Vulnerability of Water Resources to Drought Risk in Southeastern Morocco: Case Study of Ziz Basin
Abstract
1. Introduction
2. Materials and Methods
2.1. Study Area
2.2. Data Compilation
2.3. Calculation of Drought Indices
2.3.1. Standardized Precipitation Index
2.3.2. Standardized Precipitation Evapotranspiration Index
2.3.3. Standardized Groundwater Index
2.4. Future Climate Projections and Future SGIs
2.5. The Application of the WEAP Model
2.5.1. Land Use and Land Cover Change Analysis
2.5.2. Future Land Class Inflows and Outflows
3. Results
3.1. Meteorological Drought Index
3.2. Groundwater Drought Index
3.3. Relationships between Meteorological and Groundwater Drought Indices
3.4. Future Climate Projections and Future Meteorological Indices
3.5. Future Standardized Groundwater Index
3.6. Land Use and Land Cover Changes and Elevations
3.7. Impact of LULC on Surface Runoff and Groundwater Flow
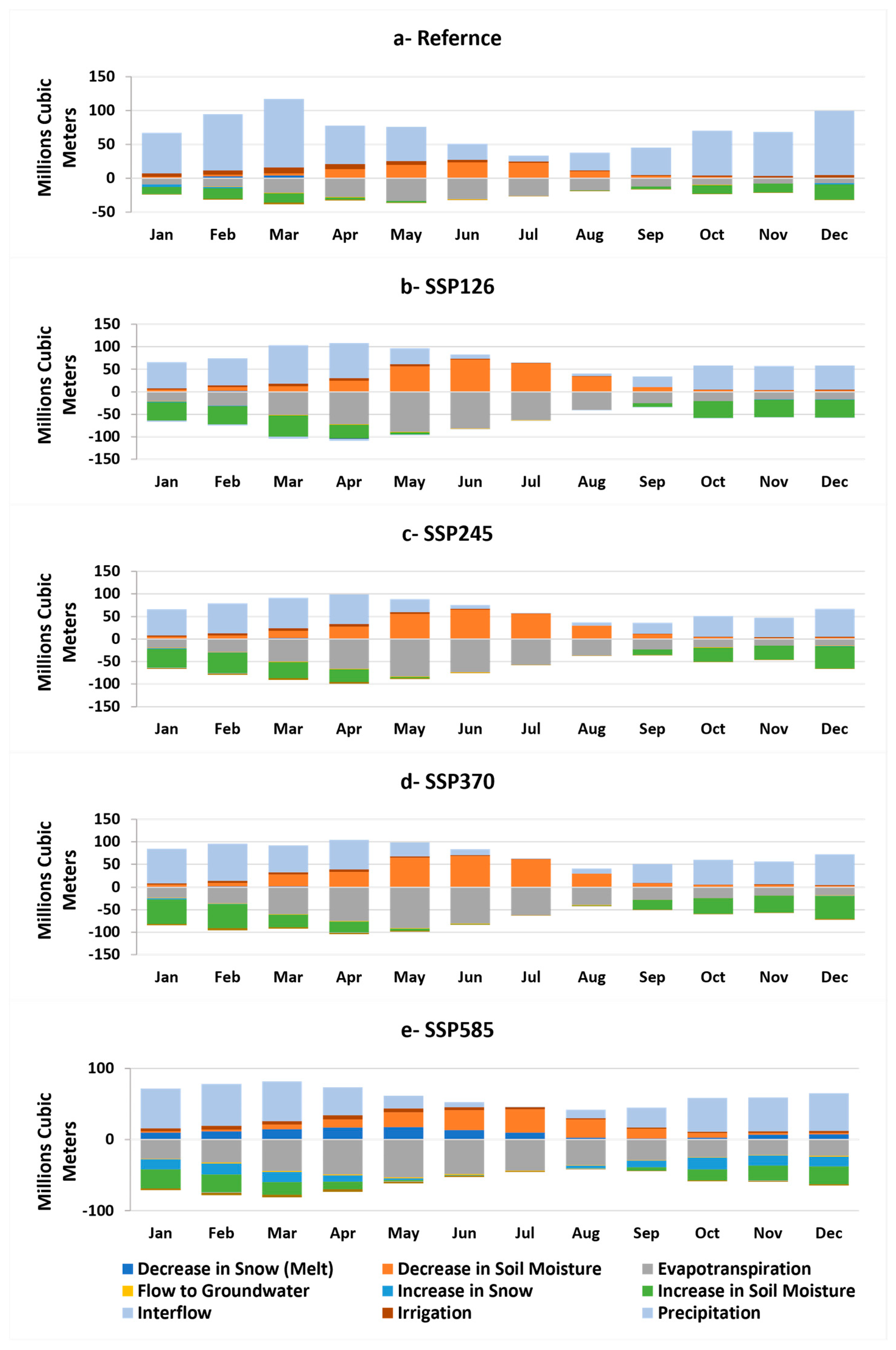
3.8. Future Scenarios of Land Class Inflow and Outflow in Ziz Watershed
4. Discussion
4.1. Drought Evolution in Ziz Watershed
4.2. Land Use and Land Cover Change in the Ziz Watershed
4.3. Climate Change Scenarios Adapted to the Moroccan Context and Arid and Saharan Zones
4.4. Future Climate Projections and Future Water Availability in the Ziz Watershed: Impacts and Adaptation Strategies
5. Conclusions
Author Contributions
Funding
Data Availability Statement
Acknowledgments
Conflicts of Interest
References
- Jones, R.L.; Guha-Sapir, D.; Tubeuf, S. Human and Economic Impacts of Natural Disasters: Can We Trust the Global Data? Sci. Data 2022, 9, 572. [Google Scholar] [CrossRef] [PubMed]
- IPCC. Climate Change 2022: Impacts, Adaptation and Vulnerability Working Group. II Contribution to the Sixth Assessment Report of the Intergovernmental Panel on Climate Change; Pörtner, H.-O., Roberts, D.C., Tignor, M., Poloczanska, E.S., Mintenbeck, K., Alegría, A., Craig, M., Langsdorf, S., Löschke, S., Möller, V., et al., Eds.; Cambridge University Press: Cambridge, UK; New York, NY, USA, 2022. [Google Scholar]
- CRED. The Human Cost of Disasters: An Overview of the Last 20 Years (2000–2019); Centre for Research on the Epidemiology of Disasters United Nations Office for Disaster Risk Reduction: Brussels, Belgium, 2020; p. 30. [Google Scholar]
- CRED. The Interplay of Drought-Flood Extreme Events in Africa over the Last Twenty Years (2002–2021); EM-DAT International Disaster Database; Centre for Research on the Epidemiology of Disasters (CRED), Institute of Health & Society (IRSS), UCLouvain: Brussels, Belgium, 2022. [Google Scholar]
- Tran, H.T.; Campbell, J.B.; Wynne, R.H.; Shao, Y.; Phan, S.V. Drought and Human Impacts on Land Use and Land Cover Change in a Vietnamese Coastal Area. Remote Sens. 2019, 11, 333. [Google Scholar] [CrossRef]
- Canedo-Rosso, C.; Hochrainer-Stigler, S.; Pflug, G.; Condori, B.; Berndtsson, R. Drought Impact in the Bolivian Altiplano Agriculture Associated with the El Niño–Southern Oscillation Using Satellite Imagery Data. Nat. Hazards Earth Syst. Sci. 2021, 21, 995–1010. [Google Scholar] [CrossRef]
- Descroix, L.; Moussa, I.B.; Genthon, P.; Sighomnou, D.; Mahé, G.; Mamadou, I.; Vandervaere, J.-P.; Gautier, E.; Maiga, O.F.; Rajot, J.-L.; et al. Impact of Drought and Land–Use Changes on Surface–Water Quality and Quantity: The Sahelian Paradox. In Current Perspectives in Contaminant Hydrology and Water Resources Sustainability; IntechOpen: London, UK, 2013; ISBN 978-953-51-1046-0. [Google Scholar]
- Elbouqdaoui, K.; Haida, S.; Aboulabbes, O.; Benaabidat, L.; Zahraoui, M.; Ozer, A. Evolution du régime pluviométrique et hydrométrique du bassin versant du Srou (Moyen Atlas, Maroc). Geo-Eco-Trop Rev. Int. Géologie Géographie Ecol. Trop. 2006, 30, 41. [Google Scholar]
- Driouech, F. Distribution des Précipitations Hivernales Sur Le Maroc Dans Le Cadre d’un Changement Climatique. Ph.D. Thesis, Institut National Polytechnique de Toulouse, Toulouse, France, 2010. [Google Scholar]
- Tramblay, Y.; Badi, W.; Driouech, F.; El Adlouni, S.; Neppel, L.; Servat, E. Climate Change Impacts on Extreme Precipitation in Morocco. Glob. Planet. Change 2012, 82–83, 104–114. [Google Scholar] [CrossRef]
- Sebbar, A. Etude de La Variabilité et de l’évolution de La Pluviométrie Au Maroc (1935–2005): Réactualisation de La Carte Des Précipitations. Ph.D. Thesis, Université Hassan II, Casablanca, Morocco, 2013. [Google Scholar]
- Łabędzki, L.; Bąk, B. Meteorological and Agricultural Drought Indices Used in Drought Monitoring in Poland: A Review. Meteorol. Hydrol. Water Manag. 2014, 2, 3–14. [Google Scholar] [CrossRef]
- Immerzeel, W.W.; Droogers, P.; Terink, W.; Hoogeveen, J.; Hellegers, P.; Bierkens, M.F.P.; Beek, L.P.H. Middle-East and Northern Africa Water Outlook. Rep. Future 2011, 98, 31. [Google Scholar]
- MNSSD. Morocco-Climate Change and Fisheries: Impacts and Recommendations: Royaume du Maroc-Changement Climatique et Secteur Halieutique: Impacts et Recommandations; World Bank Group: Washington, DC, USA, 2013. [Google Scholar]
- MTEDD. 4ème Communication Nationale du Maroc à la Convention Cadre des Nations Unies sur les Changements Climatiques; Ministere de la Transition Energetique et du Developpement Durable-Département de l’Environnement: Rabat, Morocco, 2020. [Google Scholar]
- INRA. Agriculture Résiliente dans un Contexte de Changement Climatique (Actes de Séminaire); INRA-Editions: Meknès, Morocco, 2018; p. 128. [Google Scholar]
- Zhang, H.; Ding, J.; Wang, Y.; Zhou, D.; Zhu, Q. Investigation about the Correlation and Propagation among Meteorological, Agricultural and Groundwater Droughts over Humid and Arid/Semi-Arid Basins in China. J. Hydrol. 2021, 603, 127007. [Google Scholar] [CrossRef]
- Mehdaoui, R.; Mili, E.-M.; Seghir, A. Caractérisation à l’aide du SPI de la Sécheresse climatique dans le bassin versant de Ziz (Sud-Est, Maroc). ESJ 2018, 14, 177. [Google Scholar] [CrossRef]
- Khoumsi, W.E.; Hammani, A.; Kuper, M.; Bouaziz, A. La durabilité du système oasien face à la détérioration des ressources en eaux souterraines: Cas de la palmeraie de Tafilalet. Rev. Mar. Sci. Agron. Vét. 2017, 5, 41–51. [Google Scholar]
- Bloomfield, J.P.; Marchant, B.P. Analysis of Groundwater Drought Building on the Standardised Precipitation Index Approach. Hydrol. Earth Syst. Sci. 2013, 17, 4769–4787. [Google Scholar] [CrossRef]
- Halwatura, D.; McIntyre, N.; Lechner, A.M.; Arnold, S. Capability of Meteorological Drought Indices for Detecting Soil Moisture Droughts. J. Hydrol. Reg. Stud. 2017, 12, 396–412. [Google Scholar] [CrossRef]
- Parente, J.; Amraoui, M.; Menezes, I.; Pereira, M.G. Drought in Portugal: Current Regime, Comparison of Indices and Impacts on Extreme Wildfires. Sci. Total Environ. 2019, 685, 150–173. [Google Scholar] [CrossRef]
- Wang, Y.; Peng, T.; Lin, Q.; Singh, V.P.; Dong, X.; Chen, C.; Liu, J.; Chang, W.; Wang, G. A New Non-Stationary Hydrological Drought Index Encompassing Climate Indices and Modified Reservoir Index as Covariates. Water Resour. Manag. 2022, 36, 2433–2454. [Google Scholar] [CrossRef]
- Nandgude, N.; Singh, T.P.; Nandgude, S.; Tiwari, M. Drought Prediction: A Comprehensive Review of Different Drought Prediction Models and Adopted Technologies. Sustainability 2023, 15, 11684. [Google Scholar] [CrossRef]
- McKee, T.B.; Doesken, N.J.; Kleist, J. The Relationship of Drought Frequency and Duration to Time Scales. In Proceedings of the 8th Conference on Applied Climatology, Anaheim, CA, USA, 17–22 January 1993; Volume 17, pp. 179–183. [Google Scholar]
- Dabanlı, İ.; Mishra, A.K.; Şen, Z. Long-Term Spatio-Temporal Drought Variability in Turkey. J. Hydrol. 2017, 552, 779–792. [Google Scholar] [CrossRef]
- Patel, N.R.; Chopra, P.; Dadhwal, V.K. Analyzing Spatial Patterns of Meteorological Drought Using Standardized Precipitation Index. Meteorol. Appl. 2007, 14, 329–336. [Google Scholar] [CrossRef]
- Vicente-Serrano, S.M.; Beguería, S.; López-Moreno, J.I. A Multiscalar Drought Index Sensitive to Global Warming: The Standardized Precipitation Evapotranspiration Index. J. Clim. 2010, 23, 1696–1718. [Google Scholar] [CrossRef]
- Zhang, Q.; Qi, T.; Singh, V.P.; Chen, Y.D.; Xiao, M. Regional Frequency Analysis of Droughts in China: A Multivariate Perspective. Water Resour. Manag. 2015, 29, 1767–1787. [Google Scholar] [CrossRef]
- Botai, C.M.; Botai, J.O.; Dlamini, L.C.; Zwane, N.S.; Phaduli, E. Characteristics of Droughts in South Africa: A Case Study of Free State and North West Provinces. Water 2016, 8, 439. [Google Scholar] [CrossRef]
- Pei, Z.; Fang, S.; Wang, L.; Yang, W. Comparative Analysis of Drought Indicated by the SPI and SPEI at Various Timescales in Inner Mongolia, China. Water 2020, 12, 1925. [Google Scholar] [CrossRef]
- Liu, F.; Wang, X.; Chang, Y.; Xu, Y.; Zheng, Y.; Sun, N.; Li, W. Multivariate Drought Risk Analysis for the Weihe River: Comparison between Parametric and Nonparametric Copula Methods. Water 2023, 15, 3283. [Google Scholar] [CrossRef]
- Abu Arra, A.; Şişman, E. Characteristics of Hydrological and Meteorological Drought Based on Intensity-Duration-Frequency (IDF) Curves. Water 2023, 15, 3142. [Google Scholar] [CrossRef]
- Seo, J.Y.; Lee, S.-I. Spatio-Temporal Groundwater Drought Monitoring Using Multi-Satellite Data Based on an Artificial Neural Network. Water 2019, 11, 1953. [Google Scholar] [CrossRef]
- Brleković, T.; Tadić, L. Hydrological Drought Assessment in a Small Lowland Catchment in Croatia. Hydrology 2022, 9, 79. [Google Scholar] [CrossRef]
- Mukhawana, M.; Thokozani, K.; Kahler, D.M. Review of In-Situ and Remote Sensing-Based Indices and Their Applicability for Integrated Drought Monitoring in South Africa. Water 2023, 15, 240. [Google Scholar] [CrossRef]
- Barati, A.A.; Pour, M.D.; Sardooei, M.A. Water Crisis in Iran: A System Dynamics Approach on Water, Energy, Food, Land and Climate (WEFLC) Nexus. Sci. Total Environ. 2023, 882, 163549. [Google Scholar] [CrossRef]
- Jaweso, D.; Abate, B.; Bauwe, A.; Lennartz, B. Hydro-Meteorological Trends in the Upper Omo-Ghibe River Basin, Ethiopia. Water 2019, 11, 1951. [Google Scholar] [CrossRef]
- Gedefaw, M.; Denghua, Y.; Girma, A. Assessing the Impacts of Land Use/Land Cover Changes on Water Resources of the Nile River Basin, Ethiopia. Atmosphere 2023, 14, 749. [Google Scholar] [CrossRef]
- Huang, X.-D.; Shi, Z.-H.; Fang, N.-F.; Li, X. Influences of Land Use Change on Baseflow in Mountainous Watersheds. Forests 2016, 7, 16. [Google Scholar] [CrossRef]
- Yeshaneh, E.; Wagner, W.; Exner-Kittridge, M.; Legesse, D.; Blöschl, G. Identifying Land Use/Cover Dynamics in the Koga Catchment, Ethiopia, from Multi-Scale Data, and Implications for Environmental Change. ISPRS Int. J. Geo-Inf. 2013, 2, 302–323. [Google Scholar] [CrossRef]
- Li, Y.; Chang, J.; Luo, L. Assessing the Impacts of Climate and Land Use Lane Cover Changes on Hydrological Droughts in the Yellow River Basin Using SWAT Model with Time-Varying Parameters. In Proceedings of the 2017 6th International Conference on Agro-Geoinformatics, Fairfax, VA, USA, 7–10 August 2017; pp. 1–6. [Google Scholar]
- Findell, K.L.; Berg, A.; Gentine, P.; Krasting, J.P.; Lintner, B.R.; Malyshev, S.; Santanello, J.A.; Shevliakova, E. The Impact of Anthropogenic Land Use and Land Cover Change on Regional Climate Extremes. Nat. Commun. 2017, 8, 989. [Google Scholar] [CrossRef] [PubMed]
- Touch, T.; Oeurng, C.; Jiang, Y.; Mokhtar, A. Integrated Modeling of Water Supply and Demand Under Climate Change Impacts and Management Options in Tributary Basin of Tonle Sap Lake, Cambodia. Water 2020, 12, 2462. [Google Scholar] [CrossRef]
- Seiber, J.; Purkey, D. WEAP—Water Evaluation and Planning System User Guide for WEAP 2015; Stockholm Environmental Institute: Boston, MA, USA, 2015. [Google Scholar]
- Dhaqane, A.; Murshed, M.F.; Mourad, K.; Abd Manan, T.S. Assessment of the Streamflow and Evapotranspiration at Wabiga Juba Basin Using a Water Evaluation and Planning (WEAP) Model. Water 2023, 15, 2594. [Google Scholar] [CrossRef]
- Ben Salem, A.; Ben Salem, S.; Yacoubi Khebiza, M.; Messouli, M. Ecosystem Services Demand Management Under Climate Change Scenarios: Use of WEAP Software in Case of Water Demand in Ziz Basin, Morocco. In Research Anthology on Environmental and Societal Impacts of Climate Change; IGI Global: Hershey, PA, USA, 2022; pp. 1944–1964. ISBN 978-1-66843-686-8. [Google Scholar]
- Rochdane, S.; Reichert, B.; Messouli, M.; Babqiqi, A.; Khebiza, M.Y. Climate Change Impacts on Water Supply and Demand in Rheraya Watershed (Morocco), with Potential Adaptation Strategies. Water 2012, 4, 28–44. [Google Scholar] [CrossRef]
- Karmaoui, A.; Minucci, G.; Messouli, M.; Khebiza, M.Y.; Ifaadassan, I.; Babqiqi, A. Climate Change Impacts on Water Supply System of the Middle Draa Valley in South Morocco. In Climate Change, Food Security and Natural Resource Management: Regional Case Studies from Three Continents; Behnassi, M., Pollmann, O., Gupta, H., Eds.; Springer International Publishing: Cham, Switzerland, 2019; pp. 163–178. ISBN 978-3-319-97091-2. [Google Scholar]
- ABHZGR Agence Du Bassin Hydraulique Du Guir-Ziz-Rhéris-Errachidia. Available online: http://www.abhgzr.ma/ (accessed on 6 January 2023).
- Ait Boughrous, A.; Yacoubi Khebiza, M.; Martin, P.; Ben Salem, A.; Messouli, M. Menaces Climatiques sur les Écosystèmes Aquatiques Souterrains de la Réserve de la Biosphère des Oasis du Sud Marocain. In Barbault, R. & Foucault, A., Changements Climatiques et Biodiversité; Vuibert-AFAS: Paris, France, 2010; pp. 111–122. [Google Scholar]
- Bousfoul, M.; Babakhouya, A.; Abaouz, A. Gestion Integrée des Ressources en Eau dans le Tafilalet: Une Nécessité pour la Préservation des Oasis du Sud-Est Marocain. In Proceedings of the Symposium International sur le Développement Durable des Systèmes Oasiens, Erfoud, Morocco, 8–10 March 2005. [Google Scholar]
- ORMVATF. Rapport de L’irrigation au Tafilalet, Office Régional de Mise En Valeur Agricole du Tafilalet; Office Régional de Mise en Valeur Agricole du Tafilalet: Errachidia, Morocco, 2016. [Google Scholar]
- Piechota, T.C.; Dracup, J.A. Drought and Regional Hydrologic Variation in the United States: Associations with the El Niño-Southern Oscillation. Water Resour. Res. 1996, 32, 1359–1373. [Google Scholar] [CrossRef]
- Beth, L.; Brown, T. A Comparison of Precipitation and Drought Indices Related to Fire Activity in the US. In Proceedings of the 5th Symposium on Fire and Forest Meteorology, Orlando, FL, USA, 16–19 November 2003. [Google Scholar]
- Tsakiris, G.; Vangelis, H. Towards a Drought Watch System Based on Spatial SPI. Water Resour. Manag. 2004, 18, 1–12. [Google Scholar] [CrossRef]
- WMO. Standardized Precipitation Index: User Guide; Svoboda, M., Hayes, M., Wood, D., Eds.; WMO: Geneva, Switzerland, 2012. [Google Scholar]
- Mashari Eshghabad, S.; Omidvar, E.; Solaimani, K. Efficiency of Some Meteorological Drought Indices in Different Time Scales (Case Study: Tajan Basin, Iran). Ecopersia 2014, 2, 441–453. [Google Scholar]
- McKee, T.B. Drought Monitoring with Multiple Time Scales. In Proceedings of the 9th Conference on Applied Climatology, Boston, MA, USA, 15–20 January 1995. [Google Scholar]
- Wmo, G.; Gwp, G. Handbook of Drought Indicators and Indices; World Meteorological Organization (WMO) and Global Water Partnership (GWP): Geneva, Switzerland, 2016. [Google Scholar]
- WMO. Annual Report of the World Meteorological Organization 1987; World Meteorological Organization (WMO): Geneva, Switzerland, 1988; p. 234. [Google Scholar]
- Stagge, J.; Tallaksen, L.M.; Gudmundsson, L.; Van Loon, A.; Stahl, K. Candidate Distributions for Climatological Drought Indices (SPI and SPEI). Int. J. Climatol. 2015, 35, 4267. [Google Scholar] [CrossRef]
- Guo, E.; Wang, Y.; Jirigala, B.; Jin, E. Spatiotemporal Variations of Precipitation Concentration and Their Potential Links to Drought in Mainland China. J. Clean. Prod. 2020, 267, 122004. [Google Scholar] [CrossRef]
- Khandelwal, S.; Dhiman, S. Reference Crop Evapotranspiration Estimation-A Comparative Study. In Proceedings of the National Conference on Recent Advances in Civil and Structural Engineering, (RACSE ‘14), Jointly Organized by AD Patel Institute of Technology and Birla Vishvakarma MahaVidyalaya, Vallabh Vidya Nagar, India, 25–26 April 2014. [Google Scholar]
- Secci, D.; Tanda, M.G.; D’Oria, M.; Todaro, V.; Fagandini, C. Impacts of Climate Change on Groundwater Droughts by Means of Standardized Indices and Regional Climate Models. J. Hydrol. 2021, 603, 127154. [Google Scholar] [CrossRef]
- Van Loon, A.F.; Laaha, G. Hydrological Drought Severity Explained by Climate and Catchment Characteristics. J. Hydrol. 2015, 526, 3–14. [Google Scholar] [CrossRef]
- Kubicz, J.; Bąk, B. The Reaction of Groundwater to Several Months’ Meteorological Drought in Poland. Pol. J. Environ. Stud. 2018, 28, 187–195. [Google Scholar] [CrossRef]
- Vidal, J.-P.; Martin, E.; Franchistéguy, L.; Habets, F.; Soubeyroux, J.-M.; Blanchard, M.; Baillon, M. Multilevel and Multiscale Drought Reanalysis over France with the Safran-Isba-Modcou Hydrometeorological Suite. Hydrol. Earth Syst. Sci. 2010, 14, 459–478. [Google Scholar] [CrossRef]
- Khan, S.; Gabriel, H.; Rana, T. Standard Precipitation Index to Track Drought and Assess Impact of Rainfall on Watertables in Irrigation Areas. Irrig. Drain. Syst. 2008, 22, 159–177. [Google Scholar] [CrossRef]
- Kumar, C.P. Impact of Climate Change on Groundwater Resources. In Handbook of Research on Climate Change Impact on Health and Environmental Sustainability; IGI Global: Hershey, PA, USA, 2016; pp. 196–221. ISBN 978-1-4666-8814-8. [Google Scholar]
- Leelaruban, N.; Padmanabhan, G.; Oduor, P. Examining the Relationship between Drought Indices and Groundwater Levels. Water 2017, 9, 82. [Google Scholar] [CrossRef]
- Soleimani Motlagh, M.; Ghasemieh, H.; Talebi, A.; Abdollahi, K. Identification and Analysis of Drought Propagation of Groundwater During Past and Future Periods. Water Resour. Manag. 2017, 31, 109–125. [Google Scholar] [CrossRef]
- Van Loon, A.; Kumar, R.; Mishra, V. Testing the Use of Standardised Indices and GRACE Satellite Data to Estimate the European 2015 Groundwater Drought in Near-Real Time. Hydrol. Earth Syst. Sci. 2017, 21, 1947–1971. [Google Scholar] [CrossRef]
- Uddameri, V.; Singaraju, S.; Hernandez, E.A. Is Standardized Precipitation Index (SPI) a Useful Indicator to Forecast Groundwater Droughts?—Insights from a Karst Aquifer. JAWRA J. Am. Water Resour. Assoc. 2019, 55, 70–88. [Google Scholar] [CrossRef]
- Babre, A.; Kalvāns, A.; Avotniece, Z.; Retiķe, I.; Bikše, J.; Popovs, K.; Jemeljanova, M.; Zelenkevičs, A.; Dēliņa, A. The Use of Predefined Drought Indices for the Assessment of Groundwater Drought Episodes in the Baltic States over the Period 1989–2018. J. Hydrol. Reg. Stud. 2022, 40, 101049. [Google Scholar] [CrossRef]
- O’Neill, B.C.; Tebaldi, C.; van Vuuren, D.P.; Eyring, V.; Friedlingstein, P.; Hurtt, G.; Knutti, R.; Kriegler, E.; Lamarque, J.-F.; Lowe, J.; et al. The Scenario Model Intercomparison Project (ScenarioMIP) for CMIP6. Geosci. Model. Dev. 2016, 9, 3461–3482. [Google Scholar] [CrossRef]
- Letha, J.; Nair, B.; Chand, A. Effect of Land Use/Land Cover Changes on Runoff in a River Basin: A Case Study. WIT Trans. Ecol. Environ. 2011, 145, 139–149, ISBN 978-1-84564-514-4. [Google Scholar]
- WEAP WebHelp/Catchment_Delineation.Htm. Available online: https://www.weap21.org/WebHelp/ (accessed on 11 July 2023).
- He, M.; Pan, Y.; Zhou, G.; Barry, K.; Fu, Y.; Zhou, X. Grazing and Global Change Factors Differentially Affect Biodiversity-Ecosystem Functioning Relationships in Grassland Ecosystems. Glob. Chang. Biol. 2022, 28, 5492–5504. [Google Scholar] [CrossRef] [PubMed]
- Obahoundje, S.; Ofosu, E.; Akpoti, K.; Kabo-bah, A.T. Land Use and Land Cover Changes under Climate Uncertainty: Modelling the Impacts on Hydropower Production in Western Africa. Hydrology 2017, 4, 2. [Google Scholar] [CrossRef]
- Winter, T.; Harvey, J.; Franke, O.; Alley, W. Ground Water and Surface Water a Single Resource: US Geological Survey Circular; US Geological Survey: Denver, CO, USA, 1998; Volume 1139. [Google Scholar]
- Mukherjee, A.; Bhanja, S.; Wada, Y. Groundwater Depletion Causing Reduction of Baseflow Triggering Ganges River Summer Drying. Sci. Rep. 2018, 8, 12049. [Google Scholar] [CrossRef] [PubMed]
- Minea, I.; Iosub, M.; Boicu, D. Multi-Scale Approach for Different Type of Drought in Temperate Climatic Conditions. Nat. Hazards 2022, 110, 1153–1177. [Google Scholar] [CrossRef]
- Srinivasan, V.; Konar, M.; Sivapalan, M. A Dynamic Framework for Water Security. Water Secur. 2017, 1, 12–20. [Google Scholar] [CrossRef]
- Zhang, Y.; Wang, P.; Chen, Y.; Yang, J.; Wu, D.; Ma, Y.; Huo, Z.; Liu, S. The Optimal Time-Scale of Standardized Precipitation Index for Early Identifying Summer Maize Drought in the Huang-Huai-Hai Region, China. J. Hydrol. Reg. Stud. 2023, 46, 101350. [Google Scholar] [CrossRef]
- Giorgi, F.; Lionello, P. Climate Change Projections for the Mediterranean Region. Glob. Planet. Chang. 2008, 63, 90–104. [Google Scholar] [CrossRef]
- El Moçayd, N.; Kang, S.; Eltahir, E.A.B. Climate Change Impacts on the Water Highway Project in Morocco. Hydrol. Earth Syst. Sci. 2020, 24, 1467–1483. [Google Scholar] [CrossRef]
- ORMVATF. Note Relative à la Mobilisation et L’exploitation des Ressources en Eaux dans le Tafilalet; ORMVATF: Errachidia, Morocco, 2017; Available online: https://www.ormvatafilalet.ma/ (accessed on 2 January 2020).
- Bardgett, R.D.; Bullock, J.M.; Lavorel, S.; Manning, P.; Schaffner, U.; Ostle, N.; Chomel, M.; Durigan, G.; Fry, E.L.; Johnson, D.; et al. Combatting Global Grassland Degradation. Nat. Rev. Earth Environ. 2021, 2, 720–735. [Google Scholar] [CrossRef]
- Dafouf, S.; Lahrach, A.; Tabyaoui, H.; Hafyani, M.E.; Benaabidate, L. Meteorological Drought Assessment in the Ziz Watershed (South East of Morocco). Ecol. Eng. Environ. Technol. 2022, 23, 243–263. [Google Scholar] [CrossRef]
- Ezzine, H.; Bouziane, A.; Ouazar, D. Seasonal Comparisons of Meteorological and Agricultural Drought Indices in Morocco Using Open Short Time-Series Data. Int. J. Appl. Earth Obs. Geoinf. 2014, 26, 36–48. [Google Scholar] [CrossRef]
- Ben-said, E.; Boukdir, A.; Mahboub, A.; Younsi, A.; Zitouni, A.; Alili, L.; Ikhmerdi, H. Functioning of the Primary Aquifer Relating to the Maider Basin, Morocco: Case of the Ordovician Aquifer. E3S Web Conf. 2018, 37, 01001. [Google Scholar] [CrossRef]
- Hssaisoune, M.; Bouchaou, L.; Sifeddine, A.; Bouimetarhan, I.; Chehbouni, A. Moroccan Groundwater Resources and Evolution with Global Climate Changes. Geosciences 2020, 10, 81. [Google Scholar] [CrossRef]
- Guo, M.; Yue, W.; Wang, T.; Zheng, N.; Wu, L. Assessing the Use of Standardized Groundwater Index for Quantifying Groundwater Drought over the Conterminous US. J. Hydrol. 2021, 598, 126227. [Google Scholar] [CrossRef]
- Ministry of Energy, Mines and the Environment. Morocco First NDC (Updated Submission); Ministry of Energy, Mines and the Environment: Rabat, Morocco, 2021. [Google Scholar]
- Driouech, F.; Stafi, H.; Khouakhi, A.; Moutia, S.; Badi, W.; ElRhaz, K.; Chehbouni, A. Recent Observed Country-Wide Climate Trends in Morocco. Int. J. Climatol. 2021, 41, E855–E874. [Google Scholar] [CrossRef]
- Torabi Haghighi, A.; Abou Zaki, N.; Rossi, P.M.; Noori, R.; Hekmatzadeh, A.A.; Saremi, H.; Kløve, B. Unsustainability Syndrome—From Meteorological to Agricultural Drought in Arid and Semi-Arid Regions. Water 2020, 12, 838. [Google Scholar] [CrossRef]
- Kashaigili, J.J.; Majaliwa, A.M. Implications of Land Use and Land Cover Changes on Hydrological Regimes of the Malagarasi River, Tanzania. J. Agric. Sci. Appl. 2013, 2, 45–50. [Google Scholar] [CrossRef]
- Bengtsson, J.; Bullock, J.M.; Egoh, B.; Everson, C.; Everson, T.; O’Connor, T.; O’Farrell, P.J.; Smith, H.G.; Lindborg, R. Grasslands—More Important for Ecosystem Services than You Might Think. Ecosphere 2019, 10, e02582. [Google Scholar] [CrossRef]
- Kowalczyk, A.; Jaguś, A.; Grabowska-Polanowska, B. Impact of Mountain Grassland Management on Groundwater Recharge in the Polish Carpathians. J. Ecol. Eng. 2023, 24, 321–329. [Google Scholar] [CrossRef]
- Fenjiro, I.; Zouagui, A.; Manaouch, M. Assessment of the Effects of Land Use/Land Cover Changes on Soil Loss and Sediment Yield Using WaTEM/SEDEM Model: Case Study of Ziz Upper Watershed in SE-Morocco. Curr. Appl. Sci. Technol. 2021, 21, 337–350. [Google Scholar]
- Karmaoui, A.; Ben Salem, A.; El Jaafari, S.; Chaachouay, H.; Moumane, A.; Hajji, L. Exploring the Land Use and Land Cover Change in the Period 2005–2020 in the Province of Errachidia, the Pre-Sahara of Morocco. Front. Earth Sci. 2022, 10, 962097. [Google Scholar] [CrossRef]
- RMDU. Plan Directeur Régional D’aménagement du Territoire de la Région de L’oriental; RMDU: Oujda, Morocco, 2009. [Google Scholar]
- Xu, Y.; Zhang, X.; Wang, X.; Hao, Z.; Singh, V.P.; Hao, F. Propagation from Meteorological Drought to Hydrological Drought under the Impact of Human Activities: A Case Study in Northern China. J. Hydrol. 2019, 579, 124147. [Google Scholar] [CrossRef]
- Nelson, J.T.; Reeves, M.K.; Amidon, F.; Miller, S.E. Hawaiʻi Wet Grassland and Shrubland. In Encyclopedia of the World’s Biomes; Goldstein, M.I., DellaSala, D.A., Eds.; Elsevier: Oxford, UK, 2020; pp. 900–922. ISBN 978-0-12-816097-8. [Google Scholar]
- Paudel, A.; Markwith, S.H.; Konchar, K.; Shrestha, M.; Ghimire, S.K.; Paudel, A.; Markwith, S.H.; Konchar, K.; Shrestha, M.; Ghimire, S.K. Anthropogenic Fire, Vegetation Structure and Ethnobotanical Uses in an Alpine Shrubland of Nepal’s Himalaya. Int. J. Wildland Fire 2020, 29, 201–214. [Google Scholar] [CrossRef]
- FAO. The State of the World’s Forests 2018: Forest Pathways to Sustainable Development; El Estado de los Bosques del Mundo (SOFO); FAO: Rome, Italy, 2018; ISBN 978-92-5-130561-4. [Google Scholar]
- Wetzel, R.G. Freshwater Ecosystems. In Encyclopedia of Biodiversity, 2nd ed.; Levin, S.A., Ed.; Academic Press: Waltham, MA, USA, 2001; pp. 560–569. ISBN 978-0-12-384720-1. [Google Scholar]
- Rhazi, L.; Rhazi, M.; Grillas, P.; Khyari, D.E. Richness and Structure of Plant Communities in Temporary Pools from Western Morocco: Influence of Human Activities. Hydrobiologia 2006, 570, 197–203. [Google Scholar] [CrossRef]
- Lgourna, Z.; Warner, N.; Bouchaou, L.; Boutaleb, S.; Tagma, T.; Hssaisoune, M.; Ettayfi, N.; Vengosh, A. Nitrate Contamination of Alluvial Groundwater in the Ziz Basin, Southeastern Morocco. Moroc. J. Chem. 2014, 2, 2–451. [Google Scholar] [CrossRef]
- Karmaoui, A.; Ifaadassan, I.; Messouli, M.; Khebiza, M.Y. Characterization of Common Environmental Indicators of the Moroccan Oasean Biome, Pilot Study in the Reserve Biosphere of Oases in Southern Morocco. Adv. Res. 2015, 5, 1–15. [Google Scholar] [CrossRef]
- Vernon, M.J.; Sherriff, R.L.; van Mantgem, P.; Kane, J.M. Thinning, Tree-Growth, and Resistance to Multi-Year Drought in a Mixed-Conifer Forest of Northern California. For. Ecol. Manag. 2018, 422, 190–198. [Google Scholar] [CrossRef]
- Dahan, R.; Boughlala, M.; Mrabet, R.; Abdelali, L.; Balaghi, R.; Lajouad, L. A Review of Available Knowledge on Land Degradation in Morocco; Oasis Contry; Report 2; ICARDA: Rabat, Morocco, 2012; ISBN 92-9127-265-5. [Google Scholar]
- Filahi, S.; Tanarhte, M.; Mouhir, L.; El Morhit, M.; Tramblay, Y. Trends in Indices of Daily Temperature and Precipitations Extremes in Morocco. Theor. Appl. Climatol. 2016, 124, 959–972. [Google Scholar] [CrossRef]
- Filahi, S.; Tramblay, Y.; Mouhir, L.; Diaconescu, E.P. Projected Changes in Temperature and Precipitation Indices in Morocco from High-Resolution Regional Climate Models. Int. J. Climatol. 2017, 37, 4846–4863. [Google Scholar] [CrossRef]
- El Ouali, A.; Dichane, Z.; Roubil, A.; El Ouardi, H.; El Hmaidi, A.; Lahrach, A. Hydrological Modeling and Impact of Climate Change on Water Resources in the Ziz Valley, Central High Atlas, Morocco. Ecol. Eng. Environ. Technol. 2023, 24, 192–210. [Google Scholar] [CrossRef]
- Tebaldi, C.; Debeire, K.; Eyring, V.; Fischer, E.; Fyfe, J.; Friedlingstein, P.; Knutti, R.; Lowe, J.; O’Neill, B.; Sanderson, B.; et al. Climate Model Projections from the Scenario Model Intercomparison Project (ScenarioMIP) of CMIP6. Earth Syst. Dyn. 2021, 12, 253–293. [Google Scholar] [CrossRef]
- Alaminie, A.A.; Tilahun, S.A.; Legesse, S.A.; Zimale, F.A.; Tarkegn, G.B.; Jury, M.R. Evaluation of Past and Future Climate Trends under CMIP6 Scenarios for the UBNB (Abay), Ethiopia. Water 2021, 13, 2110. [Google Scholar] [CrossRef]
- Monerie, P.-A.; Wainwright, C.M.; Sidibe, M.; Akinsanola, A.A. Model Uncertainties in Climate Change Impacts on Sahel Precipitation in Ensembles of CMIP5 and CMIP6 Simulations. Clim. Dyn. 2020, 55, 1385–1401. [Google Scholar] [CrossRef]
- Ait Ouhamchich, K.; Karaoui, I.; Arioua, A.; Kasmi, A.; Elhamdouni, D.; Elfiraoui, F.E.; Arioua, Z.; Nazi, F.; Nabih, N. Climate Change Trend Observations in Morocco: Case Study of Beni Mellal-Khenifra and Darâa-Tafilalt Regions. J. Geosci. Environ. Prot. 2018, 6, 34. [Google Scholar] [CrossRef][Green Version]
- Babqiqi, A.; Messouli, M.; Kasmi, A. High Resolution Climate Change Scenarios for Morocco for the 21st Century. In Geoinformatics for Climate Change Studies; TERI Press: New Delhi, India, 2011; pp. 321–336. ISBN 978-81-7993-409-8. [Google Scholar]
- Babqiqi, A.; Messouli, M. Simulation of Climate and Its Implication on Agriculture in Morocco Using Statistical Downscaling. Int. J. Latest Res. Sci. Technol. 2013, 2, 83–96. [Google Scholar]
- El Alami El Filali, A.; Ben Salem, A.; Messouli, M. Impact of Climate Change on Subterranean Wetland Biodiversity in Tafilalet South-Eastern Morocco. In Climatic and Environmental Significance of Wetlands: Case Studies from Eurasia and North Africa; IGI Global: Hershey, PA, USA, 2023; pp. 58–73. ISBN 978-1-79989-289-2. [Google Scholar]
- Karami, E.; Keshavarz, M. Sociology of Sustainable Agriculture. In Sociology, Organic Farming, Climate Change and Soil Science; Springer Nature: Berlin/Heidelberg, Germany, 2009; Volume 3, pp. 19–40. ISBN 978-90-481-3332-1. [Google Scholar]
- Hssaisoune, M.; Bouchaou, L.; N’Da, B.; Malki, M.; Houria, A.; Fryar, A. Isotopes to Assess Sustainability of Overexploited Groundwater in the Souss–Massa System (Morocco). Isot. Environ. Health Stud. 2017, 53, 298–312. [Google Scholar] [CrossRef]
- Klose, S.; Reichert, B.; Lahmouri, A. Management Options for a Sustainable Groundwater Use in the Middle Drâa Oases under the Pressure of Climatic Changes. In Climatic Changes and Water Resources in the Middle East and North Africa; Springer: Berlin/Heidelberg, Germany, 2008. [Google Scholar]
- Seif-Ennasr, M.; Zaaboul, R.; Hirich, A.; Caroletti, G.N.; Bouchaou, L.; El Morjani, Z.E.A.; Beraaouz, E.H.; McDonnell, R.A.; Choukr-Allah, R. Climate Change and Adaptive Water Management Measures in Chtouka Aït Baha Region (Morocco). Sci. Total Environ. 2016, 573, 862–875. [Google Scholar] [CrossRef]
- Ziyadi, M.; Dahbi, A.; Aitlhaj, A.; El Ouahrani, A.; El Ouahidi, A.; Achtak, H. Terraced Agroforestry Systems in West Anti-Atlas (Morocco): Incidence of Climate Change and Prospects for Sustainable Development. In Climate Change-Resilient Agriculture and Agroforestry: Ecosystem Services and Sustainability; Castro, P., Azul, A.M., Leal Filho, W., Azeiteiro, U.M., Eds.; Climate Change Management; Springer International Publishing: Cham, Switzerland, 2019; pp. 1–19. ISBN 978-3-319-75004-0. [Google Scholar]
- Boselli, V.; Ouallali, A.; Briak, H.; Houssni, M.; Kassout, J.; El Ouahrani, A.; Michailidi, E.M. System Dynamics Applied to Terraced Agroecosystems: The Case Study of Assaragh (Anti-Atlas Mountains, Morocco). Water 2020, 12, 1693. [Google Scholar] [CrossRef]
- Sharma, P.; Singh, A.; Kahlon, C.S.; Brar, A.S.; Grover, K.K.; Dia, M.; Steiner, R.L. The Role of Cover Crops towards Sustainable Soil Health and Agriculture—A Review Paper. Am. J. Plant Sci. 2018, 9, 1935–1951. [Google Scholar] [CrossRef]
- Crystal-Ornelas, R.; Thapa, R.; Tully, K.L. Soil Organic Carbon Is Affected by Organic Amendments, Conservation Tillage, and Cover Cropping in Organic Farming Systems: A Meta-Analysis. Agric. Ecosyst. Environ. 2021, 312, 107356. [Google Scholar] [CrossRef]
- UNESCO. The United Nations World Water Development Report 2021: Valuing Water; UNESCO: Paris, France, 2021; ISBN 978-92-3-100434-6. [Google Scholar]
- UN-Habitat. Sustainable Urbanization; UN-Habitat: Nairobi, Kenya, 2021. [Google Scholar]












| SPI Value | Category |
|---|---|
| 2.0+ | Extremely wet |
| 1.5 to 1.99 | Very wet |
| 1.0 to 1.49 | Moderately wet |
| −0.99 to 0.99 | Near normal |
| −1.0 to −1.49 | Moderately dry |
| −1.5 to −1.99 | Severely dry |
| −2 and less | Extremely dry |
| Scenario | Abbreviation | Description and Key Features |
|---|---|---|
| SSP1-2.6 | Sustainability Pathway | This scenario envisions a future where global cooperation and sustainable development are prioritized. Key features include low population growth, strong environmental policies, and a focus on social equity. Fossil fuel use is significantly reduced, and renewable energy sources play a major role in the energy mix. |
| SSP2-4.5 | Middle-of-the-Road Pathway | SSP2 represents a future where the world follows a middle-of-the-road development path. It assumes moderate population growth, balanced economic development, and a mix of fossil fuels and renewable energy sources. Adaptation and mitigation efforts are moderate, reflecting a “business-as-usual” approach. |
| SSP3-7.0 | Regional Rivalry Pathway | This scenario depicts a future marked by regional competition, fragmentation, and limited global cooperation. It includes high levels of global population growth and significant income inequalities. Fossil fuels dominate the energy sector, and efforts to address climate change and environmental issues are insufficient. |
| SSP5-8.5 | Fossil-Fueled Development Pathway | SSP5 describes a future characterized by high population growth and strong economic development driven by the use of fossil fuels. Efforts to mitigate climate change are limited, resulting in high greenhouse gas emissions. This scenario foresees a fragmented world with different levels of technological development. |
| City | Errachidia (B.H.AD) | Rich (F.Tillicht, F. Zaabel, M’zizel) | Erfoud (Radier Erfoud) | ||||||
|---|---|---|---|---|---|---|---|---|---|
| Wells | Tazouka 29/48 | Tighiwrine 39/48 | Mouch Kalal 1208/48 | Ait Tikarte 597/39 | Kerrandou 599/39 | Ait Ousoumor 592/39 | Sifa Oulad Zahra 525/57 | Oulad Talb 448/57 | LhainTizimi 454/57 |
| Index | SGI | ||||||||
| SPI 1 | 0.13 | −0.1 | 0.06 | 0.09 | 0.168 ** | 0.12 | −0.05 | −0.04 | −0.09 |
| SPI 3 | 0.05 | −0.05 | 0.05 | 0.159 * | 0.213 ** | 0.09 | −0.11 | 0.00 | −0.12 |
| SPI 6 | 0.16 | 0.150 | 0.169 * | 0.296 ** | 0.190 ** | 0.06 | −0.06 | −0.01 | −0.1 |
| SPI 9 | 0.324 ** | 0.253 ** | 0.26 ** | 0.267 ** | 0.179 * | 0.02 | −0.02 | −0.01 | −0.09 |
| SPI 12 | 0.419 ** | 0.409 ** | 0.367 ** | 0.369 ** | 0.258 ** | 0.09 | 0.1 | 0.09 | 0.01 |
| SPI 18 | 0.531 ** | 0.585 ** | 0.493 ** | 0.45 ** | 0.222 ** | 0.12 | 0.183 * | 0.304 ** | 0.11 |
| SPI 24 | 0.573 ** | 0.661 ** | 0.526 ** | 0.379 ** | 0.201 ** | 0.06 | 0.277 ** | 0.351 ** | 0.13 |
| SPI 48 | 0.589 ** | 0.684 ** | 0.548 ** | 0.389 ** | −0.040 | −0.142 * | 0.741 ** | 0.595 ** | 0.368 ** |
| SPEI 1 | 0.247 * | −0.02 | 0.08 | 0.14 | 0.156 * | 0.163 * | −0.05 | −0.06 | −0.06 |
| SPEI 3 | 0.18 | 0.09 | 0.14 | 0.171 * | 0.242 * | 0.157 * | −0.05 | 0.02 | −0.03 |
| SPEI 6 | 0.31 ** | 0.344 ** | 0.26 ** | 0.312 ** | 0.279 ** | 0.168 * | 0.03 | 0.05 | 0.06 |
| SPEI 9 | 0.482 ** | 0.469 ** | 0.379 ** | 0.317 ** | 0.242 ** | 0.138 * | 0.08 | 0.08 | 0.11 |
| SPEI 12 | 0.595 ** | 0.59 ** | 0.492 ** | 0.425 ** | 0.319 ** | 0.212 ** | 0.198 ** | 0.181 * | 0.205 ** |
| SPEI 18 | 0.73 ** | 0.752 ** | 0.609 ** | 0.511 ** | 0.28 ** | 0.228 ** | 0.288 ** | 0.337 ** | 0.313 ** |
| SPEI 24 | 0.738 ** | 0.773 ** | 0.604 ** | 0.437 ** | 0.26 ** | 0.161 * | 0.337 ** | 0.346 ** | 0.331 ** |
| SPEI 48 | 0.643 ** | 0.696 ** | 0.546 ** | 0.374 ** | 0.03 | −0.04 | 0.683 ** | 0.494 ** | 0.455 ** |
![]() | |||||||||
| Land Cover | Area (ha) | % |
|---|---|---|
| Agriculture | 38,510 | 2.75 |
| Forest | 419 | 0.03 |
| Grassland | 164 | 0.01 |
| Urban | 7834 | 0.56 |
| Shrubland | 1247 | 0.09 |
| Barren or Sparse Vegetation | 1,146,163 | 81.82 |
| Open Water | 555 | 0.04 |
| TOTAL | 1,400,890 | 100 |
| 1992 | |||||||||
| Agriculture | Barren or sparse vegetation | Forest | Grassland | Open Water | Shrubland | Urban | Grand total (%) | ||
| 2020 | Agriculture | 7.46 | 5.79 | - | 0.08 | - | - | - | 13.33 |
| Barren or sparse vegetation | 0.56 | 84.94 | - | 0.16 | - | - | - | 85.67 | |
| Forest | - | 0.01 | 0.16 | - | - | - | - | 0.17 | |
| Grassland | 0.01 | 0.02 | - | 0.001 | - | - | - | 0.02 | |
| Open Water | - | - | - | - | 0.041 | - | - | 0.04 | |
| Shrubland | - | - | - | - | - | 0.093 | - | 0.09 | |
| Urban | 0.18 | 0.04 | 0.00 | - | - | - | 0.45 | 0.68 | |
| Grand total (%) | 8.21 | 90.80 | 0.16 | 0.25 | 0.04 | 0.09 | 0.45 | 100.00 | |
| Scenarios | ||||
|---|---|---|---|---|
| Parameter | SSP1-2.6 | SSP2-4.5 | SSP3-7.0 | SSP5-8.5 |
| Snow melt/fall ∆ | −3.7 M m3 (−0.7%) | −4.1 M m3 (−0.8%) | −4.7 M m3 (−1.0%) | −114.6 M m3 (−21.0%) |
| Soil moisture ∆ | −286.5 M m3 (−55.3%) | −280.8 M m3 (−55.3%) | −317.6 M m3 (−58.0%) | −152.6 M m3 (−27.8%) |
| Evapotranspiration ∆ | +527.9 M m3 (+101.8%) | +487.8 M m3 (+95.6%) | +556.6 M m3 (+101.4%) | +433.5 M m3 (+78.9%) |
| Groundwater recharge ∆ | −6.2 M m3 (−1.2%) | −5.6 M m3 (−1.1%) | −6.2 M m3 (−1.1%) | −9.1 M m3 (−1.7%) |
| Interflow ∆ | −1.1 M m3 (−0.2%) | −1.0 M m3 (−0.2%) | −1.1 M m3 (−0.2%) | −1.6 M m3 (−0.3%) |
| Irrigation ∆ | +31.5 M m3 (+6.1%) | +28.7 M m3 (+6.0%) | +29.7 M m3 (+5.4%) | +43.4 M m3 (+7.9%) |
Disclaimer/Publisher’s Note: The statements, opinions and data contained in all publications are solely those of the individual author(s) and contributor(s) and not of MDPI and/or the editor(s). MDPI and/or the editor(s) disclaim responsibility for any injury to people or property resulting from any ideas, methods, instructions or products referred to in the content. |
© 2023 by the authors. Licensee MDPI, Basel, Switzerland. This article is an open access article distributed under the terms and conditions of the Creative Commons Attribution (CC BY) license (https://creativecommons.org/licenses/by/4.0/).
Share and Cite
Ben Salem, S.; Ben Salem, A.; Karmaoui, A.; Yacoubi Khebiza, M. Vulnerability of Water Resources to Drought Risk in Southeastern Morocco: Case Study of Ziz Basin. Water 2023, 15, 4085. https://doi.org/10.3390/w15234085
Ben Salem S, Ben Salem A, Karmaoui A, Yacoubi Khebiza M. Vulnerability of Water Resources to Drought Risk in Southeastern Morocco: Case Study of Ziz Basin. Water. 2023; 15(23):4085. https://doi.org/10.3390/w15234085
Chicago/Turabian StyleBen Salem, Souad, Abdelkrim Ben Salem, Ahmed Karmaoui, and Mohammed Yacoubi Khebiza. 2023. "Vulnerability of Water Resources to Drought Risk in Southeastern Morocco: Case Study of Ziz Basin" Water 15, no. 23: 4085. https://doi.org/10.3390/w15234085
APA StyleBen Salem, S., Ben Salem, A., Karmaoui, A., & Yacoubi Khebiza, M. (2023). Vulnerability of Water Resources to Drought Risk in Southeastern Morocco: Case Study of Ziz Basin. Water, 15(23), 4085. https://doi.org/10.3390/w15234085


