Nonlinear Sorption of Organic Contaminant during Two-Dimensional Transport in Saturated Sand
Abstract
1. Introduction
2. Materials and Methods
2.1. Two-Dimensional Plume Experiments
2.1.1. Sand Box Model
2.1.2. Two-Dimensional Solute Transport Experiments
2.1.3. Moment Analysis for Solute Plume
2.2. Modeling Water Flow and Solute Transport
2.3. Optimization of Parameters
3. Results and Discussion
3.1. Two-Dimensional Transport of Toluene and KCl Plumes
3.2. Modeling Advection and Dispersion in Two-Dimensional Sand Box
3.3. Appropriate Model of Toluene Sorption during Transport through Saturated Sand
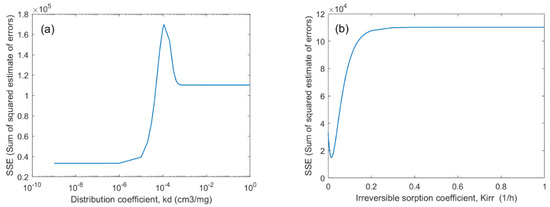
3.3.1. Suitability of Linear Equilibrium and Nonequilibrium Irreversible Models
3.3.2. Suitability of Non-Linear Equilibrium Models
4. Conclusions
Supplementary Materials
Author Contributions
Funding
Data Availability Statement
Acknowledgments
Conflicts of Interest
References
- Kao, C.M.; Wang, C.C. Control of BTEX migration by intrinsic bioremediation at a gasoline spill site. Water Res. 2000, 34, 3413–3423. [Google Scholar] [CrossRef]
- An, Y.-J. Toxicity of benzene, toluene, ethylbenzene, and xylene (BTEX) mixtures to Sorghum bicolor and Cucumis sativus. Bull. Environ. Contam. Toxicol. 2004, 72, 1006–1011. [Google Scholar] [CrossRef]
- Liu, F.F.; Peng, C.; Ng, J.C. BTEX in vitro exposure tool using human lung cells: Trips and gains. Chemosphere 2015, 128, 321–326. [Google Scholar] [CrossRef]
- Farhadian, M.; Vachelard, C.; Duchez, D.; Larroche, C. In situ bioremediation of monoaromatic pollutants in groundwater: A review. Bioresour. Technol. 2008, 99, 5296–5308. [Google Scholar] [CrossRef] [PubMed]
- US Environmental Protection Agency Washington. Edition of the Drinking Water Standards and Health Advisories. Available online: https://www.epa.gov/sites/production/files/2018-03/documents/dwtable2018.pdf (accessed on 1 February 2021).
- Tran, T.D.; Nguyen, T.X.; Nguyen, H.T.T.; Vo, H.T.L.; Nghiem, D.T.; Le, T.H.; Dao, D.S.; Nguyen, N.V. Seasonal Variation, Sources, and Health Risk Assessment of Indoor/Outdoor BTEX at Nursery Schools in Hanoi, Vietnam. Water Air Soil Pollut. 2020, 231. [Google Scholar] [CrossRef]
- Tohidian, E.; Dehban, A.; Ashtiani, F.Z.; Kargari, A. Fabrication and characterization of a cross-linked two-layer polyetherimide solvent-resistant ultrafiltration (SRUF) membrane for separation of toluene-water mixture. Chem. Eng. Res. Des. 2021, 168, 59–70. [Google Scholar] [CrossRef]
- Lakhouit, A.; Cabral, A.R.; Cabana, H. Two Novel Biofilters to Remove Volatile Organic Compounds Emitted by Landfill Sites. Water Air Soil Pollut. 2016, 227. [Google Scholar] [CrossRef]
- Jun, T.H.; Kim, M.J.; Kim, S.; Jung, Y.H.; Moon, H.R.; Kim, K.S. Evaluation of Activated Carbon-Coated Electrode in Electrostatic Precipitator and Its Regeneration for Volatile Organic Compounds Removal. Water Air Soil Pollut. 2017, 228. [Google Scholar] [CrossRef]
- Li, Y.; Shankar, V.S.B.; Yalamanchi, K.K.; Badra, J.; Nicolle, A.; Sarathy, S.M. Understanding the blending octane behaviour of unsaturated hydrocarbons: A case study of C-4 molecules and comparison with toluene. Fuel 2020, 275. [Google Scholar] [CrossRef]
- Aminnaji, M.; Golfier, F.; Niasar, V.J.; Babaei, M. Interplay of biofilm growth, NAPL biodegradation and micro-scale heterogeneity in natural attenuation of aquifers delineated by pore-network modelling. Adv. Water Resour. 2020, 145. [Google Scholar] [CrossRef]
- Powers, S.E.; Hunt, C.S.; Heermann, S.E.; Corseuil, H.X.; Rice, D.; Alvarez, P.J. The transport and fate of ethanol and BTEX in groundwater contaminated by gasohol. Crit. Rev. Environ. Sci. Technol. 2001, 31, 79–123. [Google Scholar] [CrossRef]
- ARAL; Aral, M. Advances in Groundwater Pollution Control and Remediation; Springer Science & Business Media: Berlin, Germany, 2013; Volume 9. [Google Scholar]
- Fetter, C.W. Contaminant Hydrogeology; Waveland Press, Inc.: Long Grove, IL, USA, 2008; Volume 1, pp. 120–168. [Google Scholar]
- Chrysikopoulos, C.V.; Kitanidis, P.K.; Roberts, P.V. Analysis of one-dimensional solute transport through porous-media with spatially-variable retardation factor. Water Resour. Res. 1990, 26, 437–446. [Google Scholar] [CrossRef]
- Chrysikopoulos, C.V.; Kitanidis, P.K.; Roberts, P.V. Macrodispersion of sorbing solutes in heterogeneous porous formations with spatially periodic retardation factor and velocity-field. Water Resour. Res. 1992, 28, 1517–1529. [Google Scholar] [CrossRef]
- Chrysikopoulos, C.V.; Kitanidis, P.K.; Roberts, P.V. Generalized taylor-aris moment analysis of the transport of sorbing solutes through porous-media with spatially periodic retardation factor. Transp. Porous Media 1992, 7, 163–185. [Google Scholar] [CrossRef]
- Cheng, J.; Ye, Q.; Lu, Z.; Zhang, J.; Zeng, L.; Parikh, S.J.; Ma, W.; Tang, C.; Xu, J.; He, Y. Quantification of the sorption of organic pollutants to minerals via an improved mathematical model accounting for associations between minerals and soil organic matter. Environ. Pollut. 2021, 280, 116991. [Google Scholar] [CrossRef] [PubMed]
- Wang, W.; Zhang, X.; Zhang, Y.H.; Mi, X.; Wang, R.; Shi, H.L.; Li, C.L.; Du, Z.W.; Qiao, Y.M. Adsorption of emerging sodium p-perfluorous nonenoxybenzene sulfonate (OBS) onto soils: Kinetics, isotherms and mechanisms. Pedosphere 2021, 31, 596–605. [Google Scholar] [CrossRef]
- Liu, Y.J.; Qi, F.J.; Fang, C.; Naidu, R.; Duan, L.C.; Dharmarajan, R.; Annamalai, P. The effects of soil properties and co-contaminants on sorption of perfluorooctane sulfonate (PFOS) in contrasting soils. Environ. Technol. Innov. 2020, 19. [Google Scholar] [CrossRef]
- Foo, K.Y.; Hameed, B.H. Insights into the modeling of adsorption isotherm systems. Biochem. Eng. J. 2010, 156, 2–10. [Google Scholar] [CrossRef]
- Maamoun, I.; Eljamal, R.; Falyouna, O.; Bensaida, K.; Sugihara, Y.; Eljamal, O. Insights into kinetics, isotherms and thermodynamics of phosphorus sorption onto nanoscale zero-valent iron. J. Mol. Liq. 2021, 328. [Google Scholar] [CrossRef]
- Vilcaez, J. Reactive transport modeling of produced water disposal into dolomite saline aquifers: Controls of barium transport. J. Contam. Hydrol. 2020, 233. [Google Scholar] [CrossRef]
- Gharoon, N.; Pagilla, K.R. Critical review of effluent dissolved organic nitrogen removal by soil/aquifer-based treatment systems. Chemosphere 2021, 269. [Google Scholar] [CrossRef]
- Wang, Y.; Khan, N.; Huang, D.; Carroll, K.C.; Brusseau, M.L. Transport of PFOS in aquifer sediment: Transport behavior and a distributed-sorption model. Sci. Total Environ. 2021, 779, 146444. [Google Scholar] [CrossRef] [PubMed]
- Banzhaf, S.; Hebig, K.H. Use of column experiments to investigate the fate of organic micropollutants—A review. Hydrol. Earth Syst. Sci. 2016, 20, 3719–3737. [Google Scholar] [CrossRef]
- Chung, S.G.; Kim, D.J.; Choi, J.W.; Lee, S.H. Processes Aaffecting Fate of Toluene During Transport Through Quartz Sand. Environ. Prog. Sustain. Energy 2012, 31, 318–324. [Google Scholar] [CrossRef]
- Kim, S.B.; Kim, D.J.; Yun, S.T. Attenuation of aqueous benzene in soils under saturated flow conditions. Environ. Technol. 2006, 27, 33–40. [Google Scholar] [CrossRef]
- Kim, D.J.; Choi, N.C.; Kim, S.B. Quantification of irreversible benzene sorption in sandy materials. Hydrol. Processes 2004, 18, 3229–3234. [Google Scholar] [CrossRef]
- Chrysikopoulos, C.V.; Lee, K.Y.; Harmon, T.C. Dissolution of a well-defined trichloroethylene pool in saturated porous media: Experimental design and aquifer characterization. Water Resour. Res. 2000, 36, 1687–1696. [Google Scholar] [CrossRef]
- Lee, K.Y.; Chrysikopoulos, C.V. Dissolution of a well-defined trichloroethylene pool in saturated porous media: Experimental results and model simulations. Water Res. 2002, 36, 3911–3918. [Google Scholar] [CrossRef]
- Lee, K.Y.; Chrysikopoulos, C.V. Dissolution of a multicomponent DNAPL pool in an experimental aquifer. J. Hazard. Mater. 2006, 128, 218–226. [Google Scholar] [CrossRef]
- Mackay, D.M.; Roberts, P.V.; Cherry, J.A. Transport of organic contaminants in groundwater. Environ. Sci. Technol. 1985, 19, 384–392. [Google Scholar] [CrossRef] [PubMed]
- Spurlock, F.C.; Huang, K.; Vangenuchten, M.T. Isotherm nonlinearity and nonequilibrium sorption effects on transport of fenuron and monuron in soil columns. Environ. Sci. Technol. 1995, 29, 1000–1007. [Google Scholar] [CrossRef] [PubMed]
- Hu, M.Q.; Brusseau, M.L. Coupled effects of nonlinear, rate-limited sorption and biodegradation on transport of 2.4-dichlorophenoxyacetic acid in soil. Environ. Toxicol. Chem. 1998, 17, 1673–1680. [Google Scholar] [CrossRef]
- Lee, S.-G.; Kim, M.-H.; Kim, D.-J.; Lee, Y.-J. Fate and transport of zinc in a sand tank model: Monitoring of 2-D plume using TDR method. Environ. Earth Sci. 2013, 72, 1–9. [Google Scholar] [CrossRef]
- Freyberg, D.L. A natural gradient experiment on solute transport in a sand aquifer: 2. spatial moments and the advection and dispersion of nonreactive tracers. Water Resour. Res. 1986, 22, 2031–2046. [Google Scholar] [CrossRef]
- McDonald, M.G.; Harbaugh, A.W. A Modular Three-Dimensional Finite-Difference Ground-Water Flow Model; U.S. Geological Survey, Techniques of Water-Resources Investigations: Denver, Colorado, 1988; Volume Book 6. [Google Scholar]
- Choi, J.W.; Ha, H.C.; Kim, S.B.; Kim, D.J. Analysis of benzene transport in a two-dimensional aquifer model. Hydrol. Processes 2005, 19, 2481–2489. [Google Scholar] [CrossRef]
- Zheng, C.; Wang, P.P. MT3DMS: A Modular Three-Dimensional Multispecies Transport Model for Simulation of Advection, Dispersion, and Chemical Reactions of Contaminants in Groundwater Systems; Documentation and User’s Guide; University of Alabama: Tuscaloosa, AL, USA, 1999. [Google Scholar]
- Kang, S.Y.; Lee, S.G.; Kim, D.J.; Shin, J.; Kim, J.; Lee, S.; Choi, J.W. Comparison of optimization algorithms for modeling of Haldane-type growth kinetics during phenol and benzene degradation. Biochem. Eng. J. 2016, 106, 118–124. [Google Scholar] [CrossRef]
- Barry, D.A.; Prommer, H.; Miller, C.T.; Engesgaard, P.; Brun, A.; Zheng, C. Modelling the fate of oxidisable organic contaminants in groundwater. Adv. Water Resour. 2002, 25, 945–983. [Google Scholar] [CrossRef]
- Rao, B.H.; Swaminathan, R.; Asolekar, S.R. Washing of marine coastal sand in a batch reactor: Sorption and desorption of BTEX. J. Air Waste Manag. Assoc. 2001, 51, 1043–1059. [Google Scholar] [CrossRef][Green Version]
- Vasudevan, M.; Kumar, G.S.; Nambi, I.M. Numerical study on kinetic/equilibrium behaviour of dissolution of toluene under variable subsurface conditions. Eur. J. Environ. Civ. Eng. 2014, 18, 1070–1093. [Google Scholar] [CrossRef]
- Jean, J.S.; Tsai, C.L.; Ju, S.H.; Tsao, C.W.; Wang, S.M. Biodegradation and transport of benzene, toluene, and xylenes in a simulated aquifer: Comparison of modelled and experimental results. Hydrol. Processes 2002, 16, 3151–3168. [Google Scholar] [CrossRef]
- Delle Site, A. Factors affecting sorption of organic compounds in natural sorbent/water systems and sorption coefficients for selected pollutants. A review. J. Phys. Chem. Ref. Data 2001, 30, 187–439. [Google Scholar] [CrossRef]
- Ball, W.P.; Roberts, P.V. Long-term sorption of halogenated organic chemicals by aquifer material. 1. Equilibrium. Environ. Sci. Technol. 1991, 25, 1223–1237. [Google Scholar] [CrossRef]
- Lagas, P. Sorption of chlorophenols in the soil. Chemosphere 1988, 17, 205–216. [Google Scholar] [CrossRef]
- Mackay, D.M.; Freyberg, D.; Roberts, P.; Cherry, J. A natural gradient experiment on solute transport in a sand aquifer: 1. Approach and overview of plume movement. Water Resour. Res. 1986, 22, 2017–2029. [Google Scholar] [CrossRef]








| Parameter | Value | Source |
|---|---|---|
| Inflow: constant head | 7 cm | This study |
| Outflow: recharge source, W | 22.68 cm3/h | This study |
| Hydraulic conductivity, Kxx, Kyy, Kzz | 96.6 cm/h | [39] |
| Porosity of porous material, n | 0.35 | This study |
| Bulk density of porous material, ρs | 1.57 g/cm3 | This study |
| Irreversible kirr (1/h) | Linear Kd (cm3/mg) | Freundlich Kf (cm3/mg) | a (-) | Langmuir Kl (cm3/mg) | b (mg/mg) | |
|---|---|---|---|---|---|---|
| Boundary | (1.0 × 10−5, 1) | (1.0 × 10−9, 1) | (1.0 × 10−6, 1.0 × 10−3) | (1.0 × 10−9, 1) | (1, 1.0 × 104) | (1.0 × 10−5, 1) |
| Ratio 1 | 10 | 10 | 10 | 10 | 10 | 10 |
| Boundary | (0.001, 0.2) | (1.0 × 10−8, 1.0 × 10−3) | (1.0 × 10−5, 2.0 × 10−4) | (0.001, 0.1) | (2300,2500) | (5.7 × 10−4, 5.9 × 10−4) |
| Interval | 0.01 | 0.0001 | 0.0001 | 0.01 | 2400 | 0.00058 |
| Cases | KCl (mg/L) | Toluene (mg/L) | Mass Center (x,y) | Velocity (cm/h) | Mass Recovery (%) | Remark |
|---|---|---|---|---|---|---|
| K0 | 150 | - | (11, 15) | - | - | Obs. at 0 h |
| K24 | 150 | - | (37.65, 14.72) | 1.069 | 100.4 | Obs. at 24 h |
| T24 | - | 200 | (37.25, 14.35) | 1.052 | 60.2 | Obs. at 24 h |
| K0m | 150 | - | (11.81, 15.05) | - | - | Model at 0 h |
| K24m | 150 | - | (37.65, 14.72) | 1.047 | 100 | Model at 24 h |
| Model | Parameter | SSE | R2 | Mass Recovery (%) | |||||
|---|---|---|---|---|---|---|---|---|---|
| kirr (1/h) | Kd (cm3/mg) | kf (cm3/mg) a | a (-) | kl (cm3/mg) | b (mg/mg) | ||||
| Kinetic-irr | 1.5 × 10−2 | - | - | - | - | - | 1.50 × 104 | 0.82 | 69.86 |
| Linear | - | 1.0 × 10−8 | - | - | - | - | 3.33 × 104 | 0.60 | 99.99 |
| Freundlich | - | - | 7.76 × 10−4 | 9.1 × 10−4 | - | - | 2.25 × 104 | 0.73 | 73.73 |
| Langmuir | - | - | - | - | 2.48 × 103 | 5.72 × 10−4 | 1.20 × 104 | 0.86 | 66.64 |
Publisher’s Note: MDPI stays neutral with regard to jurisdictional claims in published maps and institutional affiliations. |
© 2021 by the authors. Licensee MDPI, Basel, Switzerland. This article is an open access article distributed under the terms and conditions of the Creative Commons Attribution (CC BY) license (https://creativecommons.org/licenses/by/4.0/).
Share and Cite
Lee, S.-G.; Lee, S.; Choi, J.-W. Nonlinear Sorption of Organic Contaminant during Two-Dimensional Transport in Saturated Sand. Water 2021, 13, 1557. https://doi.org/10.3390/w13111557
Lee S-G, Lee S, Choi J-W. Nonlinear Sorption of Organic Contaminant during Two-Dimensional Transport in Saturated Sand. Water. 2021; 13(11):1557. https://doi.org/10.3390/w13111557
Chicago/Turabian StyleLee, Sang-Gil, Soonjae Lee, and Jae-Woo Choi. 2021. "Nonlinear Sorption of Organic Contaminant during Two-Dimensional Transport in Saturated Sand" Water 13, no. 11: 1557. https://doi.org/10.3390/w13111557
APA StyleLee, S.-G., Lee, S., & Choi, J.-W. (2021). Nonlinear Sorption of Organic Contaminant during Two-Dimensional Transport in Saturated Sand. Water, 13(11), 1557. https://doi.org/10.3390/w13111557

