Multi-Objective Synergetic Operation for Cascade Reservoirs in the Upper Yellow River
Abstract
1. Introduction
2. Study Area and Data
2.1. Study Areas
2.2. Data Sources
3. Methods
3.1. Multi-Objective Framework
3.1.1. Hydropower Generation
3.1.2. Water Supply
3.1.3. Ecological Flow
3.1.4. Constraints
- (1)
- Water balance constraints
- (2)
- Water release capacity constraints
- (3)
- Power generation output constraints
- (4)
- Water-level constraints
3.2. Spearman Correlation Coefficient
3.3. Evaluation Model of Coupling Coordination Degree
4. Results and Discussion
4.1. Analyzing Competition among Multiple Objectives
4.2. The Coupling Coordination Type of the Upper Yellow River
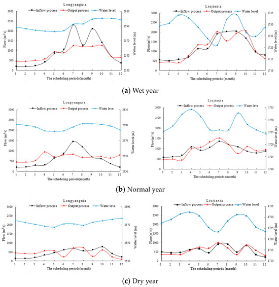
4.3. Optimal Operation of the Upper Yellow River
5. Conclusions
- (1)
- Using the Spearman method, the results indicate that the correlation coefficients for hydropower generation and water supply objectives during the wet, normal, and dry years were −0.307, −0.246, and −0.161, respectively, indicating a weak competitive relationship between the two objectives. Conversely, during the wet, normal, and dry years, the correlation coefficients for hydropower generation and ecological objectives were 0.865, 0.920, and 0.639, respectively, indicating a strong synergistic relationship between the two objectives. Furthermore, for water supply and ecological objectives during the wet, normal, and dry years, correlation coefficients were −0.514, −0.450, and −0.808, respectively, indicating a strong competitive relationship between the two objectives.
- (2)
- The results of the multi-objective synergetic model for the LYX and LJX reservoirs indicate that among Pareto solution sets for typical years, the proportion of schemes exhibiting excellent coordination (D > 0.9) was 59%, 20%, and 8%, respectively. This indicates that the LYX and LJX reservoirs are more likely to operate with a high degree of cooperation during wet years. In contrast, achieving a high degree of coordination between multiple objectives in normal and dry years imposes stricter requirements on reservoir operation. Additionally, the excellent coordination among multiple objectives in the upper Yellow River increases with the augmentation of upstream inflow, indicating that the benefits of cascade reservoirs also increase. From a basin management standpoint, it is prudent to discard schemes characterized by low coupling coordination in order to reconcile conflicts of interest among various departments and foster the harmonized development of the basin system.
- (3)
- The scheme with the highest level of coupled coordination was selected as the optimization scheme of the multi-objective coordinated model of the LYX and LJX reservoirs. The findings reveal that optimization schemes exhibit a tendency to enhance hydropower generation benefits compared to the existing operation in wet and normal years. In the dry year, there is a tendency to improve both the benefits of water supply and ecology. Hydropower generation increases by 88.41 × 108, 5.76 × 108, and 0.41 × 108 kW·h in the wet, normal, and dry years, respectively. Furthermore, there is a substantial improvement in the water supply shortage rate and the ecological flow shortage rate compared to the existing operation.
Author Contributions
Funding
Data Availability Statement
Acknowledgments
Conflicts of Interest
References
- Li, J.; Liu, Z.; He, C.; Yue, H.; Gou, S. Water shortages raised a legitimate concern over the sustainable development of the drylands of northern china: Evidence from the water stress index. Sci. Total Environ. 2017, 590–591, 739–750. [Google Scholar] [CrossRef]
- Afshar, M.H.; Hajiabadi, R. A Novel Parallel Cellular Automata Algorithm for Multi-Objective Reservoir Operation Optimization. Water Resour. Manag. 2018, 32, 785–803. [Google Scholar] [CrossRef]
- Avesani, D.; Zanfei, A.; Di Marco, N.; Galletti, A.; Ravazzolo, F.; Righetti, M.; Majone, B. Short-term hydropower optimization driven by innovative time-adapting econometric model. Appl. Energy 2022, 310, 118510. [Google Scholar] [CrossRef]
- Ren, M.; Zhang, Q.; Yang, Y.; Wang, G.; Xu, W.; Zhao, L. Research and application of reservoir flood control optimal operation based on improved genetic algorithm. Water 2022, 14, 1272. [Google Scholar] [CrossRef]
- Liu, B.; Zhang, F.; Wan, W.; Luo, X. Multi-objective Decision-Making for the Ecological Operation of Built Reservoirs Based on the Improved Comprehensive Fuzzy Evaluation Method. Water Resour. Manag. 2019, 33, 3949–3964. [Google Scholar] [CrossRef]
- Omer, A.; Zhuguo, M.; Zheng, Z.; Saleem, F. Natural and anthropogenic influences on the recent droughts in yellow river basin, China. Sci. Total Environ. 2020, 704, 135428. [Google Scholar] [CrossRef] [PubMed]
- Liu, B.; Zhou, Y.; Cui, Y.; Dong, J.; Wang, X.; Zhang, Q.; Zou, Z.; Xiao, X. Exacerbating water shortage induced by continuous expansion of surface artificial water bodies in the Yellow River Basin. J. Hydrol. 2024, 633, 130979. [Google Scholar] [CrossRef]
- Wohlfart, C.; Kuenzer, C.; Chen, C.; Liu, G. Social-ecological challenges in the Yellow River basin (China): A review. Environ. Earth Sci. 2016, 75, 1066. [Google Scholar] [CrossRef]
- Zhang, W.; Liang, W.; Gao, X.; Li, J.; Zhao, X. Trajectory in water scarcity and potential water savings benefits in the Yellow River basin. J. Hydrol. 2024, 633, 130998. [Google Scholar] [CrossRef]
- Ming, B.; Liu, P.; Guo, S.; Cheng, L.; Zhang, J. Hydropower reservoir reoperation to adapt to large-scale photovoltaic power generation. Energy 2019, 179, 268–279. [Google Scholar] [CrossRef]
- Yuan, W.; Yu, X.; Su, C.; Yan, D.; Wu, Z. A Multi-Timescale Integ-rated Operation Model for Balancing Power Generation, Ecology, and Water Supply of Reservoir Operation. Energy 2021, 14, 47. [Google Scholar] [CrossRef]
- Dong, J.; Xia, X.; Wang, M.; Lai, Y.; Zhao, P.; Dong, H.; Wen, J. Effect of water-sediment regulation of the Xiaolangdi Reservoir on the concentrations, bioavailability, and fluxes of PAHs in the middle and lower reaches of the Yellow River. J. Hydrol. 2015, 527, 101–112. [Google Scholar] [CrossRef]
- Xie, J.Y.; Tang, W.J.; Yang, Y.H. Fish assemblage changes over half a century in the Yellow River, China. Ecol. Evol. 2018, 8, 4173–4182. [Google Scholar] [CrossRef]
- Huijun, R.; Haijun, W.; Weihua, Z.; Yaqiang, S.; Yong, W.; Xiaoke, Z. Fishes in the mainstream of the Yellow River: Assemblage characteristics and historical changes. Biodivers. Sci. 2010, 18, 169. [Google Scholar] [CrossRef]
- Chang, L.C.; Chang, F.J.; Wang, K.W.; Dai, S.Y. Constrained Geneti-c Algorithms for Optimizing Multi-use Reservoir Operation. J. Hydrol. 2010, 390, 66–74. [Google Scholar] [CrossRef]
- Guo ShengLian, G.S.; Zhang HongGang, Z.H.; Chen Hua, C.H.; Peng DingZhi, P.D.; Liu Pan, L.P.; Pang Bo, P.B. A rese-rvoir flood forecasting and control system for China. Int. Assoc. Sci. Hydrol. Bull. 2004, 49, 959–972. [Google Scholar] [CrossRef]
- Yang, G.; Guo, S.; Liu, P.; Li, L.; Xu, C. Multiobjective reservoir operating rules based on cascade reservoir input variable selection method. Water Resour. Res. 2017, 53, 3446–3463. [Google Scholar] [CrossRef]
- Wang, K.W.; Chang, L.C.; Chang, F.J. Multi-tierinteractive genetic algorithms for the optimization of long-term reservoir operation. Adv. Water Resour. 2011, 34, 1343–1351. [Google Scholar] [CrossRef]
- Deb, K.; Pratap, S.A.; Meyarivan, T. A fast and elitist multiobjective genetic algorithm: NSGA-II. IEEE Trans. Evol. Comput. 2002, 6, 182–197. [Google Scholar] [CrossRef]
- Zitzler, E.; Künzli, S. Indicator-Based Selection in Multiobjective Search. In Parallel Problem Solving from Nature PPSN VIII, Proceedings of the 8th International Conference, Birmingham, UK, 18–22 September 2004; Yao, X., Burke, E.K., Lozano, J.A., Smith, J., Merelo-Guervós, J.J., Bullinaria, J.A., Rowe, J.E., Tiňo, P., Kabán, A., Schwefel, H.-P., Eds.; Lecture Notes in Computer Science; Springer: Berlin/Heidelberg, Germany, 2004; Volume 3242. [Google Scholar] [CrossRef]
- Beume, N.; Naujoks, B.; Emmerich, M. SMS-EMOA: Multi-objective selection based on dominated hypervolume. Eur. J. Oper. Res. 2007, 181, 1653–1669. [Google Scholar] [CrossRef]
- Zhang, Q.; Li, H. Moea/d: A multiobjective evolutionary algorithm based on decomposition. IEEE Trans. Evol. Comput. 2007, 11, 712–731. [Google Scholar] [CrossRef]
- Olofintoye, O.; Otieno, F.; Adeyemo, J. Real-time optimal water allocation for daily hydropower generation from the vanderkloof dam, South Africa. Appl. Soft Comput. 2016, 47, 119–129. [Google Scholar] [CrossRef]
- Liu, X.; Chen, L.; Zhu, Y.; Singh, V.P.; Qu, G.; Guo, X. Multi-objective reservoir operation during flood season considering spillway optimization. J. Hydrol. 2017, 552, 554–563. [Google Scholar] [CrossRef]
- Afshar, M.H.; Azizipour, M.; Oghbaeea, B.; Kim, J.H. Exploring the Efficiency of Harmony Search Algorithm for Hydropower Operation of Multi-Reservoir Systems: A Hybrid Cellular Automat-Harmony Search Approach; Springer Singapore Pte. Limited: Singapore, 2017; pp. 252–260. [Google Scholar] [CrossRef]
- Wang, X.; Dong, Z.; Ai, X.; Dong, X.; Li, Y. Multi-objective model and decision-making method for coordinating the ecological benefits of the three gorges reservoir. Clean. Prod. 2020, 270, 122066. [Google Scholar] [CrossRef]
- Uen, T.; Chang, F.; Zhou, Y.; Tsai, W. Exploring synergistic benefits of water-food-energy nexus through multi-objective reservoir optimization schemes. Sci. Total Environ. 2018, 633, 341–351. [Google Scholar] [CrossRef] [PubMed]
- Zhang, Z.; Qin, H.; Yao, L.; Liu, Y.; Jiang, Z.; Feng, Z.; Ouyang, S. Improved multi-objective moth-flame optimization algorithm based on r-domination for cascade reservoirs operation. J. Hydrol. 2020, 581, 124431. [Google Scholar] [CrossRef]
- Chang, J.; Huang, Q.; Wang, Y.; Peng, S. A method for synergetic control of multi-objective operation of reservoirs in the yellow river basin. Sci. Sin. Technol. 2004, 34, 175–184. [Google Scholar]
- Chang, J.X.; Huang, Q. The Theories and Methods of Water Resources Multidimensional Critical Regulation and Control; China Water Power Press: Beijing, China, 2007. [Google Scholar]
- Yang, T.; Zhang, Q.; Chen, Y.D.; Tao, X.; Xu, C.Y.; Chen, X. A spatial assessment of hydrologic alteration caused by dam construction in the middle and lower yellow river, China. Hydrol. Process. 2008, 22, 3829–3843. [Google Scholar] [CrossRef]
- Wang, Y.; Tang, F.; Jiang, E.; Wang, X.; Zhao, J. Optimizing hydropower generation and sediment transport in Yellow River basin via cooperative game theory. J. Hydrol. 2022, 614, 128581. [Google Scholar] [CrossRef]
- Xu, Y.; Naidoo, A.R.; Zhang, X.; Meng, X. Optimizing sampling strategy for chinese national sewage sludge survey (cnsss) based on urban agglomeration, wastewater treatment process, and treatment capacity. Sci. Total Environ. 2019, 696, 133998. [Google Scholar] [CrossRef]
- Su, X.; Li, X.; Niu, Z.; Wang, N.A.; Liang, X. A new complexity-based three-stage method to comprehensively quantify positive/negative contribution rates of climate change and human activities to changes in runoff in the upper yellow river. J. Clean. Prod. 2021, 287, 125017. [Google Scholar] [CrossRef]
- Zhao, F.; Xu, Z.; Zhang, L.; Zuo, D. Streamflow response to climate variability and human activities in the upper catchment of the Yellow River Basin. Sci. China Ser. E Technol. Sci. 2009, 52, 3249–3256. [Google Scholar] [CrossRef]
- Jin, W.T.; Wang, Y.M.; Bai, T.; Li, Y.Y.; Shi, J.T. Study on potentiality of water and sediment regulation affected by the west route of South-to-North water transfer project in Upper Yellow River. J. Basic Sci. Eng. 2019, 27, 1189–1201. [Google Scholar] [CrossRef]
- Chang, J.X.; Meng, X.J.; Wang, Z.Z.; Wang, X.B.; Huang, Q. Optimized cascade reservoirs operation considering ice flood control and power generation. J. Hydrol. 2014, 519, 1042–1051. [Google Scholar] [CrossRef]
- Jin, W.T.; Chang, J.X.; Wang, Y.M.; Bai, T. Long-term water-sediment multiobjectives regulation of cascade reservoirs: A case study in the Upper Yellow River, China. J. Hydrol. 2019, 577, 123–130. [Google Scholar] [CrossRef]
- Bai, T.; Wei, J.; Chang, F.; Yang, W.; Huang, Q. Optimize multi-objective transformation rules of water-sediment regulation for cascade reservoirs in the upper yellow river of China. J. Hydrol. 2019, 577, 123987. [Google Scholar] [CrossRef]
- Tennant, D.L. Instream Flow Regimens for Fish, Wildlife, Recreation and Related Environmental Resources. Fisheries 1976, 1, 6–10. [Google Scholar] [CrossRef]
- Karimi, S.; Salarijazi, M.; Ghorbani, K.; Heydari, M. Comparative assessment of environmental flow using hydrological methods of low flow indexes, Smakhtin, Tennant and flow duration curve. Acta Geophys. 2021, 69, 285–293. [Google Scholar] [CrossRef]
- Yellow River Conservancy Commission. Comprehensive Planning of the Yellow River Basin; The Yellow River Water Conservancy Press: Zhengzhou, China, 2013. [Google Scholar]
- Hu, C.H.; Zhang, Z.; An, C. Yellow River’s Water and Sediment Balance and Regulation; Science Press: Beijing, China, 2022. [Google Scholar]
- Zhou, Y.; Guo, S. Incorporating ecological requirement into multipurpose reservoir operating rule curves for adaptation to climate change. J. Hydrol. 2013, 498, 153–164. [Google Scholar] [CrossRef]
- Zhou, Y.; Chang, L.C.; Uen, T.S.; Guo, S.; Xu, C.Y.; Chang, F.J. Prospect for small hydropower installation settled upon optimal water allocation: An action to stimulate synergies of water-food-energy nexus. Appl. Energy 2019, 238, 668–682. [Google Scholar] [CrossRef]
- Hauke, J.; Kossowski, T. Comparison of values of Pearson’s and Spearman’s correlation coefficients on the same sets of data. Quaest. Geogr. 2011, 30, 87–93. [Google Scholar] [CrossRef]
- Xiao, C.; Ye, J.; Esteves, R.M.; Rong, C. Using Spearman’s correlation coefficients for exploratory data analysis on big dataset. Concurr. Comput. Pract. Exp. 2016, 28, 3866–3878. [Google Scholar] [CrossRef]
- Song, Q.; Zhou, N.; Liu, T.; Siehr, S.A.; Qi, Y. Investigation of a “coupling model” of coordination between low-carbon development and urbanization in China. Energy Policy 2018, 121, 346–354. [Google Scholar] [CrossRef]
- Zameer, H.; Yasmeen, H.; Wang, R.; Tao, J.; Malik, M.N. An empirical investigation of the coordinated development of natural resources, financial development and ecological efficiency in China. Resour. Policy 2020, 65, 101580. [Google Scholar] [CrossRef]






| Characteristics | Longyangxia | Liujiaxia |
|---|---|---|
| Normal water level (m) | 2600 | 1735 |
| Flood limit water level (m) | 2594 | 1726 |
| Dead water level (m) | 2560 | 1694 |
| Total storage (108 m3) | 247 | 57 |
| Power generation capacity (MW) | 128 | 139 |
| Month | 1 | 2 | 3 | 4 | 5 | 6 | 7 | 8 | 9 | 10 | 11 | 12 |
|---|---|---|---|---|---|---|---|---|---|---|---|---|
| Appropriate ecological flow | 250 | 250 | 250 | 275 | 303 | 295 | 1000–2000 | 625 | 706 | 552 | 286 | 250 |
| C value interval | [0, 0.1] | (0.1, 0.2] | (0.2, 0.3] | (0.3, 0.4] | (0.4, 0.5] |
| Coupling type | Severely Imbalanced | Significantly Imbalanced | Moderately Imbalanced | Slightly Imbalanced | Approaching Imbalance |
| C value interval | (0.5, 0.6] | (0.6, 0.7] | (0.7, 0.8] | (0.8, 0.9] | (0.9, 1.0] |
| Coupling type | Barely Coordinated | Elementary Coordination | Intermediate Coordination | Good Coordination | Excellent Coordination |
| Typical Year | Correlation Coefficients | ||
|---|---|---|---|
| Hydropower Generation and Water Supply | Hydropower Generation and Ecology | Water Supply and Ecology | |
| Wet year | −0.307 | 0.865 | −0.514 |
| Normal year | −0.246 | 0.920 | −0.450 |
| Dry year | −0.161 | 0.639 | −0.808 |
| Scheme | Typical Year | Hydropower Generation (108 kW·h) | Water Shortage Rate of Water Supply | Ecological Water Shortage Rate |
|---|---|---|---|---|
| Actual scheme | Wet year | 152.42 | 2.38% | 2.99% |
| Normal year | 134 | 5.87% | 5.01% | |
| Dry year | 82.61 | 15.31% | 20.24% | |
| Optimization scheme | Wet year | 160.83 | 0.78% | 1.50% |
| Normal year | 139.76 | 1.34% | 2.04% | |
| Dry year | 83.02 | 5.68% | 9.30% |
Disclaimer/Publisher’s Note: The statements, opinions and data contained in all publications are solely those of the individual author(s) and contributor(s) and not of MDPI and/or the editor(s). MDPI and/or the editor(s) disclaim responsibility for any injury to people or property resulting from any ideas, methods, instructions or products referred to in the content. |
© 2024 by the authors. Licensee MDPI, Basel, Switzerland. This article is an open access article distributed under the terms and conditions of the Creative Commons Attribution (CC BY) license (https://creativecommons.org/licenses/by/4.0/).
Share and Cite
Hong, K.; Zhang, W.; Ma, A.; Wei, Y.; Cao, M. Multi-Objective Synergetic Operation for Cascade Reservoirs in the Upper Yellow River. Water 2024, 16, 1416. https://doi.org/10.3390/w16101416
Hong K, Zhang W, Ma A, Wei Y, Cao M. Multi-Objective Synergetic Operation for Cascade Reservoirs in the Upper Yellow River. Water. 2024; 16(10):1416. https://doi.org/10.3390/w16101416
Chicago/Turabian StyleHong, Kunhui, Wei Zhang, Aixing Ma, Yucong Wei, and Mingxiong Cao. 2024. "Multi-Objective Synergetic Operation for Cascade Reservoirs in the Upper Yellow River" Water 16, no. 10: 1416. https://doi.org/10.3390/w16101416
APA StyleHong, K., Zhang, W., Ma, A., Wei, Y., & Cao, M. (2024). Multi-Objective Synergetic Operation for Cascade Reservoirs in the Upper Yellow River. Water, 16(10), 1416. https://doi.org/10.3390/w16101416
