On the Evolution of Different Types of Green Water Events
Abstract
1. Introduction
- The spatiotemporal distribution of SVWS and MVWS elevations and volumes found in different types of green water events was analyzed. Experimental measurements of water surface elevations during the formation of different kinds of green water at the start of the deck are presented for the first time. Providing knowledge on the evolution of green water events, from their generation at the beginning of the deck and their propagation on it, can help to perform more detailed comparisons of analytical and numerical results. To the best of the authors’ knowledge, model comparisons have been made using SVWS elevations until now.
- The effect of wave steepness on green water duration, maximum freeboard exceedance, and maximum volumes over the deck was analyzed. The study of these parameters can be critical for differentiating the behavior of different types of green water events. Research on the differences found in the maximum freeboard exceedance in PDB and HF type events is still scarce. The study of volumes over the deck can indicate the expected vertical loading for these types of events.
- A discussion of challenges to assess the evolution of different types of green water events is included in this paper, which could help further green water research.
2. Experimental Methods
2.1. The Green Water Experiments
2.2. The Image-Based Approaches
2.2.1. MVWS Elevation Measurements
2.2.2. Green Water Volumes
3. Green Water Surface Elevations
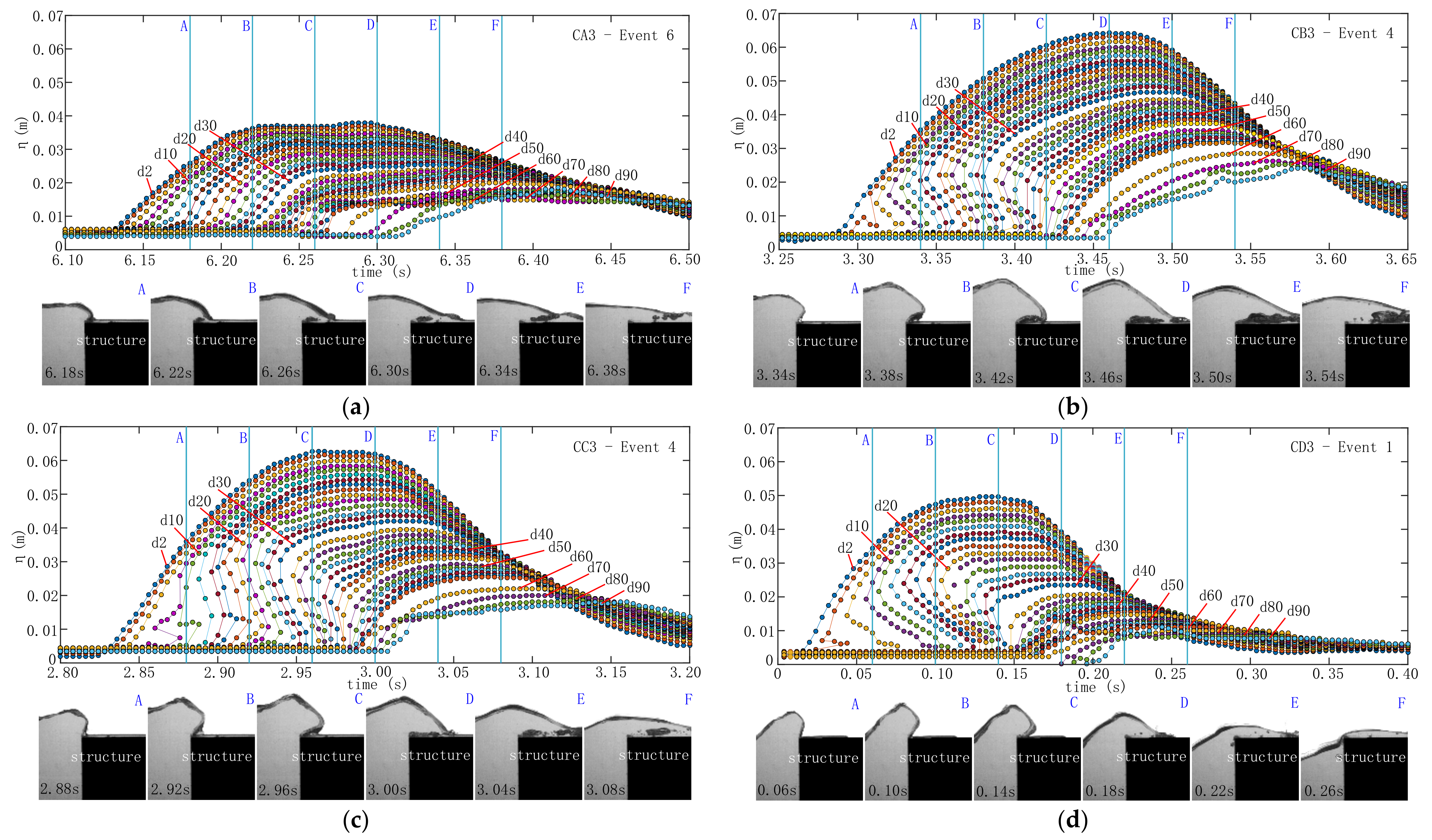
3.1. Evolution of the Different Types of Green Water Events
3.2. The Effects of Wave Steepness on Green Water Parameters
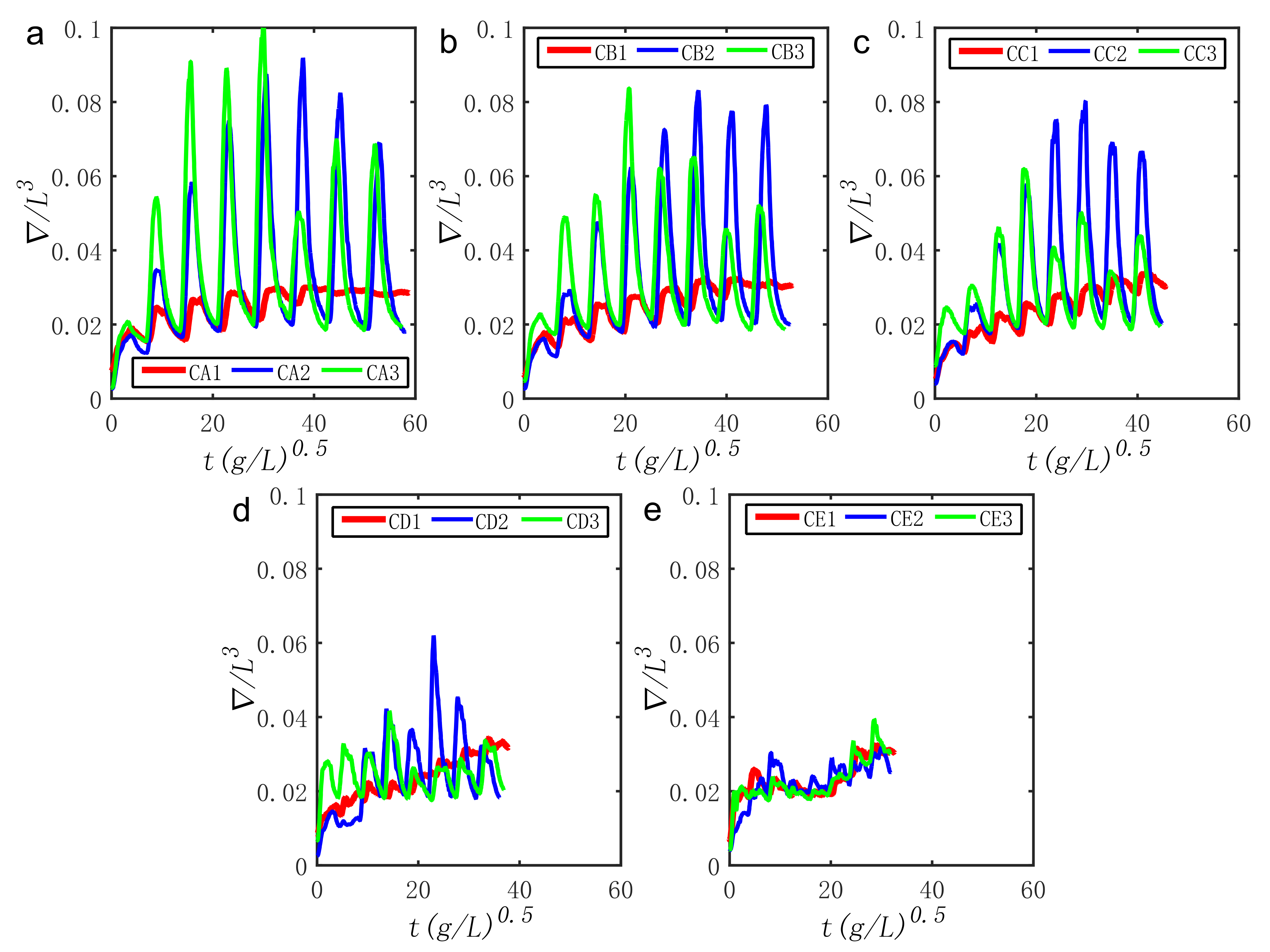
4. Green Water Volumes
5. On the Challenges to Assess Green Water Evolution
5.1. Factors That Influence Green Water Propagation
5.2. Some Challenges in Assessing Green Water Propagation
6. Conclusions
- Details in the generation of PDB and HF types of green water were examined. It was seen that they present MVWS elevations to be considered in comparisons of analytical and numerical models.
- Although all the events of this research are in the range of 0.18 < tr/td < 0.64, where tr and td are the rise time to attain the maximum freeboard exceedance (η0) and the event duration, respectively, η0 occurred between 0.34 < tr/td < 0.46, for PDB and HF-types of green water.
- When η0 is estimated from knowledge of the incident waves, it should be considered that the elevations are often lower than the wave elevation close to the structure. However, in HF-type events, the η0 elevations could be higher.
- Although some HF events showed the maximum η0 values in this research, the maximum volumes over the deck were observed for events resembling the PDB type of green water. Perhaps the HF-type could have relevance in impulsive loading at the beginning of the deck; this should be further explored.
- Since the green water features mainly depend on the type of structure, type of incident flow, operation conditions of the structure, and interaction with other physical phenomena, there is still a lot to do in performing detailed assessments of shipping water evolution for different types of events. For example, some challenges relate to the use of MVWS elevation measurements for a better comparison with model results. It is also important to consider the apparent and effective interaction times during the formation of the events, to attain more detailed breaking feature simulations, perhaps by meshless methods, and to increase research related to cavity entrapment phenomena, including its effects in the loading caused by flow on structures.
- It is hoped that the results presented here can contribute to more detailed comparisons of models, regarding the features in the initial stages of the generation of some types of green water events.
Author Contributions
Funding
Institutional Review Board Statement
Informed Consent Statement
Data Availability Statement
Acknowledgments
Conflicts of Interest
Appendix A

References
- Buchner, B. Green Water on Ship-Type Offshore Structures. Ph.D. Thesis, Delft University of Technology, Delft, The Netherlands, 2002. [Google Scholar]
- Greco, M. A Two-Dimensional Study of Green-Water Loading. Ph.D. Thesis, Norwegian University of Science and Technology, Trondheim, Norway, 2001. [Google Scholar]
- Lin, P. Numerical Modeling of Water Waves; CRC Press: Boca Raton, FL, USA, 2008; ISBN 978-0-429-15262-7. [Google Scholar]
- Hernández-Fontes, J. An analytical and experimental study of shipping water evolution and related vertical loading. Ph.D. Thesis, COPPE, Federal University of Rio de Janeiro, Janeiro, Brazil, 2018. [Google Scholar]
- Chuang, W.-L.; Chang, K.-A.; Mercier, R. Kinematics and dynamics of green water on a fixed platform in a large wave basin in focusing wave and random wave conditions. Exp. Fluids 2018, 59, 100. [Google Scholar] [CrossRef]
- Ryu, Y.; Chang, K.-A.; Mercier, R. Application of dam-break flow to green water prediction. Appl. Ocean Res. 2007, 29, 128–136. [Google Scholar] [CrossRef]
- Ryu, Y.; Chang, K.-A.; Mercier, R. Runup and green water velocities due to breaking wave impinging and overtopping. Exp. Fluids 2007, 43, 555–567. [Google Scholar] [CrossRef]
- Hernández-Fontes, J.V.; Esperança, P.T.; Silva, R.; Mendoza, E.; Sphaier, S.H. Violent water-structure interaction: Overtopping features and vertical loads on a fixed structure due to broken incident flows. Mar. Struct. 2020, 74, 102816. [Google Scholar] [CrossRef]
- Greco, M.; Colicchio, G.; Faltinsen, O. Shipping of water on a two-dimensional structure. Part 2. J. Fluid Mech. 2007, 581, 371. [Google Scholar] [CrossRef]
- Hernández-Fontes, J.V.; Vitola, M.A.; Esperança, P.T.; Sphaier, S.H.; Silva, R. Patterns and vertical loads in water shipping in systematic wet dam-break experiments. Ocean Eng. 2020, 197, 106891. [Google Scholar] [CrossRef]
- Hernández-Fontes, J.V.; Vitola, M.A.; Silva, M.C.; Esperança, P.d.T.T.; Sphaier, S.H. On the generation of isolated green water events using wet dam-break. J. Offshore Mech. Arct. Eng. 2018, 140. [Google Scholar] [CrossRef]
- Hernández-Fontes, J.V.; Mendoza, E.; Hernández, I.D.; Silva, R. A detailed description of flow-deck interaction in consecutive green water events. J. Offshore Mech. Arct. Eng. 2020, 143. [Google Scholar] [CrossRef]
- Greco, M.; Faltinsen, O.; Landrini, M. Shipping of water on a two-dimensional structure. J. Fluid Mech. 2005, 525, 309. [Google Scholar] [CrossRef]
- Colicchio, G.; Greco, M.; Faltinsen, O. Domain-decomposition strategy for marine applications with cavity entrapments. J. Fluids Struct. 2011, 27, 567–585. [Google Scholar] [CrossRef]
- Van‘t Veer, R.; Boorsma, A. Towards an Improved Understanding of Green Water Exceedance at the Bow of an FPSO. In Proceedings of the International Conference on Offshore Mechanics and Arctic Engineering, Busan, Korea, 19–24 June 2016; American Society of Mechanical Engineers: New York, NY, USA, 2016; Volume 49927, p. V001T01A033. [Google Scholar]
- Zhang, X.; Draper, S.; Wolgamot, H.; Zhao, W.; Cheng, L. Eliciting features of 2D greenwater overtopping of a fixed box using modified dam break models. Appl. Ocean Res. 2019, 84, 74–91. [Google Scholar] [CrossRef]
- Hernández-Fontes, J.V.; Hernández, I.D.; Mendoza, E.; Silva, R. Green water evolution on a fixed structure induced by incoming wave trains. Mech. Based Des. Struct. Mach. 2020, 1–29. [Google Scholar] [CrossRef]
- Yan, B.; Bai, W.; Qian, L.; Ma, Z. Study on hydro-kinematic characteristics of green water over different fixed decks using immersed boundary method. Ocean Eng. 2018, 164, 74–86. [Google Scholar] [CrossRef]
- Hernández-Fontes, J.V.; Esperança, P.d.T.T.; Graniel, J.F.B.; Sphaier, S.H.; Silva, R. Green Water on A Fixed Structure Due to Incident Bores: Guidelines and Database for Model Validations Regarding Flow Evolution. Water 2019, 11, 2584. [Google Scholar] [CrossRef]
- Buchner, B. The impact of green water on FPSO design. In Proceedings of the Offshore Technology Conference, OTC, Houston, TX, USA, 1–4 May 1995; pp. 45–57. [Google Scholar]
- Buchner, B. On the impact of green water loading on ship and offshore unit design. In Proceedings of the 6th International Symposium on Practical Design of Ship and Mobile Units, Seoul, Korea, 17–22 September 1995; Volume 1, pp. 430–443. [Google Scholar]
- Silva, D.F.; Coutinho, A.L.; Esperança, P.T. Green water loads on FPSOs exposed to beam and quartering seas, part I: Experimental tests. Ocean Eng. 2017, 140, 419–433. [Google Scholar] [CrossRef]
- Tanizawa, K.; Sawada, H.; Hoshino, K.; Tsujimoto, M. Visualization of shipping water on running ship foredeck in regular head seas. In Proceedings of the Fourteenth International Offshore and Polar Engineering Conference, Toulon, France, 23–28 May 2004; International Society of Offshore and Polar Engineers: Mountain View, CA, USA, 2004. [Google Scholar]
- Fu, S.; Zhou, J.; Li, Y.; Shemer, L.; Arie, A. Dispersion management of propagating waveguide modes on the water surface. Phys. Rev. Lett. 2017, 118, 144501. [Google Scholar] [CrossRef]
- Khalilabadi, M.; Bidokhti, A. Design and Construction of an Optimum Wave Flume. J. Appl. Fluid Mech. 2012, 5, 99–103. [Google Scholar]
- Liu, H.-T.; Katsaros, K.; Weissman, M. Dynamic response of thin-wire wave gauges. J. Geophys. Res. Oceans 1982, 87, 5686–5698. [Google Scholar] [CrossRef]
- Escudero, M.; Hernández-Fontes, J.V.; Hernández, I.D.; Mendoza, E. Virtual Level Analysis Applied to Wave Flume Experiments: The Case of Waves-Cubipod Homogeneous Low-Crested Structure Interaction. J. Mar. Sci. Eng. 2021, 9, 230. [Google Scholar] [CrossRef]
- Yao, A.; Wu, C.H. An automated image-based technique for tracking sequential surface wave profiles. Ocean Eng. 2005, 32, 157–173. [Google Scholar] [CrossRef]
- Hernández-Fontes, J.V.; Hernández, I.D.; Silva, R.; Mendoza, E.; Esperança, P.T.T. A simplified and open-source approach for multiple-valued water surface measurements in 2D hydrodynamic experiments. J. Braz. Soc. Mech. Sci. Eng. 2020. [Google Scholar] [CrossRef]
- Hernández-Fontes, J.V.; Vitola, M.A.; Paulo de Tarso, T.E.; Sphaier, S.H. Analytical convolution model for shipping water evolution on a fixed structure. Appl. Ocean Res. 2019, 82, 415–429. [Google Scholar] [CrossRef]
- Hernández, I.; Hernández-Fontes, J.; Vitola, M.; Silva, M. Water elevation measurements using binary image analysis for 2D hydrodynamic experiments. Ocean Eng. 2018, 157, 325–335. [Google Scholar] [CrossRef]
- Kocaman, S.; Ozmen-Cagatay, H. The effect of lateral channel contraction on dam break flows: Laboratory experiment. J. Hydrol. 2012, 432, 145–153. [Google Scholar] [CrossRef]
- Hernández-Fontes, J.; Torres, L.; Mendoza, E.; Escudero, M. Identification of the advection-diffusion equation for predicting green water propagation. Ocean Eng. 2020, 214, 107658. [Google Scholar] [CrossRef]
- González-Olvera, M.; Torres, L.; Hernández-Fontes, J.; Mendoza, E. Time fractional diffusion equation for shipping water events simulation. Chaos Solitons Fractals 2021, 143, 110538. [Google Scholar] [CrossRef]
- Fastec-Imaging HiSpec 1 Innovative Low-Light High-Speed Camera. Available online: https://www.fastecimaging.com/wp-content/uploads/2018/05/hispec1.pdf (accessed on 18 November 2020).
- Kawamura, K.; Hashimoto, H.; Matsuda, A.; Terada, D. SPH simulation of ship behaviour in severe water-shipping situations. Ocean Eng. 2016, 120, 220–229. [Google Scholar] [CrossRef]
- Areu-Rangel, O.; Hernández-Fontes, J.; Silva, R.; Esperança, P.; Klapp, J. Green water loads using the wet dam-break method and SPH. Ocean Eng. 2020, 108392, 1–16. [Google Scholar] [CrossRef]
- Khojasteh, D.; Tavakoli, S.; Dashtimanesh, A.; Dolatshah, A.; Huang, L.; Glamore, W.; Sadat-Noori, M.; Iglesias, G. Numerical analysis of shipping water impacting a step structure. Ocean Eng. 2020, 209, 107517. [Google Scholar] [CrossRef]
- Le Touzé, D.; Marsh, A.; Oger, G.; Guilcher, P.; Khaddaj-Mallat, C.; Alessandrini, B.; Ferrant, P. SPH simulation of green water and ship flooding scenarios. J. Hydrodyn. 2010, 22, 231–236. [Google Scholar] [CrossRef]
- Greco, M.; Landrini, M.; Faltinsen, O. Impact flows and loads on ship-deck structures. J. Fluids Struct. 2004, 19, 251–275. [Google Scholar] [CrossRef]
- Rosetti, G.F.; Pinto, M.L.; de Mello, P.C.; Sampaio, C.M.; Simos, A.N.; Silva, D.F. CFD and experimental assessment of green water events on an FPSO hull section in beam waves. Mar. Struct. 2019, 65, 154–180. [Google Scholar] [CrossRef]
- Hamoudi, B.; Varyani, K. Significant load and green water on deck of offshore units/vessels. Ocean Eng. 1998, 25, 715–731. [Google Scholar] [CrossRef]
- Hernández-Fontes, J.V.; Vitola, M.A.; Paulo de Tarso, T.E.; Sphaier, S.H. Assessing shipping water vertical loads on a fixed structure by convolution model and wet dam-break tests. Appl. Ocean Res. 2019, 82, 63–73. [Google Scholar] [CrossRef]
- Koosheh, A.; Etemad-Shahidi, A.; Cartwright, N.; Tomlinson, R.; van Gent, M.R. Individual wave overtopping at coastal structures: A critical review and the existing challenges. Appl. Ocean Res. 2021, 106, 102476. [Google Scholar] [CrossRef]
- Zanuttigh, B.; Martinelli, L. Transmission of wave energy at permeable low crested structures. Coast. Eng. 2008, 55, 1135–1147. [Google Scholar] [CrossRef]
- Formentin, S.M.; Zanuttigh, B. Semi-automatic detection of the overtopping waves and reconstruction of the overtopping flow characteristics at coastal structures. Coast. Eng. 2019, 152, 103533. [Google Scholar] [CrossRef]
- Lee, H.-H.; Lim, H.-J.; Rhee, S.H. Experimental investigation of green water on deck for a CFD validation database. Ocean Eng. 2012, 42, 47–60. [Google Scholar] [CrossRef]
- Ryu, Y.; Chang, K.-A.; Lim, H.-J. Use of bubble image velocimetry for measurement of plunging wave impinging on structure and associated greenwater. Meas. Sci. Technol. 2005, 16, 1945. [Google Scholar] [CrossRef]
- Yan, B.; Luo, M.; Bai, W. An experimental and numerical study of plunging wave impact on a box-shape structure. Mar. Struct. 2019, 66, 272–287. [Google Scholar] [CrossRef]
- Song, Y.K.; Chang, K.-A.; Ariyarathne, K.; Mercier, R. Surface velocity and impact pressure of green water flow on a fixed model structure in a large wave basin. Ocean Eng. 2015, 104, 40–51. [Google Scholar] [CrossRef]
- Gómez-Gesteira, M.; Cerqueiro, D.; Crespo, C.; Dalrymple, R. Green water overtopping analyzed with a SPH model. Ocean Eng. 2005, 32, 223–238. [Google Scholar] [CrossRef]
- Chen, L.; Zhang, X.; Taylor, P.H.; Draper, S.; Wolgamot, H. CFD Modelling to Investigate Design of a Whaleback-Type Forecastle for Greenwater Protection. In Proceedings of the ASME 2019 38th International Conference on Ocean, Offshore and Arctic Engineering, Glasgow, Scotland, UK, 9–14 June 2019; American Society of Mechanical Engineers Digital Collection: New York, NY, USA, 2019. [Google Scholar]
- An, L.J.; Hannan, M.A. Design of Breakwaters to Minimize Greenwater Loading on Bow Structures of Fixed Floating Vessels. Preprints 2020. [Google Scholar] [CrossRef]
- Ryu, Y.; Chang, K.-A. Green water void fraction due to breaking wave impinging and overtopping. Exp. Fluids 2008, 45, 883–898. [Google Scholar] [CrossRef]
- Barcellona, M.; Simos, M.; Greco, M.; Faltinsen, O. An experimental investigation on bow water shipping. J. Ship Res. 2003, 47, 327–346. [Google Scholar] [CrossRef]
- Greco, M.; Lugni, C.; Faltinsen, O.M. Can the water on deck influence the parametric roll of a FPSO? A numerical and experimental investigation. Eur. J. Mech.-B/Fluids 2014, 47, 188–201. [Google Scholar] [CrossRef]
- Silva, D.F.; Esperança, P.T.; Coutinho, A.L. Green water loads on FPSOs exposed to beam and quartering seas, Part II: CFD simulations. Ocean Eng. 2017, 140, 434–452. [Google Scholar] [CrossRef]
- Greco, M.; Lugni, C. 3-D seakeeping analysis with water on deck and slamming. Part 1: Numerical solver. J. Fluids Struct. 2012, 33, 127–147. [Google Scholar] [CrossRef]
- Greco, M.; Bouscasse, B.; Lugni, C. 3-D seakeeping analysis with water on deck and slamming. Part 2: Experiments and physical investigation. J. Fluids Struct. 2012, 33, 148–179. [Google Scholar] [CrossRef]
- Ogawa, Y.; Ishida, S.; Taguchi, H. A prediction method for horizontal impact pressure on deck structures due to shipping water. J. Soc. Nav. Archit. Jpn. 2000, 2000, 59–66. [Google Scholar] [CrossRef]
- Ogawa, Y.; Minami, M.; Matsunami, R.; Tanizawa, K.; Arai, M.; Kumano, A.; Miyake, R. Effect of ship type on green water load. J. Soc. Nav. Archit. Jpn. 2002, 2002, 181–190. [Google Scholar] [CrossRef]
- Ogawa, Y.; Taguchi, H.; Ishida, S. Experimental study on shipping water volume and its load on deck. J. Soc. Nav. Archit. Jpn. 1997, 1997, 177–185. [Google Scholar] [CrossRef]
- Chen, L.; Wang, Y.; Wang, X.; Cao, X. 3D Numerical Simulations of Green Water Impact on Forward-Speed Wigley Hull Using Open Source Codes. J. Mar. Sci. Eng. 2020, 8, 327. [Google Scholar] [CrossRef]
- Fang, M.-C.; Lee, M.-L.; Lee, C.-K. Time simulation of water shipping for a ship advancing in large longitudinal waves. J. Ship Res. 1993, 37, 126–137. [Google Scholar] [CrossRef]
- Gatin, I.; Vladimir, N.; Malenica, Š.; Jasak, H. Green sea loads in irregular waves with Finite Volume method. Ocean Eng. 2019, 171, 554–564. [Google Scholar] [CrossRef]
- Schiller, R.V.; Pâkozdi, C.; Stansberg, C.T.; Yuba, D.G.T.; de Carvalho e Silva, D.F. Green water on FPSO predicted by a practical engineering method and validated against model test data for irregular waves. In Proceedings of the ASME 2014 33rd International Conference on Ocean, Offshore and Arctic Engineering, San Francisco, CA, USA, 8–13 June 2014; American Society of Mechanical Engineers Digital Collection: New York, NY, USA, 2014. [Google Scholar]
- Hu, Z.; Xue, H.; Tang, W.; Zhang, X. A combined wave-dam-breaking model for rogue wave overtopping. Ocean Eng. 2015, 104, 77–88. [Google Scholar] [CrossRef]
- Nielsen, K.B.; Mayer, S. Numerical prediction of green water incidents. Ocean Eng. 2004, 31, 363–399. [Google Scholar] [CrossRef]
- Hellan, Ø.; Roger, J.; Carl, H.; Stansberg, T. A practical design tool for wave impact on bow and deck structures. In Practical Design of Ships and Other Floating Structures; Elsevier: Amsterdam, The Netherlands, 2001; pp. 611–619. [Google Scholar]
- Lugni, C.; Brocchini, M.; Faltinsen, O. Wave impact loads: The role of the flip-through. Phys. Fluids 2006, 18, 122101. [Google Scholar] [CrossRef]
- Lugni, C.; Miozzi, M.; Brocchini, M.; Faltinsen, O. Evolution of the air cavity during a depressurized wave impact. I. The kinematic flow field. Phys. Fluids 2010, 22, 056101. [Google Scholar] [CrossRef]
- Lugni, C.; Brocchini, M.; Faltinsen, O. Evolution of the air cavity during a depressurized wave impact. II. The dynamic field. Phys. Fluids 2010, 22, 056102. [Google Scholar] [CrossRef]
- Ariyarathne, K.; Chang, K.-A.; Mercier, R. Measurement of Green Water on a 3D Structure. In Proceedings of the International Conference on Offshore Mechanics and Arctic Engineering, Honolulu, HI, USA, 31 May 31–5 June 2009; Volume 43468, pp. 531–538. [Google Scholar]
- Chuang, W.-L.; Chang, K.-A.; Mercier, R. Green water velocity due to breaking wave impingement on a tension leg platform. Exp. Fluids 2015, 56, 139. [Google Scholar] [CrossRef]
- Pham, X.; Varyani, K. Evaluation of green water loads on high-speed containership using CFD. Ocean Eng. 2005, 32, 571–585. [Google Scholar] [CrossRef]
- Östman, A.; Pakozdi, C.; Sileo, L.; Stansberg, C.-T.; de Carvalho e Silva, D.F. A fully nonlinear RANS-VOF numerical wavetank applied in the analysis of green water on FPSO in waves. In Proceedings of the International Conference on Offshore Mechanics and Arctic Engineering, San Francisco, CA, USA, 8–13 June 2014; American Society of Mechanical Engineers: New York, NY, USA, 2014; Volume 45516, p. V08BT06A010. [Google Scholar]
- Pal, S.K.; Kudupudi, R.B.; Sunny, M.R.; Datta, R. Numerical investigation of green water loading on flexible structures using three-step CFD-BEM-FEM approach. J. Mar. Sci. Appl. 2018, 17, 432–442. [Google Scholar] [CrossRef]
- Zhu, R.; Miao, G.; Lin, Z. Numerical research on FPSOs with green water occurrence. J. Ship Res. 2009, 53, 7–18. [Google Scholar] [CrossRef]
- Chen, L.; Taylor, P.H.; Draper, S.; Wolgamot, H. 3-D numerical modelling of greenwater loading on fixed ship-shaped FPSOs. J. Fluids Struct. 2019, 84, 283–301. [Google Scholar] [CrossRef]
- Bašić, J.; Degiuli, N.; Malenica, Š.; Ban, D. Lagrangian finite-difference method for predicting green water loadings. Ocean Eng. 2020, 209, 107533. [Google Scholar] [CrossRef]
- Sanchez-Mondragon, J.; Hernández-Fontes, J.; Vázquez-Hernández, A.; Esperança, P. Wet dam-break simulation using the SPS-LES turbulent contribution on the WCMPS method to evaluate green water events. Comput. Part. Mech. 2019, 1–20. [Google Scholar] [CrossRef]
- Crespo, A.J.; Domínguez, J.M.; Rogers, B.D.; Gómez-Gesteira, M.; Longshaw, S.; Canelas, R.; Vacondio, R.; Barreiro, A.; García-Feal, O. DualSPHysics: Open-source parallel CFD solver based on Smoothed Particle Hydrodynamics (SPH). Comput. Phys. Commun. 2015, 187, 204–216. [Google Scholar] [CrossRef]
- Shao, S.; Ji, C.; Graham, D.I.; Reeve, D.E.; James, P.W.; Chadwick, A.J. Simulation of wave overtopping by an incompressible SPH model. Coast. Eng. 2006, 53, 723–735. [Google Scholar] [CrossRef]
- Ye, T.; Pan, D.; Huang, C.; Liu, M. Smoothed particle hydrodynamics (SPH) for complex fluid flows: Recent developments in methodology and applications. Phys. Fluids 2019, 31, 011301. [Google Scholar] [CrossRef]
- Gotoh, H.; Khayyer, A. On the state-of-the-art of particle methods for coastal and ocean engineering. Coast. Eng. J. 2018, 60, 79–103. [Google Scholar] [CrossRef]

















| Case Name | Length | Height |
|---|---|---|
| (Lw, m) | (Hw, m) 1 | |
| CA1 | 2.50 | 0.08 |
| CA2 | 0.12 | |
| CA3 | 0.16 | |
| CB1 | 2.00 | 0.08 |
| CB2 | 0.12 | |
| CB3 | 0.16 | |
| CC1 | 1.50 | 0.08 |
| CC2 | 0.12 | |
| CC3 | 0.16 | |
| CD1 | 1.00 | 0.08 |
| CD2 | 0.12 | |
| CD3 | 0.16 | |
| CE1 | 0.75 | 0.08 |
| CE2 | 0.12 | |
| CE3 | 0.16 |
Publisher’s Note: MDPI stays neutral with regard to jurisdictional claims in published maps and institutional affiliations. |
© 2021 by the authors. Licensee MDPI, Basel, Switzerland. This article is an open access article distributed under the terms and conditions of the Creative Commons Attribution (CC BY) license (https://creativecommons.org/licenses/by/4.0/).
Share and Cite
Fontes, J.V.H.; Hernández, I.D.; Mendoza, E.; Silva, R.; Brandão da Silva, E.; Rocha de Sousa, M.; Gonzaga, J.; Kamezaki, R.S.F.; Torres, L.; Esperança, P.T.T. On the Evolution of Different Types of Green Water Events. Water 2021, 13, 1148. https://doi.org/10.3390/w13091148
Fontes JVH, Hernández ID, Mendoza E, Silva R, Brandão da Silva E, Rocha de Sousa M, Gonzaga J, Kamezaki RSF, Torres L, Esperança PTT. On the Evolution of Different Types of Green Water Events. Water. 2021; 13(9):1148. https://doi.org/10.3390/w13091148
Chicago/Turabian StyleFontes, Jassiel V. H., Irving D. Hernández, Edgar Mendoza, Rodolfo Silva, Eliana Brandão da Silva, Matheus Rocha de Sousa, José Gonzaga, Raíssa S. F. Kamezaki, Lizeth Torres, and Paulo T. T. Esperança. 2021. "On the Evolution of Different Types of Green Water Events" Water 13, no. 9: 1148. https://doi.org/10.3390/w13091148
APA StyleFontes, J. V. H., Hernández, I. D., Mendoza, E., Silva, R., Brandão da Silva, E., Rocha de Sousa, M., Gonzaga, J., Kamezaki, R. S. F., Torres, L., & Esperança, P. T. T. (2021). On the Evolution of Different Types of Green Water Events. Water, 13(9), 1148. https://doi.org/10.3390/w13091148

