Indicative Lake Water Quality Assessment Using Remote Sensing Images-Effect of COVID-19 Lockdown
Abstract
1. Introduction
2. Data and Methods
2.1. Satellite Data
2.2. Remote Sensing and Spectral Bands
2.3. Spectral Analysis of Water Quality Parameters
- Chlorophyll pigment in vegetation allows them to create energy by photosynthesis. One of its forms is Chlorophyll-a (Chl-a), which is found in all photosynthesis plants and algae. The presence of Chl-a is used to estimate the amount of suspended algae and the extent of eutrophication in water bodies. Higher water temperatures and longer daylight hours contribute to their growth. The major anthropogenic sources which enhance the Chl-a content in water are untreated sewage, agricultural runoff, and industrial wastes. The extent of damage due to eutrophication can be determined by evaluating Chl-a concentration using the spectral band in visible wavelengths. Chl-a absorbs radiation mainly in the blue (450–520 nm) band [17,20].
- Total suspended solids (TSS) are the inorganic materials comprising of salts and a small quantity of organic matter present in water. An undesirable amount of particulate matter in freshwater bodies increases turbidity, resulting in high nutrient load, and blocks light transmission at the surface, affecting the overall health of aquatic life. Major sources of solids in water bodies are (i) untreated industrial wastes and sewage, (ii) urban land runoff, (iii) agricultural runoff, (iv) bits of decaying vegetation, (v) atmospheric deposition, (vi) wind-driven resuspension, and (vii) phytoplankton (suspended algae). TSS is strongly related to water color or chromaticity, which increases with turbidity [57].
- Colored Dissolved Organic Matter (CDOM) is made up of various macromolecules of carbohydrates, fatty acids, humic substances, and other hydrocarbons, which are an essential source of carbon and energy for heterotrophic organisms living in the water. It indicates the amount of organic carbon resulting from aquatic and terrestrial vegetation (humus) decomposition and soil organic matter of the catchment area. The anthropogenic activities causing an increase in CDOM are untreated domestic sewage, runoff from agricultural land, and animal farms [55]. The presence of high CDOM concentration can also block light from entering the water column, thus reducing the phytoplankton productivity [58,59]. Studies have reported that CDOM absorbs radiation below the 500 nm wavelength [41,46,60]. The optimal concentration is useful in the absorption of UV radiation and hence protects the aquatic biota. However, the high concentration of CDOM is a threat to the functioning of the ecosystem. This compound gives the greenish-brown color to inland water bodies depending on their quantity.
2.4. Satellite Data Processing
2.4.1. Step 1—Conversion of DN to Spectral Radiance
2.4.2. Step 2—Atmospheric Correction
2.4.3. Step 3—Conversion of Radiometrically Corrected Radiance to SR
2.5. Forel–Ule Color Index (FUI)
Excitation Purity (S*)
3. Study Area
4. Results and Discussion
4.1. Before, during and after Lockdown
- ECDF (Figure 4a): The SR for April 2020 has increased when compared to January, March, and May 2020. This indicates that there is an improvement in the water quality in April (i.e., decreased Chl-a and CDOM (Section 2)). The SR values of before lockdown and after unlock are similar, indicating an increase in pollution after unlock. SR values for the month of April have the smallest range, unlike other months, which implies that the SR values are uniformly distributed over the lake.
- Q–Q analysis (Figure 4b): It is evident from the figure that there are considerable changes in the SR values for March–April when compared to the changes in other months. Further, the SR values clearly lie above the reference line because the reflectance has increased in April compared to March. It is to be noted that after unlock, the Q–Q plot for April-May indicates there is a decrease in SR values, i.e., a decrease in lake water quality. In addition, the January–March and April–May lines lie below the 45reference line, which shows that the reflectance has decreased in March and May due to an increase in Chl-a and CDOM levels in the before lockdown and after unlock months. The March–April line has a mild slope indicating that the standard deviation in April is less than that in March and May.
- FUI (Figure 4c): The maximum number of pixels (95%) have low FUI in month April 2020, when compared to the before lockdown and after unlock months, indicating there is a decrease in turbidity of the lake. This might be due to the decrease in TSS concentration [28] and an increase in SDD [31]. In case of unlock phase (May, 2020), the FUI index (50% of pixels) increases similar to the before lockdown phase (March, 2020). It is worth noting that in the month May due to the initial unlock effect, it shows 50% of the pixels with higher FUI (greater than 4), which is very similar to the pre-lockdown conditions. Further, in both before lockdown and unlock conditions the spatial FUI of the lake is similar. On the other hand, April 2020 shows the maximum number of pixels (95%) having a uniform water color with the least FUI (FU4).
4.2. Historical Variations (2015–2020)
- ECDF (Figure 5a): Except for April 2020, both March and April months show similar behavior in SR values for all the given years. For April 2020, B2 has a considerable increase in the SR values in comparison to the previous years. Furthermore, the range of B2 SR values is consistent for all pixels of the lake in April 2020 as discussed earlier.
- Q–Q plot (Figure 5b): The March–April Q–Q plot clearly shows that the inter-month (March–April) for the year 2020 lies above the reference line when compared to the previous years. This clearly implies an improvement in water quality in month April 2020 due to the lockdown. In the previous years, the mean reflectance is nearly the same (line parallel to reference line) or lower than March (line below reference line).
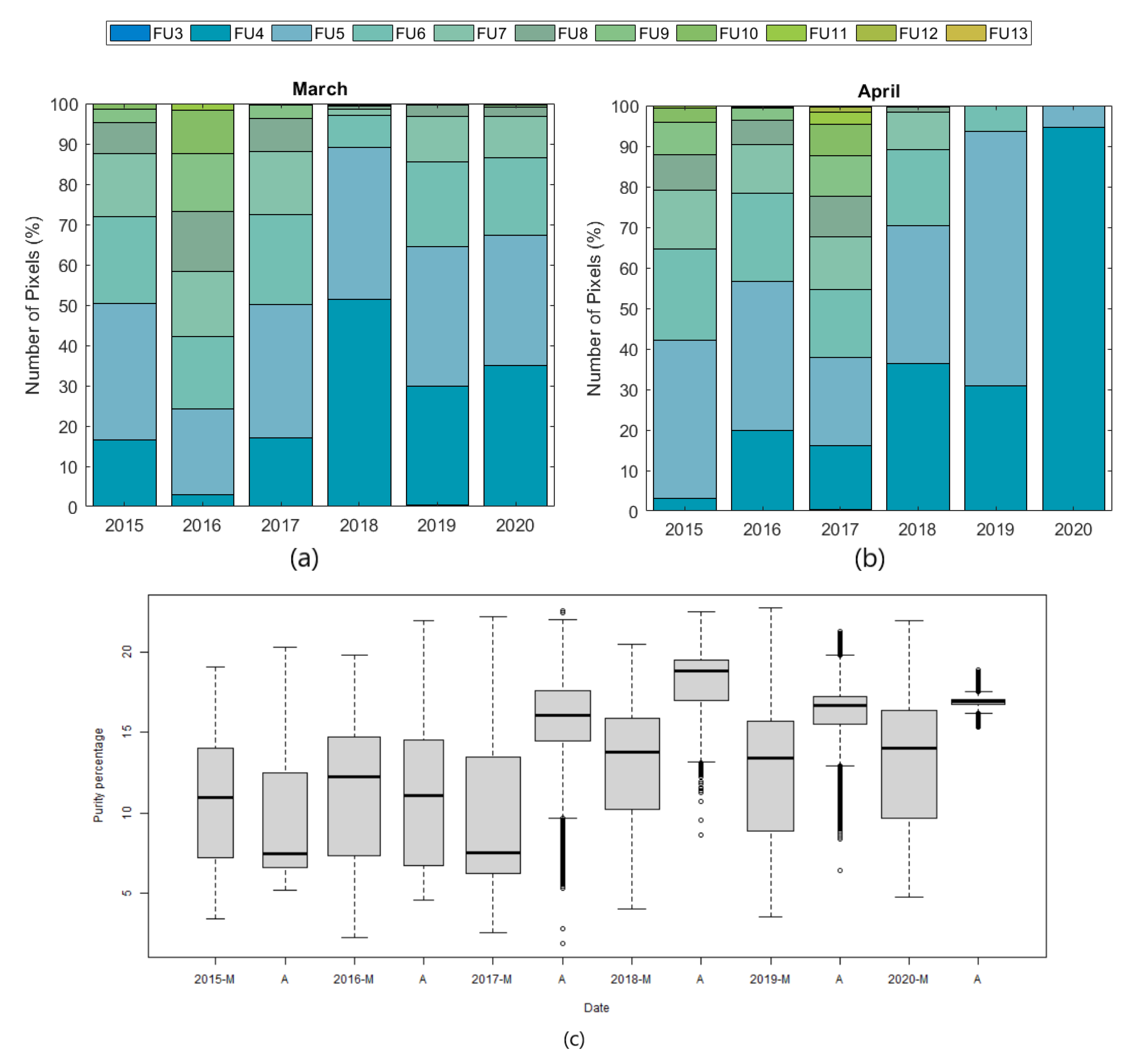
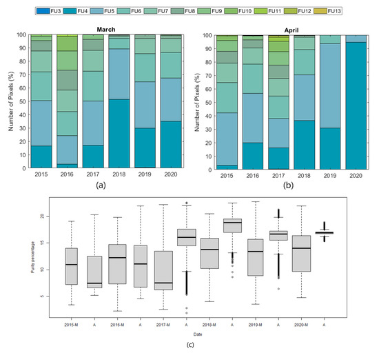
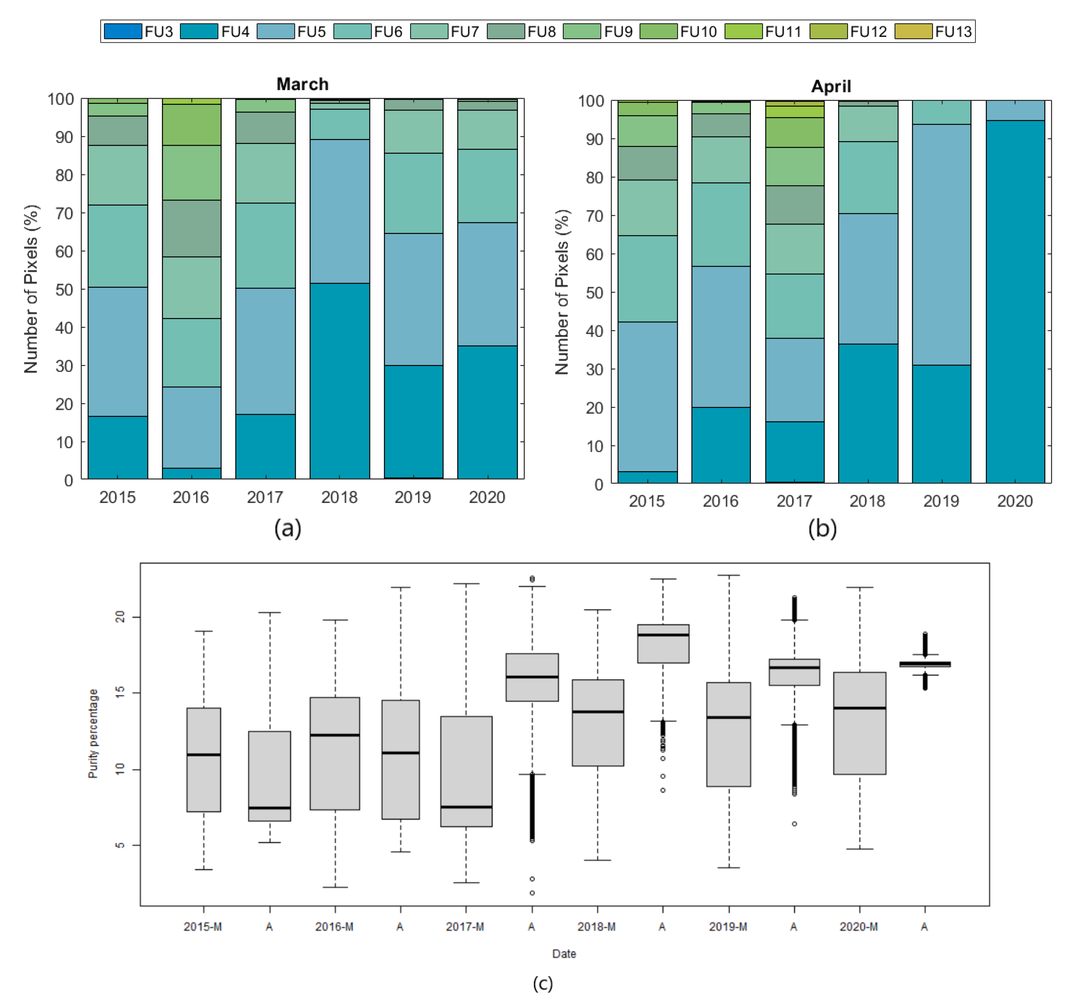
- FUI (Figure 6a): It is expected to have variations in the water colors throughout the lake HS due to its multiple effluent inlets, indicating nonuniform water color (FUI) throughout the lake area. This can be seen through the FUI variations in March and April months for all the given years. However, April 2020 shows a maximum number of pixels with a uniform color with the least FUI (FU4) compared to all the given years. This implies the improvement and uniformity in the watercolor over the maximum lake area. As no industrial effluents were discharged in the lake during the lockdown, the lake water quality has improved and the water color is uniform over the lake area.
- Excitation Purity (Figure 6b): This refers to qualitative measure of water color saturation. The box plot for purity percentage representing the spatial variations in water color saturation over the lake area. The figure indicates that in month April 2020, the purity percentage is found to be consistent throughout the lake area when compared to the other months and previous years. The effect of lockdown on excitation purity is clearly visible in April 2020 box plot.
4.3. Satellite Imagery: Effect of Atmospheric Correction
5. Summary and Conclusions
Major Limitations and Extension
- The comparison analysis is based on the SR (qualitative relationships with OAC) and FUI. The field observations will be required to quantify the actual concentration levels and changes in the lake water quality. However, in the absence of these values, it is envisaged that the indicative analysis of remote sensing images are useful for stakeholders and decision-makers.
- The study is restricted to only three water quality parameters: Optically Active Constituents (OAC) Chl-a, CDOM, and TSS. However, there are other important parameters such as pH, DO, BOD, and COD which need to be evaluated for effective water quality management. There are limited studies that are successful in relating the SR values to non-OAC parameters and hence unable to provide any assessment on these parameters. This indicates that for effective management of water quality of large lakes, both remote sensing and continuous field-based monitoring is essential. This can help generate a large dataset for developing spatio-temporal empirical relationship for the water quality parameters.
- In this study, Landsat 8–30 m resolution data are used. The high-resolution data can provide greater insights into the variations of the lake SR and FUI values. Moreover, the higher resolution images can help in investigating the water quality variations of smaller water bodies, including rivers.
- The study is restricted to the B2 (blue) band and its empirical relationship with pollutants Chl-a, CDOM, and TSS. However, there are other important bands and band ratios such as B3/B2, B5/B4, B2/B4, and NDVI, which can be used in developing empirical relations [48,68]. Further, it is observed that there is a limited consistency among these ratios and water quality parameters when compared to B2 band. The study is in progress to understand these ratios over various scenarios, as discussed in point 5.
- The study is in progress to develop a similar analysis for several large water bodies across the globe to understand the variations of SR and FUI over different scenarios such as urban vs. non-urban, developed vs. developing countries, various climate scenarios (humid vs. arid vs. cold), and coastal vs. inland lakes. In addition, the monitoring of these lakes will be continued during the subsequent lockdown periods in India. Efforts are being made to collect the ground truth values for these lakes.
Author Contributions
Funding
Institutional Review Board Statement
Informed Consent Statement
Data Availability Statement
Acknowledgments
Conflicts of Interest
Abbreviations
| RS | Remote Sensing |
| SR | Spectral Reflectance |
| FUI | Forel–Ule Color Index |
| WP | White Point |
| HS | Lake Hussain Sagar |
| ECDF | Empirical Cumulative Distribution Functions |
| Q–Q | Quantile–Quantile |
References
- Arora, S.; Bhaukhandi, K.; Mishra, P. Coronavirus lockdown helped the environment to bounce back. Sci. Total. Environ. 2020, 742. [Google Scholar] [CrossRef] [PubMed]
- Braga, F.; Scarpa, G.M.; Brando, V.E.; Manfè, G.; Zaggia, L. COVID-19 lockdown measures reveal human impact on water transparency in the Venice Lagoon. Sci. Total. Environ. 2020, 736, 139612. [Google Scholar] [CrossRef] [PubMed]
- Hallema, D.; Robinne, F.; McNulty, S. Pandemic spotlight on urban water quality. Ecol. Process 2020, 9. [Google Scholar] [CrossRef] [PubMed]
- Yunus, A.P.; Masago, Y.; Hijioka, Y. COVID-19 and surface water quality: Improved lake water quality during the lockdown. Sci. Total. Environ. 2020, 731, 139012. [Google Scholar] [CrossRef] [PubMed]
- Chakraborty, I.; Maity, P. COVID-19 outbreak: Migration, effects on society, global environment and prevention. Sci. Total. Environ. 2020, 728, 138882. [Google Scholar] [CrossRef]
- Amrutha, K.; Warrier, A. The first report on the source-to-sink characterization of microplastic pollution from a riverine environment in tropical India. Sci. Total. Environ. 2020, 739, 140377. [Google Scholar] [CrossRef]
- Bhardwaj, S.; Soni, R.; Gupta, S.; Shukla, D.P. Mercury, arsenic, lead and cadmium in waters of the Singrauli coal mining and power plants industrial zone, Central East India. Environ. Monit. Assess. 2020, 192, 251. [Google Scholar] [CrossRef] [PubMed]
- Duttagupta, S.; Mukherjee, A.; Bhattacharya, A.; Bhattacharya, J. Wide exposure of persistent organic pollutants (PoPs) in natural waters and sediments of the densely populated Western Bengal basin, India. Sci. Total. Environ. 2020, 717, 137187. [Google Scholar] [CrossRef] [PubMed]
- Mishra, D.R.; Kumar, A.; Muduli, P.R.; Equeenuddin, S.M.; Rastogi, G.; Acharyya, T.; Swain, D. Decline in Phytoplankton Biomass along Indian Coastal Waters due to COVID-19 Lockdown. Remote. Sens. 2020, 12, 2584. [Google Scholar] [CrossRef]
- Aman, M.A.; Salman, M.S.; Yunus, A.P. Some respite for India’s dirtiest river? Examining the Yamuna’s water quality at Delhi during the COVID-19 lockdown period. Sci. Total. Environ. 2020, 20, 100382. [Google Scholar] [CrossRef]
- Chawla, I.; Karthikeyan, L.; Mishra, A.K. A Review of Remote Sensing Applications for Water Security: Quantity, Quality, and Extremes. J. Hydrol. 2020, 585, 124826. [Google Scholar] [CrossRef]
- Mokarram, M.; Saber, A.; Sheykh, V. Effects of heavy metal contamination on river water quality due to the release of industrial effluents. J. Clean. Prod. 2020. [Google Scholar] [CrossRef]
- Glaser, C.; Zarfl, C.; Werneburg, M.; Böckmann, M.; Zwiener, C.; Schwientek, M. Temporal and spatial variable in-stream attenuation of selected pharmaceuticals. Sci. Total. Environ. 2020, 741, 139514. [Google Scholar] [CrossRef] [PubMed]
- Ollivier, P.; Engevin, J.; Bristeau, S.; Mouvet, C. Laboratory study on the mobility of chlordecone and seven of its transformation products formed by chemical reduction in nitisol lysimeters of a banana plantation in Martinique (French Caribbean). Sci. Total. Environ. 2020, 743, 140757. [Google Scholar] [CrossRef]
- Zereg, S.; Boudoukha, A.; Benaabidate, L. Impacts of natural conditions and anthropogenic activities on groundwater quality in Tebessa plain, Algeria. Sustain. Environ. Res. 2018, 28(6), 340–349. [Google Scholar] [CrossRef]
- Korostynska, O.; Mason, A.; Al-Shamma’a, A. Monitoring Pollutants in Wastewater: Traditional Lab Based versus Modern Real-Time Approaches. In Smart Sensors for Real-Time Water Quality Monitoring, Smart Sensors, Measurement and Instrumentation; Springer: Berlin/Heidelberg, Germany, 2013; Volume 4. [Google Scholar]
- Gholizadeh, M.H.; Melesse, A.M.; Reddi, L. A Comprehensive Review on Water Quality Parameters Estimation Using Remote Sensing Techniques. Sensors 2016, 16, 1298. [Google Scholar] [CrossRef]
- Franch-Pardo, I.; Napoletano, B.M.; Rosete-Verges, F.; Billa, L. Spatial analysis and GIS in the study of COVID-19. A review. Sci. Total. Environ. 2020, 739, 140033. [Google Scholar] [CrossRef]
- Muhammad, S.; Long, X.; Salman, M. COVID-19 pandemic and environmental pollution: A blessing in disguise? Sci. Total. Environ. 2020, 728, 138820. [Google Scholar] [CrossRef]
- Song, K.; Wang, Z.; Blackwell, J.; Zhang, B.; Li, F.; Zhang, Y.; Jianga, G. Water quality monitoring using Landsat Themate Mapper data with empirical algorithms in Chagan Lake, China. J. Appl. Remote. Sens. 2011, 5, 53506. [Google Scholar] [CrossRef]
- Hafeez, S.; Wong, M.S.; Abbas, S.; Kwok, C.Y.T.; Nichol, J.; Lee, K.H.; Tang, D.; Pun, L. Detection and Monitoring of Marine Pollution Using Remote Sensing Technologies. In Monitoring of Marine Pollution, Houma Bachari Fouzia; InTech Open: Rijeka, Croatia, 2018. [Google Scholar]
- Sheffield, Z.; Wood, E.; Pan, M.; Beck, H.; Coccia, G.; Serrat-Capdevila, A.; Verbist, K. Satellite Remote Sensing for Water Resources Management: Potential for Supporting Sustainable Development in Data-Poor Regions. Water Resour. Res. 2018, 54, 9724–9758. [Google Scholar] [CrossRef]
- Niroumand-Jadidi, M.; Bovolo, F.; Bruzzone, L. Novel Spectra-Derived Features for Empirical Retrieval of Water Quality Parameters: Demonstrations for OLI, MSI, and OLCI Sensors. IEEE Trans. Geosci. Remote. Sens. 2019, 57, 10285–10300. [Google Scholar] [CrossRef]
- Lehmann, M.K.; Nguyen, U.; Allan, M.; van der Woerd, H.J. Colour Classification of 1486 Lakes across a Wide Range of Optical Water Types. Remote. Sens. 2018, 10, 1273. [Google Scholar] [CrossRef]
- Zhao, Y.; Shen, Q.; Wang, Q.; Yang, F.; Wang, S.; Li, J.; Zhang, F.; Yao, Y. Recognition of Water Colour Anomaly by Using Hue Angle and Sentinel 2 Image. Remote. Sens. 2020, 12, 716. [Google Scholar] [CrossRef]
- Wernand, M.R.; van der Woerd, H.J.; Gieskes, W.W.C. Trends in Ocean Colour and Chlorophyll Concentration from 1889 to 2000, Worldwide. PLoS ONE 2013, 8, e63766. [Google Scholar] [CrossRef]
- Van der Woerd, H.J.; Wernand, M.R. True Colour Classification of Natural Waters with Medium-Spectral Resolution Satellites: SeaWiFS, MODIS, MERIS and OLCI. Sensors 2015, 15, 25663–25680. [Google Scholar] [CrossRef]
- Garaba, S.P.; Friedrichs, A.; Voß, D.; Zielinski, O. Classifying Natural Waters with the Forel-Ule Colour Index System: Results, Applications, Correlations and Crowdsourcing. Int. J. Environ. Res. Public Health 2015, 12, 16096–16109. [Google Scholar] [CrossRef]
- Li, J.; Wang, S.; Wu, Y.; Zhang, B.; Chen, X.; Zhang, F.; Shen, Q.; Peng, D.; Tian, L. MODIS observations of water color of the largest 10 lakes in China between 2000 and 2012. Int. J. Digit. Earth 2016, 9, 788–805. [Google Scholar] [CrossRef]
- van der Woerd, H.J.; Wernand, M.R. Hue-Angle Product for Low to Medium Spatial Resolution Optical Satellite Sensors. Remote. Sens. 2018, 10, 180. [Google Scholar] [CrossRef]
- Pitarch, J.; van der Woerd, H.J.; Brewin, R.J.; Zielinski, O. Optical properties of Forel-Ule water types deduced from 15 years of global satellite ocean color observations. Remote. Sens. Environ. 2019, 231, 111249. [Google Scholar] [CrossRef]
- Cao, P.; Zhu, Y.; Zhao, W.; Liu, S.; Gao, H. Chromaticity Measurement Based on the Image Method and Its Application in Water Quality Detection. Water 2019, 11, 2339. [Google Scholar] [CrossRef]
- Wang, S.; Li, J.; Zhang, B.; Lee, Z.; Spyrakos, E.; Feng, L.; Liu, C.; Zhao, H.; Wu, Y.; Zhu, L.; et al. Changes of water clarity in large lakes and reservoirs across China observed from long-term MODIS. Remote. Sens. Environ. 2020, 247, 111949. [Google Scholar] [CrossRef]
- Forel, F.A. Le Léman, Monographie Limnologique II; Librairie de l’Université: Lausanne, Switzerland, 1895. [Google Scholar]
- Ule, W. Beitrag zur Instrumentenkunde auf dem Gebiete der Seenforschung. Dr. A. Petermanns Mitth. Aus Justus Perthes Geogr. Anst. 1894, 40, 212–214. [Google Scholar]
- Erdogan, T. How to Calculate Luminosity, Dominant Wavelength, and Excitation Purity; Semrock Whitepaper Series; IDEX: Westbrook, ME, USA, 2002. [Google Scholar]
- Elaji, A.; Ji, W. Urban Runoff Simulation: How Do Land Use/Cover Change Patterning and Geospatial Data Quality Impact Model Outcome? Water 2020, 12, 2715. [Google Scholar] [CrossRef]
- USGS. Earth Explorer U.S. Geological Survey-Landsat 8 Operational Land Imager (OLI) Imagery. Available online: https://earthexplorer.usgs.gov/ (accessed on 20 November 2020).
- Wagh, P.; Babu, S.J.; Sojan, J.M.; Srivastav, R. Water Quality Analysis During COVID-19 Lockdown-Remote Sensing Data for Lake Hussain Sagar, India. Mendeley Data 2020, V1. [Google Scholar] [CrossRef]
- Brezonik, P.; Menken, K.D.; Bauer, M. Landsat-based Remote Sensing of Lake Water Quality Characteristics, Including Chlorophyll and Colored Dissolved Organic Matter (CDOM). Lake Reserv. Manag. 2005, 21, 373–382. [Google Scholar] [CrossRef]
- Matthews, M.W. A current review of empirical procedures of remote sensing in inland and near-coastal transitional waters. J. Remote. Sens. 2011, 32, 6855–6899. [Google Scholar] [CrossRef]
- Volpe, V.; Silvestri, S.; Marani, M. Remote sensing retrieval of suspended sediment concentration in shallow waters. Remote. Sens. Environ. 2011, 115, 44–54. [Google Scholar] [CrossRef]
- Miao, S.; Li, Y.; Wu, Z.; Lyu, H.; Li, Y.; Bi, S.; Xu, J.; Lei, S.; Mu, M.; Wang, Q. A semianalytical algorithm for mapping proportion of cyanobacterial biomass in eutrophic inland lakes based on OLCI data. IEEE Trans. Geosci. Remote. Sens. 2020, 58, 5148–5161. [Google Scholar] [CrossRef]
- Tyler, A.N.; Svab, E.; Preston, T.; Présing, M.; Kovács, W.A. Remote sensing of the water quality of shallow lakes: A mixture modelling approach to quantifying phytoplankton in water characterized by high-suspended sediment. Int. J. Remote. Sens. 2006, 27, 1521–1537. [Google Scholar] [CrossRef]
- Wang, X.; Fu, L.; He, C. Applying support vector regression to water quality modelling by remote sensing data. Int. J. Remote. Sens. 2011, 32, 8615–8627. [Google Scholar] [CrossRef]
- Chen, J.; Zhu, W.; Zheng, Y.; Tian, Y.Q.; Yu, Q. Monitoring seasonal variations of colored dissolved organic matter for the Saginaw River based on Landsat-8 data. Water Supply 2019, 19, 274–281. [Google Scholar] [CrossRef]
- George, D.G. The airborne remote sensing of phytoplankton chlorophyll in the lakes and tarns of the English Lake District. Int. J. Remote. Sens. 1997, 18, 1961–1975. [Google Scholar] [CrossRef]
- Markogianni, V.; Kalivas, D.; Petropoulos, G.P.; Dimitriou, E. An Appraisal of the Potential of Landsat 8 in Estimating Chlorophyll-a, Ammonium Concentrations and OtherWater Quality Indicators. Remote. Sens. 2018, 10, 1018. [Google Scholar] [CrossRef]
- Chen, J.; Zhu, W.; Tian, Y.Q.; Yu, Q. Monitoring dissolved organic carbon by combining Landsat-8 and Sentinel-2 satellites: Case study in Saginaw River estuary, Lake Huron. Sci. Total. Environ. 2020, 718, 137374. [Google Scholar] [CrossRef]
- Sagan, V.; Peterson, K.T.; Maimaitijiang, M.; Sidike, P.; Sloan, J.; Greeling, B.A.; Maalouf, S.; Adams, C. Monitoring inland water quality using remote sensing: Potential and limitations of spectral indices, bio-optical simulations, machine learning, and cloud computing. Earth Sci. Rev. 2020, 205, 103187. [Google Scholar] [CrossRef]
- Gitelson, A.; Szilagyi, F.; Miitenzwey, K. Improving quantitative remote sensing for monitoring of inland water quality. Wat. Res. 1993, 27, 1185–1194. [Google Scholar] [CrossRef]
- Pattiaratchi, C.; Lavery, P.; Wyllite, A.; Hick, P. Estimates of water quality in coastal waters using multi-date Landsat Thematic Mapper data. Int. J. Remote. Sens. 1994, 15, 1571–1584. [Google Scholar] [CrossRef]
- Alparslan, E.; Aydöner, C.; Tufekci, V.; Tüfekci, H. Water quality assessment at Ömerli Dam using remote sensing techniques. Environ. Monit. Assess 2007, 135, 391–398. [Google Scholar] [CrossRef]
- Dekker, A.G.; Vos, R.J.; Peters, S.W.M. Analytical algorithms for lake water TSM estimation for retrospective analyses of TM and SPOT sensor data. Int. J. Remote. Sens. 2002, 23, 15–35. [Google Scholar] [CrossRef]
- Slonecker, E.T.; Jones, D.K.; Pellerin, B.A. The new Landsat 8 potential for remote sensing of colored dissolved organic matter (CDOM). Mar. Pollut. Bull. 2016, 107, 518–527. [Google Scholar] [CrossRef]
- Dörnhöfer, K.; Oppelt, N. Remote sensing for lake research and monitoring—Recent advances. Ecol. Indic. 2016, 64, 105–122. [Google Scholar] [CrossRef]
- Yu, X.; Lee, Z.; Shen, F.; Wang, M.; Wei, J.; Jiang, L.; Shang, Z. An empirical algorithm to seamlessly retrieve the concentration of suspended particulate matter from water color across ocean to turbid river mouths. Remote. Sens. Environ. 2019, 235. [Google Scholar] [CrossRef]
- Bricaud, A.; Morel, A.; Prieur, L. Absorption by dissolved organic matter of the sea (yellow substance) in the UV and visible domains. Limnol. Oceanogr. 1981, 26, 43–53. [Google Scholar] [CrossRef]
- Joshi, I.; D’Sa, E. Seasonal Variation of Colored Dissolved Organic Matter in Barataria Bay, Louisiana, Using Combined Landsat and Field Data. Remote Sens. 2015, 7, 12478–12502. [Google Scholar] [CrossRef]
- Coble, P.G. Characterization of marine and terrestrial DOM in seawater using excitation-emission matrix spectroscopy. Mar. Chem. 1996, 51, 325–346. [Google Scholar] [CrossRef]
- USGS. Using the USGS Landsat Level-1 Data Product. 2013. Available online: https://www.usgs.gov/land-resources/nli/landsat/using-usgs-landsat-level-1-data-product (accessed on 25 July 2020).
- Chavez, J.P.S. An improved dark-object subtraction technique for atmospheric scattering correction of multispectral data. Remote. Sens. Environ. 1988, 24, 459–479. [Google Scholar] [CrossRef]
- Novoa, S.; Wernand, M.; van der Woerd, H.J. WACODI: A generic algorithm to derive the intrinsic color of natural waters from digital images. Limnol. Oceanogr. Methods 2015, 13. [Google Scholar] [CrossRef]
- Dutta, V.; Dubey, D.; Kumar, S. Cleaning the River Ganga: Impact of lockdown on water quality and future implications on river rejuvenation strategies. Sci. Total. Environ. 2020, 743. [Google Scholar] [CrossRef]
- Reddy, M.V.; Babu, K.S.; Balaram, V.; Satyanarayanan, M. Assessment of the effects of municipal sewage, immersed idols and boating on the heavy metal and other elemental pollution of surface water of the eutrophic Hussainsagar Lake (Hyderabad, India). Environ. Monit. Assess 2012, 184, 1991–2000. [Google Scholar] [CrossRef]
- Bi, S.; Li, Y.; Wang, Q.; Lyu, H.; Liu, G.; Zheng, Z.; Du, C.; Mu, M.; Xu, J.; Lei, S.; et al. Inland Water Atmospheric Correction Based on Turbidity Classification Using OLCI and SLSTR Synergistic Observations. Remote. Sens. 2018, 10, 1002. [Google Scholar] [CrossRef]
- Bartram, J.; Ballance, R. Water Quality Monitoring: A Practical Guide to the Design and Implementation of Freshwater Quality Studies and Monitoring Programmes; CRC Press: Boca Raton, FL, USA, 1996. [Google Scholar]
- Barrett, D.C.; Frazier, A.E. Automated Method for MonitoringWater Quality Using Landsat Imagery. Water 2016, 8, 257. [Google Scholar] [CrossRef]







| Sl. No. | Band | Region in EM Spectrum | Wavelength (nm) | Resolution (m) |
|---|---|---|---|---|
| 1 | Band 1 | Visible ( Coastal aerosol) | 430–450 | 30 |
| 2 | Band 2 | Visible (Blue) | 450–510 | 30 |
| 3 | Band 3 | Visible (Green) | 530–590 | 30 |
| 4 | Band 4 | Visible (Red) | 640–670 | 30 |
| 5 | Band 5 | Near-Infrared (NIR) | 850–880 | 30 |
| 6 | Band 6 | Short Wave-Infrared 1 (SWIR 1) | 1570–1650 | 30 |
| 7 | Band 7 | Short Wave-Infrared 2 (SWIR 2) | 2110–2290 | 30 |
| 8 | Band 8 | Panchromatic (PAN) | 500–680 | 15 |
| 9 | Band 9 | Cirrus | 1360–1380 | 30 |
| Spectral Band | Water Quality Parameters | Inference | References |
|---|---|---|---|
| Blue band | Chl-a | inversely proportional | [47,52,53] |
| CDOM | inversely proportional | [40,41,49,54,55,56] |
| i | If > , Then FUI = | i | If > , Then FUI = | |||
|---|---|---|---|---|---|---|
| 1 | 227.168 | 1 | 12 | 62.186 | 12 | |
| 2 | 220.977 | 2 | 13 | 56.435 | 13 | |
| 3 | 209.994 | 3 | 14 | 50.665 | 14 | |
| 4 | 190.779 | 4 | 15 | 45.129 | 15 | |
| 5 | 163.084 | 5 | 16 | 39.769 | 16 | |
| 6 | 132.999 | 6 | 17 | 34.906 | 17 | |
| 7 | 109.054 | 7 | 18 | 30.439 | 18 | |
| 8 | 94.037 | 8 | 19 | 26.337 | 19 | |
| 9 | 83.346 | 9 | 20 | 22.741 | 20 | |
| 10 | 74.572 | 10 | 21 | 21 | ||
| 11 | 67.572 | 11 |
| Sl. No. | Year | Date of Image Captured | Image ID | Remarks |
|---|---|---|---|---|
| 1 | 2020 | 2 May | LC08_L1TP_144048_20200502_20200509_01_T1 | Initial unlock |
| 2 | 16 April | LC08_L1TP_144048_20200416_20200423_01_T1 | During lockdown | |
| 3 | 15 March | LC08_L1TP_144048_20200315_20200325_01_T1 | Before lockdown | |
| 4 | 27 January | LC08_L1TP_144048_20200127_20200210_01_T1 | - | |
| 5 | 2019 | 14 April | LC08_L1TP_144048_20190414_20190422_01_T1 | - |
| 6 | 29 March | LC08_L1TP_144048_20190329_20190404_01_T1 | - | |
| 7 | 2018 | 27 April | LC08_L1TP_144048_20180427_20180502_01_T1 | - |
| 8 | 10 March | LC08_L1TP_144048_20180310_20180320_01_T1 | - | |
| 9 | 2017 | 24 April | LC08_L1TP_144048_20170424_20170502_01_T1 | - |
| 10 | 23 March | LC08_L1TP_144048_20170323_20170329_01_T1 | - | |
| 11 | 2016 | 21 April | LC08_L1TP_144048_20160421_20170326_01_T1 | - |
| 12 | 20 March | LC08_L1TP_144048_20160320_20170327_01_T1 | - | |
| 13 | 2015 | 19 April | LC08_L1TP_144048_20150419_20170409_01_T1 | - |
| 14 | 18 March | LC08_L1TP_144048_20150318_20170412_01_T1 | - |
Publisher’s Note: MDPI stays neutral with regard to jurisdictional claims in published maps and institutional affiliations. |
© 2020 by the authors. Licensee MDPI, Basel, Switzerland. This article is an open access article distributed under the terms and conditions of the Creative Commons Attribution (CC BY) license (http://creativecommons.org/licenses/by/4.0/).
Share and Cite
Wagh, P.; Sojan, J.M.; Babu, S.J.; Valsala, R.; Bhatia, S.; Srivastav, R. Indicative Lake Water Quality Assessment Using Remote Sensing Images-Effect of COVID-19 Lockdown. Water 2021, 13, 73. https://doi.org/10.3390/w13010073
Wagh P, Sojan JM, Babu SJ, Valsala R, Bhatia S, Srivastav R. Indicative Lake Water Quality Assessment Using Remote Sensing Images-Effect of COVID-19 Lockdown. Water. 2021; 13(1):73. https://doi.org/10.3390/w13010073
Chicago/Turabian StyleWagh, Poonam, Jency M. Sojan, Sriram J. Babu, Renu Valsala, Suman Bhatia, and Roshan Srivastav. 2021. "Indicative Lake Water Quality Assessment Using Remote Sensing Images-Effect of COVID-19 Lockdown" Water 13, no. 1: 73. https://doi.org/10.3390/w13010073
APA StyleWagh, P., Sojan, J. M., Babu, S. J., Valsala, R., Bhatia, S., & Srivastav, R. (2021). Indicative Lake Water Quality Assessment Using Remote Sensing Images-Effect of COVID-19 Lockdown. Water, 13(1), 73. https://doi.org/10.3390/w13010073

