Effects of Stepwise Adjustment of C/N during the Start-Up of Submerged Membrane Bioreactors (SMBRs) on the Aerobic Denitrification of Wastewater
Abstract
:1. Introduction
- Using influent with different C/N ratios of 5, 10, and 20 in three phases can shorten the time of biofilm formation in SMBRs.
- The SMBR exhibited excellent denitrification capacity, as the average removal percentage of TN reached 76.4%.
- The stepwise feed adjustment process promoted the growth of Nakamurella, Ferruginibacter, and Rhodanobacter in the reactor.
2. Materials and Methods
2.1. SMBR Start-Up Strategy
2.2. Seed Microbial Community
2.3. Synthetic Wastewater
2.4. Chemical Analysis
2.5. Microbial Community Structure Analysis
3. Results
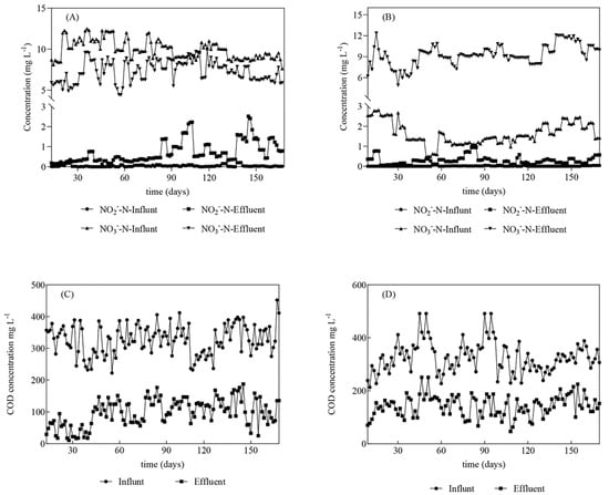
3.1. Water Quality under Different SMBR Reactor Effluent Conditions
3.2. Adhesion Ability of Carriers with Different C/N Ratios
3.3. EEM Fluorescence Spectral Analysis
3.4. Microbial Community Analysis
3.4.1. Bacterial α-Diversity Analysis
3.4.2. Composition of the Bacterial Community
3.4.3. Correlation between Reactor Performance and Microbial Characteristics
4. Discussion
5. Conclusions
Supplementary Materials
Author Contributions
Funding
Data Availability Statement
Conflicts of Interest
Ethics Approval
References
- Alzate, M.J.C.; Caravelli, A.H.; Zaritzky, N.E. Nitrification and aerobic denitrification in anoxic-aerobic sequencing batch reactor. Bioresou. Technol. 2016, 200, 380–387. [Google Scholar] [CrossRef]
- Sun, P.F.; Yu, H.J.; Liu, T.T.; Li, Y.S.; Wang, Z.S.; Xiao, Y.F.; Dong, X.P. Efficiently photothermal conversion in a MnOx-based monolithic photothermocatalyst for gaseous formaldehyde elimination. Chin. Chem. Lett. 2021. [Google Scholar] [CrossRef]
- Deng, L.J.; Guo, W.S.; Ngo, H.H.; Zhang, X.B.; Wang, X.C.; Zhang, Q.H.; Chen, R. New functional biocarriers for enhancing the performance of a hybrid moving bed biofilm reactor-membrane bioreactor system. Bioresour. Technol. 2016, 208, 87–93. [Google Scholar] [CrossRef] [PubMed]
- Huang, H.; Peng, C.; Peng, P.C.; Lin, Y.; Zhang, X.X.; Ren, H.Q. Towards the biofilm characterization and regulation in biological wastewater treatment. Appl. Microbiol. Biotechnol. 2019, 103, 1115–1129. [Google Scholar] [CrossRef] [PubMed]
- Ji, B.; Yang, K.; Zhu, L.; Jiang, Y.; Wang, H.Y.; Zhou, J.; Zhang, H.N. Aerobic denitrification: A review of important advances of the last 30 years. Bioprocess. Eng. 2015, 20, 643–651. [Google Scholar] [CrossRef]
- Feng, L.J.; Pi, S.Y.; Zhu, W.Z.; Wang, X.M.; Xu, X.Y. Nitrification and aerobic denitrification in solid phase denitrification systems with various biodegradable carriers for ammonium-contaminated water purification. J. Chem. Technol. Biot. 2019, 94, 3569–3577. [Google Scholar] [CrossRef]
- Li, Y.; Yang, Y.; Feng, Y.R.; Pu, J.; Hou, L.A. Combined effects of Pseudomonas quinolone signal-based quorum quenching and graphene oxide on the mitigation of biofouling and improvement of the application potential for the thin-film composite membrane. Sci. Total Environ. 2021, 760, 8. [Google Scholar] [CrossRef]
- Guo, L.J.; Zhao, B.; An, Q.; Tian, M. Characteristics of a novel aerobic denitrifying bacterium, Enterobacter cloacae strain HNR. Appl. Microbiol. Biotechnol. 2016, 178, 947–959. [Google Scholar] [CrossRef]
- Ruan, Y.; Taherzadeh, M.J.; Kong, D.D.; Lu, H.F.; Zhao, H.P.; Xu, X.Y.; Liu, Y.; Cai, L. Nitrogen removal performance and metabolic pathways analysis of a novel aerobic denitrifying halotolerant Pseudomonas balearica strain RAD-17. Microorganisms 2020, 8, 72. [Google Scholar] [CrossRef] [Green Version]
- Huang, H.K.; Tseng, K. Nitrate reduction by Citrobacter diversus under aerobic environment. Appl. Microbiol. Biotechnol. 2001, 55, 90–94. [Google Scholar] [CrossRef]
- Wang, Y.Y.; Zhang, Z.J.; Qiu, L.; Guo, Y.; Wang, X.J.; Xiong, X.J.; Chen, S.H. Effect of temperature downshifts on biological nitrogen removal and community structure of a lab-scale aerobic denitrification process. J. Biol. Eng. 2015, 101, 200–208. [Google Scholar] [CrossRef]
- Dube, C.D.; Guiot, S.R. Characterization of the protein fraction of the extracellular polymeric substances of three anaerobic granular sludges. AMB Express 2019, 9, 23. [Google Scholar] [CrossRef] [PubMed]
- Sparacino-Watkins, C.; Stolz, J.F.; Basu, P. Nitrate and periplasmic nitrate reductases. Chem. Soc. Rev. 2014, 43, 676–706. [Google Scholar] [CrossRef]
- Sonwani, R.K.; Swain, G.; Giri, B.S.; Singh, R.S.; Rai, B.N. A novel comparative study of modified carriers in moving bed biofilm reactor for the treatment of wastewater: Process optimization and kinetic study. Bioresour. Technol. 2019, 81, 335–342. [Google Scholar] [CrossRef] [PubMed]
- Sun, G.P.; Wan, J.F.; Sun, Y.C.; Li, H.S.; Chang, C.; Wang, Y. Enhanced removal of nitrate and refractory organic pollutants from bio-treated coking wastewater using corncobs as carbon sources and biofilm carriers. Chemosphere 2019, 237, 124520. [Google Scholar] [CrossRef] [PubMed]
- Ge, S.; Peng, Y.; Cao, X.X. Optimization of a Modified UCT Step Feed Process Treating Municipal Wastewater. Environ. Sci. 2011, 32, 2006–2012. [Google Scholar]
- Zhao, H.W.; Mavinic, D.S.; Oldham, W.K.; Koch, F.A. Controlling factors for simultaneous nitrification and denitrification in a two stage intermittent aeration process treating domestic sewage. Water Res. 2000, 33, 961–970. [Google Scholar] [CrossRef]
- Ding, S.; He, J.; Luo, X.; Zheng, Z. Simultaneous nitrogen and carbon removal in a packed A/O reactor: Effect of C/N ratio on microbial community structure. Bioprocess Biosyst. Eng. 2020, 43, 1241–1252. [Google Scholar] [CrossRef] [PubMed]
- Pochana, K.; Keller, J. Study of factors affecting simultaneous denitrification and netrification (SND). Water Sci. Technol. 1999, 39, 61–68. [Google Scholar]
- Ding, J.F.; Chen, B.; Zhang, Y.N.; Ye, X.P.; Li, Y.; Zhou, D.R.; Ding, Y.; Zhu, W.Q.; Zhang, H.J. Effects of poly (1,4-butanediol succinate) carrier on the nitrogen removal performance and microbial community of sequencing batch reactors. J. Clean Prod. 2020. [Google Scholar] [CrossRef]
- Zhang, P.; Ding, X.S.; Zhao, B.; An, Q.; Guo, J.S. Acceleration of biofilm formation in start-up of sequencing batch biofilm reactor using carriers immobilized with Pseudomonas stutzeri strain XL-2. Bioresour. Technol. 2020, 314, 123736. [Google Scholar] [CrossRef]
- APHA (The 23th Edition). Standard Methods for the Examination of Water and Wastewater, 22nd ed.; AWWA; WEF: Washington, DC, USA, 2017. [Google Scholar]
- Cheng, Y.F.; Li, G.F.; Liu, Y.Y.; Zhu, B.Q.; Zhang, Q.; Xue, Y.; Zhang, Z.Z.; Jin, R.C. Evaluating the effects of Zn (II) on high-rate biogranule-based denitrification: Performance, microbial community and sludge characteristics. Bioresour. Technol. 2019, 279, 393–397. [Google Scholar] [CrossRef] [PubMed]
- Zhang, D.Y.; Li, W.G.; Huang, X.F.; Qin, W.; Liu, M. Removal of ammonium in surface water at low temperature by a newly isolated Microbacterium sp. strain SFA13. Bioresour. Technol. 2013, 137, 147–152. [Google Scholar] [CrossRef] [PubMed]
- Gan, Y.L.; Zhao, Q.L.; Ye, Z.F. Denitrification performance and microbial diversity of immobilized bacterial consortium treating nitrate micro-polluted water. Bioresour. Technol. 2019, 281, 351–358. [Google Scholar] [CrossRef]
- Wang, J.Y.; Rong, H.W.; Zhang, C.S. Evaluation of the impact of dissolved oxygen concentration on biofilm microbial community in sequencing batch biofilm reactor. J. Biosci. Bioeng. 2018, 125, 532–542. [Google Scholar] [CrossRef] [PubMed]
- Ye, L.T.; Yu, G.; Zhou, S.B.; Zuo, S.P.; Fang, C.X. Denitrification of nitrate-contaminated groundwater in columns packed with PHBV and ceramsites for application as a permeable reactive barrier. Water Sci. Technol. Water Supply 2017, 17, 1241–1248. [Google Scholar] [CrossRef]
- Skariyachan, S.; Sridhar, V.S.; Packirisamy, S.; Kumargowda, S.T.; Sneha, B.C. Recent perspectives on the molecular basis of biofilm formation by Pseudomonas aeruginosa and approaches for treatment and biofilm dispersal. Folia Microbiolo. 2018, 63, 413–432. [Google Scholar] [CrossRef]
- Wang, X.L.; Zhang, L.; Peng, Y.Z.; Zhang, Q.; Li, J.L.; Yang, S.H. Enhancing the digestion of waste activated sludge through nitrite addition: Insight on mechanism through profiles of extracellular polymeric substances (EPS) and microbial communities. J. Hazard. Mater. 2019, 369, 164–170. [Google Scholar] [CrossRef]
- Rusanowska, P.; Cydzik-Kwiatkowska, A.; Świątczak, P.; Wojnowska-Baryła, I. Changes in extracellular polymeric substances (EPS) content and composition in aerobic granule size-fractions during reactor cycles at different organic loads. Bioresour. Technol. 2018, 272, 188–193. [Google Scholar] [CrossRef]
- Sabba, F.; Terada, A.; Wells, G.; Smets, B.F.; Nerenberg, R. Nitrous oxide emissions from biofilm processes for wastewater treatment. Appl. Microbiol. Biotechnol. 2018, 102, 9815–9829. [Google Scholar] [CrossRef] [Green Version]
- Yang, Q.; Liu, X.; Peng, C.; Wang, S.Y.; Sun, H.W.; Peng, Y.Z. N2O Production during Nitrogen Removal via Nitrite from Domestic Wastewater: Main Sources and Control Method. Environ. Sci. Technol. 2009, 43, 9400–9406. [Google Scholar] [CrossRef] [PubMed]
- Zhou, J.; He, Q.; Hemme, C.L.; Mukhopadhyay, A.; Hillesland, K.; Zhou, A.; He, Z.; Van Nostrand, J.D.; Hazen, T.C.; Stahl, D.A.; et al. How sulphate-reducing microorganisms cope with stress: Lessons from systems biology. Nat. Rev. Microbiol. 2011, 9, 452–466. [Google Scholar] [CrossRef] [Green Version]
- Zhang, W.T.; Hou, F.; Liu, Q.S.; Shao, Y.Q.; Xue, X.F.; Peng, Y.Z. Effect of hrt and aeration rate on performance of aao-baf system for denitrifying phosphorus removal. Chem. Eng. J. 2014, 65, 1436–1442. [Google Scholar]
- Zhang, M.; Wang, C.; Peng, Y.Z.; Wang, S.Y.; Jia, F.X.; Zeng, W. Organic substrate transformation and sludge characteristics in the integrated anaerobic anoxic oxic–biological contact oxidation (A2/O–BCO) system treating wastewater with low carbon/nitrogen ratio. Chem. Eng. J. 2016, 283, 47–57. [Google Scholar] [CrossRef]
- Wang, Z.P.; Zhang, T. Characterization of soluble microbial products (SMP) under stressful conditions. Water Res. 2010, 44, 5499–5509. [Google Scholar] [CrossRef]
- Zhou, W.L.; Wu, B.T.; She, Q.H.; Chi, L.N.; Zhang, Z.J. Investigation of soluble microbial products in a full-scale UASB reactor running at low organic loading rate. Bioresour. Technol. 2009, 100, 3471–3476. [Google Scholar] [CrossRef] [PubMed]
- Zhang, X.N.; Sun, Y.L.; Ma, F.; Li, A.; Zhao, H.P.; Wang, A.J.; Yang, J.X. In-situ utilization of soluble microbial product (SMP) cooperated with enhancing SMP-dependent denitrification in aerobic-anoxic sequencing batch reactor. Sci. Total Environ. 2019, 693, 133558. [Google Scholar] [CrossRef]
- Ni, B.J.; Zeng, R.J.; Fang, F.; Xie, W.M.; Sheng, G.P.; Yu, H.Q. Fractionating soluble microbial products in the activated sludge process. Water Res. 2010, 44, 2292–2302. [Google Scholar] [CrossRef] [PubMed]
- Liu, Q.; Wang, X.C.C.; Liu, Y.J.; Yuan, H.L.; Du, Y.J. Performance of a hybrid membrane bioreactor in municipal wastewater treatment. Desalination 2010, 258, 143–147. [Google Scholar] [CrossRef]
- Pacek, L.; Svehla, P.; Hrncirova, H.; Radechovsky, J. Rapid achievement of nitrification in CSTR and SBR treating reject water at high ammonia levels. Desalin. Water Treat. 2016, 57, 15958–15969. [Google Scholar] [CrossRef]
- Palmarin, M.J.; Young, S. The effects of biocarriers on the mixed liquor characteristics, extracellular polymeric substances, and fouling rates of a hybrid membrane bioreactor. Biochem. Eng. J. 2019, 1, 278–284. [Google Scholar] [CrossRef]
- Chen, Q.; Ni, J.R.; Ma, T.; Liu, T.; Zheng, M.S. Bioaugmentation treatment of municipal wastewater with heterotrophic-aerobic nitrogen removal bacteria in a pilot-scale SBR. Bioresour. Technol. 2015, 183, 25–32. [Google Scholar] [CrossRef]
- Zhang, L.L.; Yue, Q.Y.; Yang, K.L.; Zhao, P.G.; Bao, Y. Analysis of extracellular polymeric substances (EPS) and ciprofloxacin-degrading microbial community in the combined Fe-C micro-electrolysis-UBAF process for the elimination of high-level ciprofloxacin. Chemosphere 2018, 193, 645–654. [Google Scholar] [CrossRef]
- Pishgar, R.; Dominic, J.A.; Sheng, Z.Y.; Tay, J.H. Denitrification performance and microbial versatility in response to different selection pressures. Bioresour. Technol. 2019, 281, 72–83. [Google Scholar] [CrossRef]
- Green, S.J.; Prakash, O.; Jasrotia, P.; Overholt, W.A.; Cardenas, E.; Hubbard, D.; Tiedje, J.M.; Watson, D.B.; Schadt, C.W.; Brooks, S.C.; et al. Denitrifying bacteria from the genus Rhodanobacter dominate bacterial communities in the highly contaminated subsurface of a nuclear legacy waste site. Appl. Environ. Microbiol. 2012, 78. [Google Scholar] [CrossRef] [PubMed] [Green Version]
- O’Toole, G.; Kaplan, H.B.; Kolter, R. Biofilm formation as microbial development. Annu. Rev. Microbiol. 2000, 54, 49–79. [Google Scholar] [CrossRef]
- Tice, H.; Mayilraj, S.; Sims, D. Complete genome sequence of Nakamurella multipartita type strain (Y-104). Stand. Genom. Sci. 2018, 2, 168–175. [Google Scholar] [CrossRef] [Green Version]
- Huang, H.; Yu, Q.S.; Ren, H.Q.; Geng, J.J.; Xu, K.; Zhang, Y.; Ding, L.L. Towards physicochemical and biological effects on detachment and activity recovery of aging biofilm by enzyme and surfactant treatments. Bioresour. Technol. 2018, 247, 319–326. [Google Scholar] [CrossRef] [PubMed]
- Liu, T.; Mao, Y.J.; Shi, Y.P.; Xie, Q. Start-up and bacterial community compositions of partial nitrification in moving bed biofilm reactor. Appl. Microbiol. Biotechnol. 2017, 101, 2563–2574. [Google Scholar] [CrossRef]
- Iannacone, F.; Di Capua, F.; Granata, F.; Gargano, R.; Esposito, G. Simultaneous nitrification, denitrification and phosphorus removal in a continuous-flow moving bed biofilm reactor alternating microaerobic and aerobic conditions. Bioresour. Technol. 2020, 310, 123453. [Google Scholar] [CrossRef] [PubMed]
- Liu, T.; He, X.; Jia, G. Simultaneous nitrification and denitrification process using novel surface-modified suspended carriers for the treatment of real domestic wastewater. Chemosphere 2020, 247, 125831. [Google Scholar] [CrossRef] [PubMed]
- Chen, H.; Li, A.; Cui, D.; Cui, C.W.; Ma, F. Evolution of microbial community and key genera in the formation and stability of aerobic granular sludge under a high organic loading rate. Bioresour. Technol. Rep. 2019, 7, 100280. [Google Scholar] [CrossRef]
- Luo, J.; Hao, T.; Wei, L.; Mackey, H.R.; Lin, Z.; Chen, G. Impact of influent COD/N ratio on disintegration of aerobic granular sludge. Water Res. 2014, 62, 127–135. [Google Scholar] [CrossRef] [PubMed]
- Deng, Z.W.; Wang, Z.C.; Zhang, P.; Xia, P.H.; Ma, K.D.; Zhang, D.A.; Wang, L.; Yang, Y.S.; Wang, Y.J.; Chen, S.P.; et al. Effects of divalent copper on microbial community enzymatic activity and functional genes associated with nitrification and denitrification at tetracycline stress. Enzyme Microb. Technol. 2019, 126, 62–68. [Google Scholar] [CrossRef]
- Zhang, X.Y.; Xu, Z.W.; Sun, X.M.; Dong, W.Y.; Ballantine, D. Nitrate in shallow groundwater in typical agricultural and forest ecosystems in China. J. Environ. Sci. 2013, 25, 1007–1014. [Google Scholar] [CrossRef]
- Yang, X.H.; Song, X.F.; Hallerman, E.; Huang, Z.T. Microbial community structure and nitrogen removal responses of an aerobic denitrification biofilm system exposed to tetracycline. Aquaculture 2020, 529, 735665. [Google Scholar] [CrossRef]
- Bereschenko, L.A.; Heilig, G.H.J.; Nederlof, M.M.; van Loosdrecht, M.C.M.; Stams, A.J.M.; Euverink, G.J.W. Molecular characterization of the bacterial communities in the different compartments of a full-scale reverse-osmosis water purification plant. Appl. Environ. Microbiol. 2008, 74, 5297–5304. [Google Scholar] [CrossRef] [Green Version]








| Reactor | Average Removal Rate (%) | |||||
|---|---|---|---|---|---|---|
| Phase I | Phase II | Phase III | ||||
| NH3-N | TN | NH3-N | TN | NH3-N | TN | |
| R1 | 69.3 ± 3.5 | 65.3 ± 5.5 | 79.2 ± 2.8 | 75.6 ± 1.2 | 71.1 ± 1.6 | 76.4 ± 3.6 |
| R2 | 59.3 ± 5.2 | 51.3 ± 1.9 | 53.3 ± 1.7 | 48.6 ± 2.1 | 43.6 ± 2.5 | 45.1 ± 2.5 |
| Shannon | Simpson | Chao1 | ACE | |
|---|---|---|---|---|
| R1-1 | 2.94 | 0.177 | 394.85 | 404.72 |
| R1-2 | 4.41 | 0.652 | 680.27 | 693.42 |
| R2-1 | 2.62 | 0.189 | 327.26 | 346.80 |
| R2-2 | 3.91 | 0.437 | 570.29 | 585.48 |
Publisher’s Note: MDPI stays neutral with regard to jurisdictional claims in published maps and institutional affiliations. |
© 2021 by the authors. Licensee MDPI, Basel, Switzerland. This article is an open access article distributed under the terms and conditions of the Creative Commons Attribution (CC BY) license (https://creativecommons.org/licenses/by/4.0/).
Share and Cite
Zhang, Y.; Fang, Y.; Wang, B.; Zhang, H.; Ding, J. Effects of Stepwise Adjustment of C/N during the Start-Up of Submerged Membrane Bioreactors (SMBRs) on the Aerobic Denitrification of Wastewater. Water 2021, 13, 3251. https://doi.org/10.3390/w13223251
Zhang Y, Fang Y, Wang B, Zhang H, Ding J. Effects of Stepwise Adjustment of C/N during the Start-Up of Submerged Membrane Bioreactors (SMBRs) on the Aerobic Denitrification of Wastewater. Water. 2021; 13(22):3251. https://doi.org/10.3390/w13223251
Chicago/Turabian StyleZhang, Yinan, Yuxin Fang, Banglong Wang, Hangjun Zhang, and Jiafeng Ding. 2021. "Effects of Stepwise Adjustment of C/N during the Start-Up of Submerged Membrane Bioreactors (SMBRs) on the Aerobic Denitrification of Wastewater" Water 13, no. 22: 3251. https://doi.org/10.3390/w13223251
APA StyleZhang, Y., Fang, Y., Wang, B., Zhang, H., & Ding, J. (2021). Effects of Stepwise Adjustment of C/N during the Start-Up of Submerged Membrane Bioreactors (SMBRs) on the Aerobic Denitrification of Wastewater. Water, 13(22), 3251. https://doi.org/10.3390/w13223251
