Long-Term (2002–2021) Trend in Nutrient-Related Pollution at Small Stratified Inland Estuaries, the Kishon SE Mediterranean Case
Abstract
1. Introduction
2. Materials and Methods
2.1. Study Site
2.2. Sampling
2.3. Inorganic Nutrients
2.4. Chlorophyll-a Extraction
2.5. Harmful Microalgae Identification
2.6. Statistical Tests
2.7. Calculating the Nutrient Anthropogenic End-Member
3. Results and Discussion
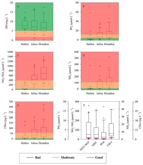
3.1. Nutrients, chl-a, and Dissolve Oxygen Levels
3.2. Assessing the Nutrient Variations and Anthropogenic End-Member Dynamic
3.3. Assessment of Water Quality Status
3.4. Relationships between HABs and Nutrient Dynamics
4. Summary
Author Contributions
Funding
Data Availability Statement
Acknowledgments
Conflicts of Interest
References
- Lemaitre-Curr, E.; Tode, L. State of the Environment and Development in the Mediterranean (SoED) 2020; Nairobi. 2021. Available online: https://planbleu.org/wp-content/uploads/2021/04/SoED_full-report.pdf (accessed on 15 December 2022).
- Cramer, W.; Guiot, J.; Fader, M.; Garrabou, J.; Gattuso, J.P.; Iglesias, A.; Lange, M.A.; Lionello, P.; Llasat, M.C.; Paz, S.; et al. Climate change and interconnected risks to sustainable development in the Mediterranean. Nat. Clim. Chang. 2018, 8, 972–980. [Google Scholar] [CrossRef]
- Carvalho, L.; Mackay, E.B.; Cardoso, A.C.; Baattrup-Pedersen, A.; Birk, S.; Blackstock, K.L.; Borics, G.; Borja, A.; Feld, C.K.; Ferreira, M.T.; et al. Protecting and restoring Europe’s waters: An analysis of the future development needs of the Water Framework Directive. Sci. Total Environ. 2019, 658, 1228–1238. [Google Scholar] [CrossRef] [PubMed]
- Grizzetti, B.; Pistocchi, A.; Liquete, C.; Udias, A.; Bouraoui, F.; Van De Bund, W. Human pressures and ecological status of European rivers. Sci. Rep. 2017, 7, 205. [Google Scholar] [CrossRef] [PubMed]
- Phillips, G.; Kelly, M.; Teixeira, H.; Salas, F.; Free, G.; Leujak, W.; Solheim, A.L.; Várbíró, G.; Poikane, S. Best Practice for Establishing Nutrient Concentrations to Support Good Ecological Status; Publications Office of the European Union: Luxembourg, 2018; ISBN 9789279929069. [Google Scholar]
- Kuwayama, Y.; Olmstead, S.; Zheng, J. A more comprehensive estimate of the value of water quality. J. Public Econ. 2022, 207, 104600. [Google Scholar] [CrossRef]
- Anderson, D.M.; Glibert, P.M.; Burkholder, J.M. Harmful algal blooms and eutrophication: Nutrient sources, composition, and consequences. Estuaries 2002, 25, 704–726. [Google Scholar] [CrossRef]
- Ajani, P.A.; Larsson, M.E.; Woodcock, S.; Rubio, A.; Farrell, H.; Brett, S.; Murray, S.A. Bloom drivers of the potentially harmful dinoflagellate Prorocentrum minimum (Pavillard) Schiller in a south eastern temperate Australian estuary. Estuar. Coast. Shelf Sci. 2018, 215, 161–171. [Google Scholar] [CrossRef]
- Ludwig, W.; Bouwman, A.F.; Dumont, E.; Lespinas, F. Water and nutrient fluxes from major Mediterranean and Black Sea rivers: Past and future trends and their implications for the basin-scale budgets. Glob. Biogeochem. Cycles 2010, 24, 199–217. [Google Scholar] [CrossRef]
- Beck, H.E.; Van Dijk, A.I.; Miralles, D.G.; De Jeu, R.A.; Bruijnzeel, L.A.; McVicar, T.R.; Schellekens, J. Global patterns in base flow index and recession based on streamflow observations from 3394 catchments. Water Resour. Res. 2013, 49, 7843–7863. [Google Scholar] [CrossRef]
- Herut, B.; Kress, N.; Hornung, H. Nutrient pollution at the lower reaches of Mediterranean coastal rivers in Israel. Water Sci. Technol. 2000, 42, 147–152. [Google Scholar] [CrossRef]
- Herut, B.; Hornung, H.; Krom, M.D.; Kress, N.; Cohen, Y. Trace metals in shallow sediments from the Mediterranean coastal region of Israel. Mar. Pollut. Bull. 1993, 26, 675–682. [Google Scholar] [CrossRef]
- Eliani-Russak, E.; Herut, B.; Sivan, O. The role of highly sratified nutrient-rich small estuaries as a source of dissolved inorganic nitrogen to coastal seawater, the Qishon (SE Mediterranean) case. Mar. Pollut. Bull. 2013, 71, 250–258. [Google Scholar] [CrossRef]
- Herut, B.; Kress, N. Particulate metals contamination in the Kishon River estuary, Israel. Mar. Pollut. Bull. 1997, 34, 706–711. [Google Scholar] [CrossRef]
- Herut, B.; Tibor, G.; Yacobi, Y.Z.; Kress, N. Synoptic measurements of chlorophyll-a and suspended particulate matter in a transitional zone from polluted to clean seawater utilizing airborne remote sensing and ground measurements, Haifa Bay (SE Mediterranean). Mar. Pollut. Bull. 1999, 38, 762–772. [Google Scholar] [CrossRef]
- Suari, Y.; Dadon-Pilosof, A.; Sade, T.; Amit, T.; Gilboa, M.; Gafny, S.; Topaz, T.; Zedaka, H.; Boneh, S.; Yahel, G. A long term physical and biogeochemical database of a hyper-eutrophicated Mediterranean micro-estuary. Data Brief 2019, 27, 104809. [Google Scholar] [CrossRef]
- Vachtman, D.; Sandler, A.; Greenbaum, N.; Herut, B. Dynamics of suspended sediment delivery to the Eastern Mediterranean continental shelf. Hydrol. Process. 2013, 27, 1105–1116. [Google Scholar] [CrossRef]
- Bar-Zeev, E.; Rahav, E. Microbial metabolism of transparent exopolymer particles during the summer months along a eutrophic estuary system. Front. Microbiol. 2015, 6, 403. [Google Scholar] [CrossRef]
- Gordon, N.; Belkin, N.; Sisma-Ventura, G.; Gertner, Y.; Rahav, E. Characterization of Microphytoplankton Species along the Kishon Estuary; IOLR Report H22/2022; Israel Oceanographic and Limnological Research: Haifa, Israel, 2022. (In Hebrew) [Google Scholar]
- Rahav, E.; Herut, B.; Group, I. The National Monitoring Program of Israel’s Mediterranean Waters—Scientific Report on Biodiversity for 2021; IOLR Report H26/2022; Israel Oceanographic and Limnological Research: Haifa, Israel, 2022. (In Hebrew) [Google Scholar]
- Poikane, S.; Kelly, M.G.; Salas Herrero, F.; Pitt, J.A.; Jarvie, H.P.; Claussen, U.; Leujak, W.; Lyche Solheim, A.; Teixeira, H.; Phillips, G. Nutrient criteria for surface waters under the European Water Framework Directive: Current state-of-the-art, challenges and future outlook. Sci. Total Environ. 2019, 695, 133888. [Google Scholar] [CrossRef]
- Bricker, S.B.; Clement, C.G.; Pirhalla, D.E.; Orlando, S.P.; Farrow, D.R.G. National Estuarine Eutrophication Assessment: Effects of Nutrient Enrichment in the Nation’s Estuaries; NOAA, National Ocean Service, Special Projects Office and National Centers for Coastal Ocean Science: Silver Spring, MD, USA, 1999. [Google Scholar]
- Kress, N.; Rahav, E.; Silverman, J.; Herut, B. Environmental status of Israel’s Mediterranean coastal waters: Setting reference conditions and thresholds for nutrients, chlorophyll-a and suspended particulate matter. Mar. Pollut. Bull. 2019, 141, 612–620. [Google Scholar] [CrossRef]
- Kress, N.; Herut, B. Hypernutrification in the Oligotrophic Eastern Mediterranean: A Study in Haifa Bay (Israel). Estuar. Coast. Shelf Sci. 1998, 46, 645–656. [Google Scholar] [CrossRef]
- Kress, N.; Gertman, I.; Herut, B. Temporal evolution of physical and chemical characteristics of the water column in the Easternmost Levantine Basin (Eastern Mediterranean Sea) from 2002 to 2010. J. Mar. Syst. 2014, 135, 6–13. [Google Scholar] [CrossRef]
- Rahav, E.; Raveh, O.; Hazan, O.; Gordon, N.; Kress, N.; Silverman, J.; Herut, B. Impact of nutrient enrichment on productivity of coastal water along the SE Mediterranean shore of Israel—A bioassay approach. Mar. Pollut. Bull. 2018, 127, 559–567. [Google Scholar] [CrossRef] [PubMed]
- Herut, B.; Zohary, T.; Krom, M.D.D.; Mantoura, R.F.C.; Pitta, P.; Psarra, S.; Rassoulzadegan, F.; Tanaka, T.; Frede Thingstad, T. Response of East Mediterranean surface water to Saharan dust: On-board microcosm experiment and field observations. Deep. Res. Part II Top. Stud. Oceanogr. 2005, 52, 3024–3040. [Google Scholar] [CrossRef]
- Sisma-Ventura, G.; Rahav, E. DOP Stimulates Heterotrophic Bacterial Production in the Oligotrophic Southeastern Mediterranean Coastal Waters. Front. Microbiol. 2019, 10, 1913. [Google Scholar] [CrossRef] [PubMed]
- Welschmeyer, N.A. Fluorometric analysis of chlorophyll a in the presence of chlorophyll b and pheopigments. Limnol. Oceanogr. 1994, 39, 1985–1992. [Google Scholar] [CrossRef]
- Hewes, C.D.; Holm-Hansen, O. A method for recovering nanoplankton from filters for identification with the microscope. The filter-transfer-freeze (FTF) technique. Limnol. Oceanogr. 1983, 28, 389–394. [Google Scholar] [CrossRef]
- Lyche Solheim, A.; Globevnik, L.; Austnes, K.; Kristensen, P.; Moe, S.J.; Persson, J.; Phillips, G.; Poikane, S.; van de Bund, W.; Birk, S. A new broad typology for rivers and lakes in Europe: Development and application for large-scale environmental assessments. Sci. Total Environ. 2019, 697, 134043. [Google Scholar] [CrossRef]
- Salas Herrero, F.; Teixeira, H.; Poikane, S. A novel approach for deriving nutrient criteria to support good ecological status: Application to coastal and transitional waters and indications for use. Front. Mar. Sci. 2019, 6, 255. [Google Scholar] [CrossRef]
- Nikolaidis, N.P.; Phillips, G.; Poikane, S.; Várbíró, G.; Bouraoui, F.; Malagó, A.; Lilli, M. River and lake nutrient targets that support ecological status: European scale gap analysis and strategies for the implementation of the Water Framework Directive. Sci. Total Environ. 2022, 813, 151898. [Google Scholar] [CrossRef]
- Romero, E.; Le Gendre, R.; Garnier, J.; Billen, G.; Fisson, C.; Silvestre, M.; Riou, P. Long-term water quality in the lower Seine: Lessons learned over 4 decades of monitoring. Environ. Sci. Policy 2016, 58, 141–154. [Google Scholar] [CrossRef]
- Glibert, P.M.; Magnien, R.; Lomas, M.W.; Alexander, J.; Tan, C.; Haramoto, E.; Trice, M.; Kana, T.M. Harmful algal blooms in the Chesapeake and Coastal Bays of Maryland, USA: Comparison of 1997, 1998, and 1999 events. Estuaries 2001, 24, 875–883. [Google Scholar] [CrossRef]
- Michael Beman, J.; Arrigo, K.R.K.; Matson, P.A.; Beman, J.; Arrigo, K.R.K.; Matson, P.A. Agricultural runoff fuels large phytoplankton blooms in vulnerable areas of the ocean. Nature 2005, 434, 211–214. [Google Scholar] [CrossRef] [PubMed]






| Variable | Harbor | Julius | Histadrut |
|---|---|---|---|
| Temperature (°C) | 24.1 ± 1.8 | 24.5 ± 2.0 | 24.4 ± 2.2 |
| Salinity (psu) | 35.5 ± 4.3 | 21.3 ± 7.2 | 17.8 ± 6.1 |
| DO (mg L−1) | 8.3 ± 2.4 | 8.6 ± 4.4 | 7.6 ± 4.5 |
| pH | 8.1 ± 0.4 | 8.0 ± 0.3 | 7.9 ± 0.3 |
| NO2− + NO3− (µmol L−1) | 104.5 ± 102.1 | 475.8 ± 267.2 | 701.0 ± 322.2 |
| NH4+ (µmol L−1) | 23.0 ± 9.8 | 79.3 ± 8.7 | 137.4 ± 116.5 |
| PO43− (µmol L−1) | 3.9 ± 2.8 | 10.6 ± 9.2 | 15.5 ± 15.2 |
| DIN:PO43− | 119:1 | 91:1 | 81:1 |
| Si(OH)4 (µmol L−1) | 31.8 ± 32.7 | 133.4 ± 75.8 | 185.7 ± 107.4 |
| Chl-a (µg L−1) | 21.1 ± 32.3 | 54.0 ± 7.0 | 72.1 ± 78.6 |
| Criteria/Status | Reference | PO43− (µM) | NO3 (µM) | NH4+ (µM) | Chl-a (µg L−1) | DO (mg L−1) | TP (µM) | TN (µM) |
|---|---|---|---|---|---|---|---|---|
| Moderate | Poikane et al. [21]; median values medium-small rivers | >2.6 | >143 | - | - | - | >4.8 | >164 |
| Good | ≤2.6 | ≤143 | - | - | - | ≤4.8 | ≤164 | |
| Bad | Bricker et al. [22]; NOAA | - | - | - | ≥60 | ≤2 | ≥3 | >70 |
| Moderate | - | - | - | 5–60 | 2–5 | 0.3–3 | 7–70 | |
| Good | - | - | - | ≤5 | ≥5 | ≤0.3 | ≤7 | |
| Moderate/good target threshold | Nikolaidis et al. [32]; mid range | - | - | - | - | - | –1 | 57 |
| Bad | Romero et al. [34] | >21 | >806 | >277 | - | <3 | - | - |
| Poor | ≤21 | ≤806 | ≤277 | - | ≥3 | - | - | |
| Moderate | ≤10.5 | ≤403 | ≤111 | - | ≥4 | - | - | |
| Good | ≤5.3 | ≤161 | ≤27.8 | - | ≥6 | - | - | |
| High | ≤1.1 | ≤32.3 | ≤5.6 | - | ≥8 | - | - | |
| Bad | This study | >10 | >400 | >110 | >60 | ≤2 | - | - |
| Moderate | 2.2–10 | 71–400 | 28–110 | 5–60 | 2–5 | - | - | |
| Good | <2.2 | <71 | <28 | <5 | ≥5 | - | - | |
| Haifa Bay coastal seawater | ||||||||
| GES/non-GES threshold | Kress et al. [23] | 0.1 | 2.1 | 0.78 | 1.14 | - | 0.13 | 12.7 |
| Variable | Station | Good | Moderate | Bad |
|---|---|---|---|---|
| PO43− | Histadrut | 3 | 53 | 44 |
| Julius | 10 | 44 | 46 | |
| Harbor | 63 | 26 | 11 | |
| NO3− | Histadrut | 0 | 20 | 80 |
| Julius | 0 | 43 | 57 | |
| Harbor | 44 | 56 | 0 | |
| NH4+ | Histadrut | 13 | 47 | 40 |
| Julius | 23 | 50 | 27 | |
| Harbor | 87 | 10 | 3 | |
| Chl-a | Histadrut | 5 | 61 | 34 |
| Julius | 16 | 55 | 29 | |
| Harbor | 24 | 71 | 5 |
Disclaimer/Publisher’s Note: The statements, opinions and data contained in all publications are solely those of the individual author(s) and contributor(s) and not of MDPI and/or the editor(s). MDPI and/or the editor(s) disclaim responsibility for any injury to people or property resulting from any ideas, methods, instructions or products referred to in the content. |
© 2023 by the authors. Licensee MDPI, Basel, Switzerland. This article is an open access article distributed under the terms and conditions of the Creative Commons Attribution (CC BY) license (https://creativecommons.org/licenses/by/4.0/).
Share and Cite
Herut, B.; Gertner, Y.; Segal, Y.; Sisma-Ventura, G.; Gordon, N.; Belkin, N.; Rahav, E. Long-Term (2002–2021) Trend in Nutrient-Related Pollution at Small Stratified Inland Estuaries, the Kishon SE Mediterranean Case. Water 2023, 15, 484. https://doi.org/10.3390/w15030484
Herut B, Gertner Y, Segal Y, Sisma-Ventura G, Gordon N, Belkin N, Rahav E. Long-Term (2002–2021) Trend in Nutrient-Related Pollution at Small Stratified Inland Estuaries, the Kishon SE Mediterranean Case. Water. 2023; 15(3):484. https://doi.org/10.3390/w15030484
Chicago/Turabian StyleHerut, Barak, Yaron Gertner, Yael Segal, Guy Sisma-Ventura, Nurit Gordon, Natalia Belkin, and Eyal Rahav. 2023. "Long-Term (2002–2021) Trend in Nutrient-Related Pollution at Small Stratified Inland Estuaries, the Kishon SE Mediterranean Case" Water 15, no. 3: 484. https://doi.org/10.3390/w15030484
APA StyleHerut, B., Gertner, Y., Segal, Y., Sisma-Ventura, G., Gordon, N., Belkin, N., & Rahav, E. (2023). Long-Term (2002–2021) Trend in Nutrient-Related Pollution at Small Stratified Inland Estuaries, the Kishon SE Mediterranean Case. Water, 15(3), 484. https://doi.org/10.3390/w15030484

