Water Quality Assessment and Management Strategies for Nishan Reservoir, Sihe River, and Yihe River Based on Scientific Evaluation
Abstract
1. Introduction
2. Materials and Methods
2.1. Site, Soil and Weather Status
2.2. Water Quality Parameter Analysis
3. Results
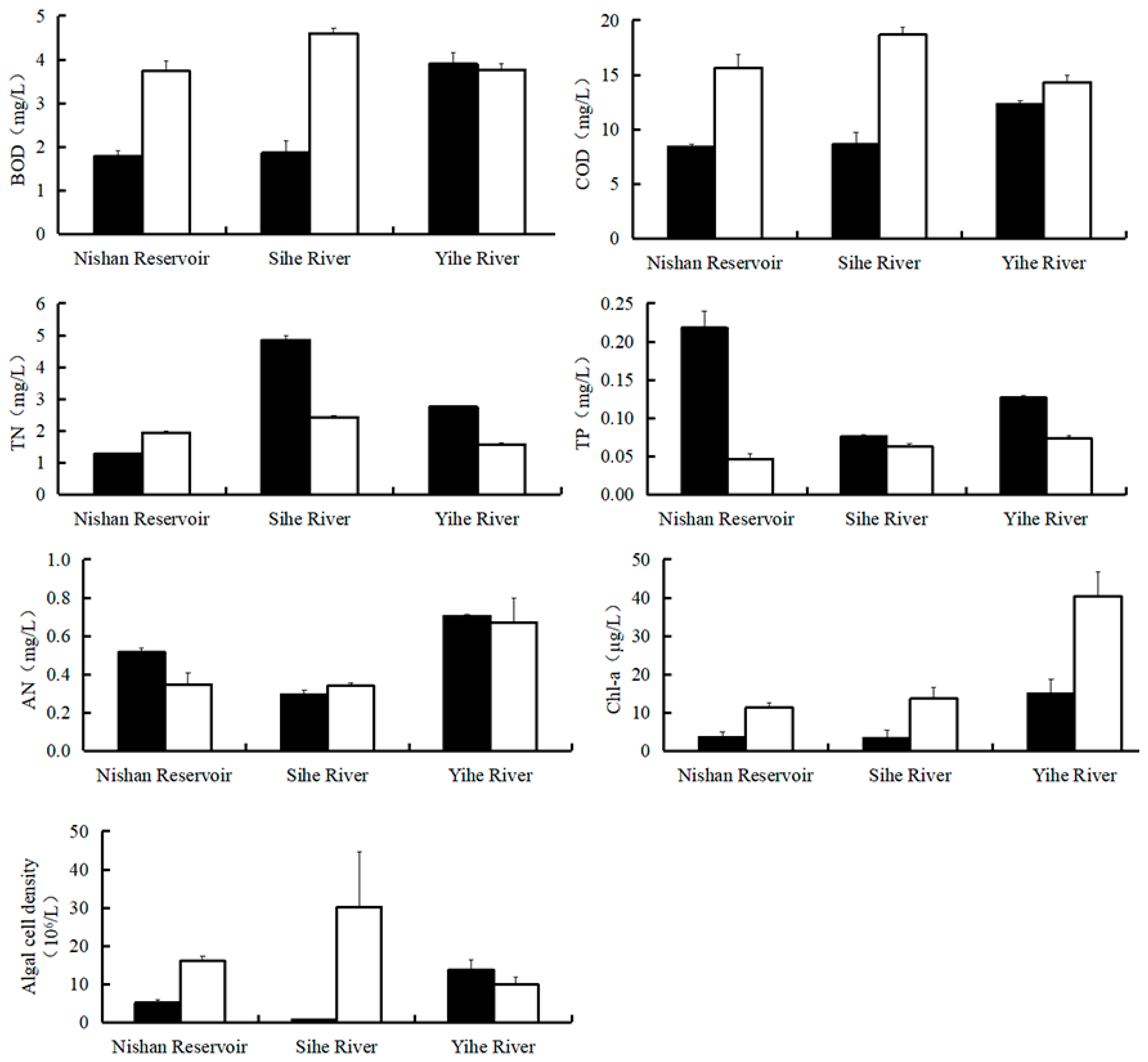
3.1. Differences in Water Quality Factors
3.2. Water Quality Evaluation
3.3. Correlation of Water Quality Factors
4. Discussion
5. Conclusions
Author Contributions
Funding
Data Availability Statement
Conflicts of Interest
References
- Jabbo, J.N.; Isa, N.M.; Aris, A.Z.; Ramli, M.F.; Abubakar, M.B. Geochemometric approach to groundwater quality and health risk assessment of heavy metals of Yankari game reserve and its environs, Northeast Nigeria. J. Clean. Prod. 2022, 330, 129916. [Google Scholar] [CrossRef]
- Lyu, H.M.; Shen, S.L.; Zhou, A. The development of IFN-SPA: A new risk assessment method of urban water quality and its application in Shanghai. J. Clean. Prod. 2020, 282, 124542. [Google Scholar] [CrossRef]
- Nandi, S.; Sharma, A.; Ahmed, S.; Teotia, D. Physicochemical assessment of groundwater quality at kashipur (uttarakhand) industrial areas. Indian J. Geo-Mar. Sci. 2020, 49, 1486–1494. [Google Scholar]
- Shukla, S.; Saxena, A. Water quality index assessment of groundwater in the Central Ganga Plain with reference to Raebareli district, Uttar Pradesh, India. Curr. Sci. 2020, 119, 1308–1315. [Google Scholar] [CrossRef]
- Xu, J.; Xu, Z. China sewage treatment engineering issues assessment. J. Clean. Prod. 2022, 377, 134391. [Google Scholar] [CrossRef]
- Zang, N.; Zhu, J.; Wang, X.; Liao, Y.J.; Cao, G.Z.; Li, C.H.; Liu, Q.; Yang, Z.F. Eutrophication risk assessment considering joint effects of water quality and water quantity for a receiving reservoir in the South-to-North Water Transfer Project, China. J. Clean. Prod. 2022, 331, 129966. [Google Scholar] [CrossRef]
- Bolds, S.A.; Graeme, L.B.; Ditchkoff, S.S.; Smith, M.D.; VerCauteren, K.C. Impacts of a large invasive mammal on water quality in riparian ecosystems. J. Environ. Qual. 2021, 50, 441–453. [Google Scholar] [CrossRef] [PubMed]
- Jolley, R.L.; Lockaby, B.G.; Governo, R.M. Vegetation nutrient dynamics associated with sedimentation in headwater riparian forests. Soil Sci. Soc. Am. J. 2010, 74, 1389–1397. [Google Scholar] [CrossRef]
- Santy, S.; Mujumdar, P.; Bala, G. Potential impacts of climate and land use change on the water quality of ganga river around the industrialized kanpur region. Sci. Rep. 2020, 10, 9107. [Google Scholar] [CrossRef]
- Li, X.; Gao, Y. Influence of the island with grass and the island with trees to water quality in Yihe River, China. Desalination Water Treat. 2018, 121, 186–190. [Google Scholar] [CrossRef]
- Xu, S.Z.; Wang, Y.X.; Wang, Y.D.; Zhao, Y.J.; Gao, Y. Seasonal influence of reed (Phragmites australis) and lotus (Nelumbo nucifera) on urban wetland of Yi River. Appl. Ecol. Environ. Res. 2019, 17, 7891–7900. [Google Scholar] [CrossRef]
- Gao, Y.; Zhao, Y.J. Annual dynamics of water quality in a small urban landscape lake: A case study of Lake Wuzhou, China. Desalination Water Treat. 2020, 202, 264–268. [Google Scholar] [CrossRef]
- Wang, X.J.; Meng, F.H.; Xie, Y. Analysis and Treatment Measures of Collapse Vulnerability in Front of Nishan Reservoir Dam. Shandong Water Resour. 2021, 23, 32–33. [Google Scholar]
- Qi, J.H.; Yang, L.Y.; Zhang, Y.; Jiang, D.D.; Zhao, T.T. Analysis on Water Quality Change and Influencing Factors of the Sihe River. J. Univ. Jinan (Sci. Technol.) 2021, 35, 374–379. [Google Scholar]
- Feng, L.J.; Xing, Y.M.; Liu, C.C.; Lin, Z.Q.; Shu, F.Y. Temporal variation of nitrogen and phosphorus and eutrophication assessment in Sihe River. J. Qufu Norm. Univ. (Nat. Sci.) 2014, 40, 79–83. [Google Scholar]
- Zang, Y.C.; Li, G.P.; Wang, X.L.; Meng, F.Z.; Wang, J.J.; Wang, G.C.; Meng, X.F. Discussion on Artificial Breeding and Several Issues of Protosalanx chinensis in Nishan Reservoir. Riserv. Fish. 1997, 17, 34–36. [Google Scholar]
- Ministry of Environmental Protection of the People’s Republic of China. Water Quality—Determination of Biochemical Oxygen Demand after 5 Days (BOD5) for Dilution and Seeding Method [HJ 505-2009]; China Environmental Science Press: Beijing, China, 2009.
- Ministry of Environmental Protection of the People’s Republic of China. Water Quality—Determination of the Chemical Oxygen Demand-Dichromate Method [HJ 828-2017]; China Environmental Science Press: Beijing, China, 2017.
- Ministry of Environmental Protection of the People’s Republic of China. Water Quality—Determination of Total Nitrogen-Alkaline Potassium Persulfate Digestion UV Spectrophotometric Method [HJ 636-2012]; China Environmental Science Press: Beijing, China, 2012.
- Ministry of Environmental Protection of the People’s Republic of China. Water Quality—Determination of Ammonia Nitrogen―Nessler’s Reagent Spectrophotometry [HJ 535-2009]; China Environmental Science Press: Beijing, China, 2009.
- Ministry of Environmental Protection of the People’s Republic of China. Water Quality—Determination of Total Phosphorus-Ammonium Molybdate Spectrophotometric Method [GB-11839-1989]; China Environmental Science Press: Beijing, China, 1989.
- Gao, Y. Exploration and Practice of High-End Study Tours for High School Students; China Ocean University Press: Qingdao, China, 2019; Volume 3, p. 20. [Google Scholar]
- Gao, Y. Ecological View and Practice on the Life Community of Mountains, Rivers, Forests, Fields, Lakes and Grasses; China Ocean University Press: Qingdao, China, 2020; Volume 12, p. 65. [Google Scholar]
- Gao, Y.; Yan, J.H.; Meng, Q.Y. The Ecological Environment and Civilization of Mengshan and Yishui; China Ocean University Press: Qingdao, China, 2018; Volume 7, p. 192. [Google Scholar]
- GB 3838-2002; Environmental Quality Standards for Surface Water. China Environmental Science Press: Beijing, China, 2002.
- Wang, Z.H.; Li, S.X. Nitrate N loss by leaching and surface runoff in agricultural land: A global issue (a review). Adv. Agron. 2019, 156, 159–217. [Google Scholar]
- Arango, M.A.; Rice, C.W. Impact of nitrogen management and tillage practices on nitrous oxide emission. Soil Sci. Soc. Am. J. 2021, 85, 1425–1436. [Google Scholar] [CrossRef]
- Cui, J.S.; Liu, S.F.; Gao, Y.K.; Liu, Z.F.; Guan, S.; Wang, Y.H. Assessment of groundwater nitrate content under land use changes in Zhanjiang City. Environ. Chem. 2022, 41, 2264–2275. [Google Scholar]
- Ida, K.S.; Torben, O.S.; Christen, D.B.; Dennis, T.; Jørgen, E.O.; Jens, C.R. Impacts of land use, climate change and hydrological model structure on nitrate fluxes: Magnitudes and uncertainties. Sci. Total Environ. 2022, 830, 154671. [Google Scholar]
- Zheng, L.J.; Gao, H.J.; Song, Y.H.; Han, L.; Lv, C.J. Comprehensive Evaluation and Analysis of Surface Water Quality for Typical Cities of China. J. Environ. Eng. Technol. 2016, 6, 252–258. [Google Scholar]
- Vigiak, O.; Grizzetti, B.; Udias-Moinelo, A.; Zanni, M.; Dorati, C.; Bouraoui, F.; Pistocchi, A. Predicting biochemical oxygen demand in European freshwater bodies. Sci. Total Environ. 2019, 666, 1089–1105. [Google Scholar] [CrossRef] [PubMed]
- Guo, Y.C. Research on sustainable utilization strategy of rainwater recycling treatment and circulating water system in urban construction. Eng. Technol. Res. 2023, 5, 144–146. [Google Scholar]
- Lv, L.; Wu, P.T.; Zhao, X.N.; Wang, Y.B. Research advance of urban rainwater utilization. Sci. Soil Water Concervation 2009, 7, 118–123. [Google Scholar]
- Ferreira, J.C.; Costa dos Santos, D.; Campos, L.C. Blue-green infrastructure in view of Integrated Urban Water Management: A novel assessment of an effectiveness index. Water Res. 2024, 257, 121658. [Google Scholar] [CrossRef] [PubMed]
- Tsatsou, A.; Frantzeskaki, N.; Malamis, S. Nature-based solutions for circular urban water systems: A scoping literature review and a proposal for urban design and planning. J. Clean. Prod. 2023, 394, 136325. [Google Scholar] [CrossRef]
- Liu, L.; Jensen, M.B. Green infrastructure for sustainable urban water management: Practices of five forerunner cities. Cities 2018, 74, 126–133. [Google Scholar] [CrossRef]
- Oral, H.V.; Carvalho, P.; Gajewska, M.; Ursino, N.; Masi, F.; Van Hullebusch, E.D.; Kazak, J.K.; Exposito, A.; Cipolletta, G.; Andersen, T.R.; et al. A review of nature-based solutions for urban water management in European circular cities: A critical assessment based on case studies and literature. Blue-Green Syst. 2020, 2, 112–136. [Google Scholar] [CrossRef]
- Xie, Z.H.; Chen, S.; Qin, P.H.; Jia, B.H.; Xie, J.B. Research on climate feedback of human water use and its impact on terrestrial water cycles—Advances and challenges. Adv. Earth Sci. 2019, 34, 801–813. [Google Scholar]
- McGrane, S.J. Impacts of urbanisation on hydrological and water quality dynamics, and urban water management: A review. Hydrol. Sci. J. 2016, 61, 2295–2311. [Google Scholar] [CrossRef]
- WANG, J.H.; LI, J.L.; Jiang, D.S.; Wu, H.H.; Wang, S.G.; Lin, A.J. The potential impact of phosphorus concentration in typical lakes in China on water body indicators and cyanobacteria bloom trends based on meta-analysis. J. Beijing Univ. Chem. Technol. (Nat. Sci.) 2021, 48, 59–67. [Google Scholar]
- Yu, R.C.; Luo, X. Status and Research Perspectives on Toxic Algae and Phycotoxins in the Coastal Waters of China. Stud. Mar. Sin. 2016, 51, 155–166. [Google Scholar]
- Chen, C.C.; Rao, L.; Huang, J.L.; Bai, M.D. Seasonal Variation on Nutrient Limitation for Phytoplankton Growth in a Coastal River-Reservoir System, Southeast China. Environ. Sci. 2015, 36, 3238–3247. [Google Scholar]
- Lin, L.; Xu, W.F.; Liu, L.H.; Wang, F.F.; Yang, S.C.; Cao, W.Z. Assessment of impacts of river nutrient input and structural changes on estuarine eutrophication potential. Lake Sci. 2023, 35, 1990–1999. [Google Scholar]
- Lheureux, A.; David, V.; Del Amo, Y.; Soudant, D.; Auby, I.; Ganthy, F.; Blanchet, H.; Cordier, M.-A.; Costes, L.; Ferreira, S.; et al. Bi-decadal changes in nutrient concentrations and ratios in marine coastal ecosystems: The case of the Arcachon bay, France. Prog. Oceanogr. 2022, 201, 102740. [Google Scholar] [CrossRef]
- Elser, J.J.; Bracken, M.E.S.; Cleland, E.E.; Gruner, D.S.; Harpole, W.S.; Hillebrand, H.; Ngai, J.T.; Seabloom, E.W.; Shurin, J.B.; Smith, J.E. Global analysis of nitrogen and phosphorus limitation of primary producers in freshwater, marine and terrestrial ecosystems. Ecol. Lett. 2007, 10, 1135–1142. [Google Scholar] [CrossRef] [PubMed]
- Li, S.; Song, K.; Wang, S.; Liu, G.; Wen, Z.; Shang, Y.; Lyu, L.; Chen, F.; Xu, S.; Tao, H.; et al. Quantification of chlorophyll-a in typical lakes across China using Sentinel-2 MSI imagery with machine learning algorithm. Sci Total Environ. 2021, 778, 146271. [Google Scholar] [CrossRef] [PubMed]
- Shu, W.X.; Zhang, Y.S.; Wei, C.Z. Seasonal dynamics of and factors in phytoplankton in Hongze Lake. Water Resour. Prot. 2016, 32, 115–122. [Google Scholar]
- Wu, X.H.; Li, Q.J. Reviews of influences from hydrodynamic conditions on algae. Ecol. Environ. Sci. 2010, 19, 1732–1738. [Google Scholar]
- Lone, S.A.; Hamid, A.; Bhat, S.U. Algal Community Dynamics and Underlying Driving Factors in Some Crenic Habitats of Kashmir Himalaya. Water Air Soil Pollut. 2021, 232, 104. [Google Scholar] [CrossRef]
- Ferragut, C.; Casartelli, M.R.; dos Santos, T.R.; Henry, R. Changes in algal communities in different habitats and environmental variables during an atypical drought period in a marginal lake to a river. Wetl. Ecol Manag. 2023, 31, 213–227. [Google Scholar] [CrossRef]
- Dai, Y.H.; Yang, S.B.; Zhao, D.; Hu, C.M.; Xu, W.; Anderson, D.M.; Li, Y.; Song, X.P.; Boyce, D.G.; Gibson, L.; et al. Coastal phytoplankton blooms expand and intensify in the 21st century. Nature 2023, 615, 280–284. [Google Scholar] [CrossRef] [PubMed]
- Zhang, H.X.; Bai, X.; Huo, S.L.; Zhang, J.T.; He, Z.S.; Ma, C.Z.; Li, X.C.; Lu, Y.M. Succession of Phytoplankton Algae Community and Influencing Factors in Yuqiao Resevoir. Res. Environ. Sci. 2020, 33, 2802–2809. [Google Scholar]
- Wu, N.C.; Tang, T.; Zhou, S.C.; Jia, X.H.; Li, D.F.; Liu, R.Q.; Cai, Q.H. Changes in benthic algal communities following construction of a run-of-river dam. J. N. Am. Benthol. Soc. 2009, 28, 69–79. [Google Scholar] [CrossRef]
- Zeng, K.; Elamurugu, A.G.; Gu, H.F.; Hoteit, L.; Huang, Y.; Zhan, P. Spatiotemporal Expansion of Algal Blooms in Coastal China Seas. Environ. Sci. Technol. 2023, 59, 1029. [Google Scholar] [CrossRef]


| Nishan Reservoir | Sihe River | Yihe River | ||||
|---|---|---|---|---|---|---|
| 2021 | 2022 | 2021 | 2022 | 2021 | 2022 | |
| BOD | Class I | Class III | Class I | Class IV | Class III | Class III |
| COD | Class I | Class III | Class I | Class III | Class I | Class IV |
| TN | Class IV | Class V | Poor Class V | Poor Class V | Poor Class V | Class V |
| TP | Poor Class V | Class III | Class II | Class II | Class III | Class II |
| AN | Class III r | Class II r | Class II | Class II | Class III | Class III |
| BOD | COD | TN | TP | AN | Chlorophyll A | |
|---|---|---|---|---|---|---|
| BOD | 1.000 | |||||
| COD | 0.902 ** | 1.000 | ||||
| TN | −0.277 | −0.295 | 1.000 | |||
| TP | −0.539 ** | −0.557 ** | −0.413 * | 1.000 | ||
| AN | 0.184 | −0.025 | 0.466 * | 0.356 | 1.000 | |
| Chlorophyll A | 0.540 ** | 0.447 * | −0.332 | −0.325 | 0.584 * | 1.000 |
| Density of algal cells | 0.684 ** | 0.688 ** | −0.262 | −0.302 | −0.003 | 0.276 |
| Nishan Reservoir | Sihe River | Yihe River | ||||
|---|---|---|---|---|---|---|
| 2021 | 2022 | 2021 | 2022 | 2021 | 2022 | |
| Minimum value | 5.08 | 33.33 | 61.13 | 34.86 | 21.08 | 19.25 |
| Maximum value | 7.44 | 49.00 | 70.86 | 41.50 | 23.00 | 23.57 |
| Average | 5.85 | 46.19 | 63.71 | 38.62 | 21.74 | 21.51 |
Disclaimer/Publisher’s Note: The statements, opinions and data contained in all publications are solely those of the individual author(s) and contributor(s) and not of MDPI and/or the editor(s). MDPI and/or the editor(s) disclaim responsibility for any injury to people or property resulting from any ideas, methods, instructions or products referred to in the content. |
© 2024 by the authors. Licensee MDPI, Basel, Switzerland. This article is an open access article distributed under the terms and conditions of the Creative Commons Attribution (CC BY) license (https://creativecommons.org/licenses/by/4.0/).
Share and Cite
Zhang, W.-H.; Gao, Y.; Wang, Y.; Zhou, J. Water Quality Assessment and Management Strategies for Nishan Reservoir, Sihe River, and Yihe River Based on Scientific Evaluation. Water 2024, 16, 1958. https://doi.org/10.3390/w16141958
Zhang W-H, Gao Y, Wang Y, Zhou J. Water Quality Assessment and Management Strategies for Nishan Reservoir, Sihe River, and Yihe River Based on Scientific Evaluation. Water. 2024; 16(14):1958. https://doi.org/10.3390/w16141958
Chicago/Turabian StyleZhang, Wei-Hua, Yuan Gao, Ying Wang, and Jing Zhou. 2024. "Water Quality Assessment and Management Strategies for Nishan Reservoir, Sihe River, and Yihe River Based on Scientific Evaluation" Water 16, no. 14: 1958. https://doi.org/10.3390/w16141958
APA StyleZhang, W.-H., Gao, Y., Wang, Y., & Zhou, J. (2024). Water Quality Assessment and Management Strategies for Nishan Reservoir, Sihe River, and Yihe River Based on Scientific Evaluation. Water, 16(14), 1958. https://doi.org/10.3390/w16141958

