Abstract
Since ferric tetroxide (Fe3O4) has strong magnetic properties, coating amorphous silica (SiO2) with Fe3O4 nanoparticles can protect the magnetic Fe3O4 particles and form a new magnetic adsorbent with a core–shell structure and small pore size, the strong magnetic properties of which can efficiently solve the problem of the difficult separation and recovery of heavy metals from wastewater affecting present-day adsorption techniques. In this paper, SiO2-coated nanoscale Fe3O4 particles were prepared using a modified sol–gel method for the adsorption and removal of Cr(VI) at lower pollution concentrations. The adsorbent was characterized using Fourier transform infrared spectroscopy (FT-IR), X-ray diffraction (XRD), scanning electron microscopy (SEM), X-ray photoelectron spectroscopy (XPS), and a magnetic vibration sample magnetometer (VSM), and its adsorption performance was systematically investigated in terms of initial concentration, pH, and temperature. The experiments showed that the adsorption effect was optimal when the initial solution Cr(VI) was 40 mg/L. The adsorption capacity increased with a decrease in the initial solution’s pH and decreased with an increase in temperature. Furthermore, the adsorption capacity of Cr(VI) at low concentrations was much higher than that of other conventional adsorbents, the calculated unit adsorption capacity reached 13.609 mg·g−1, and the removal rate reached 64.8%. In addition, the strong magnetic nanocomposite (MS) had excellent recoverability, could achieve desorption via alkaline washing, and retained about 75% of the initial adsorption capacity after six cycles.
1. Introduction
In recent years, the amount of heavy metals in the environment has been increasing annually despite their well-known toxicity and tendency to accumulate in living organisms [1]. Hexavalent chromium (Cr(VI)) is a highly toxic and carcinogenic important pollutant, the main source of which is the large amount of chromium-containing wastewater generated during industrial processes associated with leather tanning [2], electroplating production [3], etc. Cr(VI) can cause serious damage to ecosystems, and it is imperative to control chromium in drinking water and inland surface water discharges and develop effective methods for Cr(VI) removal [4,5].
Many studies have attempted to remove Cr(VI) from water using methods such as electrochemical treatment [6], reverse osmosis [7], and chemical reduction precipitation [8]. Although these purification methods exhibit high Cr(VI) removal efficiencies, they have several limitations [9]. For example, electrochemical methods are expensive; reverse osmosis requires a high-pressure environment as the membrane is prone to clogging, making the operation cumbersome; and chemical reduction precipitation causes the secondary pollution of the environment, and the treated wastewater still fails to meet safety standards and needs further purification. In contrast, adsorption methods have the advantages of a low cost [10], simple operation, and high efficiency. Various materials, including multi-walled carbon nanotubes, polymers, and zeolites, have been trialed as adsorbents in past studies, but some problems, such as the high cost, poor dispersion in water, poor removal efficiency, and difficulty in the recovery of these materials [11], remain, hindering the widespread industrial application of water purification.
As an emerging material, functionalized magnetic nanocomposites have been tested as a novel adsorbent in the field of heavy metal removal. For example, magnetic nanoparticles modified with MoS2 (MoS2@Fe3O4NPs) were synthesized and used as an effective adsorbent for the removal of Cr(VI)/Cr(III) from an aqueous solution by Kumar et al. [12]. MoS2@Fe3O4NPs exhibited uniform size and shape, excellent water dispersion, and superior magnetism for enhanced adsorption. Using an in situ growth mechanism, Kumar et al. [13] prepared g-C3N4-Fe3O4 nanocomposites that could be magnetically recovered and showed good recyclability. Ye et al. [14] prepared Cu/Fe bimetallic nanoparticles for the removal of hexavalent Cr(VI) from wastewater using a liquid-phase chemical reduction method. These studies functionalized magnetic nanocomposites with the advantages of a large specific surface area, a tunable pore size structure, high magnetic responsiveness, and good reusability, showing excellent potential for the adsorption and removal of heavy metals from water. However, the factor that hinders the application of functionalized magnetic nanocomposites in real life is that their adsorption capacity does not yet provide outstanding advantages.
Therefore, to improve the adsorption performance of magnetic nanomaterials, we aimed to prepare a novel nano-sorbent material (MS) with a magnetic ferric tetroxide (Fe3O4) core and an outer coating of amorphous silica (SiO2) to enrich the specific surface area, forming a core–shell structure that takes into account both magnetic properties and an excellent pore structure. In addition, dual surfactants (polyethylene glycol 4000 and ethyl orthosilicate) were used to increase the size and dispersion of particles during the preparation process, and the cost of adsorbent production was reduced by using magnetite Fe3O4 as the raw material. Then, the application of this MS to heavy metal Cr(VI) removal was explored. Specifically, we used a chemical precipitation method [15] to prepare nanoscale Fe3O4 cores and surface modification via a sol–gel method to attach SiO2 inorganic shells on the outside. This design makes the new nano-adsorbent material have good magnetic responsiveness, allowing for the easy separation and recovery of the adsorbed material from water using an applied magnetic field [16], thus solving the main challenge associated with adsorption methods for wastewater treatment [17]. In addition, most existing studies on heavy metal removal using adsorbents are limited to very high heavy metal concentrations (500–1000 mg/L), while the removal efficiency at lower concentrations remains insufficient [18,19]. In reality, such high concentrations are rarely seen, even after concentrating wastewater. Therefore, this study aimed to explore the adsorption performance of the new adsorbent materials at lower concentrations to increase their suitability for real-life application.
In addition, this study included an in-depth investigation of the adsorption mechanism of the MS to reveal the interactions and surface chemistry during the adsorption process. Analytical methods [20], including Fourier transform infrared spectroscopy (FT-IR), scanning electron microscopy (SEM), X-ray diffraction (XRD), X-ray photoelectron spectroscopy (XPS), and a magnetic vibration sample magnetometer (VSM), were used to characterize the adsorbent and evaluate its adsorption performance on Cr(VI) in batch adsorption experiments [21]. Lastly, the new magnetic adsorbent MS was compared with traditional heavy metal adsorbent materials, namely coconut shell activated carbon (CAC) and bentonite (BTT), to explore its potential and advantages for Cr(VI) adsorption in water [22].
2. Materials and Experiments
2.1. Reagent Selection
The materials required for the synthesis include deionized water (H2O), concentrated hydrochloric acid (HCl), ferric chloride hexahydrate (FeCl3·6H2O), concentrated ammonia water (25%), methanol (CH3OH), tetraethyl orthosilicate (TEOS), polyethylene glycol 4000 (PEG4000), and powdered ferric oxide (Fe3O4), all purchased from the China National Pharmaceutical Group Chemical Reagent Corporation. The Cr (VI) standard reserve liquid used in the experiment was a “Standard Solution of Cr (VI) in Water” provided by the National Center for Standard Materials, and this provided all the Cr (VI) required for the experiment. Deionized water from the Laboratory Center of the Northeast Agricultural University supply system was used for the experiments.
2.2. Synthesis of SiO2-Coated Fe3O4 Particles
In this study, SiO2-coated Fe3O4 nanoparticles were synthesized using an improved sol–gel method [23] based on the study by Souza et al. [24]. We used PEG4000 as a surfactant because it has better heat resistance, hydrophilicity, and biocompatibility than other surfactants such as sodium dodecyl sulfate (SDS) and octylbenzene sulfonic acid sodium (SOS) [25]. Its long-chain structure can stabilize and disperse nanoparticles to a certain extent while also improving biodegradability and reducing the toxicity of nanoparticles [26], effectively controlling the dispersibility and stability of particles. After preparation, we used an HCl solution to soak and remove the excess surface silicon layer coating to further improve the magnetic and stability properties of the particles. The specific preparation process is as follows: 8 g of FeCl3·6H2O and 3.24 g of Fe3O4 (the molar ratio of iron ions to ferrous ions in the solution is 4.51) were dissolved in 100 mL of deionized water. Nitrogen (N2) was introduced to remove air from the reaction container. After that, 25 mL of 6 mol/L ammonia water (excess alkali as a precipitant) and 25 mL of 0.1 mol/L PEG4000 solution (surfactant) were added to the solution. The mixture was stirred continuously with a polytetrafluoroethylene stirring rod at 60 °C for 1 h in a constant temperature water bath and then heated to 80 °C for 30 min of maturation with N2 protection during the reaction. Using a magnet to separate the above product, it was then washed several times with deionized water and methanol and subjected to freeze-drying, resulting in the production of uncoated Fe3O4 nanoscale cores [27].
Weigh 2.0 g of the Fe3O4 nanoscale core to be coated and ultrasonically dispersed in 40 mL of deionized water. Meanwhile, 1.76 mL of TEOS was ultrasonically dispersed in 80 mL of CH3OH. After mixing the two solutions and stirring for 15 min, 4 mL of 6 mol/L aqueous ammonia was added, and the reaction was continued with stirring for 4 h. The color of the solution changed from black to dark green. Finally, the excess surface silicon layer coating was removed by washing several times with methanol and soaking in 0.1 mol/L HCl for 24 h. The product was then washed with deionized water until neutral and dried under a vacuum [28]. The final product was SiO2-coated Fe3O4 particles, the MS used in the study. The preparation process is illustrated in Figure 1.
Figure 1.
Flow chart of MS preparation.
2.3. Structure and Characterization Methods
Scanning electron microscopy (SEM) (Hitachi SU8010 field-emission scanning electron microscope (Tokyo, Japan)) was used at a voltage of 3 kV. X-ray diffraction (XRD) (Malvern Panalytical Empyrean X-ray diffractometer (Malvern Hills, Worcestershire, UK)) was used with a Cu target Kα radiation source; α was set to 0.15418 nm, scanning speed was set to 2°α min−1, and scanning range was set to 5–90°. Brunauer–Emmett–Teller (BET) Surface Area and Porosity Analysis was performed using a Quantachrome Auto IQ surface area and porosity analyzer (Jacksonville, FL, USA). Fourier transform infrared (FTIR) spectroscopy was performed using a Thermo Fisher Nicolet iS50 Fourier transform infrared spectrometer (Worcester, MA, USA). Zeta potential and particle size analysis was performed using a Malvern Nano S90 particle size and zeta potential analyzer (Malvern, UK). Vibrating sample magnetometry (VSM) was performed at 25 °C with a magnetic field range of ±2 T using a Lakeshore 7404 vibrating sample magnetometer (Columbus, OH, USA).
2.4. Experimental Method Analysis and Optimization
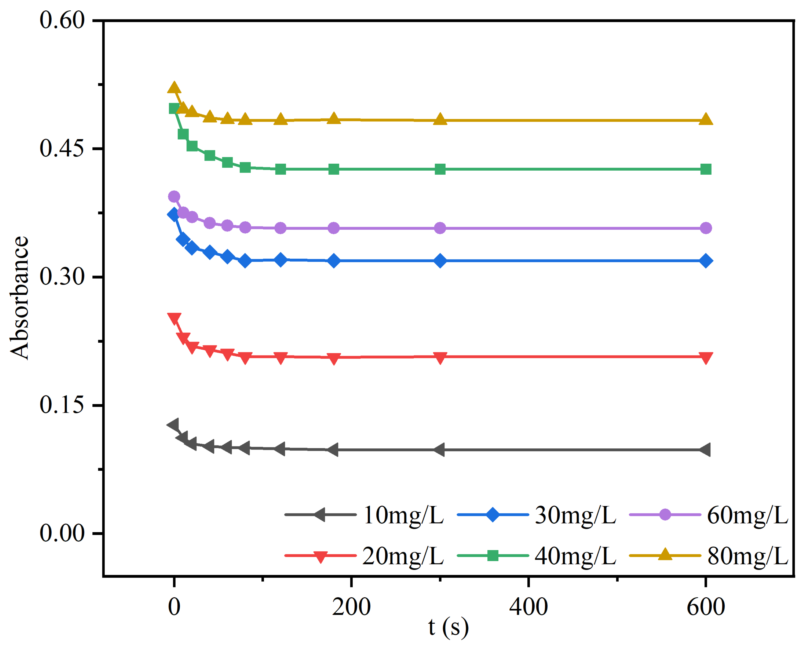
We performed a simple pilot experiment to evaluate the methods used to measure hexavalent chromium throughout the experiment to minimize possible errors in hexavalent chromium concentration measurements [29]. Specifically, we compared atomic absorption spectrometry with methyl isobutyl ketone (MIBK) as the extractant and diphenylcarbazide spectrophotometry [30]. According to the results, the adsorption of the new magnetic adsorbent material at low concentrations of hexavalent chromium reached equilibrium within 10 min. The determination of hexavalent chromium using atomic absorption spectrometry required a longer experimental procedure and preparation time, while the spectrophotometric method could monitor the hexavalent chromium content in a shorter time interval, which is necessary to analyze adsorption rate changes during short time periods [31]. Notably, all hexavalent chromium sources in this experiment were the hexavalent chromium standard stock solutions provided by the National Center for Reference Materials of China, which did not contain other interfering ions [32,33]. Therefore, diphenylcarbazide spectrophotometry was used to determine hexavalent chromium concentrations throughout the experiment. This method involves the reaction of hexavalent chromium ions with dibenzoyl dihydrazide (DPCI, C13H14N4O) under an acidic solution to form a purple-red complex (Figure 2), which is measured using UV-visible spectroscopy at a wavelength of 540 nm (Figure 3) [34].
Figure 2.
Photographs of color development after severe dilution at different concentrations. (Dilute 50 times for 10 ppm, 20 ppm, 30 ppm, and 40 ppm and then 100 times for 60 ppm and 80 ppm).
Figure 3.
Absorbance of Cr (VI) solution versus time (dilute 10 mg/L, 20 mg/L, 30 mg/L, and 40 mg/L by fifty times and 60 mg/L and 80 mg/L one hundred times).
2.5. Magnetic Removal of Cr (VI) from Water
Batch adsorption experiments were conducted to investigate the adsorption performance of the synthesized magnetic adsorbent material. In the adsorption equilibrium experiment, 25 mg of solid MS was added to 50 mL of a Cr (VI) solution with different initial concentrations (10, 20, 30, 40, 50, 60, 70, 80, 90, 100, and 200 mg/L) in sealed triangular flasks. The mixtures were agitated on a constant temperature water bath shaker (n = 200 rpm; t = 25 °C) for a sufficient time, and samples were taken out at different time points. The samples were filtered through a microporous membrane (0.45 μm) and analyzed immediately to track the change in Cr (VI) concentration over time. A control group consisting of Cr (VI) solutions was subjected to similar experimental conditions.
In order to investigate the effects of solution pH and temperature on the adsorption performance of MS, comparative adsorption experiments were designed with different initial solution pH values (2, 4, 6, 8, 10, and 12) and solution temperature gradients (25 °C, 40 °C, 60 °C, and 80 °C) to determine the optimal pH value and suitable environmental temperature for MS adsorption by measuring the remaining Cr (VI) concentration in the solution at adsorption equilibrium.
The maximum adsorption capacity of MS was explored under optimal reaction conditions. A total of 100 mg each of MS, coconut shell activated carbon (CAC), bentonite (BTT), and MCM-48 were added to 50 mL of Cr (VI) solution (c = 40 mg/L; pH = 2; t = 25 °C) for sufficient adsorption. The remaining Cr (VI) concentration in the solution was measured after adsorption, and the adsorption capacities of MS, CAC, BTT, and MCM-48 were calculated.
3. Results and Discussion
3.1. Characterization of Magnet MS
3.1.1. SEM Analysis and Particle Size Analysis
A scanning electron microscope (SEM) image of the MS is shown in Figure 4. The magnetic nanoparticles were uniformly distributed in spherical structures with an average diameter of approximately 35 nm. Particle size analysis of the MS was conducted, and the results are shown in Figure 5. The particle size distribution curve showed a single peak at approximately 35 nm. This indicates that, under the experimental conditions of this study, the particle size of the magnetic nanoparticles was controlled at approximately 35 nm. The ratio of the precipitant to TEOS in the reaction mixture determined the thickness of the Fe3O4 particle coating layer [35]. Studies have also shown that the particle size of nano-adsorbents makes them more selective and that metal oxide adsorbents with particle sizes smaller than 100 nm exhibit better selectivity for Cr (VI). The magnetic nanoparticles synthesized in this study have the advantages of a small particle size, high uniformity, and good selectivity. As shown in Figure 4, the MS particles agglomerated. This phenomenon is due to the magnetic nanoparticles’ high surface area and energy state, which resulted in more significant surface adsorption forces [36]. When the attractive force between atoms or molecules on a surface is greater than the repulsive force caused by the thermal motion [37], they agglomerate to form clusters. Compared with the tubular structure of CAC and the layered structure of BTT, the pore structure of the MS was more obvious, with a more regular shape and a smaller microscale. In addition, the surface chemistry of the MS was conducive to the adsorption of Cr (VI) on its surface.
Figure 4.
SEM images of (a) MS, (b) MS after adsorption of Cr(VI), (c) CAC, and (d) BTT. SEM, Scanning electron microscope; CAC, coconut shell activated carbon; BTT, bentonite.
Figure 5.
Particle size distribution of MS.
Comparing the SEM images before and after the adsorption of hexavalent chromium in water by the MS, it can be seen that the adsorbed material retained a spherical structure while the particles were further from each other; clumps of material can be clearly seen attached to the surface of the material. The reason for this phenomenon could be the successful adsorption of heavy metal ions by the MS and the interaction between the chemical groups on the adsorbent particle surface and the heavy metal ions, forming a new cladding layer. In turn, this led to an increase in the gaps between adsorbent particles, which resulted in a looser appearance of the adsorbent particles. Notably, a combination of specific surface area and XPS analyses is needed to verify this hypothesis. Furthermore, the surface charge distribution may change after the adsorption of Cr(VI), leading to weaker electrostatic interactions between adsorbent particles and the alleviation of particle agglomeration [38]. To verify this, the zeta potential of the material before and after adsorption was analyzed, and the results are shown in Table 1.
Table 1.
Change in zeta point position before and after adsorption of hexavalent chromium by MS (under the condition of initial pH = 2).
From Table 1, it can be observed that the surface charge of the adsorbent changes, and the zeta potential becomes more positive after the adsorption process. The reason is that, during the adsorption process, the silicate groups on the surface of magnetic particles complex with hexavalent chromium ions to form compounds that consume the negative charge on the surface and increase the surface potential. It is preliminarily judged that the interaction between the magnetic adsorbent groups and heavy metal ions is the reason for the relief of agglomeration [39]. This also confirms the actual adsorption of Cr (VI) ions by magnetic nano-adsorbents.
3.1.2. XRD Analysis
XRD analysis was carried out on the MS to determine the particle size and phase composition of the Fe3O4 nanoparticles coated with silica. The XRD pattern is shown in Figure 6. It shows the seven characteristic diffraction peaks at 2θ values of 30°, 35.5°, 43°, 53.5°, 57°, 62.5°, and 74.4° that were observed, which were indexed as (220), (311), (400), (422), (511), (440), and (731), respectively, corresponding to the face-centered cubic Fe3O4 structure with a lattice constant of a = 0.838 nm, according to the magnetic mineral database in the JCPDS card. Typically, the diffraction peaks at the (113), (210), (123), and (210) planes are characteristic of magnetite and hematite. However, these peaks did not appear in the XRD pattern, indicating the absence of other iron compounds in the synthesized magnetite. This is because N2 is passed throughout the preparation process for protection against the oxidation of Fe3O4. Furthermore, the obtained lattice constant of the sample was 0.839 nm, and the average grain size of the MS was calculated to be 33.954 nm based on the full width at the half maximum (FWHM) of the (311) Fe3O4 peak, consistently with the observation in SEM imaging, which confirmed the nano-mesoporous structure of the MS. These results also indicated that the surface coating did not significantly affect the crystal structure of the Fe3O4 nanoparticles [40], and nitrogen gas flow was continuously introduced during the preparation process to protect Fe3O4 from oxidation by air, which is crucial for studying the physical and chemical properties of the MS.
Figure 6.
XRD pattern of the MS.
3.1.3. BET Analysis
According to the results of the BET characterization (Table 2; Figure 7 and Figure 8), the specific surface area of the MS was 16.468 m2/g, and the average pore size was 3.554 nm. Moreover, the specific surface area of the adsorbent (referred to as MS-Cr) increased after the adsorption of hexavalent chromium, which confirmed the generation of new cladding layers and pore structures on the MS surface during the adsorption process. The specific surface area and average pore size of the MS are smaller than those of CAC and BTT. In general, the larger the specific surface area of a material, the more favorable it is for the adsorption of pollutants, while the small average pore size will limit the movement of adsorbed molecules and increase their contact time with the surface of the porous material, which can improve the adsorption capacity. The adsorption capacity of the MS is greater than that of CAC and BTT because the MS has a spherical porous structure with a higher open pore structure, which can provide more adsorption sites. The pore size distribution of the MS in Figure 8 shows that the average diameter of mesopores, on the other hand, is in the range of 3–5 nm. Mesopores and macropores are reported to promote the transfer of heavy metal ions (Cr, Pb, Cd, etc.) [41]. Apparently, the unique porous structure of the MS is advantageous for the efficient and rapid removal of Cr(VI), which can improve the adsorption capacity of the adsorbent and has a wide range of applications for the environment and in water treatment.
Table 2.
Specific surface area, average pore size, and average pore volume of MS, MS-Cr, CAC, and BTT.
Figure 7.
N2 adsorption–desorption diagram of MS.
Figure 8.
Pore size distribution diagram of MS, CAC, and BTT.
The N2 adsorption–desorption isotherms of the MS are shown in Figure 7. According to the IUPAC classification, the isotherm exhibited a type IV adsorption isotherm shape, and the adsorption–desorption curves were almost completely reversible [42]. The isotherm exhibited three stages. The first stage (P/P0 < 0.13) is due to the single-layer adsorption of N2 on the pore walls at low relative pressures, which resulted in a continuous increase in the adsorption amount and a concave-up curve. This part of the curve shows an obvious bending trend and an inflection point, B, at P/P0 = 0.13, indicating that single-layer adsorption mainly occurs at this stage, and the monolayer coverage and the starting amount of multi-layer adsorption overlap at this point. The second stage (0.13 < P/P0 < 0.8) was characterized by a steady increase in adsorption, indicating that multi-layer adsorption gradually occurred as the pressure continued to increase [43]. In the third stage (P/P0 > 0.8), a hysteresis loop appears due to the capillary coalescence that causes N2 molecules to condense into liquid molecules below atmospheric pressure filling the mesopore channels, while the gas molecules become slower and slower inside the pores, eventually leading to an increase in the number of molecules adsorbed on the pore walls. The molecular concentration inside the pore reaches equilibrium when the saturation vapor pressure is reached, but the molecules on the pore wall continue increasing. This results in a non-uniform concentration of molecules on the pore wall and molecules inside the pore, thus forming a hysteresis loop [44]. In addition, the molecules on the pore wall can also diffuse into the pore, but due to the limitation of the pore size, the molecules inside the pore cannot be replaced immediately, which is also one of the reasons for the hysteresis ring. The adsorption termination plateau occurs when the saturation vapor pressure is reached, at which time the adsorbent reaches saturation. In the third stage, the adsorption shows a sharp increase, and at P/P0 = 1, the molecules have filled the smaller pore channels, while the larger pore channels may still have a higher adsorption capacity [45], so what happens here is adsorption on the larger pores, which further indicates that the MS is a small-pore-size mesoporous adsorbent.
3.1.4. FT-IR Analysis
The results of Fourier-transform infrared spectroscopy (FT-IR) analysis of the MS, the MS after the adsorption of Cr (VI) (referred to as MS-Cr), and the uncoated Fe3O4 nanoscale cores is shown in Figure 9. Compared with the Fe3O4 core, the MS and MS-Cr have distinctive characteristic absorption peaks at 460 cm−1, and these peaks are due to the bending vibration of the Si-O-Si bond [46]. The strong absorption peaks of MS, MS-Cr, and Fe3O4 at 570 cm−1 correspond to the Fe-O stretching and bending absorption peaks in pure magnetite. However, the peak intensity of MS and MS-Cr was significantly lower than that of magnetite under the same conditions, indicating a lower Fe-O bond content in MS. During the preparation process, the Fe-O bonds were destroyed, and new chemical bonds were formed [47]. In the MS spectrum, there was a broad absorption peak at 1109 cm−1, the characteristic absorption peak of the Si-O bond, this proves that the prepared MS contains Si-O bonds. The narrower and sharper peaks corresponding to the Si-O bond in MS-Cr compared to the MS may be attributed to the interaction between hexavalent chromium and Si-O groups resulting in a change in the vibrational properties of the Si-O bond. The intense absorption band of MS-Cr at 1649–1805 cm−1 corresponds to the Cr=O functional group stretching [48,49]. In the MS spectrum, many disorganized absorption bands appeared in the range of 1400–1570 cm−1 due to the slight destruction of the internal structure and the decrease in the order caused by the destruction and recombination of Fe-O bonds. These spectral bands indicate that Fe3O4-SiO2 was successfully synthesized while retaining most of the structural features of Fe3O4. Although the spectral bands indicate that the MS has a highly similar structure to Fe3O4, the VSM analysis of the material is needed to investigate whether it has strong magnetic properties similar to those of Fe3O4.
Figure 9.
FT-IR spectra of the MS, MS after adsorption of Cr (VI), and uncoated Fe3O4 nanoscale cores.
3.1.5. Magnetic Analysis
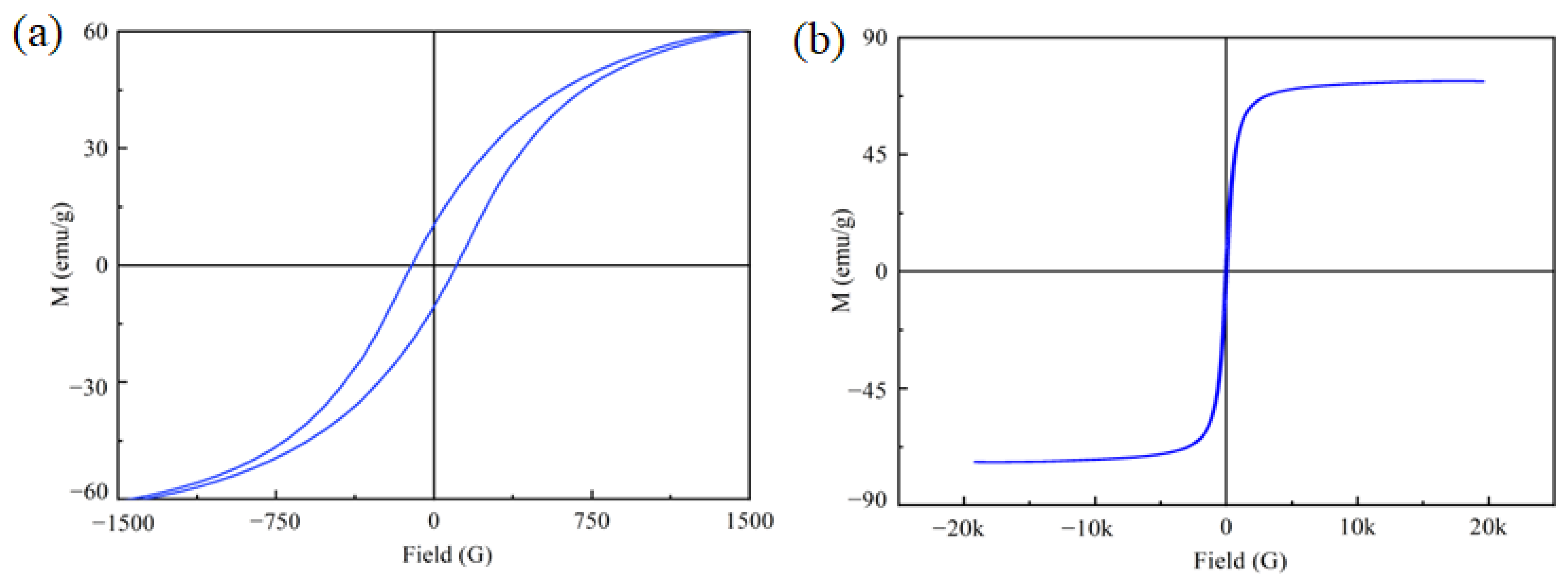
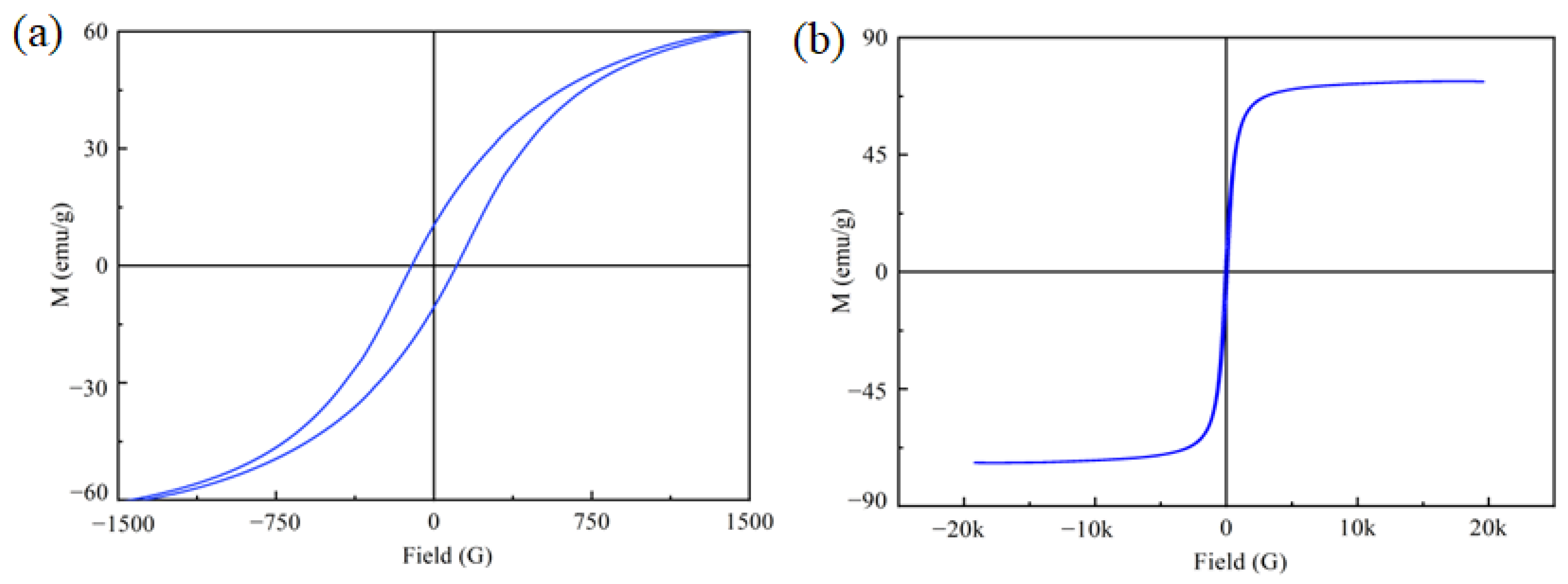
Magnetic measurements were performed on the samples at 293 K, and the magnetization curves of the samples are shown in Figure 10. The saturation magnetization (MS) intensity was 73.26 emu/g, and hysteresis and remanence were observed. The coercivity (HC), remanence (MR), and saturation magnetization (MS) values obtained from the hysteresis loops are presented in Table 3. The relative residual magnetization intensity was very small, indicating that the silica-coated magnetite particles exhibited super paramagnetic. This is because the surface effect in commonly used nanomagnetic materials becomes significant owing to their small size and large surface area. In silica-coated nanomagnetic materials, the polar groups on the surface of the silica can interact with the free electrons on the surface of the magnetic particles, forming a stable oxide shell. The presence of this oxide shell can inhibit the exchange interaction between magnetic particles, causing a random distribution of magnetic moments. Because it was difficult for the sample to form a long-range-ordered magnetic structure, the coercivity and remanence were small; in contrast, the Ms intensity was high, indicating super paramagnetic [50]. The magnetization curve and sample magnetic attraction diagram of the preparation process also demonstrated the material’s strong magnetism, making it an excellent adsorbent for removing Cr (VI) ions from water. By using a strong magnet to attract and recover the adsorbed sample particles, the adsorbate can be concentrated and recovered, thereby achieving efficient water treatment. This strong magnetic property makes the material potentially valuable in other fields [51].
Figure 10.
Hysteresis line (a) and magnetization curve (b) of MS.
Table 3.
Magnetic parameters of MS.
3.2. Analysis of the Removal Rate of Cr (VI)
Excess magnetic adsorbent was added to 1, 5, and 10 mg/L Cr (VI) solutions and stirred to ensure adequate contact. The solution’s residual Cr (VI) concentration was recorded at different contact times during the experiment while maintaining a constant stirring speed of 200 rpm. We obtained the t-Ct curve of the residual hexavalent chromium content in the solution with time (Figure 11). The results showed that the magnetic MS adsorbent was able to remove hexavalent chromium rapidly. Under this condition, the MS adsorbent reduced the hexavalent chromium concentration from 1.273 mg/L to 0.449 mg/L with a removal rate of 64.8%, which indicates that this new magnetic adsorbent has a high removal rate even at a lower contamination concentration. This means that new magnetic adsorbents can more completely remove trace heavy metal contaminants, reducing their residual and accumulation in the environment. This is critical for protecting ecosystems and maintaining human health [52].
Figure 11.
Residual Cr (VI) concentration versus time (the reaction temperature was 25 °C, the pH of the solution was 2, and the reaction time was 600 s).
3.3. Adsorption Isotherm Analysis
In Figure 12, the adsorption isotherm plots obtained after fitting Langmuir, Freundlich, Temkin, and D-R adsorption models are shown. The values of the fitted regression coefficients for each model after correction are listed in Table 4, showing that the adsorption isotherms of the MS were generally consistent with the Langmuir adsorption model with a fitted regression coefficient (R2) of 0.971. The Langmuir isotherm model assumes that the adsorption of the adsorbent on the adsorbate is primarily monolayer adsorption [43], where the parameter Q0 is the estimated value of the adsorption capacity, and the fitted value is 14.756 mg·g−1. The results of the Langmuir model indicate that monolayer adsorption occurs during the adsorption of the MS, further supporting the previous conclusion inferred from the N2 adsorption–desorption curves. In addition, the inhomogeneity coefficient n was 3.03 as per the Freundlich model fit, which satisfied n = 2–10 and 1/n < 0.5, indicating that the adsorption force was moderately attenuated and could allow the adsorption sites on the adsorbent surface to be fully utilized, thus indicating that the adsorption of Cr(VI) by the MS was favorable.
Figure 12.
Adsorption isotherm of Cr (VI) adsorption by MS (the reaction temperature was 25 °C, the amount of adsorbent was 25 mg, the pH of the solution was 2, and the reaction time was 600 s).
Table 4.
Fitting data of the adsorption isotherm models of MS.
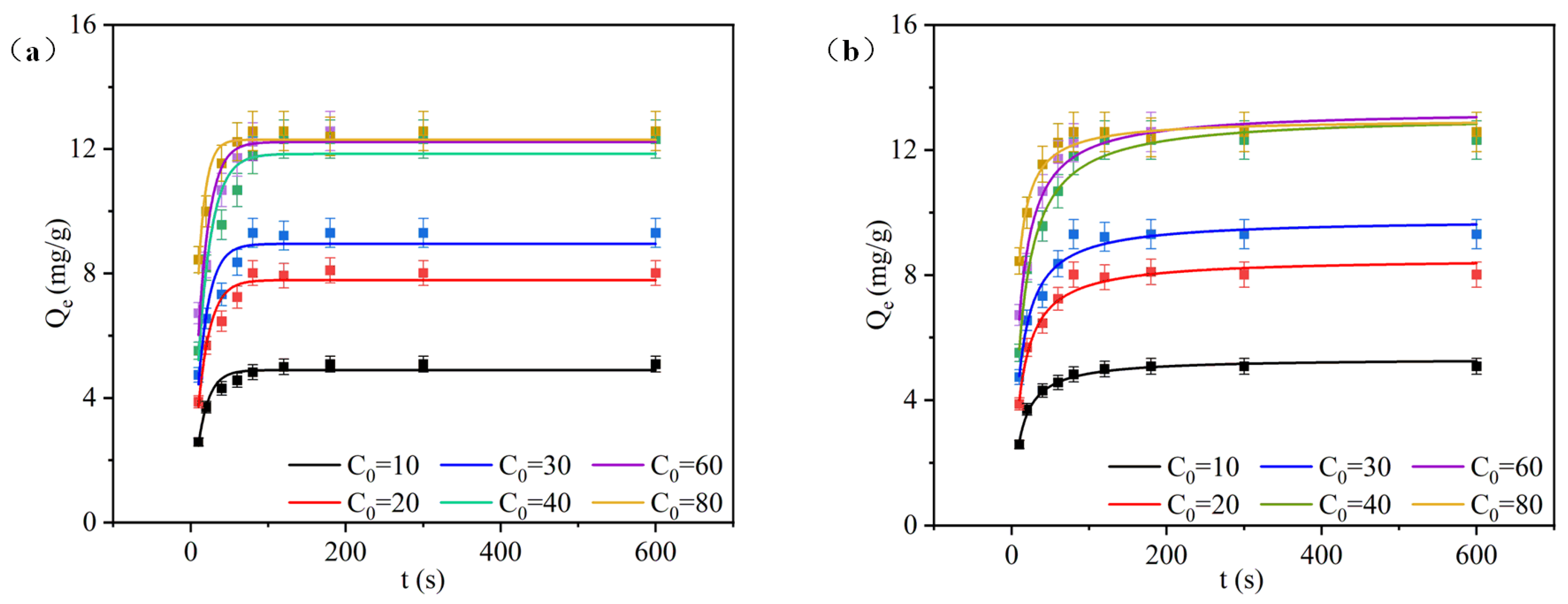
3.4. Adsorption Kinetic Analysis
Adsorption kinetics is an important parameter for studying the adsorption removal rate. Pseudo-first-order and pseudo-second-order kinetic models are two classic adsorption kinetic models widely used to study the rate control mechanism and adsorption capacity parameters of the adsorption process. This study investigated the MS adsorption of Cr (VI) at different solution concentrations. The experimental data were fitted with pseudo-first-order and pseudo-second-order kinetic models to determine the adsorption reaction rate constant and related kinetic parameters to understand the dynamic characteristics of the adsorption process. The pseudo-first-order kinetic model assumes that the reaction rate is only related to the concentration; in contrast, the pseudo-second-order kinetic model assumes that the adsorption rate is affected by chemical adsorption. The results are shown in Figure 13. Table 5 lists the correlation coefficients obtained by fitting the pseudo-first- and pseudo-second-order kinetic models. The pseudo-second-order kinetic model of the MS generally had a better fit, with a correlation coefficient (R2) closer to 1. Therefore, the adsorption of Cr (VI) by the MS can be predicted using the pseudo-second-order kinetic model, which assumes that the adsorption rate is proportional to the square of the concentration of Cr (VI) within a certain concentration range. During the adsorption process, the initial adsorption rate was fast and then gradually slowed until equilibrium was reached at approximately 10 min. The faster adsorption rate was mainly due to the ordered porous structure of the MS, which had a faster mass transfer rate and allowed Cr (VI) to enter the pores of the adsorbent more quickly.
Figure 13.
Fitting of the pseudo-first-order adsorption kinetic curve of MS (a); fitting of the pseudo-second-order adsorption kinetic curve of MS (b). The reaction temperature was 25 °C, the amount of adsorbent was 25 mg, the pH of the solution was 2, and the reaction time was 600 s.
Table 5.
Fitting data of MS adsorption kinetics at different concentrations.
When the initial Cr (VI) concentration was 40 mg/L, the maximum equilibrium adsorption capacity was reached, and the maximum equilibrium adsorption capacity of the MS for Cr (VI) was 13.609 mg/g. The experimental results show that the initial concentration of Cr (VI) affects the adsorption rate of MCM-48-SH, and the adsorption rate is positively correlated with the initial concentration of the solution until the maximum adsorption equilibrium amount (40 mg/L) is reached. Subsequently, it gradually stabilized, but the initial concentration of Cr (VI) had little effect on the final removal rate, consistently with other research results. This is because, during the adsorption process, the ordered mesoporous structure and the Si-O bonds in the pores of the MS cause Cr (VI) to quickly adsorb onto the surface and pores of the MS. As the adsorption sites are gradually occupied by Cr (VI), the adsorption rate of the MS for Cr (VI) decreases. Even when Cr (VI) exceeded the limit concentration, the adsorption rate did not increase significantly until adsorption equilibrium was reached. During adsorption, the saturation of active sites at higher concentrations reduces the adsorption rate.
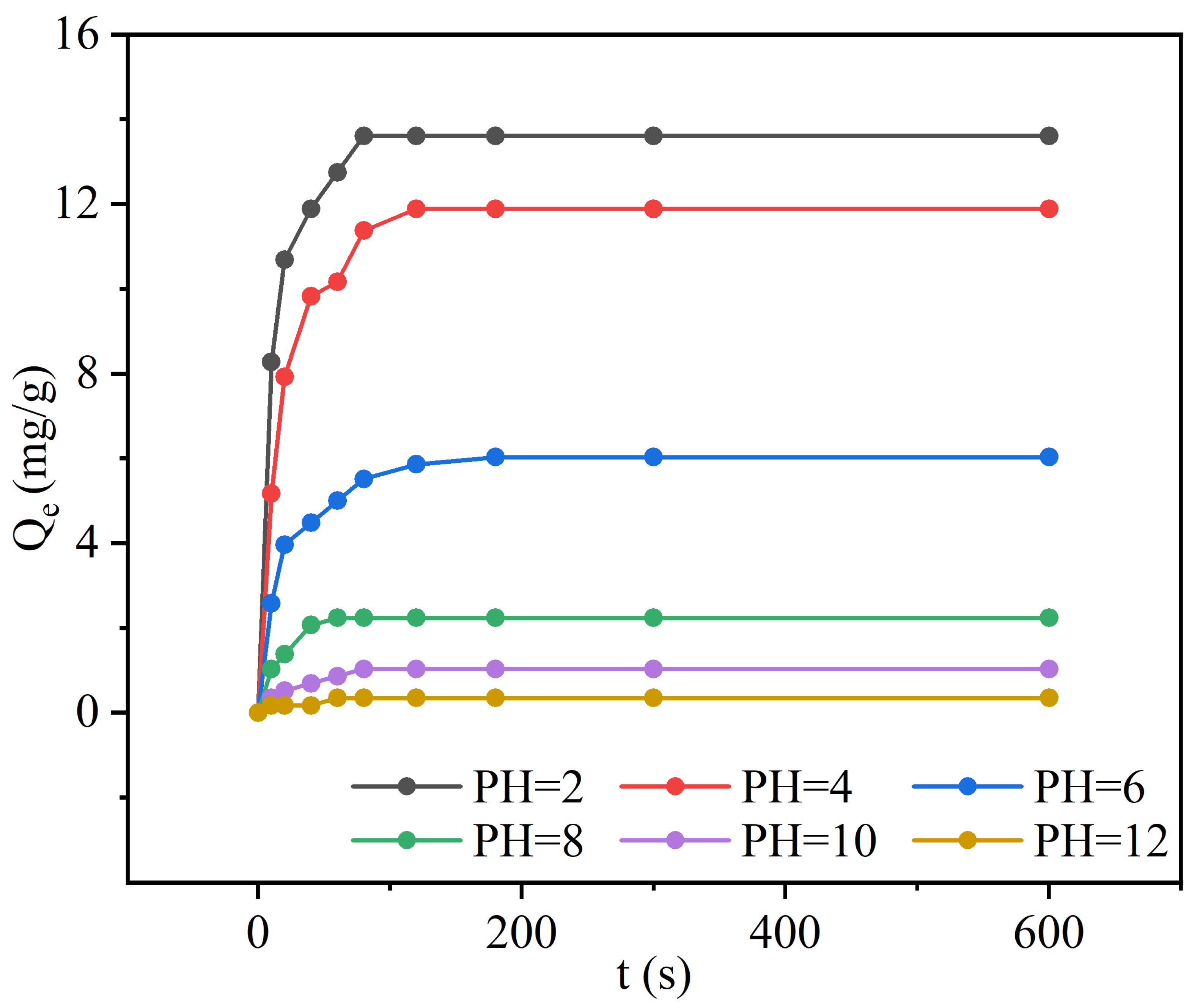
3.5. Effect of pH on Cr(VI) Adsorption
The pH is also an important factor affecting the adsorption of Cr (VI). The pH value affects not only the state of Cr (VI) in the solution but also the charge and chemical properties of the adsorbent MS surface. The point of zero charge (PZC) of the MS was 3.41. The effect of pH on Cr (VI) adsorption by the MS is shown in Figure 14; the pH of the solution decreased as adsorption occurred. This is because when the MS adsorbs Cr (VI) ions, the Cr (VI) ions interact with the active sites on the MS surface. Under normal circumstances, there are many negatively charged functional groups (such as silicate groups) on the active sites of the MS surface, and Cr (VI) ions are strong oxidants that can oxidize these functional groups, releasing H+ ions and lowering the pH of the solution.
Figure 14.
pH changes in the solution before and after Cr (VI) adsorption by MS (the reaction temperature was 25 °C, the amount of adsorbent was 25 mg, and the reaction time was 600 s).
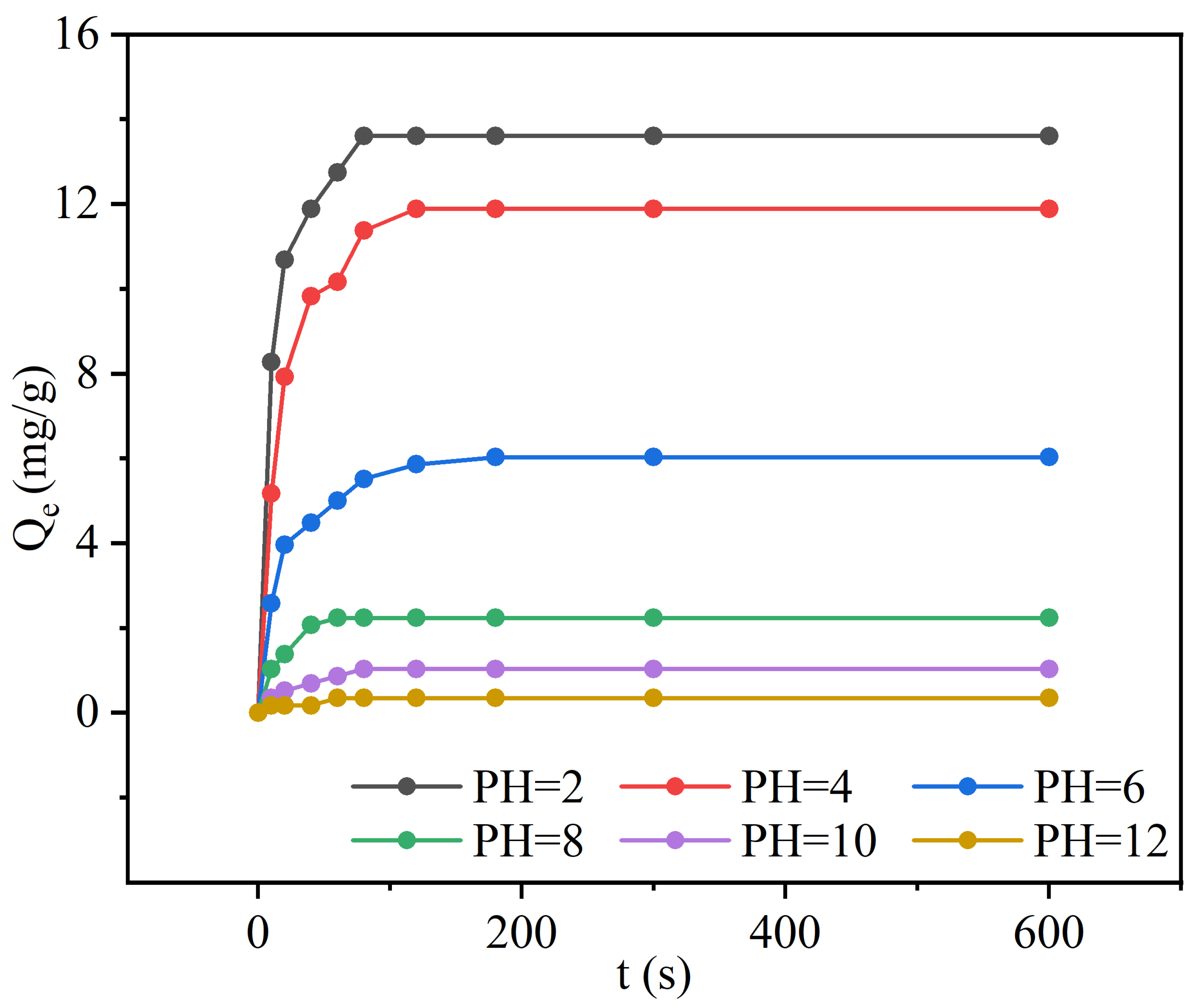
As the initial pH increased, unit adsorption gradually decreased. The changes in the unit adsorption over time at different pH values are shown in Figure 15. At an initial pH of 2, the MS exhibited the best adsorption effect on Cr (VI), with a maximum removal rate of 64.8%. The adsorption of Cr(VI) on the MS depends on the pH because it affects the surface charge of the adsorbent. When the initial pH of the solution is lower than the PZC of the MS, the surface of the MS carries a positive charge and adsorbs anions, promoting adsorption. Cr (VI) existed as HCrO4−; Compared to other forms of chromium ions present, the adsorption of HCrO4− requires fewer adsorption sites, so the adsorption effect is best at this time. When the initial pH value was between 2.0 and 6.0, the adsorption capacity of the MS for Cr (VI) decreased as the pH value increased. The main Cr (VI) forms are HCrO4− and Cr2O72−. As the pH increased, HCrO4− gradually transformed into Cr2O72−, and the adsorption effect began to deteriorate. When the pH was >6 (greater than the PZC), the solution changed from acidic to alkaline, and the main form of Cr (VI) changed from Cr2O72− to CrO42−. The MS surface became negatively charged and attracted cations, resulting in a significant decrease in adsorption. This indicates that the adsorption of Cr(VI) by the MS was mainly based on HCrO4− and that the adsorption effect of Cr2O72− and Cr2O42− was not obvious. Further, under alkaline conditions the adsorption of Cr(VI) ions became more difficult. Therefore, when adsorbing Cr(VI) ions, the pH of the solution should be kept under 3.5, which can improve adsorption efficiency.
Figure 15.
Adsorption effect diagram of MS at different pH values (the reaction temperature was 25 °C, the amount of adsorbent was 25 mg, and the reaction time was 600 s).
3.6. Effect of Temperature on the Adsorption of Cr(VI)
As the environmental temperature increases, the unit adsorption capacity decreases. The experimental results showed that when the temperature exceeded 60 °C, the adsorption capacity dropped sharply; when the temperature exceeded 80 °C, the magnetic material’s adsorption ability almost disappeared. The magnetic material exhibited optimal adsorption performance at room temperature (25 °C). This is because, as the environmental temperature increased, the activation energy of the adsorption sites on the surface of the magnetic material decreased, which led to the deformation of the adsorption sites and a weakening of the interaction between the sites and the adsorbate, ultimately resulting in a decreased adsorption capacity. This conclusion is of great significance for understanding the adsorption characteristics of magnetic materials and designing better adsorbents.
3.7. Comparison with Other Adsorbents
By performing the experiments of the simulated adsorption of Cr(VI) by the MS, we can reach the conclusion that the maximum adsorption amount of Cr(VI) by the MS was 13.609 mg/g, and the removal rate of Cr(VI) in water was up to 64.8% at a low initial concentration (e.g., 1 mg/L). The adsorption performance was seriously affected by the initial concentration and pH. The optimum adsorption initial concentration was 40 mg/L, and the adsorption efficiency decreased with the increase in pH. The adsorption effect was optimum when pH = 2, and the adsorption amount decreased sharply when pH > 6.
To demonstrate the feasibility of the prepared MS as an effective adsorbent for the removal of Cr(VI), the adsorption capacity of MS on Cr(VI) was compared with two conventional adsorbents, activated carbon (CAC), and bentonite (BTT). As shown in Figure 16, comparing the adsorption effects of CAC, BTT, and MS on Cr (VI) after 1 day of adsorption indicates significant differences in the removal rates of the three adsorbents. The maximum adsorption capacity for Cr (VI) was observed for the MS (13.609 mg/g), followed by CAC (5.512 mg/g) and BTT (1.895 mg/g). The study explored the effect of pH on the adsorption of Cr (VI) by CAC and BTT. As shown in Figure 16, the results indicate that, unlike the significant effect of pH on the MS, the adsorption of Cr (VI) by CAC and BTT has almost no effect, with CAC decreasing significantly only at pH values above 12, while BTT always maintains a relatively low adsorption capacity. This is because the Si-O on the surface of the MS combines with water to form Si-OH groups, which show different charge states at different pH values, thus affecting the adsorption between the magnetic adsorbent and the adsorbed material. For example, when the pH is low, the Si-OH group has a positive charge and can be attracted to the negatively charged Cr(VI). Activated carbon, on the other hand, is a porous material with no fixed state of charge on its surface. Its adsorption is mainly realized by the physical and chemical interaction between the pores and chemical functional groups on the surface of the adsorbent and the adsorbed material. Since there is no fixed state of charge, the effect of pH on the adsorption of activated carbon is relatively small.
Figure 16.
Adsorption effect diagram of the three adsorbents at different solution pHs (the reaction temperature was 25 °C, the amount of adsorbent was 25 mg, and the reaction time was 1 d).
By combining SEM and FTIR imaging analyses, we found that the MS had a stronger adsorption capacity for Cr (VI) than CAC and BTT, mainly for the following reasons. First, compared to CAC and BTT, the MS has a more ordered porous structure, larger average pore size, and more adsorption sites. Second, the surface of the MS contained more active functional groups and Si-O bonds. When the Cr (VI) solution was in contact with the MS adsorbent, Cr (VI) formed a chemical bond with the oxygen atoms of the Si-O bond, forming a Cr-O-Si structure. This structure has strong chemical stability and can prevent Cr (VI) from leaving the surface of the adsorbent. Finally, under the experimental conditions, the MS surface carries a positive charge, making it easier to adsorb negatively charged Cr (VI) ions. In contrast, BTT performed the worst, possibly because of its fractured surface morphology and limited porous structure, leading to insufficient adsorption capacity. These experimental data demonstrate that MS exhibits excellent adsorption performance.
To demonstrate the feasibility of the prepared MS as an effective adsorbent for the removal of Cr(VI), the adsorption capacity of the MS on Cr(VI) was compared with the efficiency of other novel low-cost adsorbents presented in similar batch studies. Table 6 shows a summary of the removal capacity of the MS and other low-cost adsorbents for Cr(VI) at optimum pH and temperature. The adsorption capacity of the MS is at a high level. Therefore, the MS can be considered a feasible adsorbent for the removal of Cr(VI) from dilute solutions.
Table 6.
Comparison of MS and other low-cost adsorbents for Cr(VI) removal.
3.8. Desorption Analysis of MS
The cyclic stability and reuse feasibility of the MS were investigated by performing six cycles of Cr(VI) adsorption and desorption. Regeneration experiments were carried out in a 5% NaOH aqueous solution. The main principle of alkaline desorption is bond disruption; i.e., the MS adsorbs Cr(VI) on its surface via the formation of adsorptive bonding between surface Si-O groups and Cr(VI). This bonding is the basis of adsorption. When an alkaline solution is added, the hydroxide (OH−) or oxygen ions (O2−) in it will compete with the Si-O groups on the adsorbent surface for adsorption [62], thereby breaking the bonding between the adsorbent and Cr(VI) and desorbing Cr(VI) ions from the surface of the adsorbent. As shown in Figure 17, the MS maintained nearly 75% of its initial adsorption capacity after six cycles, indicating its excellent recoverability when removing Cr(VI) from wastewater.
Figure 17.
The adsorption capacity of MS for Cr(VI) at different adsorption–desorption cycles (the reaction temperature was 25 °C, the amount of adsorbent was 25 mg, the pH of the solution was 2, and the reaction time was 600 s).
3.9. Adsorption Mechanism
To fully understand the mechanism of Cr(VI) adsorption on the MS surface, the XPS spectra of the MS before and after chromium adsorption were obtained at a solution pH of 2 (the MS after adsorption is denoted as MS-Cr). The chemical state of the atoms on the adsorbent surface changes when the adsorbate is adsorbed onto the adsorbent via chemical interactions, resulting in different XPS spectra of the same atoms before and after adsorption.
The XPS spectra of the MS and MS-Cr are shown in Figure 18a. The spectra of MS show typical binding energy patterns of C1s, O1s, and Fe2p; the spectra of MS-Cr show typical binding energy patterns of Si2p. As shown in Figure 18b, the C1s spectra of MS and MS-Cr appeared at 284.80 eV, 286.36 eV, and 288.53 eV, which is attributed to forms of C-C, C-O, and C=O. The O1s spectra of MS and MS-Cr can be divided into three peaks at binding energies of 529.94 eV, 531.44 eV, and 532.93 eV (Figure 18c), corresponding to Fe-O, Si-O, and C-O oxygen. As shown in Figure 18d, the spectrum of Fe2p showed four bands at 710.42 eV, 723.97 eV, 719.55 eV, and 732.83 eV, which are attributed to Fe2p3, Fe2p1, Fe2p3 Sat., and Fe2p1 Sat. These results indicate that all Fe was present in the form of Fe(III)-O. This suggests that the iron in Fe3O4 is oxidized to Fe(III) during the reduction of Cr(VI) by magnetic nanomaterials.
Figure 18.
(a) XPS analysis; (b) C1s, (c) O1s, (d) Fe2p, and (e) Si2p binding energy patterns; and (f) the atomic concentration.
As shown in Figure 18e, the Si2p spectra of MS composites can be separated into two peaks at binding energies of 99.69 eV and 102.22 eV, corresponding to Si and Si-O, respectively. The relative intensities of both Si and Si-O were lower in the MS-Cr compared to the MS, but the relative intensity of SiO2 was increased, which is attributed to the oxidation of Si-O with Cr(VI) during the adsorption reaction breaking the Si-O bond and forming SiO2. Together, the FT-IR and XPS results showed that Cr(VI) ions were bound to the particle surface via Si-O groups, achieving good chemisorption. In addition, the specific surface area and pore size distribution of the material had a significant influence on the adsorption of Cr(VI) ions. The MS had a large specific surface area and abundant micropores with a large number of adsorption sites, which increased the adsorption of Cr(VI) ions, which primarily happened in the form of HCrO4− present under acidic conditions. In summary, the MS exhibited an excellent chromium removal performance under a combination of chemisorption and physical adsorption.
To investigate the interaction between Si-O and Cr(VI) during the adsorption of Cr(VI) by the MS, the changes in the atomic concentration of the MS before and after adsorption are shown in Figure 18f. The concentration of Si atoms increased dramatically after adsorption, which may be attributed to the large adsorption of heavy metals on the surface of the adsorbent, and the silicon-based adsorbent itself contained silicon, which led to the signals of the heavy metals in the XPS spectrum being superimposed on the signal of silicon. However, superposition, which causes the XPS signal of silicon to appear higher in the spectra, does not indicate that the silicon content itself was higher. Instead, the decrease in the Fe concentration in the XPS analysis was due to the fact that, with the breaking of the Si-O bond during the adsorption process, the silicon and oxygen atoms recombined and formed silica oxides (SiO2). This transformation process created a new silica-based cladding shell on top of the initial amorphous silica shell on the adsorbent MS, resulting in a new core–shell–shell structure, which is in line with the SEM observations. In turn, this leads to a decrease in the exposure of Fe atoms and a weakening of the signal of Fe atoms, which was reflected by a decrease in the Fe concentration as per the XPS spectra. Notably, this also did not indicate a decrease in Fe itself. Supported by existing studies [63,64], we confirmed here that Cr(VI) undergoes a reduction reaction upon contact with substances containing Si-O bonds and is converted into trivalent chromium (Cr(III)). Therefore, the adsorption mechanism of Cr(VI) by the composite MS involves chemisorption, which mainly occurs on Si-O groups on the MS surface. During the adsorption process, Cr(VI) ions reacted with Si-O groups via chemical interactions, and part of the adsorbed Cr(VI) was reduced to Cr(III), which led to the breakage of the chemical bonds of Si-O and the recombination of silicon and oxygen atoms as well as the formation of a SiO2 protective shell. This process increased the specific surface area of the MS and optimized the pore structure, providing a large number of adsorption sites for Cr(VI) ions, thus resulting in excellent chromium removal performance (Figure 19). In addition, Cr(VI) mainly existed in the form of HCrO4− at a solution pH of 2. Under acidic conditions, HCrO4− had a higher charge density and activity, and its chemisorption interactions with the Si-O groups on the surface of the composite MS were more favorable, which improved the adsorption of Cr(VI) [65].
Figure 19.
Synthesis route of MS and mechanism of Cr(VI) adsorption.
Based on these results, it can be concluded that the interaction between the Si-O chemical bonds and Cr(VI) on the adsorbent surface generated a silica oxide protective shell, which will continuously increase the specific surface area and optimize the pore structure of the magnetic adsorbent (MS). If the outer surface silica group is replenished during the adsorption–desorption cycle, a new adsorbent will eventually be formed, which continuously extends outward from the nano-magnetic core with layers of amorphous silica encapsulated on its outer surface, possessing a large specific surface area and rich pore structure. If it is ensured that the layer-wrapped adsorbent does not lose its strong magnetic properties, this MS-based material can serve as a magnetic adsorbent with great potential.
4. Conclusions
In this study, we successfully prepared silica-coated Fe3O4 magnetic particles using an improved sol–gel method that can serve as a novel magnetic adsorbent to remove Cr(VI) from water. Adsorption experiments showed that the Cr(VI) adsorption on the MS followed the Langmuir isotherm model, and the pseudo-second-order kinetic model fit the kinetic adsorption process. The maximum adsorption capacity of the MS was 13.609 mg·g−1, and the optimal adsorption conditions were a concentration of 40 mg/L and a pH of 2. The pH of the Cr(VI) wastewater impacted the adsorption effect, with the optimal effect occurring at pH 2 and the adsorption capacity rapidly decreasing at pH > 6. In addition, the MS efficiently removed Cr(VI) at low initial concentrations, with a removal rate of up to 64.8%. Moreover, the MS had excellent cycling stability, retaining nearly 75% of its initial adsorption capacity after six cycles.
Further, the results showed that the MS had an excellent pore structure, superparamagnetism, and good dispersibility in an aqueous solution, thus effectively removing Cr(VI) from water and avoiding secondary pollution. Importantly, the Si-O group played an important role in the removal of Cr(VI). During the adsorption process, Si-O broke and formed a new silica cladding layer, which increased the specific surface area of the adsorbent and optimized its pore structure. This makes it possible to prepare magnetic adsorbents with geometrically multiplied adsorption capacity based on the MS, and subsequent studies focused on this will be conducted aiming to increase the adsorption capacity for specific ions via surface modification. In addition, it could be considered to immobilize the adsorption material on a carrier such as electrostatic spinning wire to further improve the application performance of this magnetic adsorption material to better meet the needs of wastewater treatment. Such studies will help to further expand the application prospects of magnetic adsorption technology in the field of water treatment and provide more options and ideas for future industrial wastewater treatment.
Author Contributions
Conceptualization, H.L. and J.H.; Formal analysis, R.L., Y.Z. and H.J.; Data curation, S.W. and G.C. All authors have read and agreed to the published version of the manuscript.
Funding
This research was supported by the Natural Science Foundation of Heilongjiang Province of China (jointly guided), grant number LH2020E003.
Data Availability Statement
Data available on request due to restrictions privacy. The data presented in this study are available on request from the corresponding author. The data are not publicly available due to these data are being used in our subsequent research efforts.
Conflicts of Interest
The authors declare that they have no known competing financial interests or personal relationships that could have appeared to influence the work reported in this paper.
References
- Petrus, R.; Warchoł, J. Ion exchange equilibria between clinoptilolite and aqueous solutions of Na+/Cu2+, Na+/Cd2+ and Na+/Pb2+. Microporous Mesoporous Mater. 2003, 61, 137–146. [Google Scholar] [CrossRef]
- Petcharoen, K.; Sirivat, A. Synthesis and characterization of magnetite nanoparticles via the chemical co-precipitation method. Mater. Sci. Eng. B 2012, 177, 421–427. [Google Scholar] [CrossRef]
- Owlad, M.; Aroua, M.K.; Daud, W.A.W.; Baroutian, S. Removal of Hexavalent Chromium-Contaminated Water and Wastewater: A Review. Water Air Soil Pollut. 2008, 200, 59–77. [Google Scholar] [CrossRef]
- Sall, M.L.; Diaw, A.K.D.; Gningue-Sall, D.; Efremova Aaron, S.; Aaron, J.J. Toxic heavy metals: Impact on the environment and human health, and treatment with conducting organic polymers, a review. Environ. Sci. Pollut. Res. Int. 2020, 27, 29927–29942. [Google Scholar] [CrossRef]
- Vareda, J.P.; Valente, A.J.M.; Duraes, L. Assessment of heavy metal pollution from anthropogenic activities and remediation strategies: A review. J. Environ. Manag. 2019, 246, 101–118. [Google Scholar] [CrossRef] [PubMed]
- Fischer, R.; Seidel, H.; Morgenstern, P.; Förster, H.J.; Thiele, W.; Krebs, P. Treatment of Process Water Containing Heavy Metals with a Two-Stage Electrolysis Procedure in a Membrane Electrolysis Cell. Eng. Life Sci. 2005, 5, 163–168. [Google Scholar] [CrossRef]
- Kurniawan, T.A.; Chan, G.Y.S.; Lo, W.-H.; Babel, S. Physico–chemical treatment techniques for wastewater laden with heavy metals. Chem. Eng. J. 2006, 118, 83–98. [Google Scholar] [CrossRef]
- Meunier, N.; Drogui, P.; Montane, C.; Hausler, R.; Mercier, G.; Blais, J.F. Comparison between electrocoagulation and chemical precipitation for metals removal from acidic soil leachate. J. Hazard. Mater. 2006, 137, 581–590. [Google Scholar] [CrossRef]
- Shaw, L.; Shaw, D.; Hardisty, M.; Britz-McKibbin, P.; Verma, D.K. Relationships between inhalable and total hexavalent chromium exposures in steel passivation, welding and electroplating operations of Ontario. Int. J. Hyg. Environ. Health 2020, 230, 113601. [Google Scholar] [CrossRef]
- Duran, U.; Coronado-Apodaca, K.G.; Meza-Escalante, E.R.; Ulloa-Mercado, G.; Serrano, D. Two combined mechanisms responsible to hexavalent chromium removal on active anaerobic granular consortium. Chemosphere 2018, 198, 191–197. [Google Scholar] [CrossRef]
- Gu, F.; Zhang, Y.; Su, Z.; Tu, Y.; Liu, S.; Jiang, T. Recovery of chromium from chromium-bearing slags produced in the stainless-steel smelting: A review. J. Clean. Prod. 2021, 296, 126467. [Google Scholar] [CrossRef]
- Krishna Kumar, A.S.; Jiang, S.J.; Warchol, J.K. Synthesis and Characterization of Two-Dimensional Transition Metal Dichalcogenide Magnetic MoS(2)@Fe(3)O(4) Nanoparticles for Adsorption of Cr(VI)/Cr(III). ACS Omega 2017, 2, 6187–6200. [Google Scholar] [CrossRef] [PubMed]
- Kumar, S.; Tonda, S.; Kumar, B.; Baruah, A.; Shanker, V. Synthesis of Magnetically Separable and Recyclable g-C3N4–Fe3O4 Hybrid Nanocomposites with Enhanced Photocatalytic Performance under Visible-Light Irradiation. J. Phys. Chem. C 2013, 117, 26135–26143. [Google Scholar] [CrossRef]
- Ye, J.; Wang, Y.; Xu, Q.; Wu, H.; Tong, J.; Shi, J. Removal of hexavalent chromium from wastewater by Cu/Fe bimetallic nanoparticles. Sci. Rep. 2021, 11, 10848. [Google Scholar] [CrossRef] [PubMed]
- Hernandez-Ramirez, O.; Holmes, S.M. Novel and modified materials for wastewater treatment applications. J. Mater. Chem. 2008, 18, 2751–2761. [Google Scholar] [CrossRef]
- Hunsom, M.; Pruksathorn, K.; Damronglerd, S.; Vergnes, H.; Duverneuil, P. Electrochemical treatment of heavy metals (Cu2+, Cr6+, Ni2+) from industrial effluent and modeling of copper reduction. Water Res. 2005, 39, 610–616. [Google Scholar] [CrossRef]
- Shah, B.A.; Patel, A.V.; Bagia, M.I.; Oluyinka, O.A. Removal of Cr(VI) from aqueous solutions using EDCC-MCM-41: Isotherm, kinetics and thermodynamic evaluation. J. Dispers. Sci. Technol. 2019, 40, 1827–1841. [Google Scholar] [CrossRef]
- Atmatzidis, K.; Alimohammadi, F.; Strongin, D.R.; Tehrani, R. Biomimetic System for the Application of Nanomaterials in Fluid Purification: Removal of Arsenic with Ferrihydrite. ACS Omega 2020, 5, 5873–5880. [Google Scholar] [CrossRef]
- Zito, P.; Shipley, H.J. Inorganic nano-adsorbents for the removal of heavy metals and arsenic: A review. RSC Adv. 2015, 5, 29885–29907. [Google Scholar] [CrossRef]
- Zhai, Q.-Z.; Li, X.-D. Immobilization and sustained release of cefalexin on MCF nano-mesoporous material. J. Dispers. Sci. Technol. 2019, 40, 1675–1685. [Google Scholar] [CrossRef]
- Jiang, Y.; Meng, L.; Mu, X.; Li, X.; Wang, H.; Chen, X.; Wang, X.; Wang, W.; Wu, F.; Wang, X. Effective TiO2 hybrid heterostructure fabricated on nano mesoporous phenolic resol for visible-light photocatalysis. J. Mater. Chem. 2012, 22, 23642–23649. [Google Scholar] [CrossRef]
- Zhai, Q.-Z. Use of SBA-15 ordered nano mesoporous silica for removal of copper(II) from aqueous media: Studies on equilibrium, isotherm, kinetics and thermodynamics. J. Environ. Chem. Eng. 2019, 7, 103069. [Google Scholar] [CrossRef]
- Tolkou, A.K.; Katsoyiannis, I.A.; Zouboulis, A.I. Removal of Arsenic, Chromium and Uranium from Water Sources by Novel Nanostructured Materials Including Graphene-Based Modified Adsorbents: A Mini Review of Recent Developments. Appl. Sci. 2020, 10, 3241. [Google Scholar] [CrossRef]
- Iida, H.; Takayanagi, K.; Nakanishi, T.; Osaka, T. Synthesis of Fe3O4 nanoparticles with various sizes and magnetic properties by controlled hydrolysis. J. Colloid Interface Sci. 2007, 314, 274–280. [Google Scholar] [CrossRef]
- Kopanja, L.; Kralj, S.; Zunic, D.; Loncar, B.; Tadic, M. Core–shell superparamagnetic iron oxide nanoparticle (SPION) clusters: TEM micrograph analysis, particle design and shape analysis. Ceram. Int. 2016, 42, 10976–10984. [Google Scholar] [CrossRef]
- Unal, B.; Durmus, Z.; Kavas, H.; Baykal, A.; Toprak, M.S. Synthesis, conductivity and dielectric characterization of salicylic acid–Fe3O4 nanocomposite. Mater. Chem. Phys. 2010, 123, 184–190. [Google Scholar] [CrossRef]
- Girginova, P.I.; Daniel-da-Silva, A.L.; Lopes, C.B.; Figueira, P.; Otero, M.; Amaral, V.S.; Pereira, E.; Trindade, T. Silica coated magnetite particles for magnetic removal of Hg2+ from water. J. Colloid Interface Sci. 2010, 345, 234–240. [Google Scholar] [CrossRef]
- Guo, L.; Li, J.; Zhang, L.; Li, J.; Li, Y.; Yu, C.; Shi, J.; Ruan, M.; Feng, J. A facile route to synthesize magnetic particles within hollow mesoporous spheres and their performance as separable Hg2+ adsorbents. J. Mater. Chem. 2008, 18, 2733–2738. [Google Scholar] [CrossRef]
- Lopes, C.B.; Otero, M.; Coimbra, J.; Pereira, E.; Rocha, J.; Lin, Z.; Duarte, A. Removal of low concentration Hg2+ from natural waters by microporous and layered titanosilicates. Microporous Mesoporous Mater. 2007, 103, 325–332. [Google Scholar] [CrossRef]
- Mohammadi, N.S.; Khiabani, M.S.; Ghanbarzadeh, B.; Mokarram, R.R. Improvement of lipase biochemical properties via a two-step immobilization method: Adsorption onto silicon dioxide nanoparticles and entrapment in a polyvinyl alcohol/alginate hydrogel. J. Biotechnol. 2020, 323, 189–202. [Google Scholar] [CrossRef]
- Souza, D.M.; Andrade, A.L.; Fabris, J.D.; Valério, P.; Góes, A.M.; Leite, M.F.; Domingues, R.Z. Synthesis and in vitro evaluation of toxicity of silica-coated magnetite nanoparticles. J. Non-Cryst. Solids 2008, 354, 4894–4897. [Google Scholar] [CrossRef]
- Lee, D.W.; Fatima, H.; Kim, K.S. Preparation of Silica Coated Magnetic Nanoparticles for Bioseparation. J. Nanosci. Nanotechnol. 2018, 18, 1414–1418. [Google Scholar] [CrossRef]
- Sui, H.; Gao, Z.; Guo, J.; Wang, Y.; Yuan, J.; Hao, J.; Dong, S.; Cui, J. Dual pH-Responsive Polymer Nanogels with a Core–Shell Structure for Improved Cell Association. Langmuir 2019, 35, 16869–16875. [Google Scholar] [CrossRef] [PubMed]
- He, D.; Zheng, M.; Ma, T.; Ni, J. Nitrite interference and elimination in diphenylcarbazide (DPCI) spectrophotometric determination of hexavalent chromium. Water Sci. Technol. 2015, 72, 223–229. [Google Scholar] [CrossRef] [PubMed]
- Jin, S.; Wan, J.; Meng, L.; Huang, X.; Guo, J.; Liu, L.; Wang, C. Biodegradation and Toxicity of Protease/Redox/pH Stimuli-Responsive PEGlated PMAA Nanohydrogels for Targeting Drug delivery. ACS Appl. Mater. Interfaces 2015, 7, 19843–19852. [Google Scholar] [CrossRef] [PubMed]
- Wang, Z.; Fang, D.M.; Li, Q.; Zhang, L.X.; Qian, R.; Zhu, Y.; Qu, H.Y.; Du, Y.P. Modified mesoporous silica materials for on-line separation and preconcentration of hexavalent chromium using a microcolumn coupled with flame atomic absorption spectrometry. Anal. Chim. Acta 2012, 725, 81–86. [Google Scholar] [CrossRef]
- Xu, J.; Cao, Z.; Zhang, Y.; Yuan, Z.; Lou, Z.; Xu, X.; Wang, X. A review of functionalized carbon nanotubes and graphene for heavy metal adsorption from water: Preparation, application, and mechanism. Chemosphere 2018, 195, 351–364. [Google Scholar] [CrossRef]
- Yazar, M.; Bahadır, Z.; Duran, C. Salt-Assisted Bulk Liquid Membrane and Flame Atomic Absorption Spectrometry for the Separation and Determination of Chromium(VI). Anal. Lett. 2020, 54, 1729–1745. [Google Scholar] [CrossRef]
- Tan, S.; Saito, K.; Hearn, M.T.W. Isothermal modelling of protein adsorption to thermo-responsive polymer grafted Sepharose Fast Flow sorbents. J. Sep. Sci. 2021, 44, 1884–1892. [Google Scholar] [CrossRef]
- Feng, X.; Zhang, S.; Lou, X. Controlling silica coating thickness on TiO2 nanoparticles for effective photodynamic therapy. Colloids Surf. B Biointerfaces 2013, 107, 220–226. [Google Scholar] [CrossRef]
- Chen, S.; Yue, Q.; Gao, B.; Li, Q.; Xu, X.; Fu, K. Adsorption of hexavalent chromium from aqueous solution by modified corn stalk: A fixed-bed column study. Bioresour. Technol. 2012, 113, 114–120. [Google Scholar] [CrossRef] [PubMed]
- Hermosa, G.C.; Chen, W.-C.; Wu, H.-S.; Liao, C.-S.; Sun, Y.-M.; Wang, S.-F.; Chen, Y.; Sun, A.-C. Investigations of the effective parameters on the synthesis of monodispersed magnetic Fe3O4 by solvothermal method for biomedical applications. AIP Adv. 2020, 10, 015234. [Google Scholar] [CrossRef]
- Lv, X.; Xue, X.; Jiang, G.; Wu, D.; Sheng, T.; Zhou, H.; Xu, X. Nanoscale zero-valent iron (nZVI) assembled on magnetic Fe3O4/graphene for chromium (VI) removal from aqueous solution. J. Colloid Interface Sci. 2014, 417, 51–59. [Google Scholar] [CrossRef] [PubMed]
- Shimizu, S.; Matubayasi, N. Fluctuation adsorption theory: Quantifying adsorbate-adsorbate interaction and interfacial phase transition from an isotherm. Phys. Chem. Chem. Phys. 2020, 22, 28304–28316. [Google Scholar] [CrossRef]
- Kopinke, F.-D.; Georgi, A.; Goss, K.-U. Comment on “Re-evaluation of the century-old Langmuir isotherm for modeling adsorption phenomena in solution”, published by Azizian et al. [Chemical physics 513 (2018) 99–104]. Chem. Phys. 2019, 517, 265–267. [Google Scholar] [CrossRef]
- Chu, K.H. Revisiting the Temkin Isotherm: Dimensional Inconsistency and Approximate Forms. Ind. Eng. Chem. Res. 2021, 60, 13140–13147. [Google Scholar] [CrossRef]
- Sang, P.-L.; Wang, Y.-Y.; Zhang, L.-Y.; Chai, L.-Y.; Wang, H.-Y. Effective adsorption of sulfate ions with poly(m-phenylenediamine) in aqueous solution and its adsorption mechanism. Trans. Nonferrous Met. Soc. China 2013, 23, 243–252. [Google Scholar] [CrossRef]
- Kalidhasan, S.; Gupta, P.A.; Cholleti, V.R.; Kumar, A.S.; Rajesh, V.; Rajesh, N. Microwave assisted solvent free green preparation and physicochemical characterization of surfactant-anchored cellulose and its relevance toward the effective adsorption of chromium. J. Colloid Interface Sci. 2012, 372, 88–98. [Google Scholar] [CrossRef]
- Park, D.; Yun, Y.S.; Park, J.M. Studies on hexavalent chromium biosorption by chemically-treated biomass of Ecklonia sp. Chemosphere 2005, 60, 1356–1364. [Google Scholar] [CrossRef]
- Yusuff, A.S. Adsorption of hexavalent chromium from aqueous solution byLeucaena leucocephalaseed pod activated carbon: Equilibrium, kinetic and thermodynamic studies. Arab J. Basic Appl. Sci. 2019, 26, 89–102. [Google Scholar] [CrossRef]
- Samuel, M.S.; Bhattacharya, J.; Raj, S.; Santhanam, N.; Singh, H.; Pradeep Singh, N.D. Efficient removal of Chromium(VI) from aqueous solution using chitosan grafted graphene oxide (CS-GO) nanocomposite. Int. J. Biol. Macromol. 2019, 121, 285–292. [Google Scholar] [CrossRef] [PubMed]
- Moussout, H.; Ahlafi, H.; Aazza, M.; El Akili, C. Performances of local chitosan and its nanocomposite 5%Bentonite/Chitosan in the removal of chromium ions (Cr(VI)) from wastewater. Int. J. Biol. Macromol. 2018, 108, 1063–1073. [Google Scholar] [CrossRef] [PubMed]
- Nasernejad, B.; Zadeh, T.E.; Pour, B.B.; Bygi, M.E.; Zamani, A. Camparison for biosorption modeling of heavy metals (Cr (III), Cu (II), Zn (II)) adsorption from wastewater by carrot residues. Process Biochem. 2005, 40, 1319–1322. [Google Scholar] [CrossRef]
- Oliveira, E.A.; Montanher, S.F.; Andrade, A.D.; Nóbrega, J.A.; Rollemberg, M.C. Equilibrium studies for the sorption of chromium and nickel from aqueous solutions using raw rice bran. Process Biochem. 2005, 40, 3485–3490. [Google Scholar] [CrossRef]
- Hu, J.; Chen, G.; Lo, I.M. Removal and recovery of Cr(VI) from wastewater by maghemite nanoparticles. Water Res. 2005, 39, 4528–4536. [Google Scholar] [CrossRef]
- Garg, U.K.; Kaur, M.P.; Garg, V.K.; Sud, D. Removal of hexavalent chromium from aqueous solution by agricultural waste biomass. J. Hazard. Mater. 2007, 140, 60–68. [Google Scholar] [CrossRef]
- Agarwal, G.S.; Bhuptawat, H.K.; Chaudhari, S. Biosorption of aqueous chromium(VI) by Tamarindus indica seeds. Bioresour. Technol. 2006, 97, 949–956. [Google Scholar] [CrossRef]
- Arıca, M.Y.; Tüzün, İ.; Yalçın, E.; İnce, Ö.; Bayramoğlu, G. Utilisation of native, heat and acid-treated microalgae Chlamydomonas reinhardtii preparations for biosorption of Cr(VI) ions. Process Biochem. 2005, 40, 2351–2358. [Google Scholar] [CrossRef]
- Erdem, M.; Altundoğan, H.S.; Tümen, F. Removal of hexavalent chromium by using heat-activated bauxite. Miner. Eng. 2004, 17, 1045–1052. [Google Scholar] [CrossRef]
- Tel, H.; Altas, Y.; Taner, M.S. Adsorption characteristics and separation of Cr(III) and Cr(VI) on hydrous titanium(IV) oxide. J. Hazard. Mater. 2004, 112, 225–231. [Google Scholar] [CrossRef]
- Gupta, V.K.; Ali, I. Removal of lead and chromium from wastewater using bagasse fly ash--a sugar industry waste. J. Colloid Interface Sci. 2004, 271, 321–328. [Google Scholar] [CrossRef] [PubMed]
- Daneshvar, E.; Zarrinmehr, M.J.; Kousha, M.; Hashtjin, A.M.; Saratale, G.D.; Maiti, A.; Vithanage, M.; Bhatnagar, A. Hexavalent chromium removal from water by microalgal-based materials: Adsorption, desorption and recovery studies. Bioresour. Technol. 2019, 293, 122064. [Google Scholar] [CrossRef] [PubMed]
- Qian, L.; Liu, S.; Zhang, W.; Chen, Y.; Ouyang, D.; Han, L.; Yan, J.; Chen, M. Enhanced reduction and adsorption of hexavalent chromium by palladium and silicon rich biochar supported nanoscale zero-valent iron. J. Colloid Interface Sci. 2019, 533, 428–436. [Google Scholar] [CrossRef] [PubMed]
- Pakade, V.E.; Tavengwa, N.T.; Madikizela, L.M. Recent advances in hexavalent chromium removal from aqueous solutions by adsorptive methods. RSC Adv. 2019, 9, 26142–26164. [Google Scholar] [CrossRef] [PubMed]
- Wang, X.; Lu, J.; Cao, B.; Liu, X.; Lin, Z.; Yang, C.; Wu, R.; Su, X.; Wang, X. Facile synthesis of recycling Fe3O4/graphene adsorbents with potassium humate for Cr(VI) removal. Colloids Surf. A Physicochem. Eng. Asp. 2019, 560, 384–392. [Google Scholar] [CrossRef]
Disclaimer/Publisher’s Note: The statements, opinions and data contained in all publications are solely those of the individual author(s) and contributor(s) and not of MDPI and/or the editor(s). MDPI and/or the editor(s) disclaim responsibility for any injury to people or property resulting from any ideas, methods, instructions or products referred to in the content. |
© 2023 by the authors. Licensee MDPI, Basel, Switzerland. This article is an open access article distributed under the terms and conditions of the Creative Commons Attribution (CC BY) license (https://creativecommons.org/licenses/by/4.0/).


















