Sensitivity Analysis of Runoff and Wind with Respect to Yellow River Estuary Salinity Plume Based on FVCOM
Abstract
1. Introduction
2. Materials and Method
2.1. FVCOM Model
- (a)
- momentum equation
- (b)
- continuity equation
- (c)
- salinity equation
2.2. Boundary Conditions
2.3. Model Setting
- A.
- River discharge
- B.
- Wind
- C.
- Tide
- D.
- Salinity
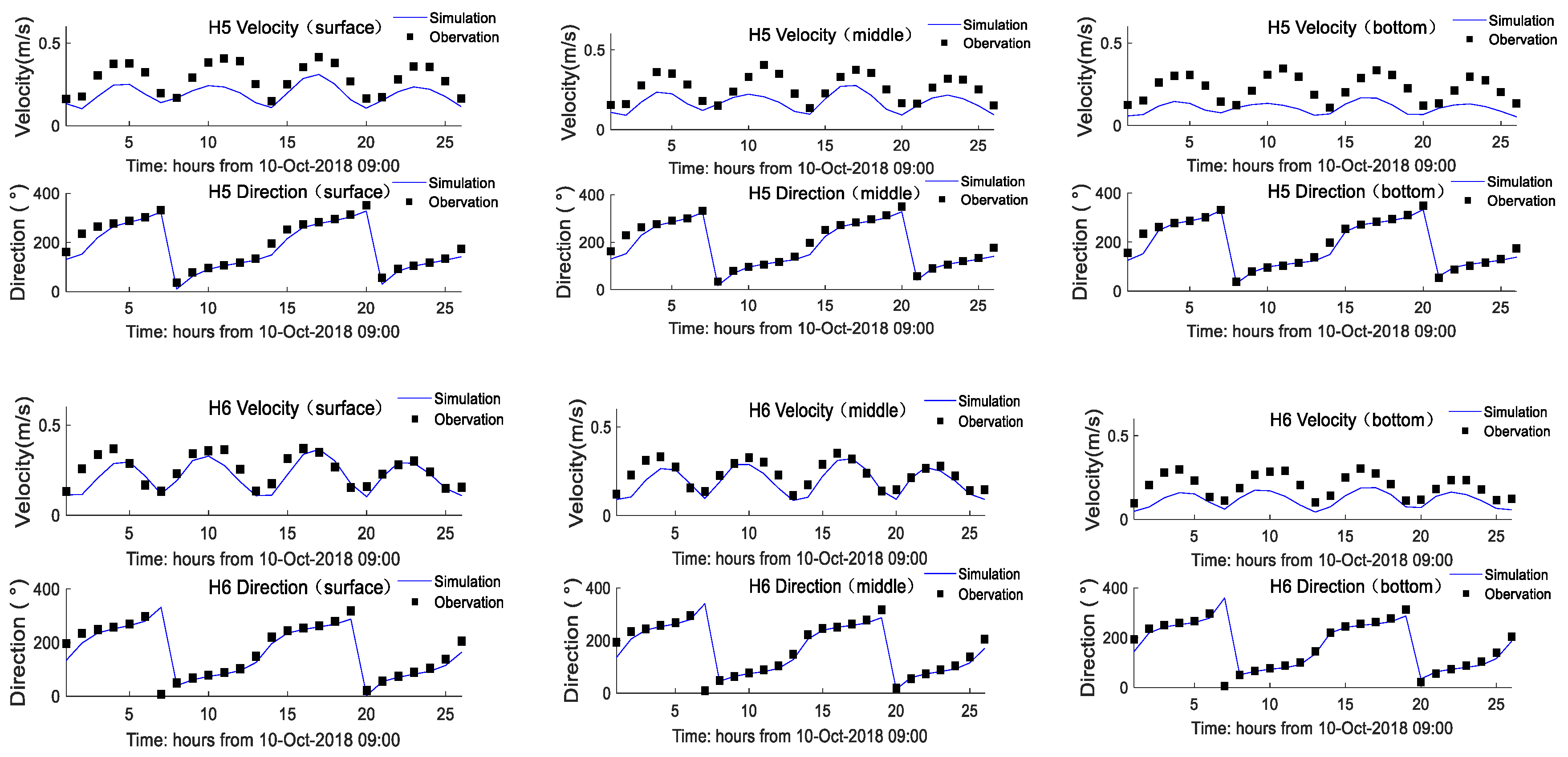
2.4. Model Verification
3. Results
3.1. Distribution of Surface Current in the Wet and Dry Seasons
3.2. Horizontal Distribution Characteristics of Salinity Fields around the Yellow River Estuary and Laizhou Bay
3.3. Vertical Distribution Characteristics of Salinity in Laizhou Bay
4. Discussions
4.1. Influence of River Discharge on Salinity Diffusion
4.2. Influence of Different Wind Speeds on Salinity Diffusion in the Wet Season
4.3. Influence of Different Wind Speeds on Salinity Diffusion in the Dry Season
5. Conclusions
Author Contributions
Funding
Data Availability Statement
Conflicts of Interest
References
- Xing, Y.; Ai, C.F.; Jin, S. A three-dimensional hydrodynamic and salinity transport model of estuarine circulation with an application to a macrotidal estuary. Appl. Ocean Res. 2013, 39, 53–71. [Google Scholar] [CrossRef]
- Dong, L.X.; Su, J.L.; Wong, L.A.; Cao, Z.; Chen, J.C. Seasonal variation and dynamics of the Pearl River plume. Cont. Shelf Res. 2004, 24, 1761–1777. [Google Scholar] [CrossRef]
- Xia, M.; Xie, L.; Leonard, J.; Pietrafesa, L.J. Modeling of the Cape Fear River Estuary plume. Geophys. Res. Lett. 2007, 30, 698–709. [Google Scholar] [CrossRef]
- Granskog, M.A.; Ehn, J.; Niemel, M. Characteristics and potential impacts of under-ice river plumes in the seasonally ice-covered Bothnian Bay (Baltic Sea). J. Mar. Syst. 2005, 53, 187–196. [Google Scholar] [CrossRef]
- Restrepo, J.C.; Schrottke, K.; Bartholomae, A.; Ospino, S.; Ortíz, J.C.; Orejarena, A. Estuarine and sediment dynamics in a microtidal tropical estuary of high fluvial discharge: Magdalena River (Colombia, South America). Mar. Geol. 2018, 398, 86–98. [Google Scholar] [CrossRef]
- Pritchard, M.; Huntley, D.A. A simplified energy and mixing budget for a small river plume discharge. J. Geophys. Res. Ocean 2006, 111, C3. [Google Scholar] [CrossRef]
- Walker, N.D.; Wiseman, W.J.; Rouse, L.J.; Babin, A. Effects of River Discharge, Wind Stress, and Slope Eddies on Circulation and the Satellite-Observed Structure of the Mississippi River Plume. J. Coast. Res. 2005, 216, 1228–1244. [Google Scholar] [CrossRef]
- Molleri, G.S.F.; Novo, E.M.L.d.M.; Kampel, M. Space-time variability of the Amazon River plume based on satellite ocean color. Cont. Shelf Res. 2010, 30, 342–352. [Google Scholar] [CrossRef]
- Kourafalou, V.H. river plume development in semi-enclosed mediterranean regions: North adriatic sea and northwestern aegean sea. J. Marrine Syst. 2001, 30, 181–205. [Google Scholar] [CrossRef]
- Fong, D.A.; Geyre, W.R. The alongshore transport of freshwater in a surface-trapped river plume. J. Phys. Oceanogr. 2002, 32, 957–972. [Google Scholar] [CrossRef]
- Cheng, R.T.; Casulli, V. Modeling a three-dimensional river plume over continental shelf using a 3D unstructured grid model. In Estuarine and Coastal Modeling; ASCE: Reston, VA, USA, 2004. [Google Scholar]
- Wang, F.; Meng, Q.; Tang, X.; Hu, D. The long-term variability of sea surface temperature in the seas east of China in the past 40 a. Acta Oceanol. Sin. 2013, 32, 48–53. [Google Scholar] [CrossRef]
- Zhou, J.H.; Matthew, J.; Deitcha, S.G.; Screaton, E.J.; Olabarrieta, M. Effect of Mississippi River discharge and local hydrological variables on salinity of nearby estuaries using a machine learning algorithm—ScienceDirect. Estuar. Coast. Shelf Sci. 2021, 263, 107628. [Google Scholar] [CrossRef]
- Salmela, J.; Kasvi, E.; Alho, P. River plume and sediment transport seasonality in a non-tidal semi-enclosed brackish water estuary of the Baltic Sea. Estuar. Coast. Shelf Sci. 2020, 245, 106986. [Google Scholar] [CrossRef]
- Coogan, J.; Dzwonkowski, B. Observations of Wind Forcing Effects on Estuary Length and Salinity Flux in a River-Dominated, Microtidal Estuary, Mobile Bay, Alabama. J. Phys. Oceanogr. 2018, 48, 1787–1802. [Google Scholar] [CrossRef]
- Abolfathi, S.; Pearson, J.M. Solute dispersion in the nearshore due to oblique waves. In Proceedings of the 34th Conference on Coastal Engineering, Seoul, Republic of Korea, 15–20 June 2014; ISBN 9780989661126. [Google Scholar] [CrossRef]
- Zeinabi, A.; Kohansal, A. Numerical modeling of sediment transport patterns under the effects of waves and tidal currents at Pars port complex inlet. Int. J. Marit. Technol. 2020, 14, 33–40. [Google Scholar]
- Xu, J.X. The Water Fluxes of the Yellow River to the Sea in the Past 50 Years, in Response to Climate Change and Human Activities. Environ. Manag. 2005, 35, 620. [Google Scholar]
- Wang, Q.; Guo, X.; Takeoka, H. Seasonal variations of the Yellow River plume in the Bohai Sea: A model study. J. Geophys. Res. 2008, 113, C08046. [Google Scholar] [CrossRef]
- Mao, X.Y.; Jiang, W.; Zhao, P.; Gao, H. A 3-D numerical study of salinity variations in the Bohai Sea during the recent years. Cont. Shelf Res. 2008, 28, 2689–2699. [Google Scholar] [CrossRef]
- Lin, C.; Su, J.L.; Xu, B.R.; Tang, Q. Long-term variations of temperature and salinity of the Bohai Sea and their influence on its ecosystem. Prog. Oceanogr. 2001, 49, 7–19. [Google Scholar] [CrossRef]
- Wang, Y.; Liu, Z.H.; Gao, H.W.; Guo, X. Response of salinity distribution around the Yellow River mouth to abrupt changes in river discharge. J. Cont. Shelf Res. 2011, 31, 685–694. [Google Scholar] [CrossRef]
- Sui, Y.; Shi, H.Y.; You, Z.J.; Qiao, S.; Sun, J. Long-term Trend and Change Point Analysis on Runoff and Sediment Flux into the Sea from the Yellow River during the Period of 1950–2018. J. Coast. Res. 2020, 99, 203. [Google Scholar] [CrossRef]
- Liu, H. Fate of three major rivers in the Bohai Sea: A model study. Cont. Shelf Res. 2011, 31, 1490–1499. [Google Scholar] [CrossRef]
- Shi, H.Y.; Li, Q.J.; Sun, J.C.; Gao, G.; Sui, Y.; Qiao, S.; You, Z. Variation of Yellow River Runoff and Its Influence on Salinity in Laizhou Bay. J. Ocean. Univ. China 2020, 19, 1235–1244. [Google Scholar] [CrossRef]
- Cheng, X.Y.; Zhu, J.R.; Chen, S.L. Extensions of the river plume under various Yellow River courses into the Bohai Sea at different times. Estuar. Coast. Shelf Sci. 2020, 249, 107092. [Google Scholar] [CrossRef]
- Chen, C.S.; Beardsley, R.C. An Unstructured Grid, Finite-Volume Coastal Ocean Model. In FVCOM User Manual, 2nd ed.; SMAST/UMASSD: New Bedford, MA, USA, 2006; pp. 1–135. [Google Scholar]
- Chen, C.S.; Liu, H.D.; Robert, C. An Unstructured Grid, Finite-Volume, Three-dimensional, primitive equations ocean model: Application to Coastal and Estuaries. J. Atmos. Ocean. 2003, 20, 159–186. [Google Scholar] [CrossRef]
- Li, S.; Chen, C. Air-sea interaction processes during hurricane Sandy: Coupled WRF-FVCOM model simulations. Prog. Oceanogr. 2022, 206, 102855. [Google Scholar] [CrossRef]
- Chen, C.; Huang, H.; Lin, H.; Blanton, J.; Li, C.; Andrade, F. A Wet/Dry Point Treatment Method of FVCOM, Part II: Application to the Okatee/Colleton River in South Carolina. J. Mar. Sci. Eng. 2022, 10, 982. [Google Scholar] [CrossRef]
- Yang, Z.; Shao, W.; Ding, Y.; Shi, J.; Ji, Q. Wave Simulation by the SWAN Model and FVCOM Considering the Sea-Water Level around the Zhoushan Islands. J. Mar. Sci. Eng. 2020, 8, 783. [Google Scholar] [CrossRef]
- Goodarzi, D.; Mohammadian, A.; Pearson, J.; Abolfathi, S. Numerical modelling of hydraulic efficiency and pollution transport in waste stabilization ponds. Ecol. Eng. 2022, 182, 106702. [Google Scholar] [CrossRef]
- Goodarzi, D.; Abolfathi, S.; Borzooei, S. Modelling solute transport in water disinfection systems: Effects of temperature gradient on the hydraulic and disinfection efficiency of serpentine chlorine contact tanks. J. Water Process. Eng. 2020, 37, 101411. [Google Scholar] [CrossRef]
- SL 160-2012; Regulation for Hydraulic and Thermal Model in Cooling Water Projects. Ministry of Water Resources of the People’s Republic of China: Beijing, China, 2017.
- Cook, S.; Price, O.; King, A.; Finnegan, C.; van Egmond, R.; Schafer, H.; Pearson, J.M.; Abolfathi, S.; Bending, G.D. Bedform characteristics and biofilm community development interact to modify hyporheic exchange. Sci. Total Environ. 2020, 749, 141397. [Google Scholar] [CrossRef]




















| Station Type | Station Name | Longitude | Latitude | Time |
|---|---|---|---|---|
| Tidal current and tide | H1 | 119.077247 | 38.207694 | 10 October 2018–11 October 2018 |
| H2 | 119.322183 | 37.885078 | 10 October 2018–11 October 2018 | |
| H3 | 119.535017 | 37.603250 | 10 October 2018–11 October 2018 | |
| H4 | 119.751378 | 38.539094 | 10 October 2018–11 October 2018 | |
| H5 | 119.987794 | 38.236428 | 10 October 2018–11 October 2018 | |
| H6 | 120.212142 | 37.935142 | 10 October 2018–11 October 2018 | |
| Salinity | S1 | 118.99837 | 38.08946 | 20 February–28 February 2020, 20 August–27 February |
| S2 | 120.25612 | 37.64275 | 20 February–28 February 2020, 20 August–27 February |
| Station | Tide | Surface (V) | Surface (D) | Middle (V) | Middle (D) | Bottom (V) | Bottom (D) | Dry | Wet |
|---|---|---|---|---|---|---|---|---|---|
| H1 | 0.47 | 0.94 | 0.87 | 0.96 | 0.98 | 0.96 | 0.98 | - | - |
| H2 | 0.97 | 0.93 | 0.76 | 0.94 | 0.99 | 0.90 | 0.99 | - | - |
| H3 | 0.98 | 0.67 | 0.98 | 0.74 | 0.98 | 0.77 | 0.98 | - | - |
| H4 | 0.99 | 0.93 | 1.00 | 0.93 | 1.00 | 0.89 | 1.00 | - | - |
| H5 | 0.99 | 0.82 | 0.99 | 0.81 | 0.99 | 0.77 | 0.99 | - | - |
| H6 | 0.98 | 0.91 | 1.00 | 0.93 | 1.00 | 0.88 | 0.99 | - | - |
| S1 | - | - | - | - | - | - | - | 0.60 | 0.47 |
| S2 | - | - | - | - | - | - | - | 0.73 | 0.65 |
| Case | Period | River Discharge | Wind |
|---|---|---|---|
| 1 | wet season | Average daily river discharge from 2007 to 2017 | Hourly variation |
| 2 | wet season | Average daily river discharge in 2020 | Hourly variation |
| 3 | wet season | None | |
| 4 | wet season | Constant wind, south with speed of 4 m/s | |
| 5 | wet season | Constant wind, south with speed of 8 m/s | |
| 6 | wet season | Constant wind, south with speed of 12 m/s | |
| 7 | dry season | None | |
| 8 | dry season | Constant wind, northeast with speed of 5 m/s | |
| 9 | dry season | Constant wind, northeast with speed of 10 m/s | |
| 10 | dry season | Constant wind, northeast with speed of 15 m/s |
Disclaimer/Publisher’s Note: The statements, opinions and data contained in all publications are solely those of the individual author(s) and contributor(s) and not of MDPI and/or the editor(s). MDPI and/or the editor(s) disclaim responsibility for any injury to people or property resulting from any ideas, methods, instructions or products referred to in the content. |
© 2023 by the authors. Licensee MDPI, Basel, Switzerland. This article is an open access article distributed under the terms and conditions of the Creative Commons Attribution (CC BY) license (https://creativecommons.org/licenses/by/4.0/).
Share and Cite
Qin, H.; Shi, H.; Gai, Y.; Qiao, S.; Li, Q. Sensitivity Analysis of Runoff and Wind with Respect to Yellow River Estuary Salinity Plume Based on FVCOM. Water 2023, 15, 1378. https://doi.org/10.3390/w15071378
Qin H, Shi H, Gai Y, Qiao S, Li Q. Sensitivity Analysis of Runoff and Wind with Respect to Yellow River Estuary Salinity Plume Based on FVCOM. Water. 2023; 15(7):1378. https://doi.org/10.3390/w15071378
Chicago/Turabian StyleQin, Huawei, Hongyuan Shi, Yunyun Gai, Shouwen Qiao, and Qingjie Li. 2023. "Sensitivity Analysis of Runoff and Wind with Respect to Yellow River Estuary Salinity Plume Based on FVCOM" Water 15, no. 7: 1378. https://doi.org/10.3390/w15071378
APA StyleQin, H., Shi, H., Gai, Y., Qiao, S., & Li, Q. (2023). Sensitivity Analysis of Runoff and Wind with Respect to Yellow River Estuary Salinity Plume Based on FVCOM. Water, 15(7), 1378. https://doi.org/10.3390/w15071378

