Soil Management Effects on Soil Water Erosion and Runoff in Central Syria—A Comparative Evaluation of General Linear Model and Random Forest Regression
Abstract
1. Introduction
2. Materials and Methods
2.1. Study Area
2.2. Experimental Design and Sampling
2.3. Statistical Analysis
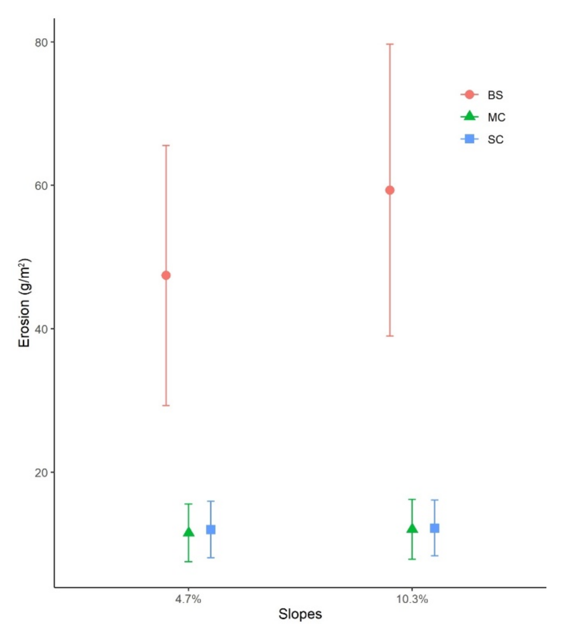
3. Results
3.1. Relationship of Soil Erosion with the Influencing Factors
3.2. Multivariate Statistical Modelling
4. Discussion
4.1. Influence of Soil Cover and Management on Soil Erosion and Runoff
4.2. Impact of Different Soil Management Techniques on Soil Erosion and Runoff
4.3. Performance of General Linear Model (GLM) and Random Forest Regression (RFR) in the Study Area
4.4. Importance of Different Variables in Soil Erosion
5. Conclusions
Author Contributions
Funding
Acknowledgments
Conflicts of Interest
References
- Tarolli, P.; Sofia, G. Human topographic signatures and derived geomorphic processes across landscapes. Geomorphology 2016, 255, 140–161. [Google Scholar] [CrossRef]
- Prosdocimi, M.; Jordán, A.; Tarolli, P.; Keesstra, S.D.; Novara, A.; Cerdà, A. The immediate effectiveness of barley straw mulch in reducing soil erodibility and surface runoff generation in Mediterranean vineyards. Sci. Total Environ. 2016, 547, 323–330. [Google Scholar] [CrossRef]
- Van Leeuwen, C.C.; Cammeraat, E.L.; De Vente, J.; Boix-Fayos, C. The evolution of soil conservation policies targeting land abandonment and soil erosion in Spain: A review. Land Use Policy 2019, 83, 174–186. [Google Scholar] [CrossRef]
- Chalise, D.; Kumar, L.; Kristiansen, P. Land Degradation by Soil Erosion in Nepal: A Review. Soil Syst. 2019, 3, 12. [Google Scholar] [CrossRef]
- Kertész, Á.; Křeček, J. Landscape degradation in the world and in Hungary. Hung. Geogr. Bull. 2019, 68, 201–221. [Google Scholar] [CrossRef]
- Vengosh, A. Salinization and Saline Environments. Treatise Geochem. 2003, 9, 1–35. [Google Scholar] [CrossRef]
- Jabbar, M.; Chen, X. Land degradation due to salinization in arid and semi-arid regions with the aid of geo-information techniques. Geo-Spat. Inf. Sci. 2008, 11, 112–120. [Google Scholar] [CrossRef]
- Novara, A.; Pisciotta, A.; Minacapilli, M.; Maltese, A.; Capodici, F.; Cerdà, A.; Gristina, L. The impact of soil erosion on soil fertility and vine vigor. A multidisciplinary approach based on field, laboratory and remote sensing approaches. Sci. Total Environ. 2018, 622, 474–480. [Google Scholar] [CrossRef]
- Yadav, S.K.; Soni, R. Integrated Soil Fertility Management. In Soil Fertility Management for Sustainable Development; Panpatte, D., Jhala, Y., Eds.; Springer: Singapore, 2019. [Google Scholar]
- Devatha, C.; Deshpande, V.; Renukaprasad, M. Estimation of Soil loss Using USLE Model for Kulhan Watershed, Chattisgarh- A Case Study. Aquat. Procedia 2015, 4, 1429–1436. [Google Scholar] [CrossRef]
- Goulding, K.W.T. Soil acidification and the importance of liming agricultural soils with particular reference to the United Kingdom. Soil Use Manag. 2016, 32, 390–399. [Google Scholar] [CrossRef]
- Rice, K.C.; Herman, J.S. Acidification of Earth: An assessment across mechanisms and scales. Appl. Geochem. 2012, 27, 1–14. [Google Scholar] [CrossRef]
- Vareda, J.P.; Valente, A.J.; Durães, L. Assessment of heavy metal pollution from anthropogenic activities and remediation strategies: A review. J. Environ. Manag. 2019, 246, 101–118. [Google Scholar] [CrossRef] [PubMed]
- Kazemi, H.; Klug, H.; Kamkar, B. New services and roles of biodiversity in modern agroecosystems: A review. Ecol. Indic. 2018, 93, 1126–1135. [Google Scholar] [CrossRef]
- Geisen, S.; Wall, D.H.; Van Der Putten, W.H. Challenges and Opportunities for Soil Biodiversity in the Anthropocene. Curr. Biol. 2019, 29, R1036–R1044. [Google Scholar] [CrossRef] [PubMed]
- Deák, B.; Valkó, O.; Nagy, D.D.; Török, P.; Torma, A.; Lőrinczi, G.; Kelemen, A.; Nagy, A.; Bede, Á.; Mizser, S.; et al. Habitat islands outside nature reserves—Threatened biodiversity hotspots of grassland specialist plant and arthropod species. Biol. Conserv. 2020, 241, 108254. [Google Scholar] [CrossRef]
- Keesstra, S.D.; Bouma, J.; Wallinga, J.; Tittonell, P.; Smith, P.; Cerdà, A.; Montanarella, L.; Quinton, J.N.; Pachepsky, Y.; Van Der Putten, W.H.; et al. The significance of soils and soil science towards realization of the United Nations Sustainable Development Goals. Soil 2016, 2, 111–128. [Google Scholar] [CrossRef]
- Keesstra, S.D.; Mol, G.; De Leeuw, J.; Okx, J.; Molenaar, A.C.; De Cleen, M.; Visser, S. Soil-Related Sustainable Development Goals: Four Concepts to Make Land Degradation Neutrality and Restoration Work. Land 2018, 7, 133. [Google Scholar] [CrossRef]
- Visser, S.; Keesstra, S.D.; Maas, G.; De Cleen, M.; Molenaar, A.C. Soil as a Basis to Create Enabling Conditions for Transitions Towards Sustainable Land Management as a Key to Achieve the SDGs by 2030. Sustainability 2019, 11, 6792. [Google Scholar] [CrossRef]
- Chalise, D.; Kumar, L.; Spalevic, V.; Skataric, G. Estimation of Sediment Yield and Maximum Outflow Using the IntErO Model in the Sarada River Basin of Nepal. Water 2019, 11, 952. [Google Scholar] [CrossRef]
- Blake, W.H.; Rabinovich, A.; Wynants, M.; Kelly, C.; Nasseri, M.; Ngondya, I.; Patrick, A.; Mtei, K.M.; Munishi, L.; Boeckx, P.; et al. Soil erosion in East Africa: An interdisciplinary approach to realising pastoral land management change. Environ. Res. Lett. 2018, 13, 124014. [Google Scholar] [CrossRef]
- Cerdan, O.; Govers, G.; Le Bissonnais, Y.; Van Oost, K.; Poesen, J.; Saby, N.; Gobin, A.; Vacca, A.; Quinton, J.N.; Auerswald, K.; et al. Rates and spatial variations of soil erosion in Europe: A study based on erosion plot data. Geomorphology 2010, 122, 167–177. [Google Scholar] [CrossRef]
- Panagos, P.; Borrelli, P.; Poesen, J.; Ballabio, C.; Lugato, E.; Meusburger, K.; Montanarella, L.; Alewell, C. The new assessment of soil loss by water erosion in Europe. Environ. Sci. Policy 2015, 54, 438–447. [Google Scholar] [CrossRef]
- Madarasz, B.; Jakab, G.; Tóth, A. Facing to real sustainability—Conservation agriculturalpractices around the world. Environ. Sci. Pollut. Res. 2017, 25, 975–976. [Google Scholar] [CrossRef] [PubMed]
- Rodrigo-Comino, J.; Neumann, M.; Remke, A.A.; Ries, J.B. Assessing environmental changes in abandoned German vineyards. Understanding key issues for restoration management plans. Hung. Geogr. Bull. 2018, 67, 319–332. [Google Scholar] [CrossRef]
- Le Roux, J.J.; Newby, T.S.; Sumner, P.D. Monitoring soil erosion in South Africa at a regional scale: Review and recommendations. S. Afr. J. Sci. 2007, 103, 329–335. [Google Scholar]
- Seutloali, K.E.; Dube, T.; Mutanga, O. Assessing and mapping the severity of soil erosion using the 30-m Landsat multispectral satellite data in the former South African homelands of Transkei. Phys. Chem. Earth Parts A/B/C 2017, 100, 296–304. [Google Scholar] [CrossRef]
- Sidle, R.C.; Ziegler, A.D.; Negishi, J.N.; Nik, A.R.; Siew, R.; Turkelboom, F. Erosion processes in steep terrain—Truths, myths, and uncertainties related to forest management in Southeast Asia. For. Ecol. Manag. 2006, 224, 199–225. [Google Scholar] [CrossRef]
- Teng, H.; Viscarra-Rossel, R.; Shi, Z.; Behrens, T.; Chappell, A.; Bui, E.N. Assimilating satellite imagery and visible–near infrared spectroscopy to model and map soil loss by water erosion in Australia. Environ. Model. Softw. 2016, 77, 156–167. [Google Scholar] [CrossRef]
- Nearing, M.A.; Xie, Y.; Liu, B.; Ye, Y. Natural and anthropogenic rates of soil erosion. Int. Soil Water Conserv. Res. 2017, 5, 77–84. [Google Scholar] [CrossRef]
- Jakab, G.; Nemeth, T.; Csepinszky, B.; Madarász, B.; Szalai, Z.; Kertész, Á. The influence of short-term soil sealing and crusting on hydrology and erosion at balaton uplands, Hungary. Carpathian J. Earth Environ. Sci. 2013, 8, 147–155. [Google Scholar]
- Centeri, C.; Jakab, G.I.; Barta, K.; Farsang, A.; Szabó, S.; Szalai, Z.; Bíró, Z. Dependence of soil erodibility factor on the measurements of soil particle size distribution. In Talajpusztulás Térben és Időben; MTA CSKF FI: Budapest, Hungary, 2014; pp. 47–53. [Google Scholar]
- Chen, H.; Zhang, X.; Abla, M.; Lu, D.; Yan, R.; Ren, Q.; Ren, Z.; Yang, Y.; Zhao, W.; Lin, P.; et al. Effects of vegetation and rainfall types on surface runoff and soil erosion on steep slopes on the Loess Plateau, China. Catena 2018, 170, 141–149. [Google Scholar] [CrossRef]
- Liu, Y.; Xin, Y.; Xie, Y.; Wang, W. Effects of slope and rainfall intensity on runoff and soil erosion from furrow diking under simulated rainfall. Catena 2019, 177, 92–100. [Google Scholar] [CrossRef]
- Prosdocimi, M.; Cerdà, A.; Tarolli, P. Soil water erosion on Mediterranean vineyards: A review. Catena 2016, 141, 1–21. [Google Scholar] [CrossRef]
- Corti, G.; Cavallo, E.; Cocco, S.; Biddoccu, M.; Brecciaroli, G.; Agnelli, A. Evaluation of Erosion Intensity and Some of Its Consequences in Vineyards from Two Hilly Environments under a Mediterranean Type of Climate, Italy. In Soil Erosion Issues in Agriculture; InTech: Rijeka, Croatia, 2011; pp. 113–160. [Google Scholar]
- Bhatt, R.; Khera, K.L. Effect of tillage and mode of straw mulch application on soil erosion in the submontaneous tract of Punjab, India. Soil Tillage Res. 2006, 88, 107–115. [Google Scholar] [CrossRef]
- Nouwakpo, S.; Weltz, M.A.; Green, C.H.; Arslan, A. Combining 3D data and traditional soil erosion assessment techniques to study the effect of a vegetation cover gradient on hillslope runoff and soil erosion in a semi-arid catchment. Catena 2018, 170, 129–140. [Google Scholar] [CrossRef]
- Zhou, P.; Luukkanen, O.; Tokola, T.; Nieminen, J. Effect of vegetation cover on soil erosion in a mountainous watershed. Catena 2008, 75, 319–325. [Google Scholar] [CrossRef]
- Zachar, D. Soil Erosion; Cowan, M., Ed.; Elsevier Scientific Pub. Co.: New York, NY, USA, 1982. [Google Scholar]
- Zingg, A.W. Degree and length of land slope as it affects soil loss in run-off. Agric. Eng. 1940, 21, 59–64. [Google Scholar]
- Renard, K.G.; Foster, G.R.; Weesies, G.A.; McCool, D.K.; Yoder, D.C. Predicting Soil Erosion by Water: A Guide to Conservation Planning with the Revised Universal Soil Loss Equation (RUSLE); Agriculture Handbook No. 703; USDA-ARS: Washington, DC, USA, 1997.
- Nearing, M.A.; Foster, G.R.; Lane, L.J.; Finkner, S.C. A Process-Based Soil Erosion Model for USDA-Water Erosion Prediction Project Technology. Trans. ASAE 1989, 32, 1587–1593. [Google Scholar] [CrossRef]
- Viney, N.R.; Sivapalan, M. A conceptual model of sediment transport: Application to the Avon River Basin in Western Australia. Hydrol. Process. 1999, 13, 727–743. [Google Scholar] [CrossRef]
- Centeri, C.; Barta, K.; Jakab, G.; Szalai, Z.; Bíró, Z. Comparison of EUROSEM, WEPP, and MEDRUSH model calculations with measured runoff and soil-loss data from rainfall simulations in Hungary. J. Plant Nutr. Soil Sci. 2009, 172, 789–797. [Google Scholar] [CrossRef]
- Schürz, C.; Mehdi, B.; Kiesel, J.; Schulz, K.; Herrnegger, M. A systematic assessment of uncertainties in large scale soil loss estimation from different representations of USLE input factors—A case study for Kenya and Uganda. Hydrol. Earth Syst. Sci. Discuss. 2019. in review. [Google Scholar] [CrossRef]
- Kinnell, P. Event soil loss, runoff and the Universal Soil Loss Equation family of models: A review. J. Hydrol. 2010, 385, 384–397. [Google Scholar] [CrossRef]
- Batista, P.V.; Davies, J.; Silva, M.L.; Quinton, J.N. On the evaluation of soil erosion models: Are we doing enough? Earth Sci. Rev. 2019, 197. [Google Scholar] [CrossRef]
- Masri, Z.; Van Donk, S.; Bruggeman, A.; Turkelboom, F. Post-harvest summer tillage to control wind erosion in the Khanasser Valley, Syria. Aeolian Res. 2015, 17, 219–229. [Google Scholar] [CrossRef]
- Mohammed, S.; Kbibo, I.; Alshihabi, O.; Mahfoud, E. Studying rainfall changes and water erosion of soil by using the WEPP model in Lattakia, Syria. J. Agric. Sci. 2016, 61, 375–386. [Google Scholar] [CrossRef]
- Safwan, M.; Alaa, K.; Omran, A.; Quoc, B.P.; Nguyen, T.T.L.; Van, N.T.; Duong, T.A.; Endre, H.; Mohammed, S.; Khallouf, A.; et al. Predicting soil erosion hazard in Lattakia Governorate (W Syria). Int. J. Sediment Res. 2020. [Google Scholar] [CrossRef]
- Mohammed, S.; Alsafadi, K.; Talukdar, S.; Kiwan, S.; Hennawi, S.; Alshiehabi, O.; Sharaf, M.; Harsanyie, E. Estimation of soil erosion risk in southern part of Syria by using RUSLE integrating geo informatics approach. Remote Sens. Appl. Soc. Environ. 2020, 20, 100375. [Google Scholar] [CrossRef]
- Kbibo, I.; Nasafi, I. Water erosion and impacts on the coastal area in the Syrian Arab Republic. Tishreen Univ. J. Stud. Sci. Res. 1997, 18, 59–76. (In Arabic) [Google Scholar]
- Kbibo, I.; Ibrahim, J.; Bou-Issa, A. Studying the Effect of Soil Erosion for Eight Different Systems with Different Slopes in the Coastal Area under Forests, Burned Forest and Planted Soil System. Tishreen Univ. J. Res. Sci. Stud. Biol. Sci. Ser. 2017, 39, 25–38. (In Arabic) [Google Scholar]
- Wischmeier, W.H.; Smith, D.D. Predicting Rainfall Erosion Losses: A Guide to Conservation Planning (No. 537); Science and Education Administration, U S Department of Agriculture: Washington, DC, USA, 1978. [Google Scholar]
- Field, A. Discovering Statistics Using IBM SPSS Statistics; SAGE Publications Inc.: London, UK, 2013. [Google Scholar]
- Lucà, F.; Buttafuoco, G.; Terranova, O. GIS and Soil. In Comprehensive Geographic Information Systems; Huang, B., Ed.; Elsevier: Oxford, UK, 2018; Volume 2, pp. 37–50. ISBN 9780128046609. [Google Scholar] [CrossRef]
- Breiman, L. Random forests. Mach. Learn. 2001, 45, 5–32. [Google Scholar] [CrossRef]
- Echeverry-Galvis, M.A.; Peterson, J.K.; Sulo-Caceres, R. The Social Nestwork: Tree Structure Determines Nest Placement in Kenyan Weaverbird Colonies. PLoS ONE 2014, 9, e88761. [Google Scholar] [CrossRef] [PubMed]
- Ishwaran, H.; Lu, M. Standard errors and confidence intervals for variable importance in random forest regression, classification, and survival. Stat. Med. 2018, 38, 558–582. [Google Scholar] [CrossRef] [PubMed]
- Strobl, C.; Boulesteix, A.-L.; Zeileis, A.; Hothorn, T. Bias in random forest variable importance measures: Illustrations, sources and a solution. BMC Bioinform. 2007, 8, 25. [Google Scholar] [CrossRef] [PubMed]
- Liaw, A.; Wiener, M. Classification and regression by randomforest. R News 2002, 2, 18–22. [Google Scholar]
- Kuhn, M.; Johnson, K. Applied Predictive Modeling; Springer: New York, NY, USA, 2013; Volume 26. [Google Scholar]
- Bland, J.M.; Altman, D.G. Measuring agreement in method comparison studies. Stat. Methods Med. Res. 1999, 8, 135–160. [Google Scholar] [CrossRef]
- Pinheiro, J.; Bates, D.; DebRoy, S.; Sarkar, D.; R Core Team. nlme: Linear and Nonlinear Mixed Effects Models; R Package Version 3.1-140. 2019. Available online: https://cran.r-project.org/web/packages/nlme/index.html (accessed on 9 May 2020).
- Makowski; Lüdecke. Compute and Interpret Indices of Effect Size. CRAN. 2019. Available online: https://github.com/easystats/effectsize (accessed on 5 May 2020).
- Therneau, T.; Atkinson, B.; Ripley, B. Rpart: Recursive Partitioning and Regression Trees, R package version 4.1-13; R Foundation for Statistical Computing: Vienna, Austria, 2018. [Google Scholar]
- Mair, P.; Wilcox, R. Robust statistical methods in R using the WRS2 package. Behav. Res. Methods 2019, 52, 464–488. [Google Scholar] [CrossRef]
- Kuhn, N.J.; Greenwood, P.; Fister, W. Use of Field Experiments in Soil Erosion Research. In Developments in Earth Surface Processes; Elsevier B.V.: Amsterdam, The Netherlands, 2014; Volume 18, pp. 175–200. [Google Scholar] [CrossRef]
- Paluszynska, A.; Biecek, P.; Jiang, Y. Random Forest Explainer: Explaining and Visualizing Random Forests in Terms of Variable Importance; Version 0.10. 0. R Package. 2019. Available online: https://CRAN.R-project.org/package=randomForestExplainer (accessed on 9 May 2020).
- Wickham, H. ggplot2: Elegant Graphics for Data Analysis; Springer: New York, NY, USA, 2016. [Google Scholar]
- Auguie, B.; Antonov, A. gridExtra: Miscellaneous Functions for “Grid” Graphics; R Package Version, 2. 2017. Available online: http://CRAN.R-project.org/package=gridExtra (accessed on 9 May 2020).
- Kosmas, C.; Danalatos, N.; Cammeraat, E.L.H.; Chabart, M.; Diamantopoulos, J.; Farand, R.; Gutiérrez, L.; Jacob, A.; Marques, H.; Martínez-Fernández, J.; et al. The effect of land use on runoff and soil erosion rates under Mediterranean conditions. Catena 1997, 29, 45–59. [Google Scholar] [CrossRef]
- Mohammad, A.G.; Mohammad, A.A. The impact of vegetative cover type on runoff and soil erosion under different land uses. Catena 2010, 81, 97–103. [Google Scholar] [CrossRef]
- Cerdà, A.; Morera, A.G.; Bodi, M.B. Soil and water losses from new citrus orchards growing on sloped soils in the western Mediterranean basin. Earth Surf. Process. Landf. 2009, 34, 1822–1830. [Google Scholar] [CrossRef]
- Badorreck, A.; Gerke, H.H.; Hüttl, R.F. Morphology of physical soil crusts and infiltration patterns in an artificial catchment. Soil Tillage Res. 2013, 129, 1–8. [Google Scholar] [CrossRef]
- Lu, J.; Zheng, F.; Li, G.; Bian, F.; An, J. The effects of raindrop impact and runoff detachment on hillslope soil erosion and soil aggregate loss in the Mollisol region of Northeast China. Soil Tillage Res. 2016, 161, 79–85. [Google Scholar] [CrossRef]
- Lin, Q.; Xu, Q.; Wu, F.; Li, T. Effects of wheat in regulating runoff and sediment on different slope gradients and under different rainfall intensities. Catena 2019, 183, 104196. [Google Scholar] [CrossRef]
- Koulouri, M.; Giourga, C. Land abandonment and slope gradient as key factors of soil erosion in Mediterranean terraced lands. Catena 2007, 69, 274–281. [Google Scholar] [CrossRef]
- Martínez-Casasnovas, J.A.; Sánchez-Bosch, I. Impact assessment of changes in land use/conservation practices on soil erosion in the Penedès–Anoia vineyard region (NE Spain). Soil Tillage Res. 2000, 57, 101–106. [Google Scholar] [CrossRef]
- Bajocco, S.; De Angelis, A.; Perini, L.; Ferrara, A.; Salvati, L. The Impact of Land Use/Land Cover Changes on Land Degradation Dynamics: A Mediterranean Case Study. Environ. Manag. 2012, 49, 980–989. [Google Scholar] [CrossRef] [PubMed]
- Garcia-Ruiz, J.M.; Nadal-Romero, E.; Lana-Renault, N.; Beguería, S. Erosion in Mediterranean landscapes: Changes and future challenges. Geomorphology 2013, 198, 20–36. [Google Scholar] [CrossRef]
- Lucà, F.; Conforti, M.; Robustelli, G. Comparison of GIS-based gullying susceptibility mapping using bivariate and multivariate statistics: Northern Calabria, South Italy. Geomorphology 2011, 134, 297–308. [Google Scholar] [CrossRef]
- Zabaleta, A.; Meaurio, M.; Ruiz, E.; Antiguedad, I. Simulation Climate Change Impact on Runoff and Sediment Yield in a Small Watershed in the Basque Country, Northern Spain. J. Environ. Qual. 2014, 43, 235–245. [Google Scholar] [CrossRef]
- Nearing, M.A.; Pruski, F.F.; O’neal, M.R. Expected climate change impacts on soil erosion rates: A review. J. Soil Water Conserv. 2004, 59, 43–50. [Google Scholar]
- Li, Z.; Fang, H. Impacts of climate change on water erosion: A review. Earth-Sci. Rev. 2016, 163, 94–117. [Google Scholar] [CrossRef]
- Karydas, C.; Bouarour, O.; Zdruli, P. Mapping Spatio-Temporal Soil Erosion Patterns in the Candelaro River Basin, Italy, Using the G2 Model with Sentinel-2 Imagery. Geosciences 2020, 10, 89. [Google Scholar] [CrossRef]
- Preiti, G.; Romeo, M.; Bacchi, M.; Monti, M. Soil loss measure from Mediterranean arable cropping systems: Effects of rotation and tillage system on C-factor. Soil Tillage Res. 2017, 170, 85–93. [Google Scholar] [CrossRef]
- Van der Knijff, J.M.; Jones, R.J.A.; Montanarella, L. Soil Erosion Risk Assessment in Europe; EUR 19044 EN; Office for Official Publications of the European Communities: Luxembourg, 2000; p. 34. [Google Scholar]
- Peña-Angulo, D.; Nadal-Romero, E.; Gonzalez-Hidalgo, J.C.; Albaladejo, J.; Andreu, V.; Bagarello, V.; Barhi, H.; Batalla, R.J.; Bernal, S.; Bienes, R.; et al. Spatial variability of the relationships of runoff and sediment yield with weather types throughout the Mediterranean basin. J. Hydrol. 2019, 571, 390–405. [Google Scholar] [CrossRef]
- González-Hidalgo, J.C.; Peña-Monné, J.L.; De Luis, M. A review of daily soil erosion in Western Mediterranean areas. Catena 2007, 71, 193–199. [Google Scholar] [CrossRef]
- Cerdà, A.; Jurgensen, M.F. The influence of ants on soil and water losses from an orange orchard in eastern Spain. J. Appl. Èntomol. 2008, 132, 306–314. [Google Scholar] [CrossRef]
- Keesstra, S.D.; Pereira, P.; Novara, A.; Brevik, E.C.; Azorin-Molina, C.; Parras-Alcántara, L.; Jordán, A.; Cerdà, A. Effects of soil management techniques on soil water erosion in apricot orchards. Sci. Total Environ. 2016, 551, 357–366. [Google Scholar] [CrossRef]
- Yakupoğlu, T.; Rodrigo-Comino, J.; Cerdà, A. Potential Benefits of Polymers in Soil Erosion Control for Agronomical Plans: A Laboratory Experiment. Agronomy 2019, 9, 276. [Google Scholar] [CrossRef]
- Lorenzo, M.N.; Taboada, J.J.; Lorenzo, J.F.; Ramos, A.M. Influence of climate on grape production and wine quality in the Rías Baixas, north-western Spain. Reg. Environ. Chang. 2012, 13, 887–896. [Google Scholar] [CrossRef]
- Rodrigo-Comino, J.; Senciales, J.; Ramos, M.; Martínez-Casasnovas, J.A.; Lasanta, T.; Brevik, E.; Ries, J.B.; Sinoga, J.R. Understanding soil erosion processes in Mediterranean sloping vineyards (Montes de Málaga, Spain). Geoderma 2017, 296, 47–59. [Google Scholar] [CrossRef]
- Cerdà, A.; González-Pelayo, Ó.; Giménez-Morera, A.; Jordán, A.; Pereira, P.; Novara, A.; Brevik, E.C.; Prosdocimi, M.; Mahmoodabadi, M.; Keesstra, S.D.; et al. Use of barley straw residues to avoid high erosion and runoff rates on persimmon plantations in Eastern Spain under low frequency–high magnitude simulated rainfall events. Soil Res. 2016, 54, 154. [Google Scholar] [CrossRef]
- Lal, R. Soil erosion on Alfisols in western Nigeria: II. Effects of mulch rates. Geoderma 1976, 6, 377–387. [Google Scholar] [CrossRef]
- Bautista, S.; Bellot, J.; Vallejo, V.R. Mulching treatment for postfire soil conservation in a semiarid ecosystem. Arid. Soil Res. Rehabil. 1996, 10, 235–242. [Google Scholar] [CrossRef]
- Faucette, L.B.; Risse, L.M.; Nearing, M.A.; Gaskin, J.W.; West, L.T. Runoff, erosion, and nutrient losses from compost and mulch blankets under simulated rainfall. J. Soil Water Conserv. 2004, 59, 154–160. [Google Scholar]
- Adekalu, K.O.; Olorunfemi, I.; Osunbitan, J. Grass mulching effect on infiltration, surface runoff and soil loss of three agricultural soils in Nigeria. Bioresour. Technol. 2007, 98, 912–917. [Google Scholar] [CrossRef] [PubMed]
- Jin, K.; Cornelis, W.M.; Schiettecatte, W.; Lu, J.; Yao, Y.; Wu, H.; Gabriels, D.; De Neve, S.; Cai, D.; Jin, J.; et al. Effects of different management practices on the soil–water balance and crop yield for improved dryland farming in the Chinese Loess Plateau. Soil Tillage Res. 2007, 96, 131–144. [Google Scholar] [CrossRef]
- Jin, K.; Cornelis, W.M.; Gabriels, D.; Schiettecatte, W.; De Neve, S.; Lu, J.; Buysse, T.; Wu, H.; Cai, D.; Jin, J.; et al. Soil management effects on runoff and soil loss from field rainfall simulation. Catena 2008, 75, 191–199. [Google Scholar] [CrossRef]
- Smets, T.; Poesen, J.; Knapen, A. Spatial scale effects on the effectiveness of organic mulches in reducing soil erosion by water. Earth-Sci. Rev. 2008, 89, 1–12. [Google Scholar] [CrossRef]
- Abrantes, J.R.; Prats, S.A.; Keizer, J.J.; De Lima, J.L.M.P. Effectiveness of the application of rice straw mulching strips in reducing runoff and soil loss: Laboratory soil flume experiments under simulated rainfall. Soil Tillage Res. 2018, 180, 238–249. [Google Scholar] [CrossRef]
- Rahma, A.E.; Warrington, D.N.; Lei, T. Efficiency of wheat straw mulching in reducing soil and water losses from three typical soils of the Loess Plateau, China. Int. Soil Water Conserv. Res. 2019, 7, 335–345. [Google Scholar] [CrossRef]
- Lucas-Borja, M.E.; González-Romero, J.; Álvarez, P.A.P.; Sagra, J.; Gómez, M.; Moya, D.; Cerdà, A.; Heras, J.D.L. The impact of straw mulching and salvage logging on post-fire runoff and soil erosion generation under Mediterranean climate conditions. Sci. Total Environ. 2019, 654, 441–451. [Google Scholar] [CrossRef]
- Fu, S.; Liu, B.; Liu, H.; Xu, L. The effect of slope on interrill erosion at short slopes. Catena 2011, 84, 29–34. [Google Scholar] [CrossRef]
- Pijl, A.; Reuter, L.E.; Quarella, E.; Vogel, T.A.; Tarolli, P. GIS-based soil erosion modelling under various steep-slope vineyard practices. Catena 2020, 193, 104604. [Google Scholar] [CrossRef]
- Montenegro, A.A.D.A.; Souza, T.E.M.D.S.; De Souza, E.R.; Montenegro, S.M.G.L. Temporal dynamics of soil moisture and rainfall erosivity in a tropical volcanic archipelago. J. Hydrol. 2018, 563, 737–749. [Google Scholar] [CrossRef]
- Degraffenried, J.B.; Shepherd, K.D. Rapid Erosion Modeling in a Western Kenya Watershed using Visible Near Infrared Reflectance, Classification Tree Analysis and 137Cesium. Geoderma 2009, 154, 93–100. [Google Scholar] [CrossRef]
- Garosi, Y.; Sheklabadi, M.; Conoscenti, C.; Pourghasemi, H.R.; Van Oost, K. Assessing the performance of GIS-based machine learning models with different accuracy measures for determining susceptibility to gully erosion. Sci. Total Environ. 2019, 664, 1117–1132. [Google Scholar] [CrossRef]
- Amiri, M.; Pourghasemi, H.R.; Ghanbarian, G.; Afzali, S.F. Assessment of the importance of gully erosion effective factors using Boruta algorithm and its spatial modeling and mapping using three machine learning algorithms. Geoderma 2019, 340, 55–69. [Google Scholar] [CrossRef]
- Rotigliano, E.; Martinello, C.; Agnesi, V.; Conoscenti, C. Evaluation of debris flow susceptibility in El Salvador (CA): A comparison between Multivariate Adaptive Regression Splines (MARS) and Binary Logistic Regression (BLR). Hung. Geogr. Bull. 2018, 67, 361–373. [Google Scholar] [CrossRef]










| Purpose | Package | Reference |
|---|---|---|
| Effect sizes | effect sizes | [66] |
| RFR | rpart | [67] |
| robust ANOVA | WRS2 | [68] |
| k-fold cross validation model | caret packages | [69] |
| Accuracy metrics of RFR | randomForest, and randomForestExplainer | [62,70] |
| Visualizations | ggplot2, gridExtra | [71,72] |
| Soil Cover | Games–Howell Post Hoc Test | BS | MC | SC |
|---|---|---|---|---|
| BS | Mean difference | — | 208 | 206.29 |
| p-value | — | 0.016 | 0.017 | |
| MC | Mean difference | — | −1.61 | |
| p-value | — | 0.996 |
| GLM | SS | df | F | p | η2p |
|---|---|---|---|---|---|
| Model | 0.000 | 7 | 17.3312 | <0.001 | 0.700 |
| Soil cover | 109,520 | 2 | 3.9456 | 0.025 | 0.132 |
| Slope type | 11,565 | 1 | 0.8333 | 0.366 | 0.016 |
| Soil moisture | 863 | 1 | 0.0622 | 0.804 | 0.001 |
| Runoff | 0.000 | 1 | 77.5176 | <0.001 | 0.599 |
| Soil cover × slope type | 11,032 | 2 | 0.3974 | 0.674 | 0.015 |
| Residuals | 721,704 | 52 | |||
| Total | 0.000 | 59 |
| GLM | SS | df | F | p | η2p |
|---|---|---|---|---|---|
| Model | 0.000 | 3 | 42.4 | < 0.001 | 0.694 |
| Soil cover | 319,569 | 2 | 12.2 | <0.001 | 0.303 |
| Runoff | 0.000 | 1 | 83.7 | < 0.001 | 0.599 |
| Residuals | 73,5015 | 56 | |||
| Total | 0.000 | 59 |
© 2020 by the authors. Licensee MDPI, Basel, Switzerland. This article is an open access article distributed under the terms and conditions of the Creative Commons Attribution (CC BY) license (http://creativecommons.org/licenses/by/4.0/).
Share and Cite
Mohammed, S.; Al-Ebraheem, A.; Holb, I.J.; Alsafadi, K.; Dikkeh, M.; Pham, Q.B.; Linh, N.T.T.; Szabo, S. Soil Management Effects on Soil Water Erosion and Runoff in Central Syria—A Comparative Evaluation of General Linear Model and Random Forest Regression. Water 2020, 12, 2529. https://doi.org/10.3390/w12092529
Mohammed S, Al-Ebraheem A, Holb IJ, Alsafadi K, Dikkeh M, Pham QB, Linh NTT, Szabo S. Soil Management Effects on Soil Water Erosion and Runoff in Central Syria—A Comparative Evaluation of General Linear Model and Random Forest Regression. Water. 2020; 12(9):2529. https://doi.org/10.3390/w12092529
Chicago/Turabian StyleMohammed, Safwan, Ali Al-Ebraheem, Imre J. Holb, Karam Alsafadi, Mohammad Dikkeh, Quoc Bao Pham, Nguyen Thi Thuy Linh, and Szilard Szabo. 2020. "Soil Management Effects on Soil Water Erosion and Runoff in Central Syria—A Comparative Evaluation of General Linear Model and Random Forest Regression" Water 12, no. 9: 2529. https://doi.org/10.3390/w12092529
APA StyleMohammed, S., Al-Ebraheem, A., Holb, I. J., Alsafadi, K., Dikkeh, M., Pham, Q. B., Linh, N. T. T., & Szabo, S. (2020). Soil Management Effects on Soil Water Erosion and Runoff in Central Syria—A Comparative Evaluation of General Linear Model and Random Forest Regression. Water, 12(9), 2529. https://doi.org/10.3390/w12092529

