Grazing Effects on Bovine-Associated and Background Fecal Indicator Bacteria Levels in Edge-of-Field Runoff
Abstract
1. Introduction
2. Materials and Methods
2.1. Site Descriptions
2.2. Edge of Field Sampling Procedures
2.3. E. coli Analysis
2.4. Bacteroides Analysis
2.5. Construction of Bacteroides 16S rRNA Gene Copy Standards
2.6. Quantitative PCR Assays
2.7. Statistical Analysis
3. Results and Discussion
3.1. Comparison of AllBac to Stocking Rate and Grazing Management
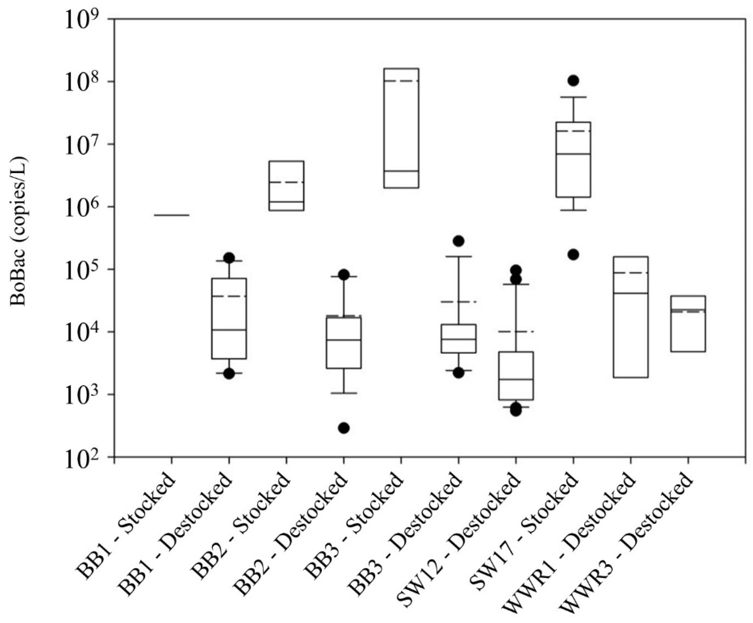
3.2. Comparison of BoBac to Stocking Rate and Grazing Management
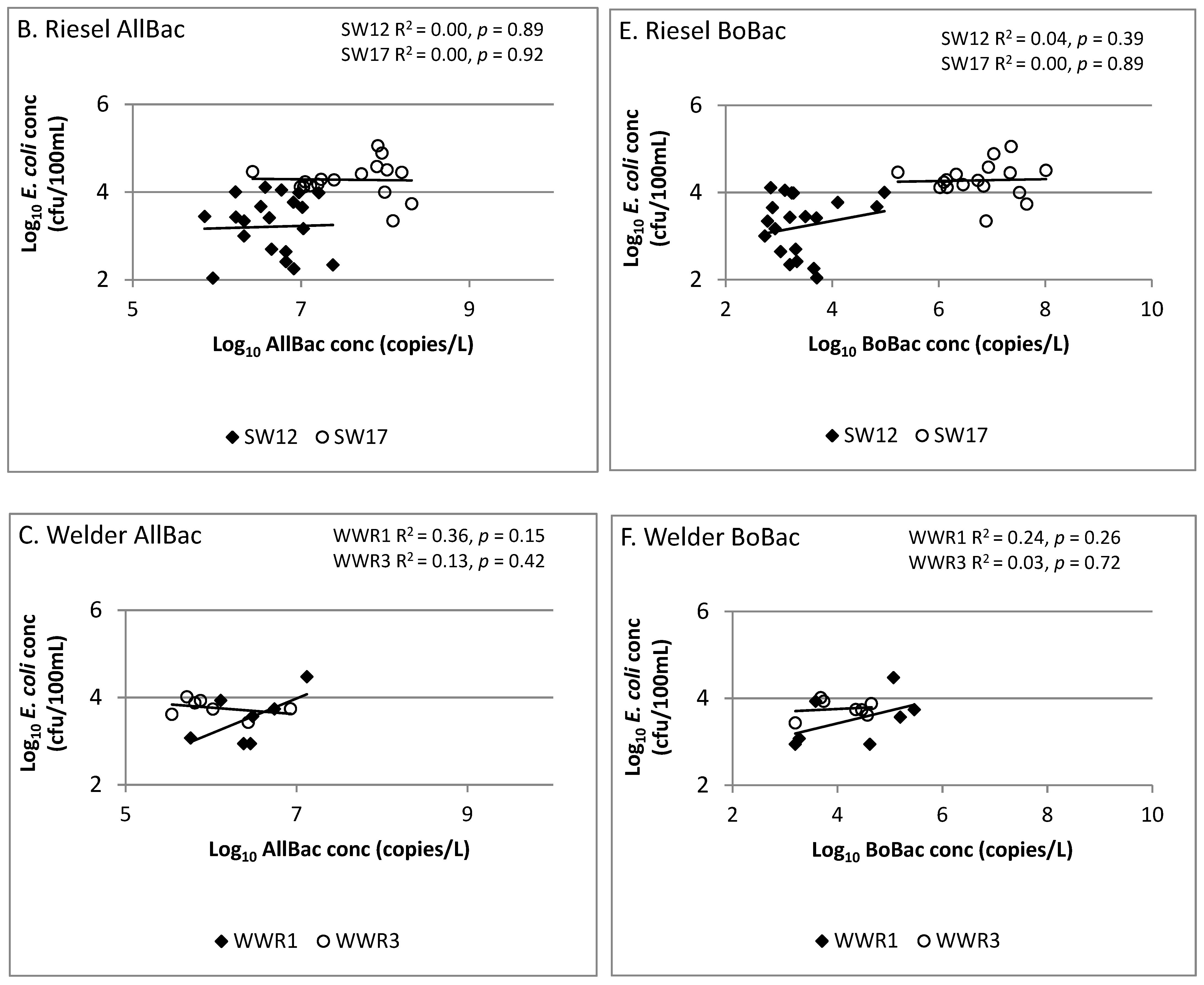
3.3. Comparison of AllBac and BoBac Gene Copy Concentrations to E. coli Levels
3.4. Evaluation of Cattle Contributions Using BoBac/AllBac
4. Conclusions
Author Contributions
Funding
Institutional Review Board Statement
Acknowledgments
Conflicts of Interest
References
- Gregory, L.F.; Harmel, R.D.; Karthikeyan, R.; Wagner, K.L.; Gentry, T.J.; Aitkenhead-Peterson, J.A. Elucidating the Effects of Land Cover and Usage on Background Escherichia coli Sources in Edge-of-Field Runoff. J. Environ. Qual. 2019, 48, 1800–1808. [Google Scholar] [CrossRef]
- Weidhaas, J.L.; Macbeth, T.W.; Olsen, R.L.; Harwood, V.J. Correlation of quantitative PCR for a poultry-specific brevibacterium marker gene with bacterial and chemical indicators of water pollution in a watershed impacted by land application of poultry litter. Appl. Environ. Microbiol. 2011, 77, 2094–2102. [Google Scholar] [CrossRef]
- Reischer, G.H.; Ebdon, J.E.; Bauer, J.M.; Schuster, N.; Ahmed, W.; Astrom, J.; Blanch, A.R.; Bloschl, G.; Byamukama, D.; Coakley, T.; et al. Performance characteristics of qPCR assays targeting human and ruminant-associated bacteroidetes for microbial source tracking across sixteen countries on six continents. Environ. Sci. Technol. 2013, 47, 8548–8556. [Google Scholar] [CrossRef]
- Hinojosa, J.; Green, J.; Estrada, F.; Herrera, J.; Mata, T.; Phan, D.; Pasha, A.B.M.T.; Matta, A.; Johnson, D.; Kapoor, V. Determining the primary sources of fecal pollution using microbial source tracking assays combined with land-use information in the Edwards Aquifer. Water Res. 2020, 184, 116211. [Google Scholar] [CrossRef] [PubMed]
- Donnison, A.; Ross, C.; Thorrold, B. Impact of land use on the faecal microbial quality of hill-country streams. N. Z. J. Mar. Freshw. Res. 2004, 38, 845–855. [Google Scholar] [CrossRef]
- Doran, J.W.; Linn, D.M. Bacteriological quality of runoff water from pastureland. Appl. Environ. Microbiol. 1979, 37, 985–991. [Google Scholar] [CrossRef]
- Doran, J.W.; Schepers, J.S.; Swanson, N.P. Chemical and bacteriological quality of pasture runoff. J. Soil Water Conserv. 1981, 36, 166–171. [Google Scholar]
- Gary, H.L.; Johnson, S.R.; Ponce, S.L. Cattle grazing impact on surface water quality in a Colorado front range stream. J. Soil Water Conserv. 1983, 38, 124–128. [Google Scholar]
- Tiedemann, A.R.; Higgins, D.A.; Quigley, T.M.; Sanderson, H.R.; Marx, D.B. Responses of Fecal Coliform in Streamwater to Four Grazing Strategies. J. Range Manag. 1987, 40, 322–329. [Google Scholar] [CrossRef]
- Robbins, J.W.; Howells, D.H.; Kriz, G.J. Stream pollution from animal production units. J. Water Pollut. Control Fed. 1972, 44, 1536–1544. [Google Scholar]
- Guzman, A.J.; Fox, A.G.; Payne, B.J. Surface Runoff Transport of Escherichia coli after Poultry Litter Application on Pastureland. Trans. ASABE 2010, 53, 779–786. [Google Scholar] [CrossRef]
- Wagner, L.K.; Redmon, A.L.; Gentry, J.T.; Harmel, D.R. Assessment of Cattle Grazing Effects on E. coli Runoff. Trans. ASABE 2012, 55, 2111–2122. [Google Scholar] [CrossRef]
- Haugland, R.A.; Varma, M.; Sivaganesan, M.; Kelty, C.; Peed, L.; Shanks, O.C. Evaluation of genetic markers from the 16S rRNA gene V2 region for use in quantitative detection of selected Bacteroidales species and human fecal waste by qPCR. Syst. Appl. Microbiol. 2010, 33, 348–357. [Google Scholar] [CrossRef]
- Okabe, S.; Okayama, N.; Savichtcheva, O.; Ito, T. Quantification of host-specific Bacteroides-Prevotella 16S rRNA genetic markers for assessment of fecal pollution in freshwater. Appl. Microbiol. Biotechnol. 2007, 74, 890–901. [Google Scholar] [CrossRef]
- Dick, L.K.; Stelzer, E.A.; Bertke, E.E.; Fong, D.L.; Stoeckel, D.M. Relative decay of Bacteroidales microbial source tracking markers and cultivated Escherichia coli in freshwater microcosms. Appl. Environ. Microbiol. 2010, 76, 3255–3262. [Google Scholar] [CrossRef] [PubMed]
- Balleste, E.; Blanch, A.R. Persistence of Bacteroides species populations in a river as measured by molecular and culture techniques. Appl. Environ. Microbiol. 2010, 76, 7608–7616. [Google Scholar] [CrossRef] [PubMed]
- Layton, A.; McKay, L.; Williams, D.; Garrett, V.; Gentry, R.; Sayler, G. Development of Bacteroides 16S rRNA gene TaqMan-based real-time PCR assays for estimation of total, human, and bovine fecal pollution in water. Appl. Environ. Microbiol. 2006, 72, 4214–4224. [Google Scholar] [CrossRef] [PubMed]
- Field, K.G.; Chern, E.C.; Dick, L.K.; Fuhrman, J.; Griffith, J.; Holden, P.A.; LaMontagne, M.G.; Le, J.; Olson, B.; Simonich, M.T. A comparative study of culture-independent, library-independent genotypic methods of fecal source tracking. J. Water Health 2003, 1, 181–194. [Google Scholar] [CrossRef] [PubMed]
- Bernhard, A.E.; Field, K.G. A PCR assay to discriminate human and ruminant feces on the basis of host differences in Bacteroides-Prevotella genes encoding 16S rRNA. Appl. Environ. Microbiol. 2000, 66, 4571–4574. [Google Scholar] [CrossRef]
- Dick, L.K.; Bernhard, A.E.; Brodeur, T.J.; Santo Domingo, J.W.; Simpson, J.M.; Walters, S.P.; Field, K.G. Host distributions of uncultivated fecal Bacteroidales bacteria reveal genetic markers for fecal source identification. Appl. Environ. Microbiol. 2005, 71, 3184–3191. [Google Scholar] [CrossRef]
- Gentry, R.W.; Layton, A.C.; McKay, L.D.; McCarthy, J.F.; Williams, D.E.; Koirala, S.R.; Sayler, G.S. Efficacy of Bacteroides measurements for reducing the statistical uncertainty associated with hydrologic flow and fecal loads in a mixed use watershed. J. Environ. Qual. 2007, 36, 1324–1330. [Google Scholar] [CrossRef] [PubMed]
- Omernik, J.M. Ecoregions of the Conterminous United States. Ann. Assoc. Am. Geogr. 1987, 77, 118–125. [Google Scholar] [CrossRef]
- Harmel, D.R.; Bonta, V.J.; Richardson, W.C. The Original USDA-ARS Experimental Watersheds in Texas and Ohio: Contributions from the Past and Visions for the Future. Trans. ASABE 2007, 50, 1669–1675. [Google Scholar] [CrossRef]
- Harmel, R.D.; Richardson, C.W.; King, K.W.; Allen, P.M. Runoff and soil loss relationships for the Texas Blackland Prairies ecoregion. J. Hydrol. 2006, 331, 471–483. [Google Scholar] [CrossRef]
- Harmel, D.R.; King, W.K.; Haggard, E.B.; Wren, G.D.; Sheridan, M.J. Practical Guidance for Discharge and Water Quality Data Collection On Small Watersheds. Trans. ASABE 2006, 49, 937–948. [Google Scholar] [CrossRef]
- Harmel, D.; Wagner, K.; Martin, E.; Smith, D.; Wanjugi, P.; Gentry, T.; Gregory, L.; Hendon, T. Effects of field storage method on E. coli concentrations measured in storm water runoff. Environ. Monit. Assess. 2016, 188, 170. [Google Scholar] [CrossRef]
- United States Environmental Protection Agency. Method 1603: Escherichia coli (E. coli) in Water by Membrane Filtration Using Modified Membrane-Thermotolerant Escherichia coli Agar (Modified mTEC); Office of Water, United States Environmental Protection Agency: Washington, DC, USA, 2006.
- Walters, S.P.; Field, K.G. Survival and persistence of human and ruminant-specific faecal Bacteroidales in freshwater microcosms. Environ. Microbiol. 2009, 11, 1410–1421. [Google Scholar] [CrossRef]
- Oldham, A.L.; Duncan, K.E. Similar gene estimates from circular and linear standards in quantitative PCR analyses using the prokaryotic 16S rRNA gene as a model. PLoS ONE 2012, 7, e051931. [Google Scholar] [CrossRef]
- Ragsdale, R.M. Bacterial Source Tracking in an Eastern Tennessee Stream using Bacteroides Host Associated Real-Time Polymerase Chain Reaction Assays; University of Tennessee: Knoxville, TN, USA, 2007. [Google Scholar]
- Bell, A.; Layton, A.C.; McKay, L.; Williams, D.; Gentry, R.; Sayler, G.S. Factors influencing the persistence of fecal Bacteroides in stream water. J. Environ. Qual. 2009, 38, 1224–1232. [Google Scholar] [CrossRef]
- Lamendella, R.; Santo Domingo, J.W.; Yannarell, A.C.; Ghosh, S.; Di Giovanni, G.; Mackie, R.I.; Oerther, D.B. Evaluation of Swine-Specific PCR Assays Used for Fecal Source Tracking and Analysis of Molecular Diversity of Swine-Specific “Bacteroidales” Populations. Appl. Environ. Microbiol. 2009, 75, 5787–5796. [Google Scholar] [CrossRef]
- Gregory, L.; Gentry, T.J.M.; Mukherjee, R.; Rodriguez, E.A.; Casarez, J.A. Truesdale Texas Bacterial Source Tracking Program Application, Expansion and Marker Evaluation (FY16–FY17); Texas Water Resources Institute: College Station, TX, USA, 2018. [Google Scholar]
- Korajkic, A.; McMinn, B.R.; Ashbolt, N.J.; Sivaganesan, M.; Harwood, V.J.; Shanks, O.C. Extended persistence of general and cattle-associated fecal indicators in marine and freshwater environment. Sci. Total Environ. 2019, 650, 1292–1302. [Google Scholar] [CrossRef] [PubMed]
- Van der Wielen, P.W.; Medema, G. Unsuitability of quantitative Bacteroidales 16S rRNA gene assays for discerning fecal contamination of drinking water. Appl. Environ. Microbiol. 2010, 76, 4876–4881. [Google Scholar] [CrossRef] [PubMed]






| Site-Yr § | Mean | sd | Median | Max. | Grazing Management | Annual AUD/ Hectare | Cattle on Site during Runoff-% * |
|---|---|---|---|---|---|---|---|
| BB1-1 | 1.52 × 107 | 2.22 × 107 | 9.49 × 106 | 6.84 × 107 | Ungrazed | 0 | No-0% |
| BB2-1 | 4.13 × 106 | 3.25 × 106 | 4.30 × 106 | 1.07 × 107 | Proper stocking | 147 | No-0% |
| BB3-1 | 3.58 × 106 | 3.04 × 106 | 3.30 × 106 | 1.17 × 107 | Overstocked | 312 | No-0% |
| BB1-2 | 5.88 × 106 | 4.80 × 106 | 3.58 × 106 | 1.41 × 107 | Ungrazed | 17 | Yes †-20% |
| BB2-2 | 8.72 × 106 | 9.83 × 106 | 4.74 × 106 | 2.82 × 107 | Proper stocking | 301 | Yes-67% |
| BB3-2 | 4.64 × 108 | 1.23 × 109 | 1.45 × 107 | 3.52 × 109 | Overstocked | 543 | Yes-75% |
| SW12-1 | 8.13 × 106 | 4.87 × 106 | 7.61 × 106 | 1.62 × 107 | Ungrazed | 0 | No-0% |
| SW17-1 | 6.48 × 107 | 5.38 × 107 | 5.22 × 107 | 1.58 × 108 | Proper stocking | 124 | Yes-100% |
| SW12-2 | 5.95 × 106 | 7.16 × 106 | 4.18 × 106 | 2.39 × 107 | Ungrazed | 0 | No-0% |
| SW17-2 | 6.21 × 107 | 7.49 × 107 | 1.58 × 107 | 2.06 × 108 | Proper stocking | 341 | Yes-100% |
| WWR1-1 | 4.34 × 106 | 4.66 × 106 | 2.74 × 106 | 1.32 × 107 | Ungrazed | 0 | No-0% |
| WWR3-1 | 1.01 × 106 | 8.73 × 105 | 6.99 × 105 | 2.72 × 106 | Proper stocking ‡ | 0 | No-0% |
| Site-Yr § | Mean | sd | Median | Max. | Grazing Management | Annual AUD/ Hectare | Cattle on Site during Runoff-% * |
|---|---|---|---|---|---|---|---|
| BB1-1 | 9.10 × 103 | 7.45 × 103 | 6.18 × 103 | 2.31 × 104 | Ungrazed | 0 | No-0% |
| BB2-1 | 6.56 × 103 | 5.56 × 103 | 4.59 × 103 | 1.66 × 104 | Proper stocking | 147 | No-0% |
| BB3-1 | 6.61 × 103 | 3.75 × 103 | 6.13 × 103 | 1.32 × 104 | Overstocked | 312 | No-0% |
| BB1-2 | 2.28 × 105 | 2.84 × 105 | 1.12 × 105 | 7.32 × 105 | Ungrazed | 17 | Yes †-20% |
| BB2-2 | 1.67 × 106 | 2.48 × 106 | 8.87 × 105 | 6.60 × 106 | Proper stocking | 301 | Yes-67% |
| BB3-2 | 7.69 × 107 | 2.05 × 108 | 2.90 × 106 | 5.85 × 108 | Overstocked | 543 | Yes-75% |
| SW12-1 | 1.26 × 104 | 2.77 × 104 | 1.51 × 103 | 6.90 × 104 | Ungrazed | 0 | No-0% |
| SW17-1 | 1.09 × 107 | 1.23 × 107 | 5.45 × 106 | 3.30 × 107 | Proper stocking | 124 | Yes-100% |
| SW12-2 | 1.40 × 104 | 3.08 × 104 | 2.17 × 103 | 9.57 × 104 | Ungrazed | 0 | No-0% |
| SW17-2 | 2.60 × 107 | 3.75 × 107 | 6.95 × 106 | 1.03 × 108 | Proper stocking | 341 | Yes-100% |
| WWR1-1 | 1.02 × 105 | 1.12 × 105 | 7.93 × 104 | 2.92 × 105 | Ungrazed | 0 | No-0% |
| WWR3-1 | 2.05 × 104 | 1.88 × 104 | 1.73 × 104 | 4.46 × 104 | Proper stocking ‡ | 0 | No-0% |
Publisher’s Note: MDPI stays neutral with regard to jurisdictional claims in published maps and institutional affiliations. |
© 2021 by the authors. Licensee MDPI, Basel, Switzerland. This article is an open access article distributed under the terms and conditions of the Creative Commons Attribution (CC BY) license (http://creativecommons.org/licenses/by/4.0/).
Share and Cite
Wagner, K.L.; Gentry, T.J.; Harmel, R.D.; Pope, E.C.; Redmon, L.A. Grazing Effects on Bovine-Associated and Background Fecal Indicator Bacteria Levels in Edge-of-Field Runoff. Water 2021, 13, 928. https://doi.org/10.3390/w13070928
Wagner KL, Gentry TJ, Harmel RD, Pope EC, Redmon LA. Grazing Effects on Bovine-Associated and Background Fecal Indicator Bacteria Levels in Edge-of-Field Runoff. Water. 2021; 13(7):928. https://doi.org/10.3390/w13070928
Chicago/Turabian StyleWagner, Kevin L., Terry J. Gentry, R. Daren Harmel, Emily C. Pope, and Larry A. Redmon. 2021. "Grazing Effects on Bovine-Associated and Background Fecal Indicator Bacteria Levels in Edge-of-Field Runoff" Water 13, no. 7: 928. https://doi.org/10.3390/w13070928
APA StyleWagner, K. L., Gentry, T. J., Harmel, R. D., Pope, E. C., & Redmon, L. A. (2021). Grazing Effects on Bovine-Associated and Background Fecal Indicator Bacteria Levels in Edge-of-Field Runoff. Water, 13(7), 928. https://doi.org/10.3390/w13070928

