Evaluation of MOD16 Algorithm over Irrigated Rice Paddy Using Flux Tower Measurements in Southern Brazil
Abstract
1. Introduction
2. Materials and Methods
2.1. Site Description
2.2. Meteorological and Flux Tower Measurements
2.3. ET Experimental Data Processing
2.4. MOD16 Global Evapotranspiration Algorithm
2.4.1. MOD16 Algorithm Structure
2.4.2. MODIS Remotely-Sensed Inputs
2.4.3. Global Modeling and Assimilation Office (GMAO) MERRA Meteorological Reanalysis Inputs
2.5. Statistical Analysis
3. Results and Discussion
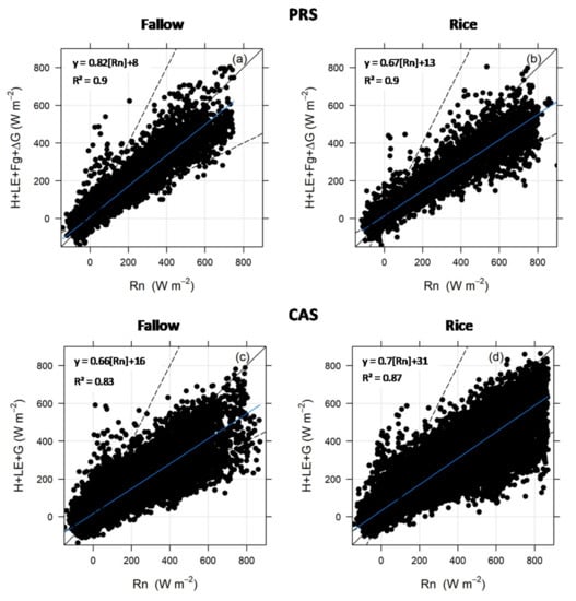
3.1. Energy Balance Analysis
3.2. Comparison between MOD16 Evapotranspiration Estimates and Eddy Covariance Measurements
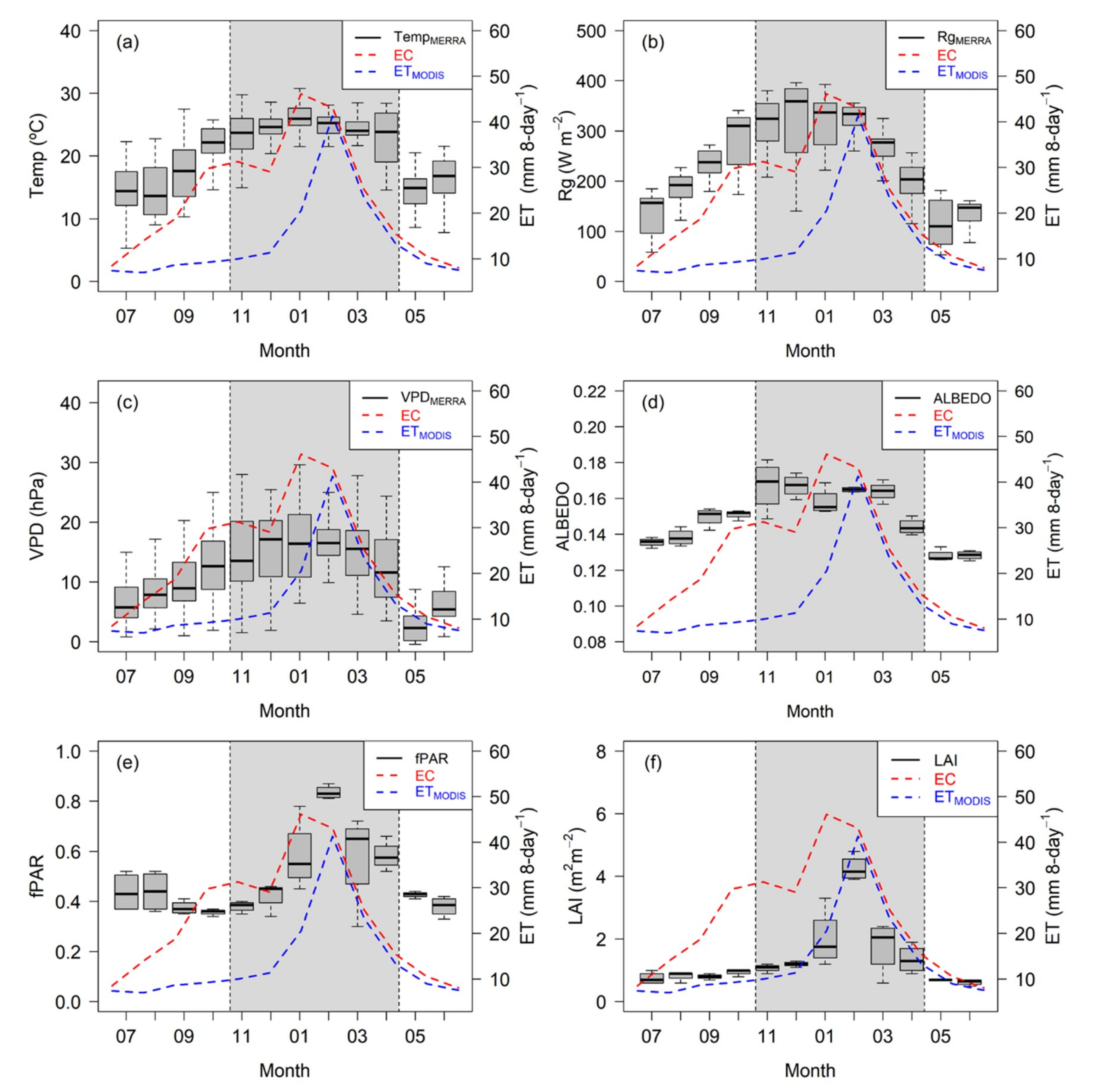
3.3. Seasonality and Climatic Drivers of Evapotranspiration
3.4. Sensitivity of MOD16 Algorithm on the Accuracy of Meteorological Data
4. Conclusions
Supplementary Materials
Author Contributions
Funding
Acknowledgments
Conflicts of Interest
References
- Mekonnen, M.M.; Hoekstra, A.Y. Four billion people facing severe water scarcity. Sci. Adv. 2016, 2, e1500323. [Google Scholar] [CrossRef] [PubMed]
- Rosegrant, M.W.; Cai, X. Global Water Demand and Supply Projections Part 2. Results and Prospects to 2025. Water Int. 2002, 27, 170–182. [Google Scholar] [CrossRef]
- Ercin, A.E.; Hoekstra, A.Y. Water footprint scenarios for 2050: A global analysis. Environ. Int. 2014, 64, 71–82. [Google Scholar] [CrossRef] [PubMed]
- Biggs, T.W.; Petropoulos, G.P.; Velpuri, N.M.; Marshall, M.; Glenn, E.P.; Nagler, P.; Messina, A. Remote Sensing of Actual Evapotranspiration from Cropland: Chapter 3. In Remote Sensing Handbook, Vol. III: Remote Sensing of Water Resources, Disasters, and Urban Studies; Thenkabail, P.S., Ed.; CRC Press: Boca Raton, FL, USA, 2015; pp. 59–99. ISBN 9781482217919. [Google Scholar]
- Arriga, N.; Rannik, Ü.; Aubinet, M.; Carrara, A.; Vesala, T.; Papale, D. Experimental validation of footprint models for eddy covariance CO2 flux measurements above grassland by means of natural and artificial tracers. Agric. For. Meteorol. 2017, 242, 75–84. [Google Scholar] [CrossRef]
- Fisher, J.B.; Melton, F.; Middleton, E.; Hain, C.; Anderson, M.; Allen, R.; Mccabe, M.F.; Hook, S.; Baldocchi, D.; Townsend, P.A.; et al. The future of evapotranspiration: Global requirements for ecosystemfunctioning, carbon and climate feedbacks, agriculturalmanagement, and water resources. Water Resour. Res. 2017, 53, 2618–2626. [Google Scholar] [CrossRef]
- Bastiaanssen, W.G.M.; Menenti, M.; Feddes, R.A.; Holtslag, A.A.M. A remote sensing surface energy balance algorithm for land (SEBAL). 1. Formulation. J. Hydrol. 1998, 212, 198–212. [Google Scholar] [CrossRef]
- Su, Z. The Surface Energy Balance System (SEBS) for estimation of turbulent heat fluxes SEBS—The Surface Energy Balance. Hydrol. Earth Syst. Sci. 2002, 6, 85–99. [Google Scholar] [CrossRef]
- Allen, R.G.; Tasumi, M.; Morse, A.; Trezza, R.; Wright, J.L.; Bastiaanssen, W.; Kramber, W.; Lorite, I.; Robison, C.W. Satellite-Based Energy Balance for Mapping Evapotranspiration with Internalized Calibration (METRIC)—Applications. J. Irrig. Drain. Eng. 2007, 133, 380–394. [Google Scholar] [CrossRef]
- Anderson, M.C.; Kustas, W.P.; Norman, J.M.; Hain, C.R.; Mecikalski, J.R.; Schultz, L.; González-Dugo, M.P.; Cammalleri, C.; D’Urso, G.; Pimstein, A.; et al. Mapping daily evapotranspiration at field to continental scales using geostationary and polar orbiting satellite imagery. Hydrol. Earth Syst. Sci. 2011, 15, 223–239. [Google Scholar] [CrossRef]
- Mu, Q.; Heinsch, F.A.; Zhao, M.; Running, S.W. Development of a global evapotranspiration algorithm based on MODIS and global meteorology data. Remote Sens. Environ. 2007, 111, 519–536. [Google Scholar] [CrossRef]
- Fisher, J.B.; Malhi, Y.; Bonal, D.; Da Rocha, H.R.; De Araújo, A.C.; Gamo, M.; Goulden, M.L.; Rano, T.H.; Huete, A.R.; Kondo, H.; et al. The land-atmosphere water flux in the tropics. Glob. Chang. Biol. 2009, 15, 2694–2714. [Google Scholar] [CrossRef]
- Martens, B.; Miralles, D.G.; Lievens, H.; Van Der Schalie, R.; De Jeu, R.A.M.; Fernández-Prieto, D.; Beck, H.E.; Dorigo, W.A.; Verhoest, N.E.C. GLEAM v3: Satellite-based land evaporation and root-zone soil moisture. Geosci. Model Dev. 2017, 10, 1903–1925. [Google Scholar] [CrossRef]
- Moreira, A.A.; Ruhoff, A.L.; Roberti, D.R.; de Arruda Souza, V.; Rocha, H.R.; Paiva, R.C.D. Assessment of terrestrial water balance using remote sensing data in South America. J. Hydrol. 2019, 575, 131–147. [Google Scholar] [CrossRef]
- Ramoelo, A.; Majozi, N.; Mathieu, R.; Jovanovic, N.; Nickless, A.; Dzikiti, S. Validation of global evapotranspiration product (MOD16) using flux tower data in the African Savanna, South Africa. Remote Sens. 2014, 6, 7406–7423. [Google Scholar] [CrossRef]
- Chen, Y.; Xia, J.; Liang, S.; Feng, J.; Fisher, J.B.; Li, X.; Li, X.; Liu, S.; Ma, Z.; Miyata, A.; et al. Comparison of satellite-based evapotranspiration models over terrestrial ecosystems in China. Remote Sens. Environ. 2014, 140, 279–293. [Google Scholar] [CrossRef]
- Oliveira, P.T.S.; Nearing, M.A.; Moran, M.S.; Goodrich, D.C.; Wendland, E.; Gupta, H.V. Trends in water balance components across the Brazilian Cerrado. Water Resour. Res. 2014, 50, 7100–7114. [Google Scholar] [CrossRef]
- Hu, G.; Jia, L.; Menenti, M. Comparison of MOD16 and LSA-SAF MSG evapotranspiration products over Europe for 2011. Remote Sens. Environ. 2015, 156, 510–526. [Google Scholar] [CrossRef]
- Biggs, T.W.; Marshall, M.; Messina, A. Mapping daily and seasonal evapotranspiration from irrigated crops using global climate grids and satellite imagery: Automation and methods comparison. Water Resour. Res. 2016, 52, 7311–7326. [Google Scholar] [CrossRef]
- Maeda, E.E.; Maeda, E.E.; Ma, X.; Wagner, F.H.; Kim, H.; Oki, T. Evapotranspiration seasonality across the Amazon Basin Evapotranspiration seasonality across the Amazon Basin. Earth Syst. Dyn. 2017, 439–454. [Google Scholar] [CrossRef]
- Gowda, P.H.; Chavez, J.L.; Colaizzi, P.D.; Evett, S.R.; Howell, T.A.; Tolk, J.A. ET mapping for agricultural water management: Present status and challenges. Irrig. Sci. 2008, 26, 223–237. [Google Scholar] [CrossRef]
- Li, Z.; Tang, R.; Wan, Z.; Bi, Y.; Zhou, C.; Tang, B.; Yan, G.; Zhang, X. A Review of Current Methodologies for Regional Evapotranspiration Estimation from Remotely Sensed Data. Sensors 2009, 9, 3801–3853. [Google Scholar] [CrossRef] [PubMed]
- Mu, Q.; Zhao, M.; Running, S.W. Improvements to a MODIS global terrestrial evapotranspiration algorithm. Remote Sens. Environ. 2011, 115, 1781–1800. [Google Scholar] [CrossRef]
- Fang, Y.; Sun, G.; Caldwell, P.; Mcnulty, S.G.; Noormets, A.; Domec, J.C.; King, J.; Zhang, Z.; Zhang, X.; Lin, G.; et al. Monthly land cover-specific evapotranspiration models derived from global eddy flux measurements and remote sensing data. Ecohydrology 2016, 9, 248–266. [Google Scholar] [CrossRef]
- Srivastava, P.K.; Han, D.; Islam, T.; Petropoulos, G.P.; Gupta, M.; Dai, Q. Seasonal evaluation of evapotranspiration fluxes from MODIS satellite and mesoscale model downscaled global reanalysis datasets. Theor. Appl. Climatol. 2016, 124, 461–473. [Google Scholar] [CrossRef]
- Kim, H.W.; Hwang, K.; Mu, Q.; Lee, S.O.; Choi, M. Validation of MODIS 16 global terrestrial evapotranspiration products in various climates and land cover types in Asia. KSCE J. Civ. Eng. 2012, 16, 229–238. [Google Scholar] [CrossRef]
- Jang, K.; Kang, S.; Lim, Y.J.; Jeong, S.; Kim, J.; Kimball, J.S.; Hong, S.Y. Monitoring daily evapotranspiration in Northeast Asia using MODIS and a regional Land Data Assimilation System. J. Geophys. Res. Atmos. 2013, 118, 12927–12940. [Google Scholar] [CrossRef]
- Tang, R.; Shao, K.; Li, Z.L.; Wu, H.; Tang, B.H.; Zhou, G.; Zhang, L. Multiscale Validation of the 8-day MOD16 Evapotranspiration Product Using Flux Data Collected in China. IEEE J. Sel. Top. Appl. Earth Obs. Remote Sens. 2015, 8, 1478–1486. [Google Scholar] [CrossRef]
- Velpuri, N.M.; Senay, G.B.; Singh, R.K.; Bohms, S.; Verdin, J.P. A comprehensive evaluation of two MODIS evapotranspiration products over the conterminous United States: Using point and gridded FLUXNET and water balance ET. Remote Sens. Environ. 2013, 139, 35–49. [Google Scholar] [CrossRef]
- Aguilar, A.L.; Flores, H.; Crespo, G.; Mar, M.I.; Campos, I.; Id, A.C. Performance Assessment of MOD16 in Evapotranspiration Evaluation in Northwestern Mexico. Water 2018, 10, 901. [Google Scholar] [CrossRef]
- Ershadi, A.; Mccabe, M.F.; Evans, J.P.; Wood, E.F. Impact of model structure and parameterization on Penman-Monteith type evaporation models. J. Hydrol. 2015, 525, 521–535. [Google Scholar] [CrossRef]
- Yao, Y.; Liang, S.; Li, X.; Chen, J.; Wang, K.; Jia, K.; Cheng, J.; Jiang, B.; Fisher, J.B.; Mu, Q.; et al. A satellite-based hybrid algorithm to determine the Priestley-Taylor parameter for global terrestrial latent heat fl ux estimation across multiple biomes. Remote Sens. Environ. 2015, 165, 216–233. [Google Scholar] [CrossRef]
- Cleugh, H.A.; Leuning, R.; Mu, Q.; Running, S.W. Regional evaporation estimates from flux tower and MODIS satellite data. Remote Sens. Environ. 2007, 106, 285–304. [Google Scholar] [CrossRef]
- McCabe, M.F.; Wood, E.F. Scale influences on the remote estimation of evapotranspiration using multiple satellite sensors. Remote Sens. Environ. 2006, 105, 271–285. [Google Scholar] [CrossRef]
- Baldocchi, D.; Knox, S.; Dronova, I.; Verfaillie, J.; Oikawa, P.; Sturtevant, C.; Matthes, J.H.; Detto, M. The impact of expanding flooded land area on the annual evaporation of rice. Agric. For. Meteorol. 2016, 223, 181–193. [Google Scholar] [CrossRef]
- IBGE. Levantamento Sistemático da Produção Agrícola; Instituto Brasileiro de Geografia e Estatística, 2017. Available online: https://biblioteca.ibge.gov.br/index.php/biblioteca-catalogo?view=detalhes&id=78 (accessed on 18 November 2018). (In Portuguese)
- Timm, A.U.; Roberti, D.R.; Streck, N.A.; Gustavo, G.; de Gonçalves, L.; Acevedo, O.C.; Moraes, O.L.L.; Moreira, V.S.; Degrazia, G.A.; Ferlan, M.; et al. Energy Partitioning and Evapotranspiration over a Rice Paddy in Southern Brazil. J. Hydrometeorol. 2014, 15, 1975–1988. [Google Scholar] [CrossRef]
- Peel, M.C.; Finlayson, B.L.; McMahon, T.A. Updated world map of the Köppen-Geiger climate classification. Hydrol. Earth Syst. Sci. 2007, 11, 1633–1644. [Google Scholar] [CrossRef]
- Diaz, M.B.; Roberti, D.R.; Carneiro, J.V.; de Arruda Souza, V.; de Moraes, O.L.L. Dynamics of the superficial fluxes over a flooded rice paddy in southern Brazil. Agric. For. Meteorol. 2019, 276–277, 107650. [Google Scholar] [CrossRef]
- Acevedo, O.C.; Moraes, O.L.L.; Degrazia, G.A.; Medeiros, L.E. Intermittency and the exchange of scalars in the nocturnal surface layer. Bound. Layer Meteorol. 2006, 119, 41–55. [Google Scholar] [CrossRef]
- Acevedo, O.C.; Moraes, O.L.L.; Degrazia, G.A.; Fitzjarrald, D.R.; Manzi, A.O.; Campos, J.G. Is friction velocity the most appropriate scale for correcting nocturnal carbon dioxide fluxes? Agric. For. Meteorol. 2009, 149, 1–10. [Google Scholar] [CrossRef]
- Rubert, G.C.; Roberti, D.R.; Pereira, L.S.; Quadros, F.L.F.; Velho, H.F.D.C.; Moraes, O.L.L.D. Evapotranspiration of the Brazilian Pampa Biome: Seasonality and Influential Factors. Water 2018, 10, 1864. [Google Scholar] [CrossRef]
- Kljun, N.; Calanca, P.; Rotach, M.W.; Schmid, H.P. A simple parametrization for flux footprint predictions. Bound. Layer Metorol. 2004, 112, 503–523. [Google Scholar] [CrossRef]
- Foken, T.; Leuning, R.; Oncley, S.R.; Mauder, M.; Aubinet, M. Corrections and Data Quality Control. In Eddy Covariance; Springer: Dordrecht, The Netherlands, 2012; pp. 85–131. [Google Scholar]
- Alberto, M.C.R.; Buresh, R.J.; Hirano, T.; Miyata, A.; Wassmann, R.; Quilty, J.R.; Correa, T.Q.; Sandro, J. Carbon uptake and water productivity for dry-seeded rice and hybrid maize grown with overhead sprinkler irrigation. Field Crop. Res. 2013, 146, 51–65. [Google Scholar] [CrossRef]
- Alberto, M.C.R.; Quilty, J.R.; Buresh, R.J.; Wassmann, R.; Haidar, S.; Correa, T.Q.; Sandro, J.M. Actual evapotranspiration and dual crop coefficients for dry-seeded rice and hybrid maize grown with overhead sprinkler irrigation. Agric. Water Manag. 2014, 136, 1–12. [Google Scholar] [CrossRef]
- Reichstein, M.; Falge, E.; Baldocchi, D.; Papale, D.; Aubinet, M.; Berbigier, P.; Bernhofer, C.; Buchmann, N.; Gilmanov, T.; Granier, A.; et al. On the separation of net ecosystem exchange into assimilation and ecosystem respiration: Review and improved algorithm. Glob. Chang. Biol. 2005, 11, 1424–1439. [Google Scholar] [CrossRef]
- Wutzler, T.; Lucas-Moffat, A.; Migliavacca, M.; Knauer, J.; Sickel, K.; Šigut, L.; Menzer, O.; Reichstein, M. Basic and extensible post-processing of eddy covariance flux data with REddyProc. Biogeosciences 2018, 15, 5015–5030. [Google Scholar] [CrossRef]
- Stoy, P.C.; Mauder, M.; Foken, T.; Marcolla, B.; Boegh, E.; Ibrom, A.; Arain, M.A.; Arneth, A.; Aurela, M.; Bernhofer, C.; et al. A data-driven analysis of energy balance closure across FLUXNET research sites: The role of landscape scale heterogeneity. Agric. For. Meteorol. 2013, 171–172, 137–152. [Google Scholar] [CrossRef]
- Kanda, M.; Inagaki, A.; Letzel, M.O.; Raasch, S.; Watanabe, T. LES STUDY OF THE ENERGY IMBALANCE PROBLEM WITH EDDY COVARIANCE FLUXES. Bound. Layer Meteorol. 2004, 110, 381–404. [Google Scholar] [CrossRef]
- Wilson, K.; Goldstein, A.; Falge, E.; Aubinet, M.; Baldocchi, D.; Berbigier, P.; Bernhofer, C.; Ceulemans, R.; Dolman, H.; Field, C.; et al. Energy balance closure at FLUXNET sites. Agric. For. Meteorol. 2002, 113, 223–243. [Google Scholar] [CrossRef]
- Twine, T.E.; Kustas, W.P.; Norman, J.M.; Cook, D.R.; Houser, P.R.; Meyers, T.P.; Prueger, J.H.; Wesley, M.L. Correcting eddy covariance flux underestimates over grassland. Agric. For. Meteorol. 2000, 103, 279–300. [Google Scholar] [CrossRef]
- Nagler, P.; Scott, R.; Wesrenburg, C.; Cleverly, J.; Glenn, E.; Huete, A. Evapotranspiration on western U.S. rivers estimated using the Enhanced Vegetation Index from MODIS and data from eddy covariance and Bowen ratio flux towers. Remote Sens. Environ. 2005, 97, 337–351. [Google Scholar] [CrossRef]
- Alberto, M.C.R.; Wassmann, R.; Hirano, T.; Miyata, A.; Hatano, R.; Kumar, A.; Padre, A.; Amante, M. Comparisons of energy balance and evapotranspiration between flooded and aerobic rice fields in the Philippines. Agric. Water Manag. 2011, 98, 1417–1430. [Google Scholar] [CrossRef]
- Crago, R.D. Conservation and variability of the evaporative fraction during the daytime. J. Hydrol. 1996, 180, 173–194. [Google Scholar] [CrossRef]
- Mu, Q.; Zhao, M.; Running, S.W. MODIS Global Terrestrial Evapotranspiration (ET) Product (NASA MOD16A2/A3) Algorithm Theoretical Basis Document Collection 5; University of Montana: Missoula, MT, USA, 2013. [Google Scholar]
- Running, S.W.; Mu, Q.; Zhao, M.; Moreno, A. User’s Guide MODIS Global Terrestrial Evapotranspiration (ET) Product (NASA MOD16A2/A3) NASA Earth Observing System MODIS Land Algorithm, 2017. Available online: https://ladsweb.modaps.eosdis.nasa.gov/missions-and-measurements/modis/MOD16_ET_User-Guide_2017.pdf (accessed on 13 September 2019).
- Fisher, J.B.; Tu, K.P.; Baldocchi, D.D. Global estimates of the land-atmosphere water flux based on monthly AVHRR and ISLSCP-II data, validated at 16 FLUXNET sites. Remote Sens. Environ. 2008, 112, 901–919. [Google Scholar] [CrossRef]
- Knyazikhin, Y.; Glassy, J.; Privette, J.L.; Tian, Y.; Lotsch, A.; Zhang, Y.; Wang, Y.; Morisette, J.T.; Votava, P.; Myneni, R.B.; et al. MODIS Leaf Area Index (LAI) and Fraction of Photosynthetically Active Radiation Absorbed by Vegetation (FPAR) Product (MOD15) Algorithm Theoretical Basis Document; NASA: Washington, DC, USA, 1999. [Google Scholar]
- Strahler, A.H.; Muller, J.-P.; MODIS Sciences Team Members. MODIS BRDF/Albedo Product: Algorithm Theoretical Basis Document Version 5.0, MODIS Documentation; Boston University: Boston, MA, USA, 1999. [Google Scholar]
- Friedl, M.A.; Sulla-Menashe, D.; Tan, B.; Schneider, A.; Ramankutty, N.; Sibley, A.; Huang, X. MODIS Collection 5 global land cover: Algorithm refinements and characterization of new datasets. Remote Sens. Environ. 2010, 114, 168–182. [Google Scholar] [CrossRef]
- Myneni, R.B.; Hoffman, S.; Knyazikhin, Y.; Privette, J.L.; Glassy, J.; Tian, Y.; Votava, P.; Nemani, R.R.; Running, S.W. Global products of vegetation leaf area and fraction absorbed PAR from year one of MODIS data. Remote Sens. Environ. 2002, 83, 214–231. [Google Scholar] [CrossRef]
- Zhao, M.; Heinsch, F.A.; Nemani, R.R.; Running, S.W.; Ann, F.; Nemani, R.R.; Running, S.W. Improvements of the MODIS terrestrial gross and net primary production global data set. Remote Sens. Environ. 2005, 95, 164–176. [Google Scholar] [CrossRef]
- Foken, T. The energy balance closure problem: An overview. Ecol. Appl. 2008, 18, 1351–1367. [Google Scholar] [CrossRef] [PubMed]
- Ikawa, H.; Ono, K.; Mano, M.; Kobayashi, K.; Takimoto, T.; Kuwagata, T.; Miyata, A. Evapotranspiration in a rice paddy field over 13 crop years. J. Agric. Meteorol. 2017, 73, 109–118. [Google Scholar] [CrossRef]
- Hatala, J.A.; Detto, M.; Sonnentag, O.; Deverel, S.J.; Verfaillie, J.; Baldocchi, D.D. Greenhouse gas (CO2, CH4, H2O) fluxes from drained and flooded agricultural peatlands in the Sacramento-San Joaquin Delta. Agric. Ecosyst. Environ. 2012, 150, 1–18. [Google Scholar] [CrossRef]
- Aubinet, M.; Grelle, A.; Ibrom, A.; Rannik, Ü.; Moncrieff, J.; Foken, T.; Kowalski, A.S.; Martin, P.H.; Berbigier, P.; Bernhofer, C.; et al. Estimates of the Annual Net Carbon and Water Exchange of Forests: The EUROFLUX Methodology. Adv. Ecol. Res. 2000, 30, 113–175. [Google Scholar]
- Miyata, A.; Leuning, R.; Thomas, O.; Kim, J.; Harazono, Y. Carbon dioxide and methane fluxes from an intermittently flooded paddy field. Agric. For. Meteorol. 2000, 102, 287–303. [Google Scholar] [CrossRef]
- Masseroni, D.; Facchi, A.; Romani, M.; Chiaradia, E.A.; Gharsallah, O.; Gandolfi, C. Surface energy flux measurements in a flooded and an aerobic rice field using a single eddy-covariance system. Paddy Water Environ. 2015, 13, 405–424. [Google Scholar] [CrossRef]
- Yan, H.; Oue, H.; Zhang, C. Predicting water surface evaporation in the paddy field by solving energy balance equation beneath the rice canopy. Paddy Water Environ. 2012, 10, 121–127. [Google Scholar] [CrossRef]
- Kar, G.; Kumar, A. Radiation utilization efficiency and evaporative fraction of rainfed rice in eastern India. J. Agrometeorol. 2016, 18, 518. [Google Scholar]
- Bouman, B.A.M.; Peng, S.; Castañeda, A.R.; Visperas, R.M. Yield and water use of irrigated tropical aerobic rice systems. Agric. Water Manag. 2005, 74, 87–105. [Google Scholar] [CrossRef]
- Khan, M.S.; Liaqat, U.W.; Baik, J.; Choi, M. Stand-alone uncertainty characterization of GLEAM, GLDAS and MOD16 evapotranspiration products using an extended triple collocation approach. Agric. For. Meteorol. 2018, 252, 256–268. [Google Scholar] [CrossRef]
- Teluguntla, P.; Ryu, D.; George, B.; Walker, J.P.; Malano, H.M. Mapping Flooded Rice Paddies Using Time Series of MODIS Imagery in the Krishna River Basin, India. Remote Sens. 2015, 7, 8858–8882. [Google Scholar] [CrossRef]
- Ershadi, A.; McCabe, M.F.; Evans, J.P.; Walker, J.P. Effects of spatial aggregation on the multi-scale estimation of evapotranspiration. Remote Sens. Environ. 2013, 131, 51–62. [Google Scholar] [CrossRef]
- Li, F.; Kustas, W.P.; Anderson, M.C.; Prueger, J.H.; Scott, R.L. Effect of remote sensing spatial resolution on interpreting tower-based flux observations. Remote Sens. Environ. 2008, 112, 337–349. [Google Scholar] [CrossRef]
- Kiniry, J.R.; Landivar, J.A.; Witt, M.; Gerik, T.J.; Cavero, J.; Wade, L.J. Radiation-use efficiency response to vapor pressure deficit for maize and sorghum. Field Crop. Res. 1998, 56, 265–270. [Google Scholar] [CrossRef]
- Yao, Y.; Liang, S.; Li, X.; Chen, J.; Liu, S.; Jia, K.; Zhang, X.; Xiao, Z.; Fisher, J.B.; Mu, Q.; et al. Improving global terrestrial evapotranspiration estimation using support vector machine by integrating three process-based algorithms. Agric. For. Meteorol. 2017, 242, 55–74. [Google Scholar] [CrossRef]
- Sun, Z.; Wang, Q.; Ouyang, Z.; Watanabe, M.; Matsushita, B.; Fukushima, T. Evaluation of MOD16 algorithm using MODIS and ground observational data in winter wheat field in North China Plain. Hydrol. Process. 2007, 1206, 1196–1206. [Google Scholar] [CrossRef]
- Ruhoff, A.L.; Paz, A.R.; Aragao, L.E.O.C.; Mu, Q.; Malhi, Y.; Collischonn, W.; Rocha, H.R.; Running, S.W. Assessment of the MODIS global evapotranspiration algorithm using eddy covariance measurements and hydrological modelling in the Rio Grande basin. Hydrol. Sci. J. 2013, 58, 1658–1676. [Google Scholar] [CrossRef]
- He, M.; Kimball, J.S.; Yi, Y.; Running, S.W.; Guan, K.; Moreno, A.; Wu, X.; Maneta, M. Satellite data-driven modeling of field scale evapotranspiration in croplands using the MOD16 algorithm framework. Remote Sens. Environ. 2019, 230, 111201. [Google Scholar] [CrossRef]
- Purdy, A.J.; Fisher, J.B.; Goulden, M.L.; Colliander, A.; Halverson, G.; Tu, K.; Famiglietti, J.S. SMAP soil moisture improves global evapotranspiration. Remote Sens. Environ. 2018, 219, 1–14. [Google Scholar] [CrossRef]
- Hossen, M.S.; Mano, M.; Miyata, A.; Baten, M.A.; Hiyama, T. Surface energy partitioning and evapotranspiration over a double-cropping paddy field in Bangladesh. Hydrol. Process. 2012, 26, 1311–1320. [Google Scholar] [CrossRef]
- Ranghetti, L.; Cardarelli, E.; Boschetti, M.; Busetto, L.; Fasola, M. Assessment of water management changes in the Italian rice paddies from 2000 to 2016 using satellite data: A contribution to agro-ecological studies. Remote Sens. 2018, 10, 80–90. [Google Scholar] [CrossRef]







| Variable | Sensor Model and Manufacturer | Position (m)—Sites |
|---|---|---|
| Wind speed components | 3D sonic anemometer (CSAT3, Campbell Scientific Inc., Logan, Utah) | 10—PRS 3—CAS |
| H2O concentration | Open gas analyzer (LI-7500, LI-COR Inc., Lincoln, Nebraska) | 10—PRS 3—CAS |
| Air temperature and relative humidity | Thermohygrometer (HMP45C-L; Campbell Scientific Inc., Logan, Utah) | 10—PRS |
| Precipitation | Pluviometer (TB4 Rain Gauge; Campbell Scientific Inc., Logan, Utah) | 10—PRS 6—CAS |
| Net radiation | Net Radiometer (NR LITE, Kipp&Zonen, Delft, The Netherlands) | 8—PRS 3.4—CAS |
| Global Radiation | Pyranometer (CMB6, Kipp&Zonen, Delft, The Netherlands) | 8—PRS |
| Soil temperature | Thermometer (STP01 Hukseflux Thermal Sensors B.V., Delft, The Netherlands) | −0.02; 0.05—PRS |
| Ground heat flux | Heat flux (HFP01SC-L; Hukseflux Thermal Sensors B.V., Delft, The Netherlands) | −0.07—PRS |
| Air temperature | 3D sonic anemometer (CSAT3, Campbell Scientific Inc., Logan, Utah) | 3—CAS |
| Relative humidity | Combined data from CSAT3 and LI-7500 | 10—PRS |
| PRS | CAS | |||
|---|---|---|---|---|
| Fallow | Rice | Fallow | Rice | |
| Rn (W m−2) | 67.62 | 146.16 | 59.84 | 146.08 |
| LE (W m−2) | 53.44 | 91.01 | 50.14 | 118.97 |
| H (W m−2) | 10.01 | 10.08 | 10.79 | 2.96 |
| G (W m−2) | −0.36 | 4.56 | −5.63 | 10.75 |
| RAE (W m−2) | 4.53 | 34.53 | 4.54 | 13.40 |
| Λ ± stdev | 0.87 ± 0.22 | 0.92 ± 0.13 | 0.86 ± 0.21 | 0.98 ± 0.11 |
| Site | Period | r | RMSE (mm 8-Day−1) | PBIAS (%) | Bias (mm 8-Day−1) |
|---|---|---|---|---|---|
| PRS | 2003–2004 | 0.65 | 13.40 | −38.70 | −8.77 |
| CAS | 2011–2014 | 0.50 | 16.35 | −33.70 | −8.26 |
| CAS | 2011 | 0.66 | 13.55 | −20.70 | −4.62 |
| CAS | 2012 | 0.61 | 14.22 | −43.00 | −9.83 |
| CAS | 2013 | 0.41 | 19.12 | −34.80 | −8.99 |
| CAS | 2014 | 0.38 | 17.83 | −35.60 | −9.58 |
| PRS | Fallow | 0.34 | 10.75 | −44.20 | −6.88 |
| PRS | Rice | 0.41 | 17.17 | −34.20 | −12.14 |
| CAS | Fallow | 0.44 | 9.49 | −43.30 | −6.93 |
| CAS | Rice | −0.05 | 23.04 | −27.6 | −10.22 |
| Site | Year | ETMODIS (mm Year−1) | ETMODIS-Tower (mm Year−1) | EC (mm Year−1) |
|---|---|---|---|---|
| PRS | 2003–2004 | 665.9 | 592.8 | 1079.6 |
| CAS | 2011 | 814.5 | 617.6 | 1027.1 |
| CAS | 2012 | 599.4 | 529.6 | 1051.7 |
| CAS | 2013 | 776.0 | 642.6 | 1189.5 |
| CAS | 2014 | 796.3 | 764.5 | 1237.2 |
| ETMODIS | EC | Temp | VPD | LAI | fPAR | Albedo | TempMERRA | RgMERRA | VPDMERRA | |||
|---|---|---|---|---|---|---|---|---|---|---|---|---|
| ETMODIS | 1 | 0.65 | 0.57 | 0.47 | 0.54 | 0.44 | 0.92 | 0.82 | 0.48 | 0.55 | 0.47 | 0.43 |
| EC | 0.5 | 1 | 0.77 | 0.91 | 0.95 | 0.81 | 0.69 | 0.50 | 0.76 | 0.77 | 0.89 | 0.75 |
| Temp | 0.52 | 0.82 | 1 | 0.68 | 0.78 | 0.82 | 0.56 | 0.48 | 0.77 | 0.99 | 0.72 | 0.77 |
| 0.42 | 0.91 | 0.78 | 1 | 0.98 | 0.86 | 0.55 | 0.35 | 0.83 | 0.70 | 0.96 | 0.82 | |
| 0.43 | 0.96 | 0.83 | 0.95 | 1 | 0.87 | 0.59 | 0.40 | 0.82 | 0.79 | 0.95 | 0.83 | |
| VPD | 0.34 | 0.65 | 0.72 | 0.74 | 0.67 | 1 | 0.54 | 0.40 | 0.85 | 0.84 | 0.86 | 0.92 |
| LAI | 0.88 | 0.53 | 0.55 | 0.50 | 0.50 | 0.38 | 1 | 0.92 | 0.52 | 0.57 | 0.54 | 0.56 |
| fPAR | 0.80 | 0.44 | 0.51 | 0.44 | 0.43 | 0.30 | 0.90 | 1 | 0.36 | 0.47 | 0.32 | 0.42 |
| Albedo | 0.71 | 0.29 | 0.43 | 0.35 | 0.31 | 0.23 | 0.72 | 0.86 | 1 | 0.81 | 0.88 | 0.84 |
| TempMERRA | 0.52 | 0.82 | 0.98 | 0.79 | 0.83 | 0.67 | 0.58 | 0.56 | 0.48 | 1 | 0.76 | 0.83 |
| RgMERRA | 0.41 | 0.90 | 0.79 | 0.94 | 0.82 | 0.73 | 0.49 | 0.40 | 0.29 | 0.80 | 1 | 0.86 |
| VPDMERRA | 0.24 | 0.80 | 0.77 | 0.83 | 0.82 | 0.61 | 0.49 | 0.47 | 0.34 | 0.84 | 0.84 | 1 |
© 2019 by the authors. Licensee MDPI, Basel, Switzerland. This article is an open access article distributed under the terms and conditions of the Creative Commons Attribution (CC BY) license (http://creativecommons.org/licenses/by/4.0/).
Share and Cite
Souza, V.d.A.; Roberti, D.R.; Ruhoff, A.L.; Zimmer, T.; Adamatti, D.S.; Gonçalves, L.G.G.d.; Diaz, M.B.; Alves, R.d.C.M.; Moraes, O.L.L.d. Evaluation of MOD16 Algorithm over Irrigated Rice Paddy Using Flux Tower Measurements in Southern Brazil. Water 2019, 11, 1911. https://doi.org/10.3390/w11091911
Souza VdA, Roberti DR, Ruhoff AL, Zimmer T, Adamatti DS, Gonçalves LGGd, Diaz MB, Alves RdCM, Moraes OLLd. Evaluation of MOD16 Algorithm over Irrigated Rice Paddy Using Flux Tower Measurements in Southern Brazil. Water. 2019; 11(9):1911. https://doi.org/10.3390/w11091911
Chicago/Turabian StyleSouza, Vanessa de Arruda, Débora Regina Roberti, Anderson Luis Ruhoff, Tamíres Zimmer, Daniela Santini Adamatti, Luis Gustavo G. de Gonçalves, Marcelo Bortoluzzi Diaz, Rita de Cássia Marques Alves, and Osvaldo L. L. de Moraes. 2019. "Evaluation of MOD16 Algorithm over Irrigated Rice Paddy Using Flux Tower Measurements in Southern Brazil" Water 11, no. 9: 1911. https://doi.org/10.3390/w11091911
APA StyleSouza, V. d. A., Roberti, D. R., Ruhoff, A. L., Zimmer, T., Adamatti, D. S., Gonçalves, L. G. G. d., Diaz, M. B., Alves, R. d. C. M., & Moraes, O. L. L. d. (2019). Evaluation of MOD16 Algorithm over Irrigated Rice Paddy Using Flux Tower Measurements in Southern Brazil. Water, 11(9), 1911. https://doi.org/10.3390/w11091911

