculture Organization of the United Nations: Rome, Italy, 1998; pp. 26–40. [Google Scholar]
- Yang, P.; Xia, J.; Zhang, Y.Y.; Zhan, C.S.; Qiao, Y.F. Comprehensive assessment of drought risk in the arid region of Northwest China based on the global palmer drought severity index gridded data. Sci. Total Environ. 2018, 627, 951–962. [Google Scholar] [CrossRef]
- Wang, H.S.; Rogers, J.C.; Munroe, D.K. Commonly Used Drought Indices as Indicators of Soil Moisture in China. J. Hydrometeorol. 2015, 16, 1397–1408. [Google Scholar] [CrossRef]
- Dai, A.; Trenberth, K.E.; Qian, T. A Global Dataset of Palmer Drought Severity Index for 1870-2002: Relationship with Soil Moisture and Effects of Surface Warming. J. Hydrometeorol. 2004, 5, 1117–1130. [Google Scholar] [CrossRef]
- Mika, J.; Horváth, S.; Makra, L.; Dunkel, Z. The Palmer Drought Severity Index (PDSI) as an indicator of soil moisture. Phys. Chem. Earth 2005, 30, 223–230. [Google Scholar] [CrossRef]
- Daryanto, S.; Wang, L.; Jacinthe, P.A. Global synthesis of drought effects on maize and wheat production. PLoS ONE 2016, 11, e0156362. [Google Scholar] [CrossRef] [PubMed]
- Li, B.; Chen, Y.; Shi, X.; Chen, Z.; Li, W. Temperature and precipitation changes in different environments in the arid region of Northwest China. Theor. Appl. Climatol. 2012, 112, 589–596. [Google Scholar] [CrossRef]
- Li, J.; Cook, E.R.; D’arrigo, R.; Chen, F.; Gou, X. Moisture variability across China and Mongolia: 1951–2005. Clim. Dynam. 2009, 32, 1173–1186. [Google Scholar] [CrossRef]
- Chen, H.; Sun, J. Changes in drought characteristics over China using the sta ndardised precipitation evapotranspiration index. J. Clim. 2015, 28, 5430–5447. [Google Scholar] [CrossRef]
- Zhai, J.; Su, B.; Krysanova, V.; Vetter, T.; Gao, C.; Jiang, T. Spatial variation and trends in PDSI and SPI indices and their relation to streamflow in 10 large regions of China. J. Clim. 2010, 23, 649–663. [Google Scholar] [CrossRef]
- Li, Z.; Chen, Y.; Fang, G.; Li, Y. Multivariate assessment and attribution of droughts in Central Asia. Sci. Rep. 2017, 7, 1316. [Google Scholar] [CrossRef]
- Mishra, V.; Cherkauer, K.A. Retrospective droughts in the crop growing season: Implications to corn and soybean yield in the Midwestern United States. Agric. Forest. Meteorol. 2010, 150, 1030–1045. [Google Scholar] [CrossRef]
- Ma, Y.; Ta, X.; Liu, X.; Lv, G. Application of Multitemporal SPOT satellite imagery to monitoring extraordinarily serious drought in 2008. Xinjiang Agric. Sci. 2009, 46, 1098–1102. (In Chinese) [Google Scholar]
- Sadat, N.S.M.; Liaghat, A.M.; Ebrahimi, K. Prediction of crop production using drought indices at different time scales and climatic factors to manage drought risk. J. Am. Water Resour. Association 2011, 48, 1–9. [Google Scholar] [CrossRef]
- Huang, J.; Zhuo, W.; Li, Y.; Huang, R.; Sedano, F.; Su, W.; Zhu, D.; Zhang, X. Comparison of three remotely sensed drought indices for assessing the impact of drought on winter wheat yield. Int. J. Digit. Earth 2020, 13, 504–526. [Google Scholar] [CrossRef]














| Station ID | a | b | c | Station ID | a | b | c |
|---|---|---|---|---|---|---|---|
| 1 | 0.529 | 0.333 | 0.139 | 23 | 0.586 | 0.297 | 0.118 |
| 2 | 0.542 | 0.331 | 0.127 | 24 | 0.593 | 0.338 | 0.069 |
| 3 | 0.517 | 0.334 | 0.149 | 25 | 0.577 | 0.330 | 0.092 |
| 4 | 0.527 | 0.330 | 0.144 | 26 | 0.578 | 0.331 | 0.091 |
| 5 | 0.554 | 0.329 | 0.117 | 27 | 0.549 | 0.337 | 0.114 |
| 6 | 0.463 | 0.317 | 0.220 | 28 | 0.417 | 0.349 | 0.234 |
| 7 | 0.436 | 0.341 | 0.223 | 29 | 0.435 | 0.317 | 0.249 |
| 8 | 0.415 | 0.345 | 0.240 | 30 | 0.571 | 0.292 | 0.137 |
| 9 | 0.470 | 0.334 | 0.196 | 31 | 0.595 | 0.333 | 0.072 |
| 10 | 0.455 | 0.333 | 0.212 | 32 | 0.559 | 0.333 | 0.108 |
| 11 | 0.464 | 0.323 | 0.213 | 33 | 0.590 | 0.326 | 0.085 |
| 12 | 0.547 | 0.328 | 0.126 | 34 | 0.512 | 0.323 | 0.165 |
| 13 | 0.491 | 0.335 | 0.174 | 35 | 0.482 | 0.356 | 0.162 |
| 14 | 0.487 | 0.333 | 0.180 | 36 | 0.475 | 0.333 | 0.191 |
| 15 | 0.489 | 0.333 | 0.178 | 37 | 0.433 | 0.322 | 0.245 |
| 16 | 0.503 | 0.336 | 0.161 | 38 | 0.486 | 0.334 | 0.180 |
| 17 | 0.505 | 0.336 | 0.159 | 39 | 0.537 | 0.313 | 0.150 |
| 18 | 0.490 | 0.334 | 0.177 | 40 | 0.491 | 0.345 | 0.164 |
| 19 | 0.508 | 0.326 | 0.166 | 41 | 0.520 | 0.335 | 0.145 |
| 20 | 0.458 | 0.285 | 0.257 | 42 | 0.377 | 0.334 | 0.290 |
| 21 | 0.456 | 0.344 | 0.201 | ||||
| 22 | 0.501 | 0.299 | 0.200 |
| Drought Events | IDCI | Occurrence Frequency |
|---|---|---|
| No drought | IDCI > 0 | 70% |
| Mild drought | −0.364 < IDCI ≤ 0 | 15% |
| Moderate drought | −0.568 < IDCI ≤ −0.364 | 10% |
| Severe drought | −0.658 < IDCI ≤ −0.568 | 5% |
| Extremely severe drought | IDCI ≤ −0.658 | 2% |
Disclaimer/Publisher’s Note: The statements, opinions and data contained in all publications are solely those of the individual author(s) and contributor(s) and not of MDPI and/or the editor(s). MDPI and/or the editor(s) disclaim responsibility for any injury to people or property resulting from any ideas, methods, instructions or products referred to in the content. |
© 2024 by the authors. Licensee MDPI, Basel, Switzerland. This article is an open access article distributed under the terms and conditions of the Creative Commons Attribution (CC BY) license (https://creativecommons.org/licenses/by/4.0/).
Share and Cite
Li, H.; Yin, Y.; Zhou, J.; Li, F. Improved Agricultural Drought Monitoring with an Integrated Drought Condition Index in Xinjiang, China. Water 2024, 16, 325. https://doi.org/10.3390/w16020325
Li H, Yin Y, Zhou J, Li F. Improved Agricultural Drought Monitoring with an Integrated Drought Condition Index in Xinjiang, China. Water. 2024; 16(2):325. https://doi.org/10.3390/w16020325
Chicago/Turabian StyleLi, Haixia, Yuanyuan Yin, Jing Zhou, and Fuxing Li. 2024. "Improved Agricultural Drought Monitoring with an Integrated Drought Condition Index in Xinjiang, China" Water 16, no. 2: 325. https://doi.org/10.3390/w16020325
APA StyleLi, H., Yin, Y., Zhou, J., & Li, F. (2024). Improved Agricultural Drought Monitoring with an Integrated Drought Condition Index in Xinjiang, China. Water, 16(2), 325. https://doi.org/10.3390/w16020325

