What Drives the Morphological Traits of Stress-Tolerant Plant Cynodon dactylon in a Riparian Zone of the Three Gorges Reservoir, China
Abstract
1. Introduction
2. Methods
2.1. Study Area
2.2. Sample Collection and Testing
2.3. Data Analysis and Processing
3. Results
3.1. Dynamic Changes in Water Level in the Three Gorges Reservoir
3.2. Characteristics of Soil Type and Plant Biomass Distribution in the Riparian Zone
3.3. Plant Community and Morphological Traits of C. dactylon under Different Soil Types and Elevations
3.4. Relationship between Riparian Plant Biomass and C. dactylon Morphological Traits with Environmental Factors
3.4.1. Relationship between Riparian Plant Biomass and Environmental Factors
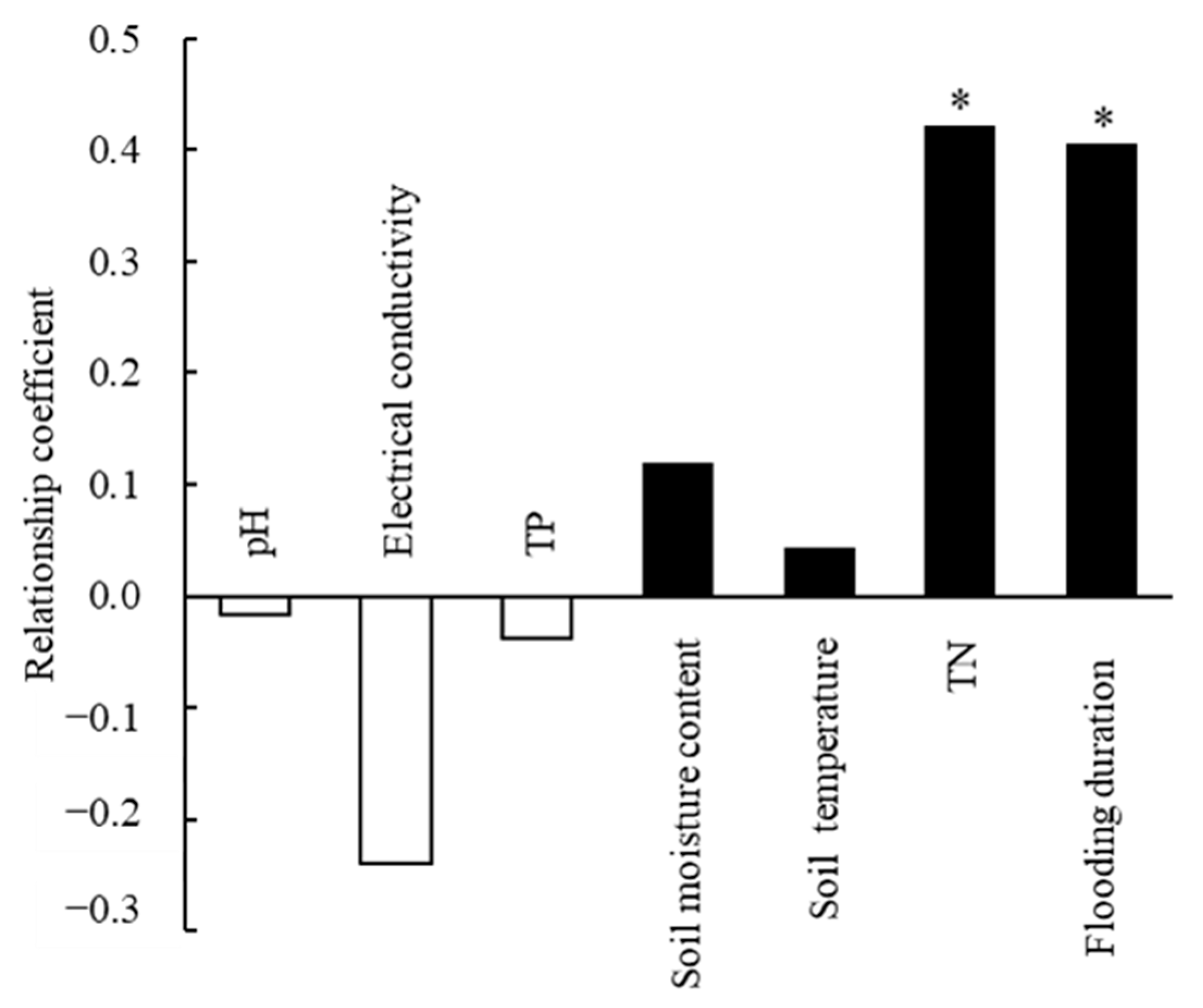
3.4.2. Relationship between C. dactylon Morphological Traits and Environmental Factors
4. Discussion
4.1. Influence of Reservoir Water Level Rhythm on the Survival and Growth of Plants in the Riparian Zones
4.2. Impact of Multiple Environmental Stressors on the Vegetation Biomass in the Riparian Zone
4.3. Adaptation Mechanisms of C. dactylon Morphology in the Reservoir Riparian Zones
5. Conclusions
- (1)
- There was no significant difference in plant biomass and morphological indicators between the yellow loam and purple soil riparian zones along the same elevation gradient.
- (2)
- Plant biomass showed a trend of initial increase followed by a decrease with increasing elevation of water level, reaching a higher value in the riparian zone at an elevation of 155–165 m.
- (3)
- Soil total nitrogen content was identified as a key limiting factor for plant biomass.
- (4)
- The plant height and stolon length of C. dactylon decreased with increasing flooding duration, facilitating the rapid diffusion of gases from stems to roots, providing oxygen for root respiration, and adapting to long-term flooding in the riparian zone. Consequently, C. dactylon became the dominant species in the 145–155 m elevation range in the riparian zone.
Author Contributions
Funding
Data Availability Statement
Acknowledgments
Conflicts of Interest
References
- Li, S.; Wang, Y.; Hu, L.; Zhao, J.; Liao, X.; Xie, T.; Wen, J.; Bao, Y.; Li, L. Nitrogen fixation of Cyndon dactylon: A possible strategy coping with long-term flooding in the Three Gorges Reservoir. Sci. Total Environ. 2023, 866, 161422. [Google Scholar] [CrossRef] [PubMed]
- Wang, Y.; Yeh, T.C.J.; Wen, J.C.; Gao, X.; Zhang, Z.; Huang, S.Y. Resolution and ergodicity issues of river stage tomography with different excitations. Water Resour. Res. 2019, 55, 4974–4993. [Google Scholar] [CrossRef]
- Chen, S.; Li, S.; Liu, L.; Wang, Y.; Zeng, X.; Long, S.; Zhou, H.; Yang, J.; Li, F.; Luo, H. Seasonal variations alter the effect of an invasive plant on the decomposition of a native plant in a subtropical eutrophic lake, China. Hydrobiologia 2022, 849, 4153–4165. [Google Scholar] [CrossRef]
- Ye, C.; Butler, O.M.; Chen, C.; Liu, W.; Du, M.; Zhang, Q. Shifts in characteristics of the plant-soil system associated with flooding and revegetation in the riparian zone of Three Gorges Reservoir, China. Geoderma 2020, 361, 114015. [Google Scholar] [CrossRef]
- Huang, Y.; Wang, J.; Yang, M. Unexpected sedimentation patterns upstream and downstream of the Three Gorges Reservoir: Future risks. Int. J. Sediment Res. 2019, 34, 27–36. [Google Scholar] [CrossRef]
- Ren, Q.; Li, C.; Yang, W.; Hong, S.; Ma, P.; Wang, C.; Schneider, R.L.; Morreale, S.J. Revegetation of the riparian zone of the Three Gorges Dam Reservoir leads to increased soil bacterial diversity. Environ. Sci. Pollut. Res. 2018, 25, 23748–23763. [Google Scholar] [CrossRef]
- Wen, Z.; Ma, M.; Zhang, C.; Yi, X.; Chen, J.; Wu, S. Estimating seasonal aboveground biomass of a riparian pioneer plant community: An exploratory analysis by canopy structural data. Ecol. Indic. 2017, 83, 441–450. [Google Scholar] [CrossRef]
- Al-Snafi, A.E. Chemical constituents and pharmacological effects of Cynodon dactylon—A review. J. Pharm. 2016, 6, 17–31. [Google Scholar] [CrossRef]
- Valencia-Gredilla, F.; Royo-Esnal, A.; Juárez-Escario, A.; Recasens, J. Different ground vegetation cover management systems to manage Cynodon dactylon in an irrigated vineyard. Agronomy 2020, 10, 908. [Google Scholar] [CrossRef]
- Ye, C.; Zhang, K.; Deng, Q.; Zhang, Q. Plant communities in relation to flooding and soil characteristics in the water level fluctuation zone of the Three Gorges Reservoir, China. Environ. Sci. Pollut. Res. 2013, 20, 1794–1802. [Google Scholar] [CrossRef]
- Xiao, L.; Zhu, B.; Kumwimba, M.N.; Jiang, S. Plant soaking decomposition as well as nitrogen and phosphorous release in the water-level fluctuation zone of the Three Gorges Reservoir. Sci. Total Environ. 2017, 592, 527–534. [Google Scholar] [CrossRef] [PubMed]
- Schneider, F.D.; Morsdorf, F.; Schmid, B.; Petchey, O.L.; Hueni, A.; Schimel, D.S.; Schaepman, M.E. Mapping functional diversity from remotely sensed morphological and physiological forest traits. Nat. Commun. 2017, 8, 1441. [Google Scholar] [CrossRef]
- Herms, C.H.; Hennessy, R.C.; Bak, F.; Dresbøll, D.B.; Nicolaisen, M.H. Back to our roots: Exploring the role of root morphology as a mediator of beneficial plant–microbe interactions. Environ. Microbiol. 2022, 24, 3264–3272. [Google Scholar] [CrossRef]
- Li, S.; Cui, B.; Bai, J.; Xie, T.; Yan, J.; Wang, Q.; Zhang, S. Effects of soil abiotic factors on the plant morphology in an intertidal salt marsh, Yellow River Delta, China. Phys. Chem. Earth Parts A/B/Cb 2018, 103, 75–80. [Google Scholar] [CrossRef]
- Wang, H.; Wang, R.; Harrison, S.P.; Prentice, I.C. Leaf morphological traits as adaptations to multiple climate gradients. J. Ecol. 2022, 110, 1344–1355. [Google Scholar] [CrossRef]
- Peng, X.; Shi, D.; Jiang, D.; Wang, S.; Li, Y. Runoff erosion process on different underlying surfaces from disturbed soils in the Three Gorges Reservoir Area, China. Catena 2014, 123, 215–224. [Google Scholar] [CrossRef]
- Li, S.; Cui, B.; Xie, T.; Zhang, K. Diversity pattern of macrobenthos associated with different stages of wetland restoration in the yellow river delta. Wetlands 2016, 36, 57–67. [Google Scholar] [CrossRef]
- Li, S.; Cui, B.; Xie, T.; Bai, J.; Wang, Q.; Shi, W. What drives the distribution of crab burrows in different habitats of intertidal salt marshes, Yellow River Delta, China. Ecol. Indic. 2018, 92, 99–106. [Google Scholar] [CrossRef]
- Guo, Y.; Yang, S.; Shen, Y.F.; Xiao, W.F.; Cheng, R.M. Study on the natural distribution characteristics and community species diversity of existing plants in the Three Gorges Reservoir. Acta Ecol. Sin. 2019, 39, 4255–4265. [Google Scholar]
- Hong, M.; Guo, Q.; Nie, B.; Kang, Y.; Pei, S.; Jin, J.; Wang, X. Responses of Cynodon dactylon population in hydro-fluctuation belt of Three Gorges Reservoir area to flooding-drying habitat change. Chin. J. Appl. Ecol. 2011, 22, 2829–2835. [Google Scholar]
- Capon, S.J. Flood variability and spatial variation in plant community composition and structure on a large arid floodplain. J. Arid. Environ. 2005, 60, 283–302. [Google Scholar] [CrossRef]
- Su, X.; Zeng, B.; Qiao, P.; Ayi, Q.; Huang, W. The effects of winter water submergence on flowering phenology and reproductive allocation of Salix variegata Franch. in Three Gorges reservoir region. Acta Ecol. Sin. 2010, 30, 2585–2592. [Google Scholar]
- Tong, X.X.; Chen, C.D.; Wu, S.J.; Jia, Z.Y.; Yi, X.M.; Ma, M.H. Spatial distribution pattern of plant community and habitat impact analysis of the drawdown zone of Pengxi River in the Three Gorges Reservoir. Acta Ecol. Sin. 2018, 38, 571–580. [Google Scholar]
- Wang, Y.; Liu, Y.; Liu, S.; Huang, H. Vegetation reconstruction in the water-level-fluctuation zone of the Three Gorges Reservoir. Chin. Bull. Bot. 2005, 22, 513–522. [Google Scholar]
- Lomolino, M.V. Elevation gradients of species-density: Historical and prospective views. Glob. Ecol. Biogeogr. 2011, 10, 3–13. [Google Scholar] [CrossRef]
- Tilman, D.; Reich, P.B.; Knops, J.M. Biodiversity and ecosystem stability in a decade-long grassland experiment. Nature 2006, 441, 629–632. [Google Scholar] [CrossRef] [PubMed]
- Wang, Q.; Yuan, X.; Willison, J.H.M.; Zhang, Y.; Liu, H. Diversity and above-ground biomass patterns of vascular flora induced by flooding in the drawdown area of China’s Three Gorges Reservoir. PLoS ONE 2014, 9, e100889. [Google Scholar] [CrossRef] [PubMed][Green Version]
- Oommen, M.A.; Shanker, K. Elevational species richness patterns emerge from multiple local mechanisms in Himalayan woody plants. Ecology 2005, 86, 3039–3047. [Google Scholar] [CrossRef]
- Bao, Y.; He, X.; Anbang, W.; Gao, P.; Tang, Q. Dynamic changes of soil erosion in a typical disturbance zone of China’s Three Gorges Reservoir. Catena 2018, 169, 128–139. [Google Scholar] [CrossRef]
- He, X.; Bao, Y. Research advances on soil erosion and ecological restoration in the riparian zone of the Three Gorges Reservoir. Sci. Soil Water Conserv. 2019, 17, 160–168. [Google Scholar]
- Li, L.; Xie, T.; Zhang, S.; Yuan, Z.; Liu, M.; Li, C. Characteristics of nutrient content and enzyme activity in the rhizosphere and bulk soils of four suitable plant species in the hydro-fluctuation zone of the Three Gorges Reservoir. Acta Ecol. Sin. 2020, 40, 7611–7620. [Google Scholar]
- Li, T.; Zhu, Z.; Shao, Y.; Chen, Z.; Roß-Nickoll, M. Soil seedbank: Importance for revegetation in the water level fluctuation zone of the reservoir area. Sci. Total Environ. 2022, 829, 154686. [Google Scholar] [CrossRef]
- Peng, C.; Zhang, L.; Qin, H.; Li, D. Revegetation in the water level fluctuation zone of a reservoir: An ideal measure to reduce the input of nutrients and sediment. Ecol. Eng. 2014, 71, 574–577. [Google Scholar] [CrossRef]
- Abiko, T.; Kotula, L.; Shiono, K.; Malik, A.I.; Colmer, T.D.; Nakazono, M. Enhanced formation of aerenchyma and induction of a barrier to radial oxygen loss in adventitious roots of Zea nicaraguensis contribute to its waterlogging tolerance as compared with maize (Zea mays ssp. mays). Plant Cell Environ. 2012, 35, 1618–1630. [Google Scholar] [CrossRef] [PubMed]
- Li, Q.; Ding, W.; Wang, S.; Zhu, Q.; Yang, J.; Ke, S.; Qin, L.; Yang, L.; Zheng, J.; Meng, Y. Influence of multi-year high water level running on growth recovery of Cynodon dactylon population in water-level-fluctuating zone of the Three Gorges Reservoir. Acta Ecol. Sin. 2020, 40, 985–992. [Google Scholar]
- Ribeiro, C.L.; Silva, C.M.; Drost, D.R.; Novaes, E.; Novaes, C.R.; Dervinis, C.; Kirst, M. Integration of genetic, genomic and transcriptomic information identifies putative regulators of adventitious root formation in Populus. BMC Plant Biol. 2016, 16, 1–11. [Google Scholar] [CrossRef]
- Voesenek, L.; Colmer, T.; Pierik, R.; Millenaar, F.; Peeters, A. How plants cope with complete submergence. New Phytol. 2006, 170, 213–226. [Google Scholar] [CrossRef]
- Yamauchi, T.; Watanabe, K.; Fukazawa, A.; Mori, H.; Abe, F.; Kawaguchi, K.; Oyanagi, A.; Nakazono, M. Ethylene and reactive oxygen species are involved in root aerenchyma formation and adaptation of wheat seedlings to oxygen-deficient conditions. J. Exp. Bot. 2014, 65, 261–273. [Google Scholar] [CrossRef]







Disclaimer/Publisher’s Note: The statements, opinions and data contained in all publications are solely those of the individual author(s) and contributor(s) and not of MDPI and/or the editor(s). MDPI and/or the editor(s) disclaim responsibility for any injury to people or property resulting from any ideas, methods, instructions or products referred to in the content. |
© 2023 by the authors. Licensee MDPI, Basel, Switzerland. This article is an open access article distributed under the terms and conditions of the Creative Commons Attribution (CC BY) license (https://creativecommons.org/licenses/by/4.0/).
Share and Cite
Li, X.; Li, S.; Xie, Y.; Wei, Z.; Li, Z. What Drives the Morphological Traits of Stress-Tolerant Plant Cynodon dactylon in a Riparian Zone of the Three Gorges Reservoir, China. Water 2023, 15, 3183. https://doi.org/10.3390/w15183183
Li X, Li S, Xie Y, Wei Z, Li Z. What Drives the Morphological Traits of Stress-Tolerant Plant Cynodon dactylon in a Riparian Zone of the Three Gorges Reservoir, China. Water. 2023; 15(18):3183. https://doi.org/10.3390/w15183183
Chicago/Turabian StyleLi, Xiaolong, Shanze Li, Yawei Xie, Zehui Wei, and Zilong Li. 2023. "What Drives the Morphological Traits of Stress-Tolerant Plant Cynodon dactylon in a Riparian Zone of the Three Gorges Reservoir, China" Water 15, no. 18: 3183. https://doi.org/10.3390/w15183183
APA StyleLi, X., Li, S., Xie, Y., Wei, Z., & Li, Z. (2023). What Drives the Morphological Traits of Stress-Tolerant Plant Cynodon dactylon in a Riparian Zone of the Three Gorges Reservoir, China. Water, 15(18), 3183. https://doi.org/10.3390/w15183183

