Intermittent Microaeration Technology to Enhance the Carbon Source Release of Particulate Organic Matter in Domestic Sewage
Abstract
:1. Introduction
2. Materials and Methods
2.1. Characteristics of Collected POM
2.2. Bioreactor Setup and Operation
2.3. Chemical Analyses
2.4. EEM Fluorescence Spectroscopy Analysis
2.5. Microbial Analyses
3. Results and Discussions
3.1. Variation Characteristics of SCOD, NH4+-N, and PO43−-P Concentrations
3.2. C/N and pH Variations
3.3. Variation of Protein, Polysaccharide, and Fluorescent Substance Components
3.4. Microbial Community Characteristics
3.4.1. Bacterial Community Structure
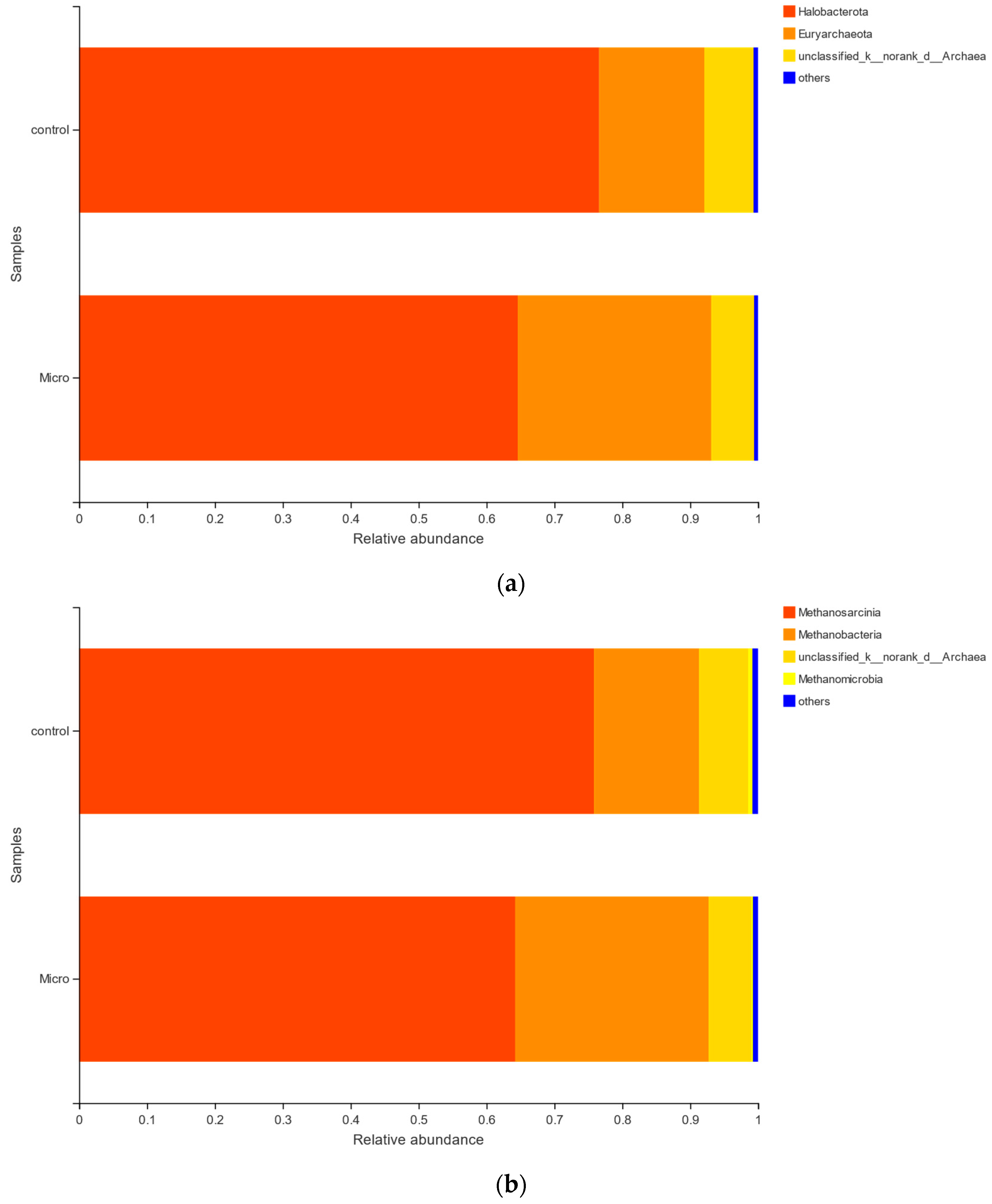
3.4.2. Archaeal Community Structure
3.5. Discussion
4. Conclusions
Author Contributions
Funding
Institutional Review Board Statement
Informed Consent Statement
Conflicts of Interest
References
- Yang, G.; Zhang, G.; Wang, H. Current state of sludge production, management, treatment and disposal in China. Water Res. 2015, 78, 60–73. [Google Scholar] [CrossRef] [PubMed]
- Latimer, R.; Pitt, P.A.; Van Niekerk, A. Review of Primary Sludge Fermentation Performance in South Africa and the USA. Proc. Water Environ. Fed. 2007, 2007, 1651–1671. [Google Scholar] [CrossRef]
- Wang, H.; Jiang, C.; Wang, X.; Xu, S.; Zhuang, X. Application of Internal Carbon Source from Sewage Sludge: A Vital Measure to Improve Nitrogen Removal Efficiency of Low C/N Wastewater. Water 2021, 13, 2338. [Google Scholar] [CrossRef]
- Rezaee, A.; Farzadkia, M.; Gholami, M.; Kermani, M. Effect of micro-aerobic process on improvement of anaerobic digestion sewage sludge treatment: Flow cytometry and ATP assessment. RSC Adv. 2020, 10, 35718–35728. [Google Scholar]
- Xu, S.; Selvam, A.; Wong, J.W. Optimization of micro-aeration intensity in acidogenic reactor of a two-phase anaerobic digester treating food waste. Waste Manag. 2014, 34, 363–369. [Google Scholar] [CrossRef] [PubMed]
- Montalvo, S.; Huiliñir, C.; Ojeda, F.; Castillo, A.; Lillo, L.; Guerrero, L. Microaerobic pretreatment of sewage sludge: Effect of air flow rate, pretreatment time and temperature on the aerobic process and methane generation. Int. Biodeterior. Biodegrad. 2016, 110, 1–7. [Google Scholar] [CrossRef]
- Lim, J.W.; Chiam, J.A.; Wang, J.Y. Microbial community structure reveals how microaeration improves fermentation during anaerobic co-digestion of brown water and food waste. Bioresour. Technol. 2014, 171, 132–138. [Google Scholar] [CrossRef]
- Yu, N.; Guo, B.; Zhang, Y.; Zhang, L.; Zhou, Y.; Liu, Y. Different micro-aeration rates facilitate production of different end-products from source-diverted blackwater. Water Res. 2020, 177, 115783. [Google Scholar] [CrossRef]
- Johansen, J.E.; Bakke, R. Enhancing hydrolysis with microaeration. Water Sci. Technol. 2006, 53, 43–50. [Google Scholar] [CrossRef]
- Zhu, M.; Lü, F.; Hao, L.-P.; He, P.-J.; Shao, L.-M. Regulating the hydrolysis of organic wastes by micro-aeration and effluent recirculation. Waste Manag. 2009, 29, 2042–2050. [Google Scholar] [CrossRef]
- Lim, J.W.; Wang, J. Enhanced hydrolysis and methane yield by applying microaeration pretreatment to the anaerobic co-digestion of brown water and food waste. Waste Manag. 2013, 33, 813–819. [Google Scholar] [CrossRef] [PubMed]
- Li, D.; Jiao, C.; He, W.; Yan, Z.; Yuan, Y.; Li, Z.; Guo, Y.; Liu, X. Comparison of micro-aerobic and anaerobic fermentative hydrogen production from corn straw. Int. J. Hydrogen Energy 2016, 41, 5456–5464. [Google Scholar] [CrossRef]
- Walter, W.G. APHA Standard Methods for the Examination of Water and Wastewater. Am. J. Public Health Nations Health 1961, 51, 940. [Google Scholar] [CrossRef] [Green Version]
- Wang, S.; Qian, K.; Zhu, Y.; Yi, X.; Zhang, G.; Du, G.; Tay, J.-H.; Li, J. Reactivation and pilot-scale application of long-term storage denitrification biofilm based on flow cytometry. Water Res. 2019, 148, 368–377. [Google Scholar] [CrossRef]
- Thanh Nguyen, P.; Guo, Y.; Bonnot, C.; Varrault, G.; Benedetti, M.; Parlanti, E. Characterisation of dissolved organic matter (DOM) in the Seine River catchment (France) by excitation-emission matrix (EEM) fluorescence spectroscopy combined with PARAFAC and PCA analyses. Egu Gen. Assem. Conf. 2014. EGU General Assembly Conference Abstracts. Available online: https://ui.adsabs.harvard.edu/abs/2014EGUGA..16..849T/abstract (accessed on 1 June 2022).
- Abe, K.; Ueki, A.; Ohtaki, Y.; Kaku, N.; Watanabe, K.; Ueki, K. Anaerocella delicata gen. nov., sp. nov., a strictly anaerobic bacterium in the phylum Bacteroidetes isolated from a methanogenic reactor of cattle farms. J. Gen. Appl. Microbiol. 2012, 58, 405–412. [Google Scholar] [CrossRef] [Green Version]
- Wang, Z.; Yin, Q.; Gu, M.; He, K.; Wu, G. Enhanced azo dye Reactive Red 2 degradation in anaerobic reactors by dosing conductive material of ferroferric oxide. J. Hazard. Mater. 2018, 357, 226–234. [Google Scholar] [CrossRef]
- Zhang, L.; Ban, Q.; Li, J.; Wan, C. Functional bacterial and archaeal dynamics dictated by pH stress during sugar refinery wastewater in a UASB. Bioresour. Technol. 2019, 288, 121464. [Google Scholar] [CrossRef]
- Zhuang, H.; Cheng, Z.; Shan, S.; Shen, H.; Zhao, B. Demonstration on the treatment of paper-making wastewater by a full-scale IC-A/O-membrane reactor system for reclamation. J. Chem. Technol. Biotechnol. 2020, 95, 3161–3168. [Google Scholar] [CrossRef]
- Ziganshin, A.M.; Liebetrau, J.; Ter, J.P. Microbial community structure and dynamics during anaerobic digestion of various ag-ricultural waste materials. Appl. Microbiol. Biotechnol. 2013, 97, 5161–5174. [Google Scholar] [CrossRef]
- Yan, P.; Zhao, Y.; Zhang, H.; Chen, S.; Zhu, W.; Yuan, X.; Cui, Z. A comparison and evaluation of the effects of biochar on the anaerobic digestion of excess and anaerobic sludge. Sci. Total Environ. 2020, 736, 139159. [Google Scholar] [CrossRef]
- Stokholm-Bjerregaard, M.; McIlroy, S.J.; Nierychlo, M.; Karst, S.M.; Albertsen, M.; Nielsen, P.H. A Critical Assessment of the Microorganisms Proposed to be Important to Enhanced Biological Phosphorus Removal in Full-Scale Wastewater Treatment Systems. Front. Microbiol. 2017, 8, 718. [Google Scholar] [CrossRef] [PubMed] [Green Version]
- Shi, Z.; Zhang, L.; Yuan, H.; Li, X.; Chang, Y.; Zuo, X. Oyster shells improve anaerobic dark fermentation performances of food waste: Hydrogen production, acidification performances, and microbial community characteristics. Bioresour. Technol. 2021, 335, 125268. [Google Scholar] [CrossRef] [PubMed]
- Kanazawa, S.; Matsuura, N.; Honda, R.; Yamamoto-Ikemoto, R. Enhancement of methane production and phosphorus recovery with a novel pre-treatment of excess sludge using waste plaster board. J. Environ. Manag. 2019, 255, 109844. [Google Scholar] [CrossRef] [PubMed]
- Iltchenco, J.; Almeida, L.G.; Beal, L.L.; Marconatto, L.; dos Anjos Borges, L.G.; Giongo, A.; Paesi, S. Microbial consortia composition on the production of methane from sugarcane vinasse. Biomass Convers. Biorefin. 2019, 10, 299–309. [Google Scholar] [CrossRef]
- Jiang, Q.; Zhang, C.; Wu, P.; Ding, P.; Zhang, Y.; Cui, M.-H.; Liu, H. Algae biochar enhanced methanogenesis by enriching specific methanogens at low inoculation ratio during sludge anaerobic digestion. Bioresour. Technol. 2021, 338, 125493. [Google Scholar] [CrossRef]
- Lee, B.; Park, J.-G.; Shin, W.-B.; Tian, D.-J.; Jun, H.-B. Microbial communities change in an anaerobic digestion after application of microbial electrolysis cells. Bioresour. Technol. 2017, 234, 273–280. [Google Scholar] [CrossRef]












| Soluble COD mg/L | Soluble TN mg/L | NH4+-N mg/L | Soluble TP mg/L | PO43−-P mg/L | SS g/L | pH |
|---|---|---|---|---|---|---|
| 450 ± 5 | 128 ± 2 | 67.3 ± 0.5 | 9.32 ±0.02 | 8.65 ± 0.01 | 38.9 ± 0.6 | 7.18 ± 0.03 |
Publisher’s Note: MDPI stays neutral with regard to jurisdictional claims in published maps and institutional affiliations. |
© 2022 by the authors. Licensee MDPI, Basel, Switzerland. This article is an open access article distributed under the terms and conditions of the Creative Commons Attribution (CC BY) license (https://creativecommons.org/licenses/by/4.0/).
Share and Cite
Zhu, L.; Li, Y.; Liu, C.; Li, G. Intermittent Microaeration Technology to Enhance the Carbon Source Release of Particulate Organic Matter in Domestic Sewage. Water 2022, 14, 1876. https://doi.org/10.3390/w14121876
Zhu L, Li Y, Liu C, Li G. Intermittent Microaeration Technology to Enhance the Carbon Source Release of Particulate Organic Matter in Domestic Sewage. Water. 2022; 14(12):1876. https://doi.org/10.3390/w14121876
Chicago/Turabian StyleZhu, Lei, Yuguang Li, Chong Liu, and Guibai Li. 2022. "Intermittent Microaeration Technology to Enhance the Carbon Source Release of Particulate Organic Matter in Domestic Sewage" Water 14, no. 12: 1876. https://doi.org/10.3390/w14121876
APA StyleZhu, L., Li, Y., Liu, C., & Li, G. (2022). Intermittent Microaeration Technology to Enhance the Carbon Source Release of Particulate Organic Matter in Domestic Sewage. Water, 14(12), 1876. https://doi.org/10.3390/w14121876

