An Analytical Solution for Characterizing Mine Water Recharge of Water Source Heat Pump in Abandoned Coal Mines
Abstract
1. Introduction
2. Mathematical Model and Analytical Solution
2.1. Mathematical Model
2.2. Derivation of the Analytical Solution
3. Results
3.1. Comparison of This Study with the Existing Analytical Solution
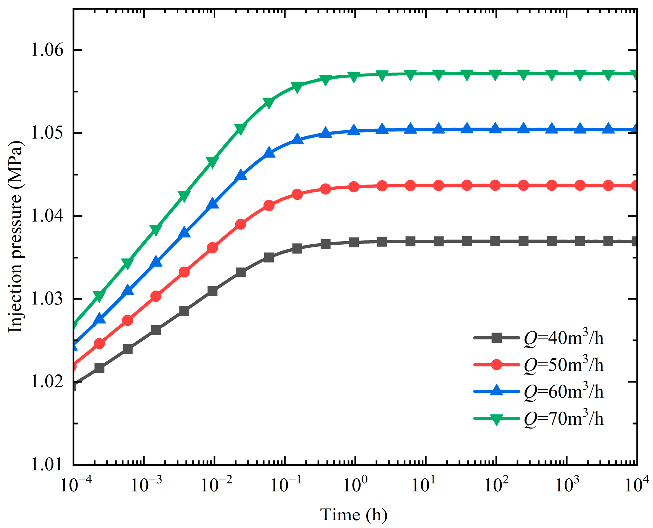
3.2. Injection Pressure versus Time with the Pumping Rate
3.3. Injection Pressure versus Time with the Well Distance
3.4. Injection Pressure versus Time with the Specific Storage
3.5. Injection Pressure versus Time with the Hydraulic Conductivity
3.6. Injection Pressure versus Time with the Thickness of Equivalent Aquifer in Goaf
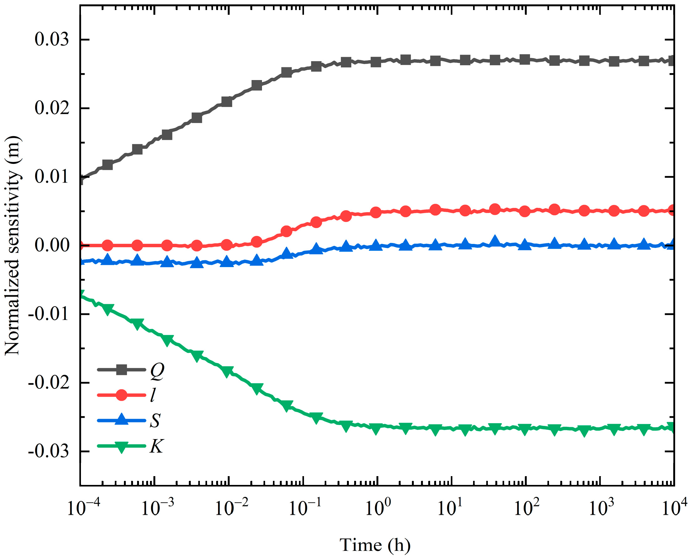
3.7. Sensitivity Analysis
4. Application of the Proposed Model
5. Conclusions
- (1)
- The injection pressure varies significantly with pumping rate, hydraulic conductivity, and the thickness of equivalent aquifer. A larger pumping rate results in a greater injection pressure, while a larger value of the hydraulic conductivity and the thickness of equivalent aquifer led to a reduced injection pressure.
- (2)
- The well distance has little impact on the early-stage injection pressure, although it is significant for the late-stage injection pressure. In contrast, larger values of specific storage result in lessened injection pressure at the beginning, but the effects of specific storage on injection pressure can be neglected at a late stage.
- (3)
- The limitations of the proposed analytical model in this study could also be clarified. The analytical model for injection pressure in an open-loop geothermal energy extraction system in an abandoned coal mine is a relatively idealized model, which do not consider the well skin, inhomogeneity of equivalent aquifer, non-Darcian flow, and different aquifer systems. Additionally, it is noteworthy that although the proposed analytical solution in this study is verified with the existing analytical solution, it would be better in the future to use actual data fromthe field or laboratory for further investigation. In future research, it is necessary to establish a new analytical model considering the effects of non-Darcian flow in such a system. This is more in line with the field reality and will help in improving our understanding of the complex water flow regime in an open-loop geothermal energy extraction system in an abandoned coal mine.
Author Contributions
Funding
Data Availability Statement
Conflicts of Interest
References
- Ling, Z.; Huang, T.; Li, J.; Zhou, S.; Lian, L.; Wang, J.; Zhao, Y.; Mao, X.; Gao, H.; Ma, J. Sulfur dioxide pollution and energy justice in Northwestern China embodied in West-East Energy Transmission of China. Appl. Energy 2019, 238, 547–560. [Google Scholar] [CrossRef]
- Xie, H.; Ren, S.; Xie, Y.; Jiao, X. Development opportunities of the coal industry towards the goal of carbon neutrality. J. China Coal Soc. 2021, 46, 2197–2211. (In Chinese) [Google Scholar] [CrossRef]
- Li, N.; Chen, W. Energy-water nexus in China’s energy bases: From the Paris agreement to the Well Below 2 Degrees target. Energy 2019, 166, 277–286. [Google Scholar] [CrossRef]
- Pu, H.; Bian, Z.; Zhang, J.; Xu, J. Research on a reuse mode of geothermal resources in abandoned coal mines. J. China Coal Soc. 2021, 46, 677–687. [Google Scholar] [CrossRef]
- Pan, X.; Wang, H.; Wang, L.; Chen, W. Decarbonization of China’s transportation sector: In light of national mitigation toward the Paris Agreement goals. Energy 2018, 155, 853–864. [Google Scholar] [CrossRef]
- Bórawski, P.; Bełdycka-Bórawska, A.; Szymańska, E.J.; Jankowski, K.J.; Dubis, B.; Dunn, J.W. Development of renewable energy sources market and biofuels in The European Union. J. Clean. Prod. 2019, 228, 467–484. [Google Scholar] [CrossRef]
- Chen, J.; Shi, Q.; Shen, L.; Huang, Y.; Wu, Y. What makes the difference in construction carbon emissions between China and USA? Sustain. Cities Soc. 2019, 44, 604–613. [Google Scholar] [CrossRef]
- Fan, J.; Xie, H.; Jie, C.; Jiang, D.; Li, C.; Tiedeu, W.N.; Ambre, J. Preliminary feasibility analysis of a hybrid pumped-hydro energy storage system using abandoned coal mine goafs. Appl. Energy 2020, 258, 114007. [Google Scholar] [CrossRef]
- Yang, X.; Wan, H.; Zhang, Q.; Zhou, J.-C.; Chen, S.-Y. A scenario analysis of oil and gas consumption in China to 2030 considering the peak CO2 emission constraint. Pet. Sci. 2016, 13, 370–383. [Google Scholar] [CrossRef]
- Yuan, L.; Jiang, Y.; Wang, K.; Zhao, Y.; Hao, X.; Xu, C. Precision exploitation and utilization of closed/abandoned mine resources in China. J. China Coal Soc. 2018, 43, 14–20. (In Chinese) [Google Scholar] [CrossRef]
- Lyu, X.; Zhang, T.; Yuan, L.; Fang, J. Prospects for the transformation and development of carbon storage in abandoned mines of coal enterprises from the perspective of carbon neutrality. Int. J. Coal Sci. Technol. 2023, 10, 36. [Google Scholar] [CrossRef]
- Liu, F.; Cao, W.; Zhang, J.; Cao, G.; Guo, L. Current technological innovation and development direction of the 14th Five-Year Plan period in China coal industry. J. China Coal Soc. 2021, 46, 1–15. (In Chinese) [Google Scholar] [CrossRef]
- Ge, Z.; Deng, K.; Zhang, L.; Zuo, S. Development potential evaluation of CO2-ECBM in abandoned coal mines. Greenh. Gases Sci. Technol. 2020, 10, 643–658. [Google Scholar] [CrossRef]
- Watzlaf, G.R.; Ackman, T.E. Underground Mine Water for Heating and Cooling using Geothermal Heat Pump Systems. Mine Water Environ. 2006, 25, 1–14. [Google Scholar] [CrossRef]
- Ramos, E.P.; Breede, K.; Falcone, G. Geothermal heat recovery from abandoned mines: A systematic review of projects implemented worldwide and a methodology for screening new projects. Environ. Earth Sci. 2015, 73, 6783–6795. [Google Scholar] [CrossRef]
- Guo, P.; Zheng, L.; Sun, X.; He, M.; Wang, Y.; Shang, J. Sustainability evaluation model of geothermal resources in abandoned coal mine. Appl. Therm. Eng. 2018, 144, 804–811. [Google Scholar] [CrossRef]
- Al-Habaibeh, A.; Athresh, A.P.; Parker, K. Performance analysis of using mine water from an abandoned coal mine for heating of buildings using an open loop based single shaft GSHP system. Appl. Energy 2018, 211, 393–402. [Google Scholar] [CrossRef]
- Menendez, J.; Ordonez, A.; Fernandez-Oro, J.M.; Loredo, J.; Diaz-Aguado, M.B. Feasibility analysis of using mine water from abandoned coal mines in Spain for heating and cooling of buildings. Renew. Energy 2020, 146, 1166–1176. [Google Scholar] [CrossRef]
- Guo, P.; Wang, M.; Dang, G.; Zhu, T.; Wang, J.; He, M. Evaluation method of underground water storage space and thermal reservoir model in abandoned mine. Rock Mech. Bull. 2023, 2, 100044. [Google Scholar] [CrossRef]
- Hall, A.; Scott, J.A.; Shang, H. Geothermal energy recovery from underground mines. Renew. Sustain. Energy Rev. 2011, 15, 916–924. [Google Scholar] [CrossRef]
- Ramos, E.P.; Falcone, G. Recovery of the geothermal energy stored in abandoned mines. In Clean Energy Systems in the Subsurface: Production, Storage and Conversion; Springer: Berlin/Heidelberg, Germany, 2013; pp. 143–155. [Google Scholar] [CrossRef]
- Xie, H.; Zhao, J.W.; Zhou, H.W.; Ren, S.H.; Zhang, R.X. Secondary utilizations and perspectives of mined underground space. Tunn. Undergr. Space Technol. 2020, 96, 103129. [Google Scholar] [CrossRef]
- Jessop, A.M.; Macdonald, J.K. Clean energy from abandoned mines at Springhill, Nova Scotia. Energy Sources 1995, 17, 93–106. [Google Scholar] [CrossRef]
- Kranz, K.; Dillenardt, J. Mine Water Utilization for Geothermal Purposes in Freiberg, Germany: Determination of Hydrogeological and Thermophysical Rock Parameters. Mine Water Environ. 2010, 29, 68–76. [Google Scholar] [CrossRef]
- Qi, T.; Zhang, F.; Pei, X.; Feng, G.; Wei, H. Simulation research and application on response characteristics of detecting water-filled goaf by transient electromagnetic method. Int. J. Coal Sci. Technol. 2022, 9, 17. [Google Scholar] [CrossRef]
- Neves, R.; Cho, H.; Zhang, J. Techno-economic analysis of geothermal system in residential building in Memphis, Tennessee. J. Build. Eng. 2020, 27, 100993. [Google Scholar] [CrossRef]
- Guo, P.; Wang, M.; Sun, X.; He, M. Study on off-season cyclic energy storage in underground space of abandoned space. J. China Coal Soc. 2022, 47, 2193–2206. [Google Scholar] [CrossRef]
- Zhang, C.; Luo, B.; Xu, Z.; Sun, Y.; Feng, L. Research on the Capacity of Underground Reservoirs in Coal Mines to Protect the Groundwater Resources: A Case of Zhangshuanglou Coal Mine in Xuzhou, China. Water 2023, 15, 1468. [Google Scholar] [CrossRef]
- Ghoreishi-Madiseh, S.A.; Hassani, F.; Abbasy, F. Numerical and experimental study of geothermal heat extraction from backfilled mine stopes. Appl. Therm. Eng. 2015, 90, 1119–1130. [Google Scholar] [CrossRef]
- Chudy, K. Mine Water as Geothermal Resource in Nowa Ruda Region (SW Poland). Water 2022, 14, 136. [Google Scholar] [CrossRef]
- Wang, H.; Xu, Y.; Yuan, L.; Sun, Y.; Cai, Y. Analysis of geothermal heat recovery from abandoned coal mine water for clean heating and cooling: A case from Shandong, China. Renew. Energy 2024, 228, 120659. [Google Scholar] [CrossRef]
- Jardon, S.; Ordonez, A.; Alvarez, R.; Cienfuegos, P.; Loredo, J. Mine Water for Energy and Water Supply in the Central Coal Basin of Asturias (Spain). Mine Water Environ. 2013, 32, 139–151. [Google Scholar] [CrossRef]
- Bao, T.; Liu, Z. Geothermal energy from flooded mines: Modeling of transient energy recovery with thermohaline stratification. Energy Convers. Manag. 2019, 199, 111956. [Google Scholar] [CrossRef]
- Rodríguez, R.; Díaz, M.B. Analysis of the utilization of mine galleries as geothermal heat exchangers by means a semi-empirical prediction method. Renew. Energy 2009, 34, 1716–1725. [Google Scholar] [CrossRef]
- Hamm, V.; Sabet, B.B. Modelling of fluid flow and heat transfer to assess the geothermal potential of a flooded coal mine in Lorraine, France. Geothermics 2010, 39, 177–186. [Google Scholar] [CrossRef]
- Raymond, J.; Therrien, R. Optimizing the design of a geothermal district heating and cooling system located at a flooded mine in Canada. Hydrogeol. J. 2014, 22, 217–231. [Google Scholar] [CrossRef]
- Sun, Y.; Zhang, X.; Li, X.; Duan, C. A geothermal energy heat exchange system suitable for abandoned mines and its optimization. Heat Mass Transf. 2023, 59, 1749–1766. [Google Scholar] [CrossRef]
- Zhang, Z.; Zu, W.; Zhang, W.; Wang, K.; Ma, X.; Cui, P. Investigation of Theoretical Models, Pumping-Recharge Well Arrangements and System Performance of Abandoned Mine Water Source Heat Pump. Energy Built Environ. 2024, in press. [Google Scholar] [CrossRef]
- Şen, Z. Type Curves for Two-Regime Well Flow. J. Hydrol. Eng. 1988, 114, 1431–1542. [Google Scholar] [CrossRef]
- Papadopulos, I.S.; Cooper, H.H., Jr. Drawdown in a well of large diameter. Water Resour. Res. 1967, 3, 241–244. [Google Scholar] [CrossRef]
- Liu, G.; Wu, S.; Fan, Z.; Zhou, Z.; Xie, C.; Wu, J.; Liu, Y. Analytical derivation on recharge and periodic backwashing process and the variation or recharge pressure. J. Jilin Univ. (Earth Sci. Ed.) 2016, 46, 1799–1807. [Google Scholar] [CrossRef]
- Stehfest, H. Algorithm 368: Numerical inversion of Laplace transforms. Commun. ACM 1970, 13, 47–49. [Google Scholar] [CrossRef]
- Stehfest, H. Remark on Algorithm 368: Numerical inversion of Laplace transforms. Commun. ACM 1970, 13, 624. [Google Scholar] [CrossRef]
- Crump, K.S. Numerical inversion of Laplace transforms using a Fourier-series approximation. J. ACM 1976, 23, 89–96. [Google Scholar] [CrossRef]
- DeHoog, F.R.; Knight, J.H.; Stokes, A.N. An improved method for numerical inversion of Laplace transforms. SIAM J. Sci. Stat. Comput. 1982, 3, 357–366. [Google Scholar] [CrossRef]
- Ma, C.; Zhou, W.; Yun, T.; Liu, X. Study of recharge ability for groundwater heat pump with pumping and recharging in two wells. Acta Energiae Solaris Sin. 2015, 36, 593–598. [Google Scholar] [CrossRef]
- Kabala, Z.J. Sensitivity analysis of a pumping test on a well with wellbore storage and skin. Adv. Water Resour. 2001, 24, 483–504. [Google Scholar] [CrossRef]
- Yeh, W. Review of parameter identification procedures in groundwater hydrology: The inverse problem. Water Resour. Res. 1986, 22, 95–108. [Google Scholar] [CrossRef]
- Wen, Z.; Liu, K.; Chen, X. Approximate analytical solution for non-Darcian flow toward a partially penetrating well in a confined aquifer. J. Hydrol. 2013, 498, 124–131. [Google Scholar] [CrossRef]
- Tu, K.; Wu, Q.; Simunek, J.; Chen, C.; Zhu, K.; Zeng, Y.; Xu, S.; Wang, Y. An Analytical Solution of Groundwater Flow in a Confined Aquifer with a Single-Well Circulation System. Water Resour. Res. 2020, 56, e2020WR027529. [Google Scholar] [CrossRef]
- Tu, K.; Wu, Q.; Simunek, J.; Zhu, K.; Chen, C.; Zheng, W.; Zeng, Y.; Xu, S. An approximate analytical solution for non-Darcian flow in a confined aquifer with a single well circulation groundwater heat pump system. Adv. Water Resour. 2020, 145, 103740. [Google Scholar] [CrossRef]
- Tu, K.; Wu, Q.; Zhang, N.; Liu, X. An analytical model for a single-well circulation system in a confined aquifer with a finite thickness well skin. International J. Numer. Anal. Methods Geomech. 2023, 47, 1289–1309. [Google Scholar] [CrossRef]









Disclaimer/Publisher’s Note: The statements, opinions and data contained in all publications are solely those of the individual author(s) and contributor(s) and not of MDPI and/or the editor(s). MDPI and/or the editor(s) disclaim responsibility for any injury to people or property resulting from any ideas, methods, instructions or products referred to in the content. |
© 2024 by the authors. Licensee MDPI, Basel, Switzerland. This article is an open access article distributed under the terms and conditions of the Creative Commons Attribution (CC BY) license (https://creativecommons.org/licenses/by/4.0/).
Share and Cite
Tu, K.; Pan, X.; Zhang, H.; Li, X.; Zhao, H. An Analytical Solution for Characterizing Mine Water Recharge of Water Source Heat Pump in Abandoned Coal Mines. Water 2024, 16, 2781. https://doi.org/10.3390/w16192781
Tu K, Pan X, Zhang H, Li X, Zhao H. An Analytical Solution for Characterizing Mine Water Recharge of Water Source Heat Pump in Abandoned Coal Mines. Water. 2024; 16(19):2781. https://doi.org/10.3390/w16192781
Chicago/Turabian StyleTu, Kun, Xiaoqiang Pan, Hongwei Zhang, Xiang Li, and Hongyi Zhao. 2024. "An Analytical Solution for Characterizing Mine Water Recharge of Water Source Heat Pump in Abandoned Coal Mines" Water 16, no. 19: 2781. https://doi.org/10.3390/w16192781
APA StyleTu, K., Pan, X., Zhang, H., Li, X., & Zhao, H. (2024). An Analytical Solution for Characterizing Mine Water Recharge of Water Source Heat Pump in Abandoned Coal Mines. Water, 16(19), 2781. https://doi.org/10.3390/w16192781

