Analysis of Pressure Pulsation and Structural Characteristics of Vertical Shaft Cross-Flow Pumps
Abstract
1. Introduction
2. Numerical Simulation
2.1. Numerical Simulation Model
2.2. Mesh Sectioning
2.3. Boundary Condition Settings
2.4. SST Turbulence Model
2.5. Fluid–Structure Coupling Settings
3. Description of the Experimental Device
3.1. Model Experimental Setup
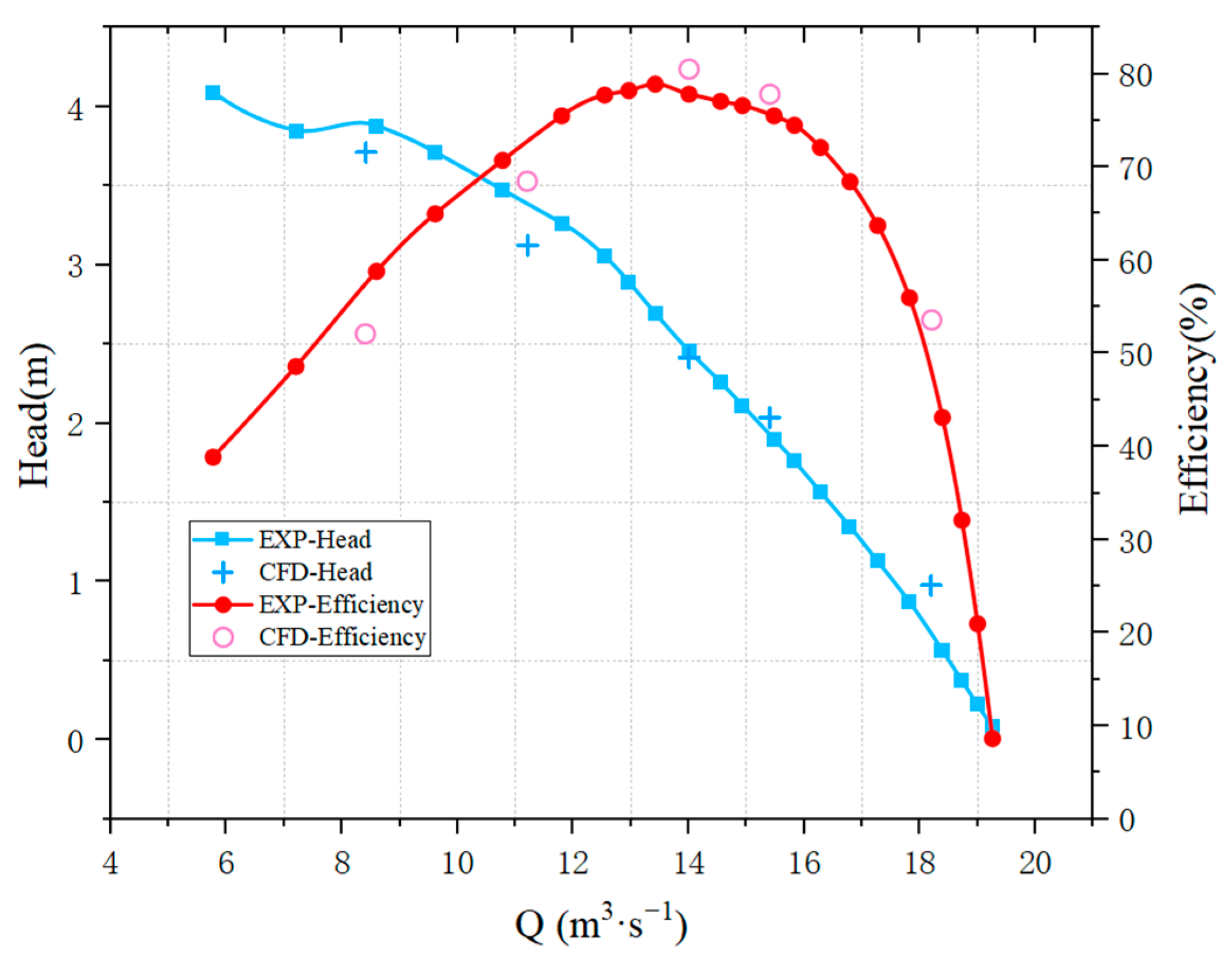
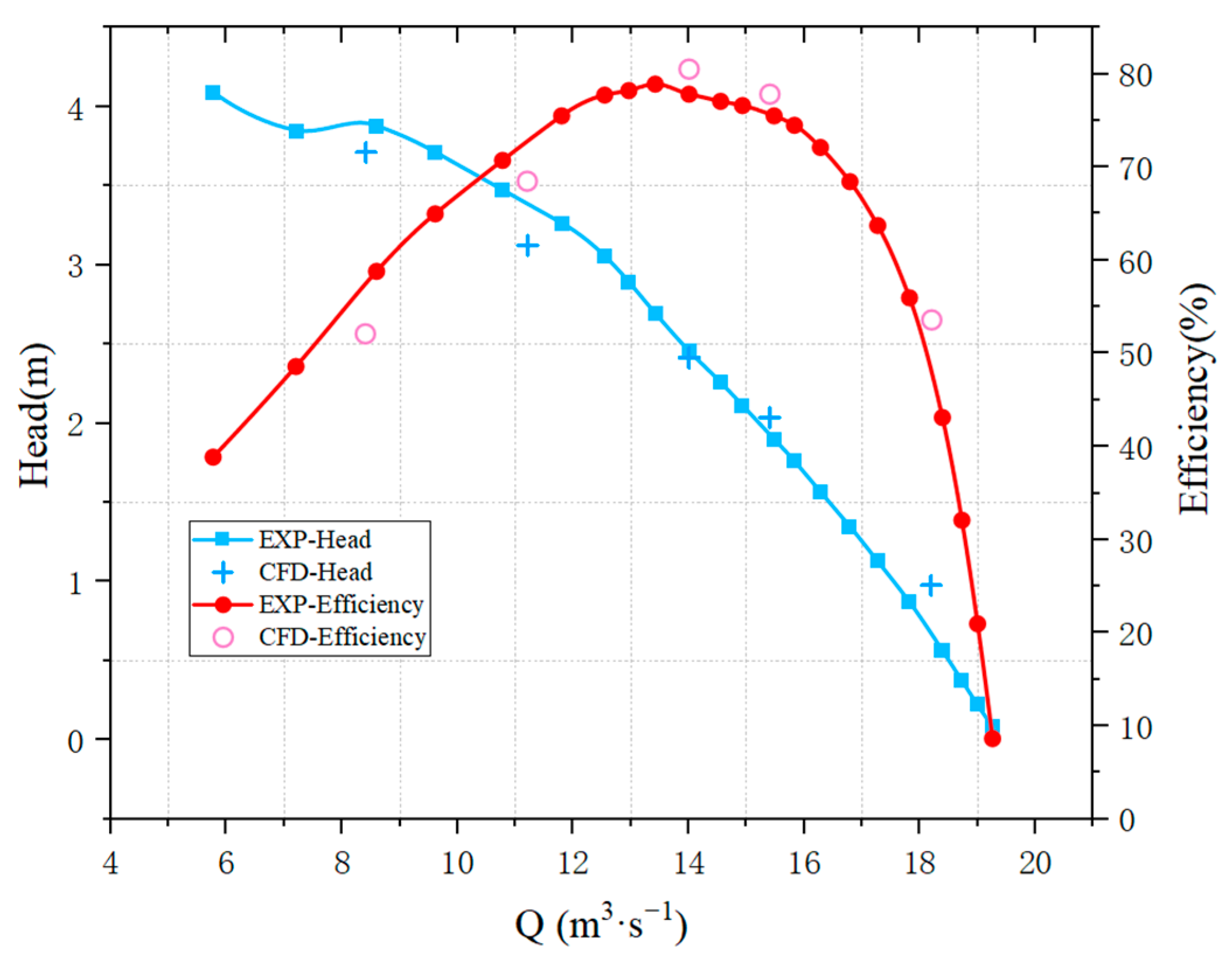
3.2. Comparison of Simulations and Experimental Results
4. Results and Discussion
4.1. Pressure Pulsation Characteristics
4.1.1. Layout of Pressure Pulsation Measurement Points
4.1.2. Time–Frequency Characteristics
- p—instantaneous pressure, Pa;
- —time-averaged pressure, Pa;
- —water density, kg/m3;
- u—impeller circumferential speed, m/s.
Pressure Pulsation Characteristics of the Inlet Passage
Pressure Pulsation Characteristics of the Impeller
Pressure Pulsation Characteristics of the Guide Vane
4.2. Analysis of Structural Characteristics of Pump Equipment
4.2.1. Stress and Strain Analysis of Impeller Blades
4.2.2. Stress and Strain Analysis of Guide Vane Blades
5. Conclusions
- (1)
- At the inlet position, due to the limited impact of impeller rotation on the inlet, the pressure fluctuation amplitude is relatively weak. The main frequency at the inlet of the impeller is three times the rotational frequency, indicating that the water body is affected by the rotation of the impeller before passing through it. The main frequency at the outlet of the impeller is six times the rotational frequency, indicating a significant impact of rotor–stator interaction on the water body.
- (2)
- The time-domain data of the pressure fluctuation at the outlet of the guide vane show three different peaks and valleys within one cycle. It is worth noting that the amplitude of the pressure fluctuation curve significantly decreases towards the cross-section of the impeller outlet. Each monitoring point shows a significant high amplitude distribution at three times the rotational frequency and six times the position, indicating that both the impeller blades and guide blades are affected simultaneously.
- (3)
- The high stress area appears at the root of the impeller, and the stress magnitude decreases in the circumferential direction towards the edge of the impeller. The stress level at the edge of the impeller is relatively moderate. The stress distribution at the root of the impeller is uneven, and the stress at the outlet edge exceeds that at the inlet edge. The non-uniformity of the stress distribution gradually decreases with the increase in the radial distance.
- (4)
- The high stress and strain areas on the front of the guide vanes are concentrated in the root area near the outlet, and the stress distribution inside the guide vanes is uneven. At the root, there is significant stress on both sides, but the internal stress is the smallest. As the radial distance increases, the stress inside the blade becomes more uniform and the stress magnitude decreases.
Author Contributions
Funding
Data Availability Statement
Conflicts of Interest
References
- Meng, G. Retrospect and prospect to the research on rotordynamics. J. Vib. Eng. 2002, 15, 1–9. [Google Scholar]
- Mortazavi, F. CFD-based Impeller and Seal Rotordynamic Forces. Ph.D. Dissertation, Texas A&M University, College Station, TX, USA, 2018. [Google Scholar]
- Shi, W.L.; Liu, J.; Lu, L.G.; Xu, L.; Zhou, X.Y.; Sun, S.H. Hydraulic design standardization for inlet and outlet conduit of tubular pump system with front-positioned shaft. South–North Water Transf. Water Sci. Technol. 2020, 18, 115–122. [Google Scholar]
- Lu, L.G.; Chen, J.; Liang, J.D.; Leng, Y. Optimal hydraulic design of bulb tubular pump system. J. Hydraul. Eng. 2008, 39, 355–360. [Google Scholar]
- Guo, S.Y.; Chen, J.H. Research progress in fluid solid coupling applications. J. Jinan Univ. 2004, 18. [Google Scholar] [CrossRef]
- Zhang, X.W.; Tang, F.P.; Chen, Y.T.; Huang, C.B.; Chen, Y.J.; Wang, L.; Shi, L.J. Experimental Study on the Internal Pressure Pulsation Characteristics of a Bidirectional Axial Flow Pump Operating in Forward and Reverse Directions. Machines 2022, 10, 167. [Google Scholar] [CrossRef]
- Al-Obaidi, A.R. Analysis of the Effect of Various Impeller Blade Angles on Characteristic of the Axial Pump with Pressure Fluctuations Based on Time- and Frequency-Domain Investigations. Iran J. Sci. Technol.-Trans. Mech. Eng. 2021, 45, 441. [Google Scholar]
- Liu, Y.B.; Tan, L.; Liu, M.; Hao, Y.; Xu, Y. Influence of Prewhirl Angle and Axial Distance on Energy Performance and Pressure Fluctuation for a Centrifugal Pump with Inlet Guide Vanes. Energies 2017, 10, 695. [Google Scholar]
- Zheng, L.L.; Chen, X.P.; Qu, J.L.; Ma, X.J. A Review of Pressure Fluctuations in Centrifugal Pumps without or with Clearance Flow. Processes 2023, 11, 856. [Google Scholar] [CrossRef]
- Feng, J.J.; Luo, X.Q.; Guo, P.C.; Wu, G.K. Influence of tip clearance on pressure fluctuations in an axial flow pump. J. Mech. Sci. Technol. 2016, 30, 1603. [Google Scholar]
- Kan, K.; Zheng, Y.; Chen, Y.J.; Xie, Z.S.; Yang, G.; Yang, C.X. Numerical study on the internal flow characteristics of an axial-flow pump under stall conditions. J. Mech. Sci. Technol. 2018, 32, 4683. [Google Scholar]
- Bai, Y.L.; Wu, D.L. Study on Fatigue Characteristics of Axial-Flow Pump Based on Two-Way Fluid-Structure Coupling. Energies 2022, 15, 8965. [Google Scholar] [CrossRef]
- Yang, F.; Jiang, D.J.; Hu, W.Z.; Nasr, A.; Liu, C.; Xie, R.S. Dynamic stress characteristics and fatigue life analysis of a slanted axial-flow pump. Proc. Inst. Mech. Eng. Part C-J. Eng. Mech. Eng. Sci. 2023, 237, 2858. [Google Scholar] [CrossRef]
- Liu, X.Y.; Xu, F.Y.; Cheng, L.; Pan, W.F.; Jiao, W.X. Stress Characteristics Analysis of Vertical Bi-Directional Flow Channel Axial Pump Blades Based on Fluid-Structure Coupling. Machines 2022, 10, 368. [Google Scholar] [CrossRef]
- Shi, L.J.; Wu, C.X.; Wang, L.; Xu, T.; Jiang, Y.H.; Chai, Y.; Zhu, J. Influence of Blade Angle Deviation on the Hydraulic Performance and Structural Characteristics of S-Type Front Shaft Extension Tubular Pump Device. Processes 2022, 10, 328. [Google Scholar] [CrossRef]
- Shi, L.J.; Zhu, J.; Wang, L.; Chu, S.J.; Tang, F.P.; Jin, Y. Comparative Analysis of Strength and Modal Characteristics of a Full Tubular Pump and an Axial Flow Pump Impellers Based on Fluid-Structure Interaction. Energies 2021, 14, 6395. [Google Scholar] [CrossRef]
- Zhang, D.S.; Pan, D.Z.; Xu, Y.; Shao, P.P.; Wang, G.T. Numerical Investigation of Blade Dynamic Characteristics in an Axial Flow Pump. Therm. Sci. 2013, 17, 1511. [Google Scholar]
- Zhou, Y.; Zheng, Y.; Kan, K.; Zhang, Y.Q.; Wang, H.L.; Tang, W.; Zhao, M.S. Study on hydraulic characteristics of large vertical axial-flow pump used as constant frequency power generation. Proc. Inst. Mech. Eng. Part A-J. Power Energy 2021, 235, 59. [Google Scholar] [CrossRef]
- Wang, S.; Zhang, L.J.; Yin, G.J. Numerical Investigation of the FSI Characteristics in a Tubular Pump. Math. Probl. Eng. 2017, 9, 7897614. [Google Scholar]
- Ji, Z.L. Research on thermal-fluid-structure coupling of valve plate pair in an axial piston pump with high pressure and high speed. Ind. Lubr. Tribol. 2018, 70, 1137. [Google Scholar] [CrossRef]
- Wei, R.F.; Ye, Z.F. Experimental and numerical analysis of fluid-solid-thermal coupling on electric fuel pump. Proc. Inst. Mech. Eng. Part G-J. Aerosp. Eng. 2021, 235, 1427. [Google Scholar] [CrossRef]
- Zhou, W.J.; Yu, D.L.; Wang, Y.F.; Shi, J.L.; Gan, B. Research on the Fluid-Induced Excitation Characteristics of the Centrifugal Pump Considering the Compound Whirl Effect. Facta Univ.-Ser. Mech. 2023, 21, 223. [Google Scholar]
- Zhang, L.J.; Wang, S.; Yin, G.J.; Guan, C.N. Fluid–Structure Interaction Analysis of Fluid Pressure Pulsation and Structural Vibration Features in A Vertical Axial Pump. Adv. Mech. Eng. 2019, 11, 1687814019828585. [Google Scholar] [CrossRef]
























Disclaimer/Publisher’s Note: The statements, opinions and data contained in all publications are solely those of the individual author(s) and contributor(s) and not of MDPI and/or the editor(s). MDPI and/or the editor(s) disclaim responsibility for any injury to people or property resulting from any ideas, methods, instructions or products referred to in the content. |
© 2024 by the authors. Licensee MDPI, Basel, Switzerland. This article is an open access article distributed under the terms and conditions of the Creative Commons Attribution (CC BY) license (https://creativecommons.org/licenses/by/4.0/).
Share and Cite
Zhu, Y.; Jiao, H.; Wang, S.; Zhu, W.; Wang, M.; Chen, S. Analysis of Pressure Pulsation and Structural Characteristics of Vertical Shaft Cross-Flow Pumps. Water 2024, 16, 324. https://doi.org/10.3390/w16020324
Zhu Y, Jiao H, Wang S, Zhu W, Wang M, Chen S. Analysis of Pressure Pulsation and Structural Characteristics of Vertical Shaft Cross-Flow Pumps. Water. 2024; 16(2):324. https://doi.org/10.3390/w16020324
Chicago/Turabian StyleZhu, Yadong, Haifeng Jiao, Shihui Wang, Wenbo Zhu, Mengcheng Wang, and Songshan Chen. 2024. "Analysis of Pressure Pulsation and Structural Characteristics of Vertical Shaft Cross-Flow Pumps" Water 16, no. 2: 324. https://doi.org/10.3390/w16020324
APA StyleZhu, Y., Jiao, H., Wang, S., Zhu, W., Wang, M., & Chen, S. (2024). Analysis of Pressure Pulsation and Structural Characteristics of Vertical Shaft Cross-Flow Pumps. Water, 16(2), 324. https://doi.org/10.3390/w16020324

