Abstract
Within our therapeutic drug arsenal, antibiotics are of significant importance and are widely used in huge amounts to medicate, e.g., bacterial infections in humans and animals. Regarding the more than 10 types of antimicrobial drugs, the highly important orally taken β-lactams typically include dry suspension formulations. In many cases for this formulation, even after usage according to specification, residues remain in the prepared dry suspension bottle, which is often cleaned at home and the contents are flushed down into domestic wastewater. This plausible practice adds to the fact that, e.g., amoxicillin can be found in river waters, and is to be monitored in the EU, as given by resolution 2008/105/EG article 8b. When imported into the environment, β-lactam antibiotics can cause severe ecological problems, and equally importantly, therapeutic applications of these antibiotics are endangered by the forced development of pathogenic resistance. To avoid these issues, we developed and validated a fast, simple, robust, and cost-effective method using a 1 M sodium hydroxide solution to effectively hydrolyze and inactivate β-lactam residues. In this paper, we strongly propose a procedure involving pharmacists to take back residue of β-lactam dry suspension formulations. Subsequently, qualified pharmaceutical staff could inactivate β-lactam residue in the laboratory by the proposed method, and then dispose of the mixture into wastewater.
1. Introduction
Anthropogenic pollution of the environment has recently gained increased public interest and is triggering more and more concern [1,2]. Examples of bio-accumulative pollutants include microplastics [3,4], toxic/synthetic chemicals [5], and drugs (pharmacologically highly active pharmaceutical ingredients, APIs) that can be detected in the environment, even in remote areas [1,2]. APIs are actually used in therapeutic approaches to treat human and animal diseases but can also cause severe collateral side effects when such biologically highly active compounds survive wastewater cleanup and reach aquatic- or ecosystems beyond [6,7]. Human and veterinary drugs are used in massive quantities worldwide [8], and the effect of APIs and/or their metabolites after excretion into the environment is, in most cases, not fully understood [9]. Suggested solutions to the complex problem of persistent synthetic compounds such as APIs in the environment have already been put forward, including approaches towards green chemistry [10], technological upgrades of sewage water plants regarding photolytic and oxidative degradation [11], and sociological approaches [12].
In general, the excretion via urine or feces from patients using intended dosage schemes can be considered to be a major source of APIs and their metabolites in wastewater [10]. Other pathways of pollution may include improper domestic disposal [13] and from the industrial waste of API manufacturing plants [10]. However, most APIs are specifically designed for optimal bioavailability and strong metabolic degradation resistance, and these can show significant persistence in the aquatic environment, thus accumulating and yielding trace quantities in rivers, lakes, and even drinking water [14]. Prominent examples of environmentally critical APIs include endocrine disruptors such as ethinylestradiol [15], the non-steroidal pain killer and antiphlogistic diclofenac [16], the antiepileptic carbamazepine [17], and contrast agents such as iomeprol [18] used in diagnostics (Scheme 1).
Scheme 1.
Chemical structures of prominent examples of environmentally critical APIs.
Furthermore, antibiotics such as the bulk drugs ciprofloxacin and amoxicillin are among the most confirmed substances in environmental waters often exceeding “safe” levels [19]. These data correlate to the fact that, e.g., in 2019 in Germany, 666 metric tons of antibiotics were used for human therapy, and 742 metric tons for veterinary use, of which, in both cases, β-lactams accounted for the largest part (e.g., veterinary penicillins used to treat livestock totaled 279 metric tons) [20].
The ecological relevance of critical APIs is emphasized by resolution 2008/105/EG article 8b, a guideline for agencies to monitor ethinylestradiol, erythromycin, azithromycin, ciprofloxacin, and amoxicillin (among other critical APIs) in water systems of the European Union. However, while one might expect that the highly metabolic resistant ciprofloxacin [21] can be detected in water samples [22], to our surprise, the relatively metabolically and chemically reactive β-lactam antibiotic amoxicillin [23] can also be detected at high concentrations in river waters [24]. Obviously, amoxicillin is widely used against many bacterial infections and, additionally, it is administered in high dosages (e.g., more than 3000 mg/adult patient daily). Consequently, it is troubling to find such high amounts of amoxicillin in river waters, suggesting significant deposition pathways into the aquatic environment [25,26]. When considering plausible sources, a fraction of therapeutically employed amoxicillin could be excreted non-metabolized from patients, as outlined above [27]. This entry path requires the amoxicillin/β-lactam antibiotic to apparently survive, at least partially [28], the harsh biodegradation processes in sewage water treatment plants [19]. Secondly, raw wastewater may not have been treated sufficiently [29]. In line with this notion, amoxicillin originating from veterinary approaches [30] is more likely to make its way directly into water systems without passing through any sewage water treatment [31]. Furthermore, we hypothesize an alternative amoxicillin/β-lactam source for pollution since, in the vast majority of European countries (as well as in other developed countries), pharmaceutical waste must be returned to community pharmacies. Specialized companies manage the collected pharmaceutical waste. In spite of this, it is apparent that antibiotics are found in water effluents.
Residue of β-Lactam Dry Suspension Formulation as a Potential Source of Pollution
For amoxicillin and further β-lactam antibiotics, a unique dosage situation applies, especially for children. From a pharmaceutical and technological point of view, in addition to classic, rather large β-lactam API-containing tablets, amoxicillin is often marketed in special taste-masked, dry suspension formulations suitable mainly for the treatment of infections in pediatrics [32]. Commercial dry suspension formulations come as dry mixtures that, prior to usage, require the addition of water, yielding a suspension, which is ready for about 2 weeks of usage when stored in the fridge [33]. Regarding this particularly convenient dosage form, the total amount of amoxicillin (and other β-lactam antibiotics respectively) in the prepared bottle covers a wide range of dosage correlating with the body weight of small children up to that of teens or adults. Typically, even after application according to specification, e.g., for smaller children, a significant residue of the prepared suspension remains in the bottle. Finally, after a relatively short therapy, this residue may then be cleaned at home and the content flushed down into domestic wastewater [34], whereas the empty bottle is disposed of as glass waste. A similar scenario could be true for procedures in hospitals [35].
In some cases, the package instructions of dry suspension pharmaceuticals advise asking a pharmacist how to proceed regarding the disposal of the remaining formulation, but without giving any details about professional waste management. Accordingly, to the best of our knowledge, there is no general guideline for pharmacists regarding how to handle such dry suspension remains. The rinsing of prepared dry suspension bottles after therapeutic usage, may quite plausibly contribute to the fact that amoxicillin, as well as other β-lactams (and potentially additional APIs from liquid formulations), are present in high concentrations in river waters. In addition to antibiotics potentially causing severe ecological issues in general [36], a forced development of striking bacterial resistance [37] may occur, thus diminishing their highly valuable antibiotic efficacy for future applications [38].
2. Materials and Methods
2.1. Reactivity of β-Lactams towards Hydrolysis
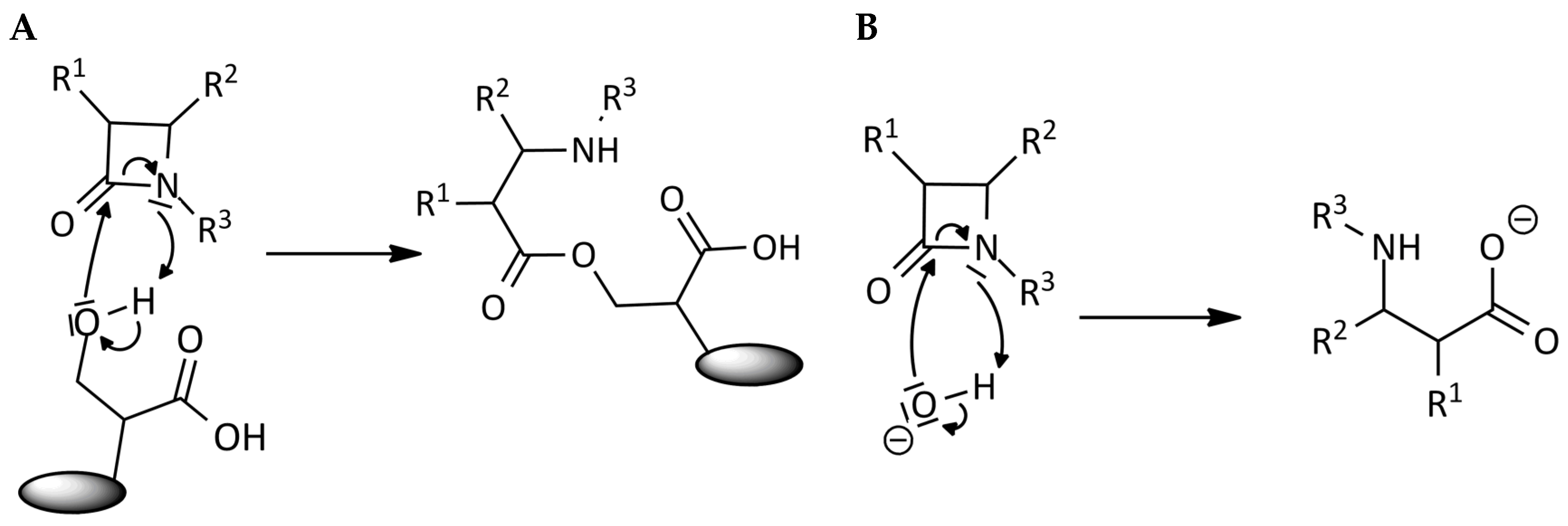
The molecular mechanism of action of β-lactam antibiotics, including penicillins, cephalosporins, and β-lactamase inhibitors, typically involves a nucleophilic attack from a catalytic serine residue within the active site of penicillin-binding proteins (PBPs such as transpeptidases) [39]. The reaction leads to ring opening of the β-lactam and thus pseudo-irreversible covalent acylation of the target protein (Figure 1A). Likewise, in addition to the required electrophilic properties of the β-lactam carbonyl atom, this pharmacophore “warhead” is highly susceptible also to, e.g., hydroxylamine or hydroxide ions [27]. The alkaline hydrolytic reaction leads to immediate β-lactam ring opening and degradation towards penicillic acid derivatives, and subsequently towards a variety of further products, all inactive against bacteria due to the missing key β-lactam moiety (Figure 1B) [39]. The unwanted reactivity of β-lactam antibiotics in an alkaline environment is the subject of studies [40] typically performed by the pharmaceutical industry in the context of quality control activities to assess API stability [41].
Figure 1.
(A) Molecular mechanism of action of β-lactams towards acylation of a key serine residue within the active site of PBPs. (B) Hydrolytic reaction of the β-lactam ring induced by a hydroxide ion to yield antibiotically inactive penicillic acid, and downstream further polar degradation products.
2.2. Targeted Hydrolysis of the β-Lactam Ring
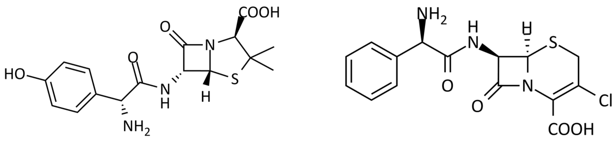
In contrast to these stability applications, we aimed to exploit alkaline conditions for the targeted quantitative hydrolysis of β-lactam dry suspension residue. Given a potentially relatively quick hydrolysis and thus pharmacological inactivation of the β-lactam ring [23], we set out to develop a fast, robust, cost-effective, and suitable method for the alkaline degradation of amoxicillin and other β-lactam antibiotic dry suspension residues. In order to demonstrate the efficacy of the method, we performed analytical studies on the sodium hydroxide mediated hydrolysis of four different β-lactam antibiotic APIs commonly marketed as dry suspensions, namely amoxicillin, cefaclor, cefadroxil, and cefuroxime (Scheme 2). It is significant that, for analytical purposes, both the pure APIs and their prepared dry suspension formulations, respectively, were stirred with 1 M NaOH solution at room temperature and the progress of the hydrolytic reaction was monitored by HPLC and LC/MS analysis (n = 6 for validation; n = 3 for hydrolysis experiments; for details see Supplementary Materials). As a suitable endpoint for the reaction, we defined the time point at which the quantitative hydrolyzation, and thus 100% degradation of the β-lactam, occurred. A more detailed kinetics of the alkaline hydrolyzation has been reported elsewhere [42].

Scheme 2.
Chemical structures of the four β-lactam antibiotic APIs investigated in this study.
The dilution solution of amoxicillin was prepared from 20.0 mg paracetamol and 2.5 mL acetic acid in 197.5 mL filtered and distilled water. For diluting the cefaclor probes, a solution of 20.0 mg paracetamol and 308 mg ammonium acetate was diluted in 4 mL acetonitrile and 169 mL bidistilled water. By adding acetic acid dropwise to the solution, a pH value of 4 was obtained. For cefadroxil and cefuroxime, the same dilution solution was used, and consisted of, 20.0 mg paracetamol and 308 mg ammonium acetate in 10 mL acetonitrile and 190 mL filtered and bidistilled water. The pH was adjusted to pH 5 by adding acetic acid dropwise.
2.3. Preparation of HPLC Samples
The amoxicillin and cefaclor probes were prepared by adding 1.0 mL of the alkaline dry suspension reaction mixture to 9.0 mL of the dilution solution. After mixing, the solution was filtered through a LLG filter. The cefadroxil and cefuroxime probes were prepared by adding 0.2 mL of the alkaline dry suspension reaction mixture to 10.0 mL of the dilution solution. The probe was then mixed and filtered through an LLG filter.
3. Results
In preliminary tests, we identified 1 M NaOH solution to be effective for the hydrolysis of all four investigated β-lactam APIs. Adding 1 M NaOH to the same volume of the respective prepared dry suspension formulation and stirring the mixture overnight at ambient temperature accounted for a sufficient method. Consequently, all β-lactams were quantitatively destroyed, yielding a mixture of polar degradation products. A more detailed analysis of the reaction kinetics actually showed quite a fast hydrolysis of the commonly used amoxicillin (Figure 2), cefaclor (Figure 3), and cefadroxil (see Supplementary Materials). In contrast, cefuroxime (see Supplementary Materials) turned out to be the most stable compound in these conditions. However, in order to also reach a robust and quantitative hydrolysis for cefuroxime, stirring a mixture of 2 parts of 1 M NaOH and 1 part of cefuroxime suspension formulation was effective in fully degrading cefuroxime within 240 min (Table 1).
Figure 2.
(A). Reference HPLC chromatogram of prepared dry suspension of amoxicillin (AMX) with paracetamol as internal standard (int.std.). Retention times rt AMX = 7.4 min, rt int. std. = 11.0 min. (B). Sample mixture of AMX and int.std. was stirred for 20 min with the same volume of 0.5 M NaOH, which quantitatively hydrolyzed AMX, yielding penicillo acid derivate of amoxicillin as the main degradation product (deg. prod., rt = 6.3 min; rt int. std. = 11.0 min). LC/MS analysis of the degradation products can be found in the Supplementary Materials.
Figure 3.
(A). Reference HPLC chromatogram of prepared dry suspension of cefaclor (CfCl) with paracetamol as internal standard (int.std.). Further method details can be found in the SI. Retention times rt CfCl = 26.1 min, rt int. std. = 17.5 min. (B). Sample mixture of CfCl and int.std. was stirred for 20 min with the same volume of 0.4 M NaOH, which quantitatively hydrolyzed cefaclor. LC/MS analysis of the degradation products can be found in the Supplementary Materials.
Table 1.
Parameters for the alkaline hydrolyzation of the prepared cefuroxime β-lactam dry suspension formulation. For each time point, three independent experiments were performed. * cv = coefficient of variation.
Key parameters for quantitative alkaline hydrolyzation reactions of the four β-lactam APIs are summarized in Table 2. An additional experiment employing the conditions used for the more robust cefuroxime, but subsequently applied to the mixture of all four combined dry suspension formulations, proved to quantitatively hydrolyze all β-lactam APIs. Thus, as a robust and effective method to destroy the β-lactam APIs, we propose to stir the collected suspension residue with twice the volume of 1 M NaOH at room temperature for at least 240 min.
Table 2.
Parameters for quantitative alkaline hydrolyzation of prepared β-lactam dry suspension formulations. For each API, three independent experiments were performed, yielding comparable 100% hydrolysis rates respectively.
4. Discussion and Conclusions
Therapeutically highly relevant β-lactams, such as amoxicillin and several cephalosporins, account for the most antibiotic usage in humans and, in particular, for the treatment of infections in children [43]. Thus, for future applications, it is necessary to keep the therapeutic efficacy of this long-used class of antibiotic. In line with this notion, it has been reported that only a few new antibiotic compounds or classes are currently being developed by the pharmaceutical industry [44]. Therefore, to help maintain the therapeutic effect of current β-lactam antibiotics, in this study, we provide evidence for a fast, simple, robust, and economic method for inactivating β-lactam residue from dry suspension formulations. The procedure could be used to effectively avoid environmental contamination by β-lactam antibiotics, adding further value by diminishing the potential for the development of bacterial resistance. Among the general methods used in modern wastewater plants to reduce the API load in the outlet [45], more specific methods were reported to tackle antibiotic residues. These include sophisticated electrochemical [46,47], photocatalytic [48,49,50], absorption [51], and oxidative [52] techniques, and these could be useful for addressing non-metabolized antibiotics subsequent to oral administration that are excreted by humans and animals. Obviously, these remedies cannot be easily addressed by the alkaline hydrolysis reported herein. However, our cost-effective method could help to avoid the introduction of β-lactams coming from the part of antibiotics contained in dry suspension formulation residue. Thus, the method could be helpful in reducing their total entry load into wastewaters.
To sum up, we researched β-lactams typically used for dry suspension formulations and thus investigated four common β-lactam APIs and their respective dosage forms regarding their susceptibility to alkaline hydrolysis. When adding twice the volume of a 1 M NaOH solution to the remaining suspension formulation at ambient temperature, our analysis showed a fast hydrolysis of the four relevant β-lactam antibiotics within a 240 min reaction time, resulting in a mixture of polar degradation products. A valid alkaline hydrolysis and degradation of the combined dry suspension formulation residue containing the most used β-lactam APIs amoxicillin, cefaclor, cefadroxil, and cefuroxime can be achieved. Thus, this method is considered to be highly suitable for practical use regarding laboratories in pharmacies and in clinics. Furthermore, the proposed hydrolysis conditions should be investigated further to test the degradation of other approved β-lactam (and macrolide) suspension formulations in order to fully validate the described method.
In general, it is not acceptable to have a poor or even non-existent waste management for APIs. In many developed countries, community pharmacies take back pharmaceutical waste, and the disposal is then managed by specialized companies. However, a particular situation applies to liquid formulations, which may often be disposed of into domestic wastewater. An effective and comprehensive disposal system should be established for the therapeutically and ecologically highly critical class of (β-lactam-) antibiotics present in dry suspension residue; it is in our own human interest to achieve this. Conceptually, it would be most effective to interfere early in the process of APIs, such as β-lactam antibiotics, draining unintentionally into the environment [13]. Thus, the data of this study could serve in the development of a future practice guideline, where pharmacists are involved to take back un-used residue of β-lactam dry suspension formulations from patients (clinic and public). Qualified pharmaceutical personnel could subsequently deactivate β-lactams in the laboratory by the described method using 1 M sodium hydroxide solution prior to rinsing the inactive mixture down the sink. A comparable process should be discussed for the use of β-lactam APIs in veterinary settings, in which antibiotics are often employed as pure substances; that is to say, without any formulation at all. The proposed method for the degradation of antibiotic residue prior to disposal could contribute to creating multiple benefits in order to significantly reduce the unwanted β-lactam load in the environment. Likewise, the procedure could help to reduce the emergence of collateral bacterial resistances against this highly needed class of effective antibiotics. Finally, given the strong growth of pathogenic/bacterial resistance and—as a direct consequence thereof—the emergence of ineffective antibiotics, a responsible and suitable antibiotic API waste management program should be the focus of any serious public health program.
Supplementary Materials
The following are available online at https://www.mdpi.com/article/10.3390/w13162225/s1, Further details for Materials & Methods, HPLC analysis of amoxicillin, cefaclor, cefadroxil, cefuroxime, and validation parameters.
Author Contributions
Conceptualization, C.P.; methodology, A.B.; validation, A.B.; formal analysis, A.B.; resources, C.P.; writing, C.P. Both authors have read and agreed to the published version of the manuscript.
Funding
This research received no external funding.
Institutional Review Board Statement
Not applicable.
Informed Consent Statement
Not applicable.
Acknowledgments
The authors gratefully acknowledge the help of Martin Schütt, Sven Wichmann, and Ulrich Girreser for their excellent technical support. We acknowledge financial support by DFG within the funding programme "Open Access Publizieren".
Conflicts of Interest
The authors declare no conflict of interest.
References
- Khan, A.H.; Aziz, H.A.; Khan, N.A.; Hasan, M.A.; Ahmed, S.; Farooqi, I.H.; Dhingra, A.; Vambol, V.; Changani, F.; Yousef, M.; et al. Impact, disease outbreak and the eco-hazards associated with pharmaceutical residues: A Critical review. Int. J. Environ. Sci. Technol. 2021. [Google Scholar] [CrossRef]
- Brausch, J.M.; Connors, K.A.; Brooks, B.W.; Rand, G.M. Human pharmaceuticals in the aquatic environment: A review of recent toxicological studies and considerations for toxicity testing. Rev. Environ. Contam. Toxicol. 2012, 218, 1–99. [Google Scholar]
- Ivar do Sul, J.A.; Costa, M.F. The present and future of microplastic pollution in the marine environment. Environ. Pollut. 2014, 185, 352–364. [Google Scholar] [CrossRef]
- Burns, E.E.; Boxall, A.B.A. Microplastics in the aquatic environment: Evidence for or against adverse impacts and major knowledge gaps. Environ. Toxicol. Chem. 2018, 37, 2776–2796. [Google Scholar] [CrossRef]
- McCarty, L.S.; Borgert, C.J.; Posthuma, L. The regulatory challenge of chemicals in the environment: Toxicity testing, risk assessment, and decision-making models. Regul. Toxicol. Pharmacol. 2018, 99, 289–295. [Google Scholar] [CrossRef] [PubMed]
- Nebot, C.; Falcon, R.; Boyd, K.G.; Gibb, S.W. Introduction of human pharmaceuticals from wastewater treatment plants into the aquatic environment: A rural perspective. Environ. Sci. Pollut. Res. Int. 2015, 22, 10559–10568. [Google Scholar] [CrossRef]
- Rodriguez-Mozaz, S.; Vaz-Moreira, I.; Della Giustina, S.V.; Llorca, M.; Barceló, D.; Schubert, S.; Berendonk, T.U.; Michael-Kordatou, I.; Fatta-Kassinos, D.; Martinez, J.L.; et al. Antibiotic residues in final effluents of European wastewater treatment plants and their impact on the aquatic environment. Environ. Int. 2020, 140, 105733. [Google Scholar] [CrossRef] [PubMed]
- Weinhold, B. Body of Evidence. Environ. Health Perspect. 2003, 111, A394–A399. [Google Scholar] [CrossRef]
- Letsinger, S.; Kay, P. Comparison of prioritisation schemes for human pharmaceuticals in the aquatic environment. Environ. Sci. Pollut. Res. Int. 2019, 26, 3479–3491. [Google Scholar] [CrossRef]
- Khetan, S.K.; Collins, T.J. Human pharmaceuticals in the aquatic environment: A challenge to Green Chemistry. Chem. Rev. 2007, 107, 2319–2364. [Google Scholar] [CrossRef]
- Al-Odaini, N.A.; Zakaria, M.P.; Yaziz, M.I.; Surif, S. Multi-residue analytical method for human pharmaceuticals and synthetic hormones in river water and sewage effluents by solid-phase extraction and liquid chromatography-tandem mass spectrometry. J. Chromatogr. A 2010, 1217, 6791–6806. [Google Scholar] [CrossRef]
- Doerr-MacEwen, N.A.; Haight, M.E. Expert stakeholders′ views on the management of human pharmaceuticals in the environment. Environ. Manag. 2006, 38, 853–866. [Google Scholar] [CrossRef] [PubMed]
- Depledge, M. Reduce drug waste in the environment. Nature 2011, 478, 36. [Google Scholar] [CrossRef]
- Bexfield, L.M.; Toccalino, P.L.; Belitz, K.; Foreman, W.T.; Furlong, E.T. Hormones and pharmaceuticals in groundwater used as a source of drinking water across the United States. Environ. Sci. Technol. 2019, 53, 2950–2960. [Google Scholar] [CrossRef]
- Janex-Habibi, M.L.; Huyard, A.; Esperanza, M.; Bruchet, A. Reduction of endocrine disruptor emissions in the environment: The benefit of wastewater treatment. Water Res. 2009, 43, 1565–1576. [Google Scholar] [CrossRef] [PubMed]
- Madhavan, J.; Kumar, P.S.; Anandan, S.; Zhou, M.; Grieser, F.; Ashokkumar, M. Ultrasound assisted photocatalytic degradation of diclofenac in an aqueous environment. Chemosphere 2010, 80, 747–752. [Google Scholar] [CrossRef]
- Clara, M.; Strenn, B.; Kreuzinger, N. Carbamazepine as a possible anthropogenic marker in the aquatic environment: Investigations on the behaviour of Carbamazepine in wastewater treatment and during groundwater infiltration. Water Res. 2004, 38, 947–954. [Google Scholar] [CrossRef] [PubMed]
- Putschew, A.; Wischnack, S.; Jekel, M. Occurrence of triiodinated X-ray contrast agents in the aquatic environment. Sci. Total. Environ. 2000, 255, 129–134. [Google Scholar] [CrossRef]
- Bilal, M.; Ashraf, S.S.; Barcelo, D.; Iqbal, H.M.N. Biocatalytic degradation/redefining “removal” fate of pharmaceutically active compounds and antibiotics in the aquatic environment. Sci. Total. Environ. 2019, 691, 1190–1211. [Google Scholar] [CrossRef]
- Kern, W.V. Antibiotika und antibakterielle Chemotherapeutika. In Arzneiverordnungs-Report; Schwabe, U., Paffrath, D., Ludwig, W.D., Klauber, J., Eds.; Springer: Heidelberg/Berlin, Germany, 2019; pp. 435–459. [Google Scholar]
- Al-Ahmad, A.; Daschner, F.D.; Kümmerer, K. Biodegradability of cefotiam, ciprofloxacin, meropenem, penicillin G, and sulfamethoxazole and inhibition of waste water bacteria. Arch. Environ. Contam. Toxicol. 1999, 37, 158–163. [Google Scholar] [CrossRef]
- Harris, S.; Morris, C.; Morris, D.; Cormican, M.; Cummins, E.J. Simulation model to predict the fate of ciprofloxacin in the environment after wastewater treatment. Environ. Sci. Health. A Tox Hazard Subst. Environ. Eng. 2013, 48, 675–685. [Google Scholar] [CrossRef]
- Gozlan, I.; Rotstein, A.; Avisar, D. Amoxicillin-degradation products formed under controlled environmental conditions: Identification and determination in the aquatic environment. Chemosphere 2013, 91, 985–992. [Google Scholar] [CrossRef]
- Langin, A.; Alexy, R.; König, A.; Kümmerer, K. Deactivation and transformation products in biodegradability testing of ß-lactams amoxicillin and piperacillin. Chemosphere 2009, 75, 347–354. [Google Scholar] [CrossRef]
- Kümmerer, K. Antibiotics in the aquatic environment—A review—Part I. Chemosphere 2009, 75, 417–434. [Google Scholar] [CrossRef]
- Kümmerer, K. Antibiotics in the aquatic environment—A review—Part II. Chemosphere 2009, 75, 435–441. [Google Scholar] [CrossRef] [PubMed]
- Fukutsu, N.; Kawasaki, T.; Saito, K.; Nakazawa, H. An approach for decontamination of β-lactam antibiotic residues or contaminants in the pharmaceutical manufacturing environment. Chem. Pharm. Bull. 2006, 54, 1340–1343. [Google Scholar] [CrossRef][Green Version]
- Bergheim, M.; Helland, T.; Kallenborn, R.; Kümmerer, K. Benzyl-penicillin (Penicillin G) transformation in aqueous solution at low temperature under controlled laboratory conditions. Chemosphere 2010, 81, 1477–1485. [Google Scholar] [CrossRef] [PubMed]
- Devault, D.A.; Nefau, T.; Levi, Y.; Karolak, S. The removal of illicit drugs and morphine in two waste water treatment plants (WWTPs) under tropical conditions. Environ. Sci. Pollut. Res. Int. 2017, 24, 25645–25655. [Google Scholar] [CrossRef]
- Tasho, R.P.; Cho, J.Y. Veterinary antibiotics in animal waste, its distribution in soil and uptake by plants: A review. Sci. Total. Environ. 2016, 563, 366–376. [Google Scholar] [CrossRef] [PubMed]
- Liesenfeld, S.; Steliopoulos, G.; Hamscher, G. Comprehensive metabolomics analysis of nontargeted LC-HRMS data provides valuable insights regarding the origin of veterinary drug residues. J. Agric. Food Chem. 2020, 68, 12493–12502. [Google Scholar] [CrossRef]
- De Jong, J.; van den Berg, P.B.; Visser, S.T.; de Vries, T.W.; de Jong-van den Berg, L.T. Antibiotic usage, dosage and course length in children between 0 and 4 years. Acta Paediatr. 2009, 98, 1142–1148. [Google Scholar] [CrossRef]
- Dusdieker, L.B.; Murph, J.R.; Milavetz, G. How much antibiotic suspension is enough? Pediatrics 2000, 106, E10. [Google Scholar] [CrossRef] [PubMed]
- Yang, S.; Cha, J.; Carlson, K. Simultaneous extraction and analysis of 11 tetracycline and sulfonamide antibiotics in influent and effluent domestic wastewater by solid-phase extraction and liquid chromatography-electrospray ionization tandem mass spectrometry. J. Chromatogr. A 2005, 1097, 40–53. [Google Scholar] [CrossRef] [PubMed]
- Moges, F.; Endris, M.; Belyhun, Y.; Worku, W. Isolation and characterization of multiple drug resistance bacterial pathogens from waste water in hospital and non-hospital environments, Northwest Ethiopia. BMC Res. Notes 2014, 7, 215. [Google Scholar] [CrossRef]
- Kraemer, S.A.; Ramachandran, A.; Perron, G.G. Antibiotic pollution in the environment: From microbial ecology to public policy. Microorganisms 2019, 7, 180. [Google Scholar] [CrossRef]
- Wolny-Koladka, K. Resistance to antibiotics and the occurrence of genes responsible for the development of methicillin resistance in staphylococcus bacteria isolated from the environment of horse riding centers. J. Equine Vet. Sci. 2018, 61, 65–71. [Google Scholar] [CrossRef]
- Singer, A.C.; Xu, Q.; Keller, V.D.J. Translating antibiotic prescribing into antibiotic resistance in the environment: A hazard characterisation case study. PLoS ONE 2019, 14, e0221568. [Google Scholar] [CrossRef] [PubMed]
- Frere, J.M. Mechanism of action of beta-lactam antibiotics at the molecular level. Biochem. Pharmacol. 1977, 26, 2203–2210. [Google Scholar] [CrossRef]
- Imming, P.; Klar, B.; Dix, D. Hydrolytic stability versus ring size in lactams: Implications for the development of lactam antibiotics and other serine protease inhibitors. J. Med. Chem. 2000, 43, 4328–4331. [Google Scholar] [CrossRef]
- Wildfeuer, A.; Rader, K. Stability of beta-lactamase inhibitors and beta-lactam antibiotics in parenteral formulations as well as in body fluids and tissue homogenates. Comparison of sulbactam, clavulanic acid, ampicillin and amoxicillin. Arzneimittelforschung 1991, 41, 70–73. [Google Scholar] [PubMed]
- Mitchell, S.M.; Ullman, J.L.; Teel, A.L.; Watts, R.J. pH and temperature effects on the hydrolysis of three β-lactam antibiotics: Ampicillin, cefalotin and cefoxitin. Sci. Total. Environ. 2014, 466, 547–555. [Google Scholar] [CrossRef] [PubMed]
- Müller, A. Stewardship für antibiotika in der pädiatrie. Drug Res. 2018, 68, S6–S7. [Google Scholar] [CrossRef]
- Bax, R. How to evaluate and predict the ecologic impact of antibiotics: The pharmaceutical industry view from research and development. Clin. Microbiol. Infect. 2001, 7 (Suppl. 5), 46–48. [Google Scholar] [CrossRef] [PubMed]
- Homem, V.; Santos, L. Degradation and removal methods of antibiotics from aqueous matrices-a review. J. Environ. Manag. 2011, 92, 2304–2347. [Google Scholar] [CrossRef]
- Dos Santos, A.J.; Kronka, M.S.; Fortunato, G.V.; Lanza, M.R.V. Recent advances in electrochemical water technologies for the treatment of antibiotics: A short review. Curr. Opin. Electrochem. 2021, 26, 100674. [Google Scholar] [CrossRef]
- Bian, X.; Xia, Y.; Zhan, T.; Wang, L.; Zhou, W.; Dai, Q.; Chen, J. Electrochemical removal of amoxicillin using a Cu doped PbO2 electrode: Electrode characterization, operational parameters optimization and degradation mechanism. Chemosphere 2019, 233, 762–770. [Google Scholar] [CrossRef] [PubMed]
- Antonopoulou, M.; Kosma, C.; Albanis, T.; Konstantinou, I. An overview of homogeneous and heterogeneous photocatalysis applications for the removal of pharmaceutical compounds from real or synthetic hospital wastewaters under lab or pilot scale. Sci. Total. Environ. 2021, 765, 144163. [Google Scholar] [CrossRef] [PubMed]
- Gao, B.; Wang, J.; Dou, M.; Huang, X. Enhanced photocatalytic removal of amoxicillin with Ag/TiO2/mesoporous g-C3N4 under visible light: Property and mechanistic studies. Environ. Sci. Pollut. Res. 2020, 27, 7025–7039. [Google Scholar] [CrossRef] [PubMed]
- Tran, M.L.; Fu, C.C.; Juang, R.S. Removal of metronidazole and amoxicillin mixtures by UV/TiO2 photocatalysis: An insight into degradation pathways and performance improvement. Environ. Sci. Pollut. Res. 2019, 26, 11846–11855. [Google Scholar] [CrossRef]
- Zha, S.; Zhou, Y.; Jin, X.; Chen, Z. The removal of amoxicillin from wastewater using organobentonite. J. Environ. Manag. 2013, 129, 569–576. [Google Scholar] [CrossRef]
- Alharbi, S.K.; Price, W.E. Degradation and fate of pharmaceutically active contaminants by advanced oxidation processes. Curr. Pollut. Rep. 2017, 3, 268–280. [Google Scholar] [CrossRef]
Publisher’s Note: MDPI stays neutral with regard to jurisdictional claims in published maps and institutional affiliations. |
© 2021 by the authors. Licensee MDPI, Basel, Switzerland. This article is an open access article distributed under the terms and conditions of the Creative Commons Attribution (CC BY) license (https://creativecommons.org/licenses/by/4.0/).





