Numerical Analysis of Drag Force Acting on 2D Cylinder Immersed in Accelerated Flow
Abstract
:1. Introduction
2. Computational Methods
2.1. Governing Equations and Numerical Method
2.2. Computational Domain and Boundary Conditions
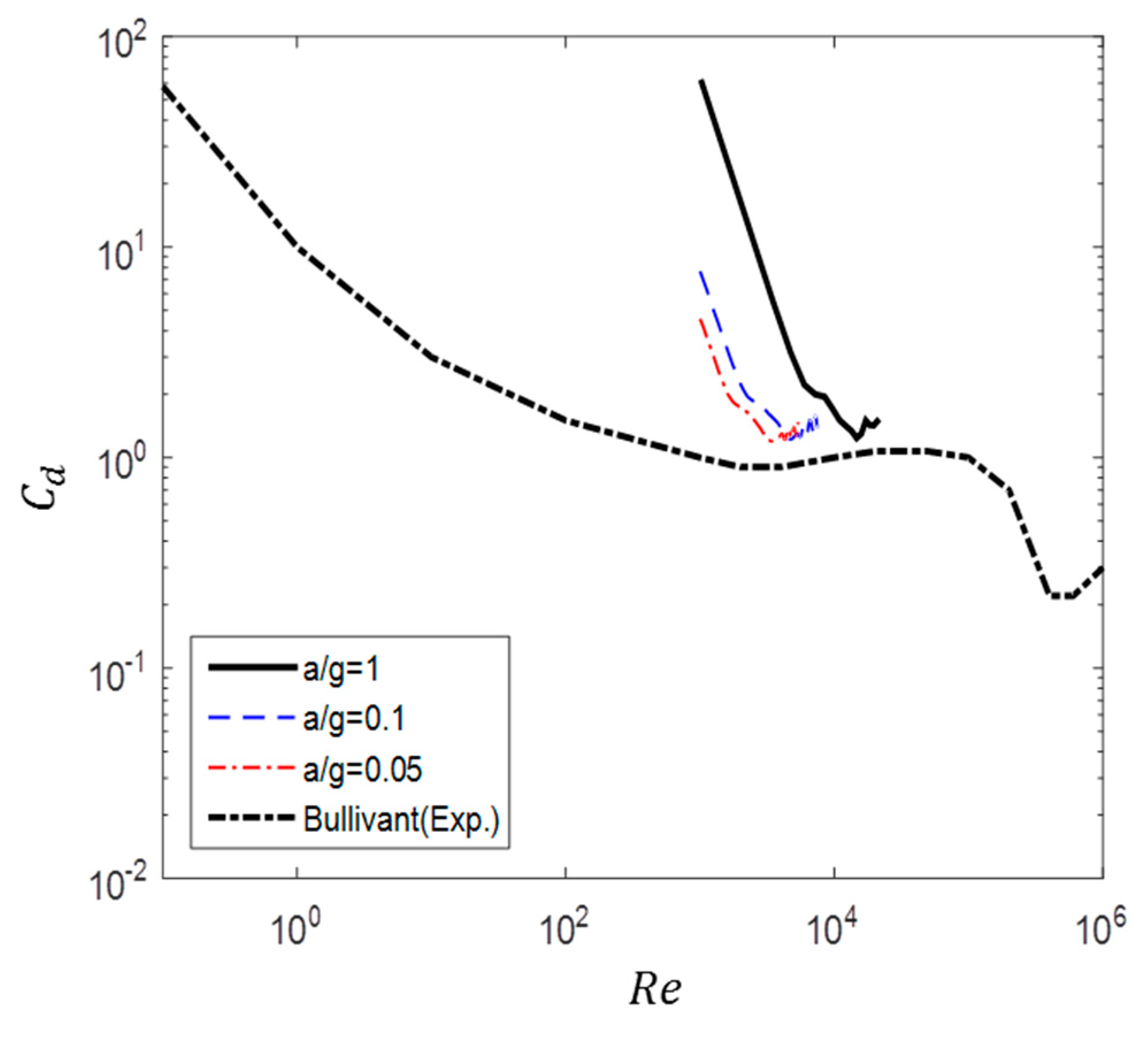
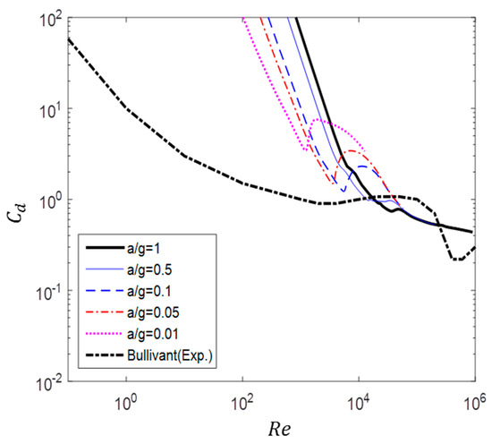
2.3. Validation of the Present Method
2.3.1. Grid Convergence
2.3.2. Choice of Turbulence Model
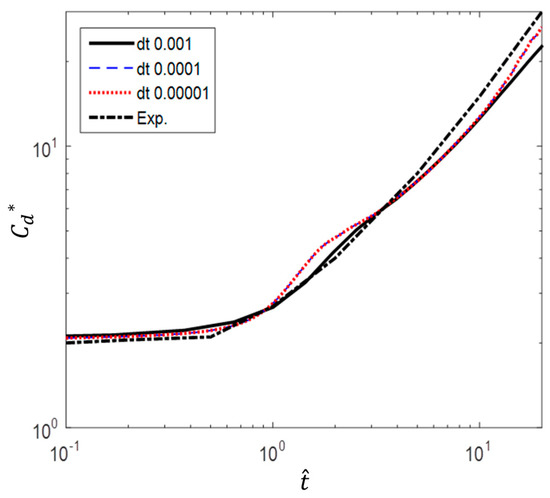
2.3.3. Time Step Convergence
2.4. Scope of Study
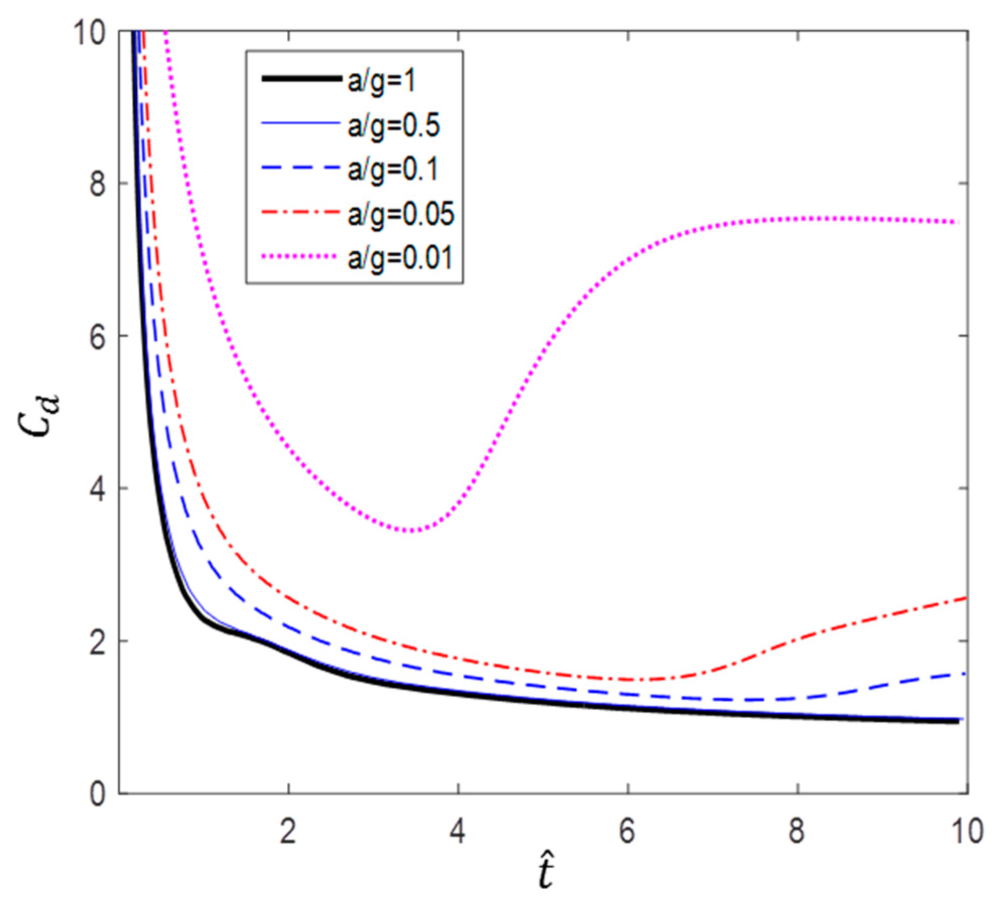
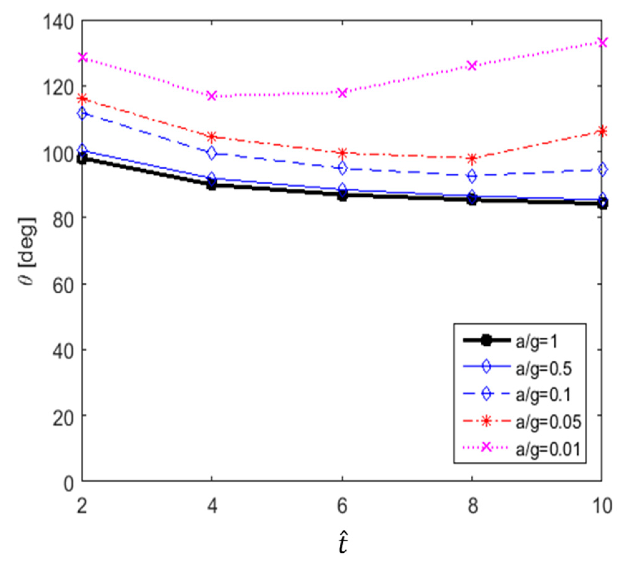
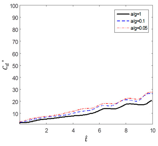
3. Drag in Accelerated Flow at Low Initial Velocity
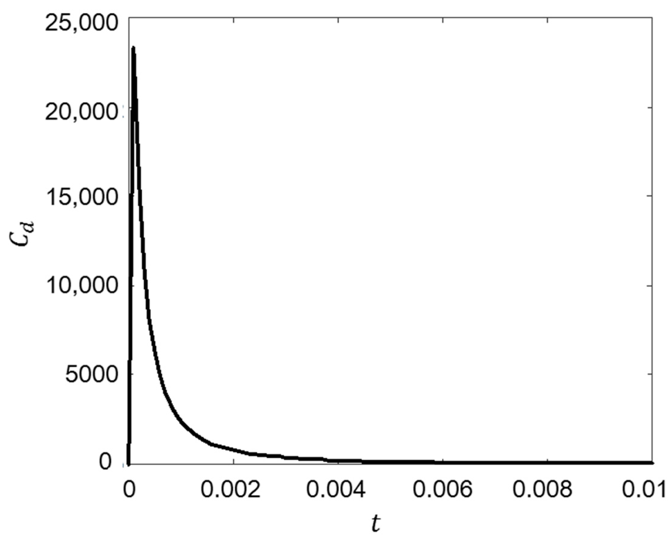
3.1. Overshoot of Drag Force
3.2. Difference between Non-Accelerated and Accelerated Flow
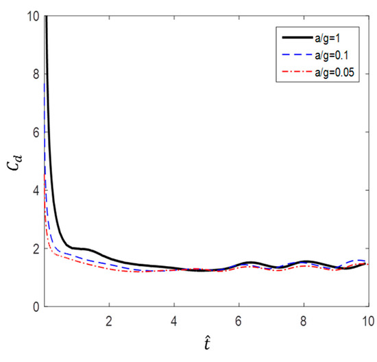
3.3. Drag Changes over Dimensionless Time and Flow Time
3.4. Vortex Formation and Development
4. Drag in Accelerated Flow at High Initial Velocity
4.1. Difference between Non-Accelerated and Accelerated Flow
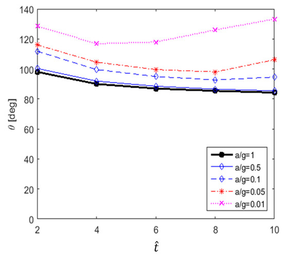
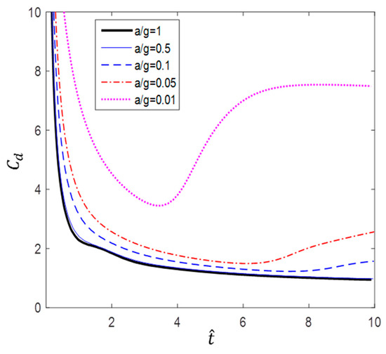
4.2. Drag Changes over Dimensionless Time and Flow Time
4.3. Vortex Shedding Formation Development
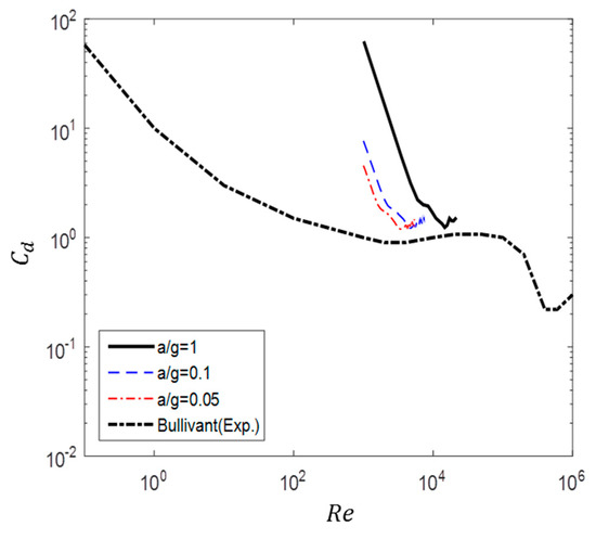
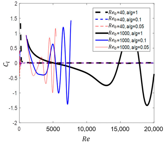
5. Comparison of Fluid Force by Initial Velocity
6. Conclusions
Author Contributions
Funding
Conflicts of Interest
References
- Nomura, T.; Kitamura, N.; Kitagawa, T. Characteristics of unsteady drag on a square cylinder under sudden change of wind speed. In Proceedings of the 3rd International Symposium on Computational Wind Engineering (CWE 2000), Birmingham, UK, 4–7 September 2000. [Google Scholar]
- Matsumoto, M.; Shimamura, M.; Maeda, T.; Shirato, H.; Yagi, T. Drag forces on 2-D cylinders due to sudden increase of wind velocity. In Proceedings of the 12th International Conference on Wind Engineering, Cairns, Australia, 1–6 July 2007; pp. 1727–1734. Available online: https://www.tib.eu/en/search/id/TIBKAT%3A661555100/12th-International-Conference-on-Wind-Engineering/ (accessed on 20 November 2019).
- Takeuchi, T.; Maeda, J. Effects of inertia force proportional to flow acceleration on unsteady wind forces acting on an elliptic cylinder under short-rise-time gusts. In Proceedings of the 5th International Symposium on Computational Wind Engineering, Chapel Hill, NC, USA, 23–27 May 2010; Available online: https://www.jstage.jst.go.jp/article/kazekosymp/21/0/21_0_185/_article/-char/en (accessed on 10 October 2019).
- Rho, J.; Lee, Y.; Kim, K.H.; Lee, D.H.; Cho, H.K. Experimental studies on aerodynamic characteristics in unsteady accelerated flow. In Proceedings of the Spring Conference of the Korean Society for Aeronautical & Space Sciences, Seoul, Korea, February 2008; pp. 582–585. Available online: http://www.dbpia.co.kr/journal/articleDetail?nodeId=NODE01116210 (accessed on 29 May 2019).
- Lee, Y.; Rho, J.; Kim, K.H.; Lee, D.H. Wind tunnel test of the aerodynamic characteristics around a circular and square cylinders in unsteady accelerated flow. In Proceedings of the Spring Conference of The Korean Society for Aeronautical & Space Sciences, Daejun, Korea, February 2009; pp. 78–81. Available online: http://www.dbpia.co.kr/journal/articleDetail?nodeId=NODE01203450 (accessed on 29 May 2019).
- Lee, Y.; Rho, J.; Kim, K.H.; Lee, D.H. Fundamental studies on free stream acceleration effect on drag force in bluff bodies. J. Mech. Sci. Technol. 2011, 25, 695–701. [Google Scholar] [CrossRef]
- Mason, M.S.; Yang, T. Modulation of vortex induced crosswind forces on a square cylinder during accelerating flow. In Proceedings of the 20th Australasian Fluid Mechanics Conference, Perth, Australia, 5–8 December 2016; Available online: https://people.eng.unimelb.edu.au/imarusic/proceedings/20/639%20Paper.pdf (accessed on 11 June 2019).
- Lamb, H. Hydrodynamics, 6th ed.; Dover Publications: New York, NY, USA, 1945. [Google Scholar]
- Birkhoff, G. Chapter 6: Added Mass. In Hydrodynamics: A Study in Logic, Fact, Similitude; Princeton University Press: Princeton, NJ, USA, 1960. [Google Scholar]
- Yih, C.S. Fluid Mechanics: A Concise Introduction to the Theory; West River Press: New York, NY, USA, 1969. [Google Scholar]
- Keulegan, G.H.; Carpenter, L.H. Forces on cylinders and plates in oscillating fluid, United States Bureau of Standards. J. Res. 1958, 60, 423–440. [Google Scholar]
- Patton, K.T. Tables of hydrodynamic mass factors for translational motion. In American Society of Mechanical Engineers—Meeting WA/UNT-2; ASME: New York, NY, USA, 1965. [Google Scholar]
- Kennard, E. Irrotational Flow of Frictionless Fluids: Mostly of Invariable Density; Report 2299; David Taylor Model Basin: Washington, DC, USA, 1967. [Google Scholar]
- Brennen, C.E. A Review of Added Mass; Fluid Inertial Forces; Report CR 82.010; Naval Civil Engineering Laboratory: Port Hueneme, CA, USA, 1982. [Google Scholar]
- Sarpkaya, T. Lift, drag, added-mass coefficients for circular cylinder immersed in time-dependent flow. J. Appl. Mech. 1962, 30, 13–15. [Google Scholar] [CrossRef]
- Sarpkaya, T.; Garrison, C.J. Vortex formation and resistance in unsteady flow. J. Appl. Mech. 1963, 30, 16–24. [Google Scholar] [CrossRef]
- Fackrell, S. Study of the Added Mass of Cylinders and Spheres. Ph.D. Thesis, University of Windsor, Windsor, ON, Canada, 2011. Available online: https://scholar.uwindsor.ca/cgi/viewcontent.cgi?article=1457&context=etd (accessed on 25 January 2018).
- Benim, A.C.; Pasqualotto, E.; Suh, S.H. Modeling turbulent flow past a circular cylinder by RANS, URANS, LES and DES. Progress Comput. Fluid Dyn. Int. J. 2008, 8, 299–307. [Google Scholar] [CrossRef]
- Liuliu, S.; Yang, G.; Yao, S. Large eddy simulation of flow past a square cylinder with rounded leading corners: A comparison of 2D and 3D approaches. J. Mech. Sci. Technol. 2018, 32, 2671–2680. [Google Scholar]
- Bullivant, W.K. Test of the NACA 0025; 0035 Airfoils in the Full Scale Wind Tunnel; NACA Technical Report 708; NACA: Langley Field, VA, USA, 1941; Available online: https://digital.library.unt.edu/ark:/67531/metadc66369/m1/1/ (accessed on 1 April 2020).
- Acrivos, A.; Leal, L.G.; Snowden, D.D.; Pan, F. Further experiments on steady separated flows past bluff objects. J. Fluid Mech. 1968, 34, 25–48. [Google Scholar] [CrossRef]





























| First Grid Height (m) | Total Number of Grids | Number of Grids around the Cylinder | |
|---|---|---|---|
| Mesh 1 | 1.9 | 454,012 | 940 |
| Mesh 2 | 2.9 | 229,211 | 800 |
| Mesh 3 | 5.9 | 376,680 | 1600 |
| a/g | |
|---|---|
| 1 | 9.81 |
| 0.5 | 4.905 |
| 0.1 | 0.981 |
| 0.05 | 0.4905 |
| 0.01 | 0.0981 |
© 2020 by the authors. Licensee MDPI, Basel, Switzerland. This article is an open access article distributed under the terms and conditions of the Creative Commons Attribution (CC BY) license (http://creativecommons.org/licenses/by/4.0/).
Share and Cite
Son, H.A.; Lee, S.; Lee, J. Numerical Analysis of Drag Force Acting on 2D Cylinder Immersed in Accelerated Flow. Water 2020, 12, 1790. https://doi.org/10.3390/w12061790
Son HA, Lee S, Lee J. Numerical Analysis of Drag Force Acting on 2D Cylinder Immersed in Accelerated Flow. Water. 2020; 12(6):1790. https://doi.org/10.3390/w12061790
Chicago/Turabian StyleSon, Hyun A., Sungsu Lee, and Jooyong Lee. 2020. "Numerical Analysis of Drag Force Acting on 2D Cylinder Immersed in Accelerated Flow" Water 12, no. 6: 1790. https://doi.org/10.3390/w12061790
APA StyleSon, H. A., Lee, S., & Lee, J. (2020). Numerical Analysis of Drag Force Acting on 2D Cylinder Immersed in Accelerated Flow. Water, 12(6), 1790. https://doi.org/10.3390/w12061790
