Exploring the Impact of Climate Change on Water Resources for Vegetation Covers in Extremadura (Spain)
Abstract
1. Introduction
2. Study Area
3. Materials and Methods
3.1. Vegetation Covers of Extremadura
3.2. Current and Future Climate Scenarios
3.3. Determining Water Resources
4. Results
4.1. Current Water Resources and Hydroclimate Conditions
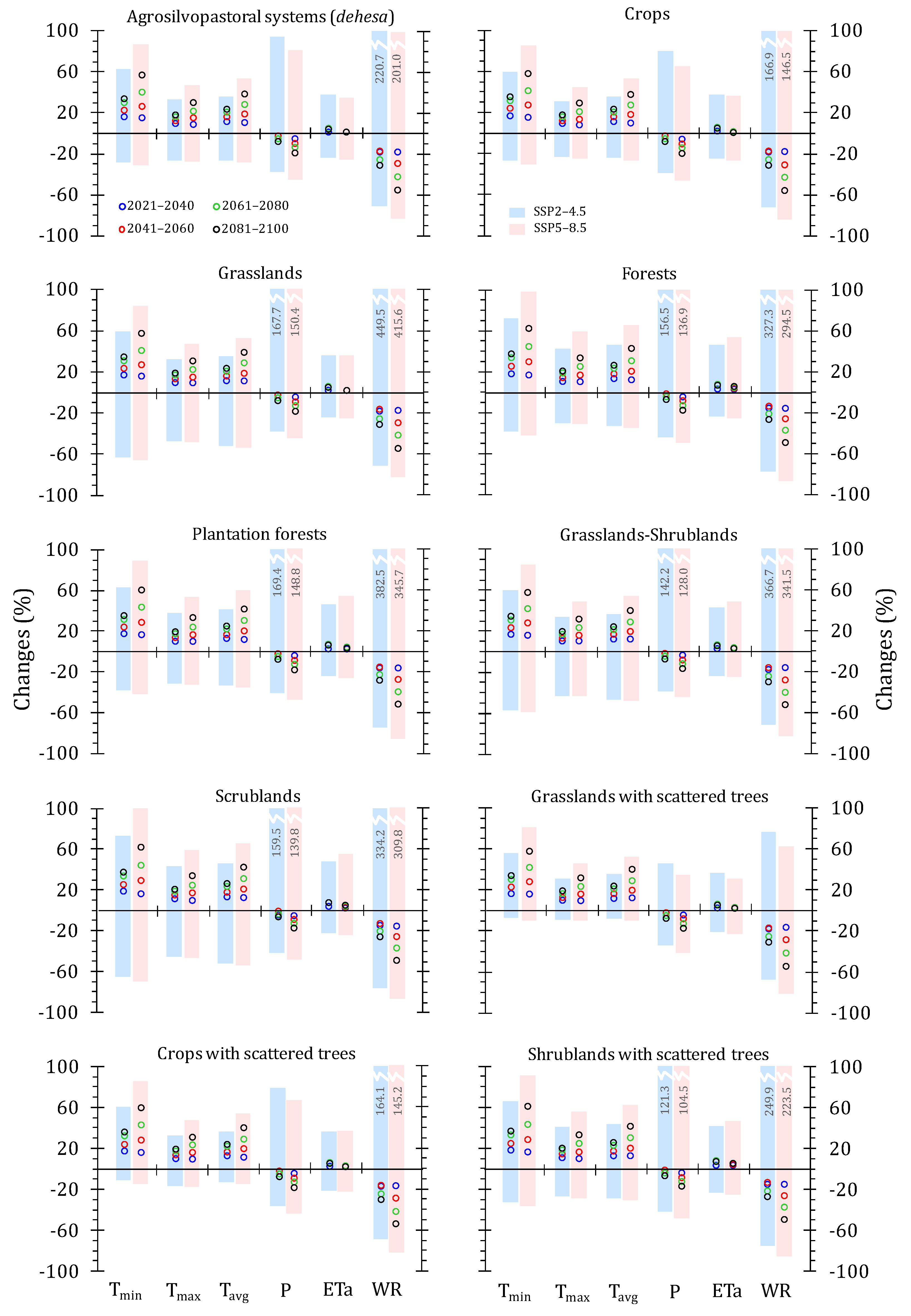
4.2. Future Water Resources and Hidroclimate Variations
5. Discussion
6. Conclusions
Author Contributions
Funding
Data Availability Statement
Acknowledgments
Conflicts of Interest
References
- Dingman, S.L. Physical Hydrology, 3rd ed.; Waveland Press, Inc.: Long Grove, IL, USA, 2015; p. 657. [Google Scholar]
- IPCC. Summary for policymakers. In Climate Change 2021: The Physical Science Basis. Contribution of Working Group I to the Sixth Assessment Report of the Intergovernmental Panel on Climate Change; Masson-Delmotte, V., Zhai, P., Pirani, A., Connors, S.L., Péan, C., Berger, S., Caud, N., Chen, Y., Goldfarb, L., Gomis, M.I., et al., Eds.; Cambridge University Press: Cambridge, UK; New York, NY, USA, 2021. [Google Scholar]
- Pokhrel, Y.; Felfelani, F.; Satoh, Y.; Boulange, J.; Burek, P.; Gädeke, A.; Gerten, D.; Gosling, S.N.; Grillakis, M.; Gudmundsson, L.; et al. Global terrestrial water storage and drought severity under climate change. Nat. Clim. Chang. 2021, 11, 226–233. [Google Scholar] [CrossRef]
- D’Odorico, P.; Bhattachan, A.; Davis, K.F.; Ravi, S.; Runyan, C.W. Global desertification: Drivers and feedbacks. Adv. Water Resour. 2013, 51, 326–344. [Google Scholar] [CrossRef]
- Cooley, S.W.; Ryan, J.C.; Smith, L.C. Human alteration of global surface water storage variability. Nature 2021, 591, 78–81. [Google Scholar] [CrossRef] [PubMed]
- Tramblay, Y.; Koutroulis, A.; Samaniego, L.; Vicente-Serrano, S.M.; Volaire, F.; Boone, A.; Page, M.L.; Llasat, M.C.; Albergel, C.; Burak, S.; et al. Challenges for drought assessment in the mediterranean region under future climate scenarios. Earth-Sci. Rev. 2020, 210, 103348. [Google Scholar] [CrossRef]
- Pekel, J.-F.; Cottam, A.; Gorelick, N.; Belward, A.S. High-resolution mapping of global surface water and its long-term changes. Nature 2016, 540, 418–422. [Google Scholar] [CrossRef]
- García-Ruiz, J.M.; López-Moreno, J.I.; Vicente-Serrano, S.M.; Lasanta–Martínez, T.; Beguería, S. Mediterranean water resources in a global change scenario. Earth-Sci. Rev. 2011, 105, 121–139. [Google Scholar] [CrossRef]
- Santini, M.; Collalti, A.; Valentini, R. Climate change impacts on vegetation and water cycle in the euro-mediterranean region, studied by a likelihood approach. Reg. Environ. Chang. 2014, 14, 1405–1418. [Google Scholar] [CrossRef]
- Schnabel, S.; Lavado Contador, J.F.; Gómez Amelia, D.; Gómez Gutiérrez, Á.; García Marín, R. Aportaciones a la Geografía Física de Extremadura con Especial Referencia a las Dehesas; Fundicotex: Cáceres, Spain, 2010; p. 257. [Google Scholar]
- Díaz, M.; Campos-Palacín, P.; Pulido, F.J. The spanish dehesas: A diversity of land use and wildlife. In Farming and Birds in Europe: The Common Agricultural Policy and Its Implications for Bird Conservation; Pain, D., Pienkowski, M., Eds.; Academic Press: London, UK, 1997; pp. 178–209. [Google Scholar]
- Herguido, E.; Lavado-Contador, J.F.; Pulido, M.; Schnabel, S. Spatial patterns of lost and remaining trees in the iberian wooded rangelands. Appl. Geog. 2017, 87, 170–183. [Google Scholar] [CrossRef]
- Abdennour, M.A.; Contador JF, L.; González, J.B.; Piccini, C.; Landaverde, A.G.; Fernández, M.P. Characterization of the water bodies of extremadura (sw spain). Environ. Monit. Assess. 2023, 195, 564. [Google Scholar] [CrossRef]
- Jaraíz Cabanillas, F.J.; Aliseda, J.M.; Gallego, J.A.G. Land cover and land use change in the central spanish-portuguese border region. BAGE 2012, 60, 369–398. [Google Scholar] [CrossRef][Green Version]
- Lozano-Parra, J.; Schnabel, S.; Pulido, M.; Gómez-Gutiérrez, Á.; Lavado-Contador, F. Effects of soil moisture and vegetation cover on biomass growth in water-limited environments. Land Degrad. Dev. 2018, 29, 4405–4414. [Google Scholar] [CrossRef]
- Asbjornsen, H.; Goldsmith, G.R.; Alvarado-Barrientos, M.S.; Rebel, K.; Osch, F.P.V.; Rietkerk, M.; Chen, J.; Gotsch, S.; Tobón, C.; Geissert, D.R.; et al. Ecohydrological advances and applications in plant–water relations research: A review. J. Plant Ecol. 2011, 4, 3–22. [Google Scholar] [CrossRef]
- Callaway, R.M. Positive Interactions and Interdependence in Plant Communities; Springer: Dordrecht, The Netherlands, 2007; p. 418. [Google Scholar]
- Gouveia, C.M.; Trigo, R.M.; Beguería, S.; Vicente-Serrano, S.M. Drought impacts on vegetation activity in the mediterranean region: An assessment using remote sensing data and multi-scale drought indicators. Glob. Planet. Chang. 2017, 151, 15–27. [Google Scholar] [CrossRef]
- González-Dugo, M.P.; Chen, X.; Andreu, A.; Carpintero, E.; Gómez-Giraldez, P.J.; Carrara, A.; Su, Z. Long-term water stress and drought assessment of mediterranean oak savanna vegetation using thermal remote sensing. Hydrol. Earth Syst. Sci. 2021, 25, 755–768. [Google Scholar] [CrossRef]
- Lozano-Parra, J.; Maneta, M.; Schnabel, S. Climate and topographic controls on simulated pasture production in a semiarid mediterranean watershed with scattered tree cover. Hydrol. Earth Syst. Sci. 2014, 18, 1439–1456. [Google Scholar] [CrossRef]
- Caylor, K.K.; Scanlon, T.M.; Rodríguez-Iturbe, I. Ecohydrological optimization of pattern and processes in water-limited ecosystems: A trade-off-based hypothesis. Water Resour. Res. 2009, 45, W08407. [Google Scholar] [CrossRef]
- Maneta, M.; Silverman, N. A spatially-distributed model to simulate water, energy and vegetation dynamics using information from regional climate models. Earth Interact. 2013, 17, 1–44. [Google Scholar] [CrossRef]
- Eyring, V.; Bony, S.; Meehl, G.A.; Senior, C.A.M.D.; Stevens, B.; Stouffer, R.J.; Taylor, K.E. Overview of the coupled model intercomparison project phase 6 (cmip6) experimental design and organization. Geosci. Model Dev. 2016, 9, 1937–1958. [Google Scholar] [CrossRef]
- Moral, F.; Aguirado, C.; Alberdi, V.; García-Martín, A.; Paniagua, L.L.; Rebollo, F.J. Future scenarios for viticultural suitability under conditions of global climate change in extremadura, souhtwestern spain. Agriculture 2022, 12, 1865. [Google Scholar] [CrossRef]
- FAO. World Reference Base for Soil Resources 2014. International Soil Classification System for Naming Soils and Creating Legends for Soil Maps; FAO: Rome, Italy, 2014; Volume 106, p. 191. [Google Scholar]
- DGBBD. Mapa Forestal de España (mfe) de Máxima Actualidad, 1:25000; Ministerio para la Transición Ecológica y el Reto Demográfico (MITECO), Dirección General de Biodiversidad, Bosques y Desertificación (DGBBD): Madrid, Spain, 2022.
- Fick, S.; Hijmans, R. Worldclim 2: New 1-km spatial resolution climate surfaces for global land areas. Int. J. Climatol. 2017, 37, 4302–4315. [Google Scholar] [CrossRef]
- Diggle, P.J.; Hutchinson, M.F. On spline smoothing with autocorrelated errors. Aust. J. Stat. 1989, 31, 166–182. [Google Scholar] [CrossRef]
- Wahba, G. Spline models for observational data. In CBMS-NSF Regional Conference Series in Applied Mathematics; University of Wisconsin: Madison, WI, USA, 1990; p. xvi + 161. [Google Scholar]
- Gidden, M.J.; Riahi, K.; Smith, S.J.; Fujimori, S.; Luderer, G.; Kriegler, E.; van Vuuren, D.P.; van den Berg, M.; Feng, L.; Klein, D.; et al. Global emissions pathways under different socioeconomic scenarios for use in cmip6: A dataset of harmonized emissions trajectories through the end of the century. Geosci. Model Dev. 2019, 12, 1443–1475. [Google Scholar] [CrossRef]
- Riahi, K.; van Vuuren, D.P.; Kriegler, E.; Edmonds, J.; O’Neill, B.; Fujimori, S.; Bauer, N.; Calvin, K.; Dellink, R.; Fricko, O.; et al. The shared socioeconomic pathways and their energy, land use, and greenhouse gas emissions implications: An overview. Glob. Environ. Chang. 2017, 42, 153–168. [Google Scholar] [CrossRef]
- Turc, L. Le bilan d’eau des sols: Relations entre les précipitations, l’évaporation et l’écoulement. Journées De L’hydraulique 1955, 3, 36–44. [Google Scholar]
- Shaik, R.; Monish, N.T.; Naidu, S. Estimation of annual regional drought index considering the joint effects of climate and water budget for krishna river basin, india. Environ. Monit. Assess. 2020, 192, 427. [Google Scholar] [CrossRef] [PubMed]
- Daly, E.; Calabrese, S.; Yin, J.; Porporato, A. Linking parametric and water-balance models of the budyko and turc spaces. Adv. Water Resour. 2019, 134, 103435. [Google Scholar] [CrossRef]
- Gudulas, K.; Voudouris, K.; Soulios, G.; Dimopoulos, G. Comparison of different methods to estimate actual evapotranspiration and hydrologic balance. Desalination Water Treat. 2013, 51, 2945–2954. [Google Scholar] [CrossRef]
- Shibuo, Y.; Jarsjö, J.; Destouni, G. Hydrological responses to climate change and irrigation in the aral sea drainage basin. Geophys. Res. Lett. 2007, 34, L21406. [Google Scholar] [CrossRef]
- Asokan, S.M.; Jarsjö, J.; Destouni, G. Vapor flux by evapotranspiration: Effects of changes in climate, land use, and water use. J. Geophys. Res. 2010, 115, D24102. [Google Scholar] [CrossRef]
- Lebecherel, L.; Andréassian, V.; Perrin, C. On regionalizing the turc-mezentsev water balance formula. Water Resour. Res. 2013, 49, 7508–7517. [Google Scholar] [CrossRef]
- McMahon, T.A.; Peel, M.C.; Lowe, L.; Srikanthan, R.; McVicar, T.R. Estimating actual, potential, reference crop and pan evaporation using standard meteorological data: A pragmatic synthesis. Hydrol. Earth Syst. Sci. 2013, 17, 1331–1363. [Google Scholar] [CrossRef]
- Lozano-Parra, J.; Garrido-Velarde, J.; Aguirre, I. Water resources in chile: Current and future projections and their relationships with biomes. In Handbook of Research on Sustainable Development Goals, Climate Change, and Digitalization Challenges in Planning; Castanho, R.A., Ed.; IGI Global: Hershey, PA, USA, 2022; pp. 90–100. [Google Scholar]
- Vautard, R.; Yiou, P.; D’Andrea, F.; Noblet, N.; Viovy, N.; Cassou, C.; Polcher, J.; Ciais, P.; Kageyama, M.; Fan, Y. Summertime european heat and drought waves induced by wintertime mediterranean rainfall deficit. Geophys. Res. Lett. 2007, 34, 1–5. [Google Scholar] [CrossRef]
- Trancoso, R.; Syktus, J.; Allan, R.P.; Croke, J.; Hoegh-Guldberg, O.; Chadwick, R. Significantly wetter or drier future conditions for one to two thirds of the world’s population. Nat. Commun. 2024, 15, 1–11. [Google Scholar] [CrossRef] [PubMed]
- Haddeland, I.; Heinke, J.; Biemans, H.; Eisner, S.; Flörke, M.; Hanasaki, N.; Konzmann, M.; Ludwig, F.; Masaki, Y.; Schewe, J.; et al. Global water resources affected by human interventions and climate change. Proc. Natl. Acad. Sci. USA 2014, 111, 3251–3256. [Google Scholar] [CrossRef] [PubMed]
- Konapala, G.; Mishra, A.K.; Wada, Y.; Mann, M.E. Climate change will affect global water availability through compounding changes in seasonal precipitation and evaporation. Nat. Commun. 2020, 11, 3044. [Google Scholar] [CrossRef] [PubMed]
- Greve, P.; Orlowsky, B.; Mueller, B.; Sheffield, J.; Reichstein, M.; Seneviratne, S. Global assessment of trends in wetting and drying over land. Nat. Geosci. 2014, 7, 716–721. [Google Scholar] [CrossRef]
- Huang, J.; Yu, H.; Guan, X.; Wang, G.; Guo, R. Accelerated dryland expansion under climate change. Nat. Clim. Chang. 2016, 6, 166–171. [Google Scholar] [CrossRef]
- Moral, F.; Rebollo, F.J.; Paniagua, L.L.; García-Martín, A.; Honorio, F. Spatial distribution and comparison of aridity indices in extremadura, southwestern spain. Theor. Appl. Climatol. 2016, 126, 801–814. [Google Scholar] [CrossRef]
- David, T.S.; Henriques, M.O.; Kurz-Besson, C.; Nunes, J.; Valente, F.; Vaz, M.; Pereira, J.S.; Siegwolf, R.; Chaves, M.M.; Gazarini, L.C.; et al. Water-use strategies in two co-occurring mediterranean evergreen oaks: Surviving the summer drought. Tree Physiol. 2007, 27, 793–803. [Google Scholar] [CrossRef]
- Moreno, G.; Bartolome, J.W.; Gea-Izquierdo, G.; Cañellas, I. Overstory–understory relationships. In Mediterranean Oak Woodland Working Landscapes. Dehesas of Spain and Ranchlands of California; Campos, P., Huntsinger, L., Oviedo, J.L., Starrs, P.F., Díaz, M., Standiford, R.B., Montero, G., Eds.; Springer: Dordrecht, The Netherlands, 2013; Volume 16, p. 508. [Google Scholar]
- Moreno, G.; Obrador, J.J.; García, E.E.; Cubera, E.; Montero, M.J.; Pulido, F.; Dupraz, C. Driving competitive and facilitative interactions in oak dehesas through management practices. Agrofor. Syst. 2007, 70, 25–40. [Google Scholar] [CrossRef]
- Gabarrón-Galeote, M.; Ruiz-Sinoga, J.; Quesada, M. Influence of aspect in soil and vegetation water dynamics in dry mediterranean conditions: Functional adjustment of evergreen and semi-deciduous growth forms. Ecohydrology 2012, 6, 241–255. [Google Scholar] [CrossRef]
- Moreno, G.; Gallardo, J.F.; Vicente, M.A. How mediterranean deciduous trees cope with long summer drought? The case of quercus pyrenaica forest in western spain. In Forest Management and the Water Cycle. An Ecosystem-Based Approach; Bredemeier, M., Cohen, S., Godbold, D.L., Lode, E., Pichler, V., Schleppi, P., Eds.; Springer: Dordrecht, The Netherlands, 2011; Volume 212, pp. 187–201. [Google Scholar]
- Menezes-Silva, P.E.; Loram-Lourenço, L.; Alves, R.D.F.B.; Sousa, L.F.; Almeida, S.E.d.S.; Farnese, F.S. Different ways to die in a changing world: Consequences of climate change for tree species performance and survival through an ecophysiological perspective. Ecol. Evol. 2019, 9, 11979–11999. [Google Scholar] [CrossRef] [PubMed]
- Vargas-Amelin, E.; Pindado, P. The challenge of climate change in spain: Water resources, agriculture and land. J. Hydrol. 2014, 518, 243–249. [Google Scholar] [CrossRef]
- Kundzewicza, Z.W.; Krysanovad, V.; Benestadb, R.E.; Hovb, Ø.; Piniewskic, M.; Otto, I.M. Uncertainty in climate change impacts on water resources. Environ. Sci. Policy 2018, 79, 1–8. [Google Scholar] [CrossRef]






| Vegetation Cover | Surface | Elevation (m) | Slope (°) | |||||||
|---|---|---|---|---|---|---|---|---|---|---|
| km2 | % | Max | Min | Mean | SD | Max | Min | Mean | SD | |
| A | 13,233 | 31.8 | 1448.0 | 114.9 | 399.8 | 119.4 | 52.7 | 0.0 | 5.1 | 4.1 |
| B | 9803 | 23.5 | 1362.0 | 87.6 | 388.9 | 142.2 | 56.5 | 0.0 | 2.9 | 3.4 |
| C | 4187 | 10.1 | 2248.9 | 116.0 | 396.3 | 113.8 | 53.4 | 0.0 | 3.4 | 2.8 |
| D | 4020 | 9.65 | 1744.4 | 74.7 | 581.4 | 244.0 | 62.1 | 0.0 | 13.6 | 7.7 |
| E | 2100 | 5.04 | 2005.8 | 114.5 | 497.2 | 183.3 | 45.5 | 0.0 | 8.8 | 6.2 |
| F | 1465 | 3.52 | 2167.1 | 116.1 | 399.1 | 166.6 | 54.9 | 0.0 | 6.6 | 4.9 |
| G | 1211 | 2.91 | 2384.1 | 114.0 | 570.9 | 332.8 | 61.2 | 0.0 | 11.3 | 7.2 |
| H | 567 | 1.36 | 1021.5 | 115.3 | 380.5 | 105.0 | 43.1 | 0.0 | 3.3 | 2.8 |
| I | 554 | 1.33 | 1172.6 | 150.3 | 410.0 | 129.9 | 47.4 | 0.0 | 3.9 | 4.0 |
| J | 437 | 1.05 | 1801.3 | 114.0 | 537.5 | 237.7 | 52.3 | 0.0 | 11.2 | 6.8 |
Disclaimer/Publisher’s Note: The statements, opinions and data contained in all publications are solely those of the individual author(s) and contributor(s) and not of MDPI and/or the editor(s). MDPI and/or the editor(s) disclaim responsibility for any injury to people or property resulting from any ideas, methods, instructions or products referred to in the content. |
© 2024 by the authors. Licensee MDPI, Basel, Switzerland. This article is an open access article distributed under the terms and conditions of the Creative Commons Attribution (CC BY) license (https://creativecommons.org/licenses/by/4.0/).
Share and Cite
Lozano-Parra, J.; Sánchez-Martín, J.M. Exploring the Impact of Climate Change on Water Resources for Vegetation Covers in Extremadura (Spain). Water 2024, 16, 1418. https://doi.org/10.3390/w16101418
Lozano-Parra J, Sánchez-Martín JM. Exploring the Impact of Climate Change on Water Resources for Vegetation Covers in Extremadura (Spain). Water. 2024; 16(10):1418. https://doi.org/10.3390/w16101418
Chicago/Turabian StyleLozano-Parra, Javier, and José Manuel Sánchez-Martín. 2024. "Exploring the Impact of Climate Change on Water Resources for Vegetation Covers in Extremadura (Spain)" Water 16, no. 10: 1418. https://doi.org/10.3390/w16101418
APA StyleLozano-Parra, J., & Sánchez-Martín, J. M. (2024). Exploring the Impact of Climate Change on Water Resources for Vegetation Covers in Extremadura (Spain). Water, 16(10), 1418. https://doi.org/10.3390/w16101418
