Characteristics of Horizontal Precipitation in Semi-Humid Forestland in Northern China
Abstract
1. Introduction
2. Methods
2.1. Theory
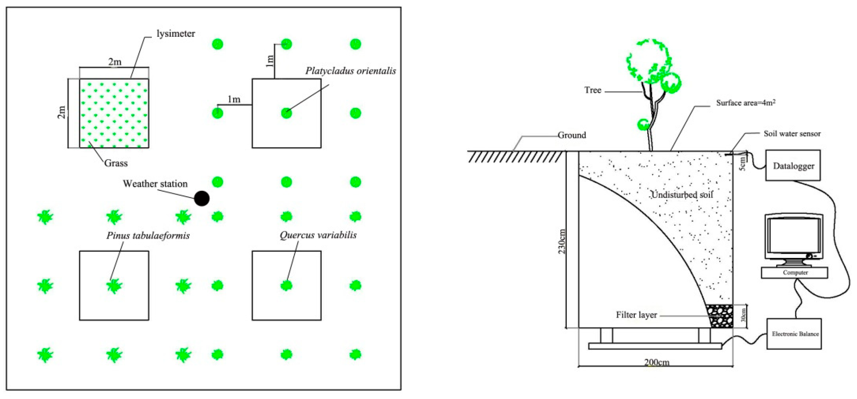
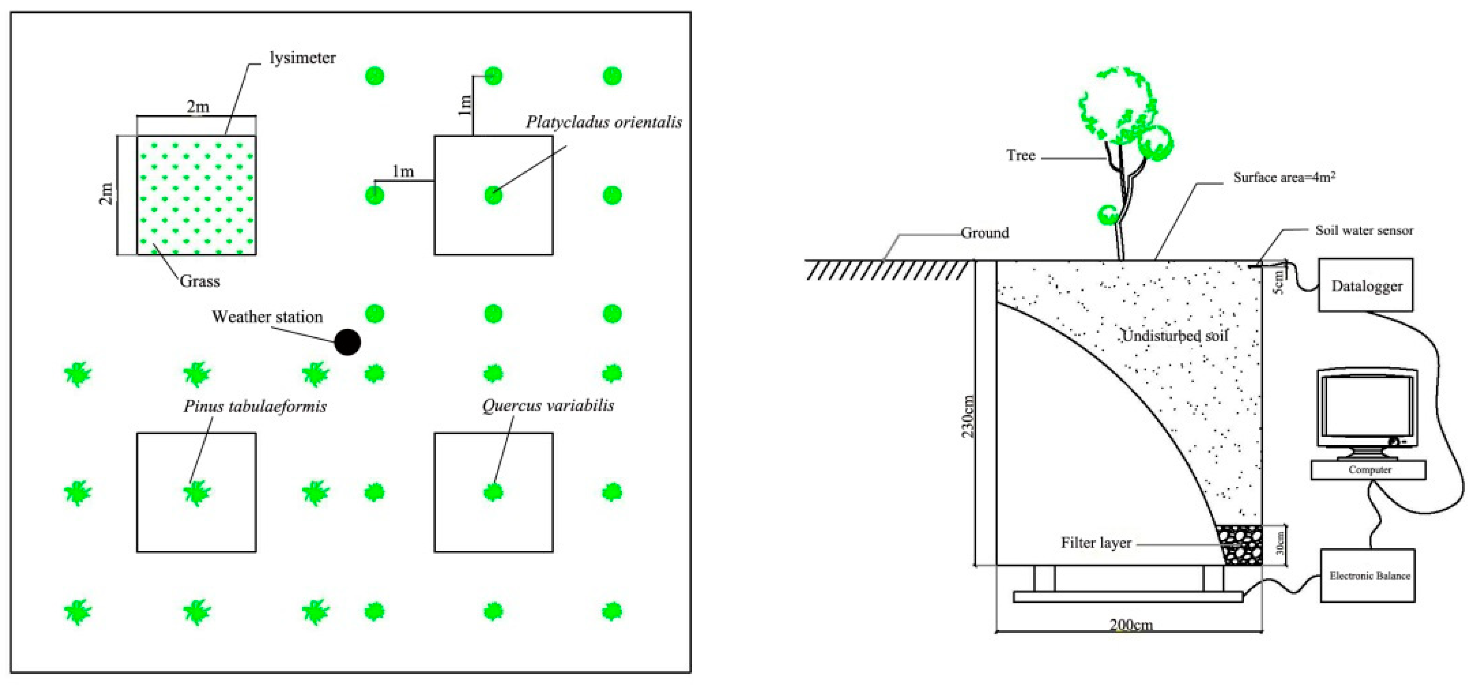
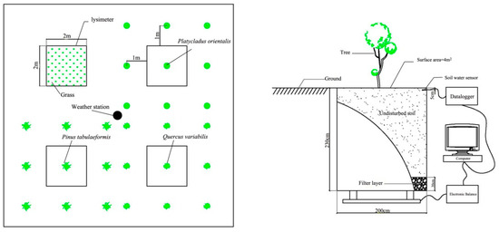
2.2. Study Site Description
2.3. Horizontal Precipitation Measurements
2.4. Meteorological Data Measurements
2.5. Data Analysis
3. Results
3.1. The Duration and Quantity of Horizontal Precipitation
3.2. Canopy Condensation and Water Vapor Absorption by Soil
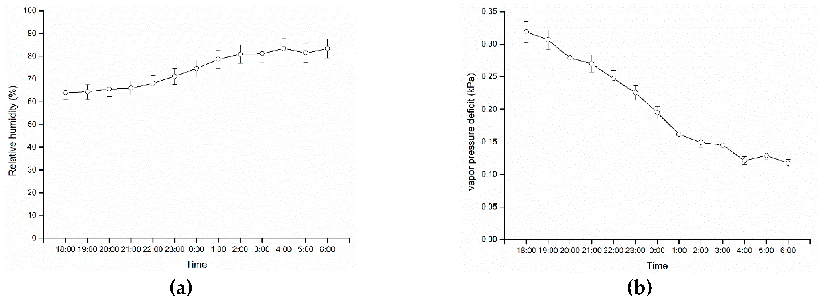
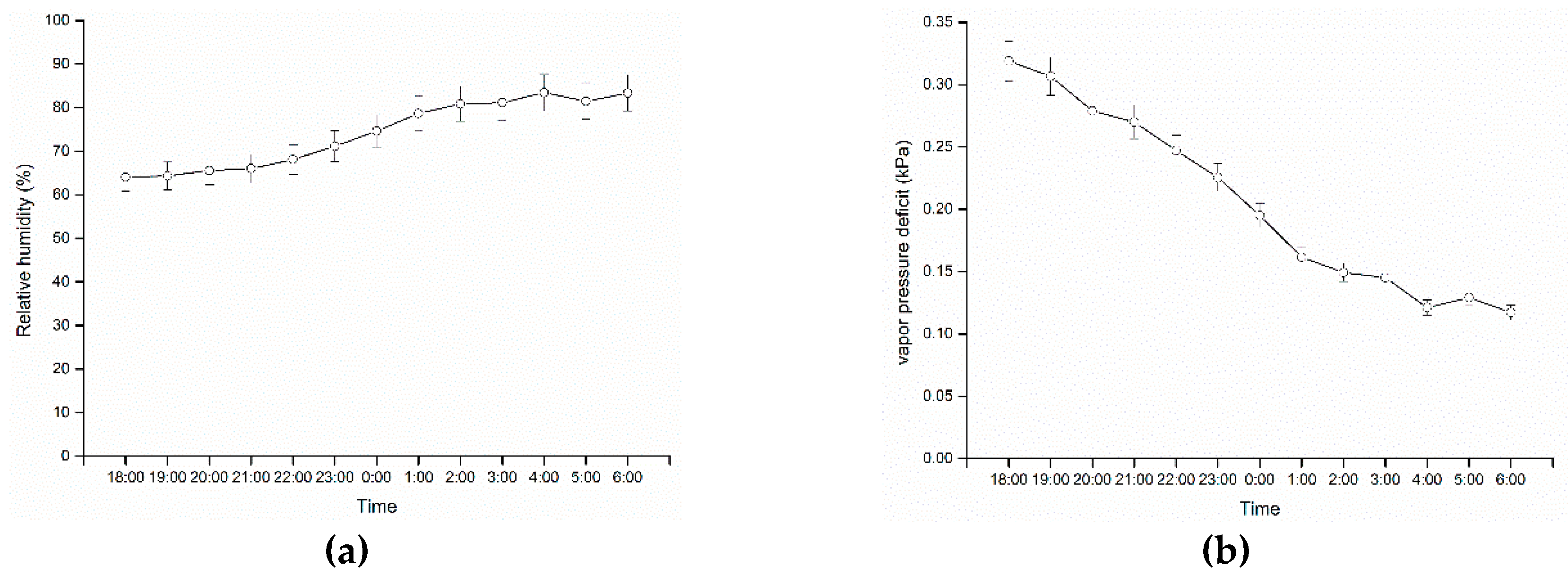
3.3. The Relationship between Horizontal Precipitation and Meteorological Factors
4. Discussion
4.1. Forestland-Specific Differences in Horizontal Precipitation
4.2. The Effect of Horizontal Precipitation on Water Cycle Changing
4.3. The Meteorological Factors that Affect Horizontal Precipitation
5. Conclusions
Author Contributions
Funding
Conflicts of Interest
References
- Liu, W.J.; Zeng, J.M.; Wang, C.M.; Li, H.M.; Duan, W.P. On the relationship between forests and occult precipitation (dew and fog p recipitation). J. Nat. Resour. 2001, 16, 571–575. [Google Scholar]
- Agam, N.; Berliner, P.R. Dew formation and water vapor adsorption in semi-arid environments—A review. J. Arid Environ. 2006, 65, 572–590. [Google Scholar] [CrossRef]
- Xiao, H.J.; Meissner, R.; Seeger, J.; Rupp, H.; Borg, H. Effect of vegetation type and growth stage on dewfall, determined with high precision weighing lysimeters at a site in northern Germany. J. Hydrol. 2009, 377, 43–49. [Google Scholar] [CrossRef]
- Jacobs, A.F.G.; Heusinkveld, B.G.; Berkowicz, S.M. A simple model for potential dewfall in an arid region. Atmos. Res. 2002, 64, 285–295. [Google Scholar] [CrossRef]
- Kalthoff, N.; Fiebig-Wittmaack, M.; MeiXnera, C.; Kohlera, M.; Uriartea, M.; Bischoff-GauX, I.; Gonzales, E. The energy balance, evapo-transpiration and nocturnal dew deposition of an arid valley in the Andes. J. Arid Environ. 2006, 65, 420–443. [Google Scholar] [CrossRef]
- Veste, M.; Heusinkveld, B.G.; Berkowicz, S.M.; Breckle, S.W.; Littmann, T.; Jacobs, A.F.G. Dew Formation and Activity of Biological Soil Crusts. In Arid Dune Ecosystems; Springer: Berlin/Heidelberg, Germany, 2008; pp. 305–318. [Google Scholar]
- Uclés, O.; Villagarcía, L.; Moro, M.J.; Canton, Y.; Domingo, F. Role of dewfall in the water balance of a semiarid coastal steppe ecosystem. Hydrol. Process. 2014, 28, 2271–2280. [Google Scholar] [CrossRef]
- Prado, R.D.; Sancho, L.G. Dew as a key factor for the distribution pattern of the lichen species Teloschistes lacunosus in the Tabernas Desert. Flora 2007, 202, 417–428. [Google Scholar] [CrossRef]
- Lange, O.L.; Geiger, I.L.; Schulze, E.D. Ecophysiological Investigations on Lichens of the Negev Desert. Oecologia 1977, 28, 247–259. [Google Scholar] [CrossRef] [PubMed]
- Dawson, T.E. Fog in the California redwood forest: Ecosystem inputs and use by plants. Oecologia 1998, 117, 476–485. [Google Scholar] [CrossRef] [PubMed]
- Bruijnzeel, L.A.; Scatena, F.N.; Scatena, F.N. Hydrometeorology of tropical montane cloud forests. Hydrol. Process. 2011, 25, 465–498. [Google Scholar] [CrossRef]
- Giambelluca, T.W.; Delay, J.K.; Nullet, M.A.; Scholl, M.A.; Gingerich, S.B. Canopy water balance of windward and leeward Hawaiian cloud forests on Haleakalā, Maui, Hawai’i. Hydrol. Process. 2011, 25, 438–447. [Google Scholar] [CrossRef]
- Yue, N. The characteristics of water resource and sustainable utilization in Beijing. J. Cap. Norm. Univ. 2007, 28, 107–133. [Google Scholar]
- Wu, P.L.; Zhang, W. Water crisis and sustainable water resource utilization in Beijing. J. Liaoning Tech. Univ. 2005, 24, 436–439. [Google Scholar]
- Hui, G.; Pommerening, A. Analysing tree species and size diversity patterns in multi-species uneven-aged forests of Northern China. For. Ecol. Manag. 2014, 316, 125–138. [Google Scholar] [CrossRef]
- Liu, Z.Q.; Yu, X.X.; Jia, G.D.; Jia, J.B.; Lou, Y.H.; Lu, W.W. Contrasting water sources of evergreen and deciduous tree species in rocky mountain area of Beijing, China. Catena 2017, 150, 108–115. [Google Scholar] [CrossRef]
- Keesstra, S.D.; Temme, A.J.A.M.; Schoorl, J.M.; Visser, S.M. Evaluating the hydrological component of the new catchment-scale sediment delivery model LAPSUS-D. Geomorphology 2014, 212, 97–107. [Google Scholar] [CrossRef]
- Van Eck, C.M.; Nunes, J.P.; Vieira, D.C.; Keesstra, S.; Keizer, J.J. Physically-Based Modelling of the Post-Fire Runoff Response of a Forest Catchment in Central Portugal: Using Field versus Remote Sensing Based Estimates of Vegetation Recovery. Land Degrad. Dev. 2016, 27, 1535–1544. [Google Scholar] [CrossRef]
- Cerdà, A.; Rodrigo-Comino, J.; Giménez-Morera, A.; Keesstra, S.D. Hydrological and erosional impact and farmer’s perception on catch crops and weeds in citrus organic farming in Canyoles river watershed, Eastern Spain. Agric. Ecosyst. Environ. 2018, 258, 49–58. [Google Scholar] [CrossRef]
- Madeira, A.C.; Kim, K.S.; Taylor, S.E.; Gleason, M.L. A simple cloud-based energy balance model to estimate dew. Agric. For. Meteorol. 2002, 111, 55–63. [Google Scholar] [CrossRef]
- Magarey, R.D.; Russo, J.M.; Seem, R.C. Simulation of surface wetness with a water budget and energy balance approach. Agric. For. Meteorol. 2006, 139, 373–381. [Google Scholar] [CrossRef]
- Monteith, J.L.; Butler, D.R. Dew and thermal lag: A model for cocoa pods. Q. J. R. Meteorol. Soc. 2010, 105, 207–215. [Google Scholar] [CrossRef]
- Burrage, S.W. Dew on wheat. Agric. Meteorol. 1972, 10, 3–12. [Google Scholar] [CrossRef]
- Langmuir, I. The Adsorption of Gases on Plane Surfaces of Glass, Mica and Platinum. J. Chem. Phys. 2015, 40, 1361–1403. [Google Scholar] [CrossRef]
- De Vries, D.A. Simultaneous transfer of heat and moisture in porous media. Trans. Am. Geophys. Union 1958, 39, 909. [Google Scholar] [CrossRef]
- Sun, H.L.; Zhi-Yuan, L.V.; Guo, K.Z. Research on atmosphere water potential and its influential factors of artificial grass SPAC system in Maowusu desert. J. Inner Mong. Agric. Univ. 2008, 3, 42–45. [Google Scholar]
- Zhang, J.S.; Wu, Y.Q.; Li, Z. Test and Research of Precipitation Intercepted by Groundwater and Condensation in Desert Pool of North Area of Shaanxi. J. Soil Water Conserv. 2005, 19, 124–126. [Google Scholar]
- Shi, Y. Eco-Hydrological Process Analysis on Forest Ecosystems of Major Dominant Species in Beijing Mountainous Area. Ph.D. Thesis, Beijing Forestry University, Beijing, China, 2010. [Google Scholar]
- Malek, E. Night-time evapotranspiration vs. daytime and 24 h evapotranspiration. J. Hydrol. 1992, 138, 119–129. [Google Scholar] [CrossRef]
- Tolk, J.A.; Howell, T.A.; Evett, S.R. Nighttime Evapotranspiration from Alfalfa and Cotton in a Semiarid Climate. Agron. J. 2006, 98, 730–736. [Google Scholar] [CrossRef]
- Xiao, H.J.; Meissner, R.; Seeger, J. Analysis of the effect of meteorological factors on dewfall. Sci. Total Environ. 2013, 45, 384–393. [Google Scholar] [CrossRef] [PubMed]
- Pan, Y.X.; Wang, X.P.; Zhang, Y.F. Dew formation characteristics in a revegetation-stabilized desert ecosystem in Shapotou area, Northern China. J. Hydrol. 2010, 387, 265–272. [Google Scholar] [CrossRef]
- Richards, K. Urban and Rural dewfall, surfacemoisture and humidity measurements for Vancouver, Canada. Bound. Layer Meteorol. 2004, 114, 143–163. [Google Scholar] [CrossRef]
- Gao, Y.F.; Zhao, C.Y.; Wang, Q.T.; Ge, H.Y.; Lin, M. Dew condensation of different vegetation types in Tianlaochi catchment in the upper reaches of the Heihe river. J. Lanzhou Univ. Nat. Sci. 2017, 53, 172–177. [Google Scholar]
- Zangvil, A. Six years of dew observations in the Negev Desert, Israel. J. Arid Environ. 1996, 32, 361–371. [Google Scholar] [CrossRef]
- Ye, Y.; Zhou, K.; Song, L. Dew amounts and its correlations with meteorological factors in urban landscapes of Guangzhou, China. Atmos. Res. 2007, 86, 21–29. [Google Scholar] [CrossRef]
- Li, X.Y. Effects of gravel and sand mulches on dew deposition in the semiarid region of China. J. Hydrol. 2002, 260, 151–160. [Google Scholar] [CrossRef]
- Liu, W.J.; Liu, W.Y.; Li, P.J.; Gao, L.; Shen, Y.X.; Wang, P.Y.; Zhang, Y.P.; Li, H.M. Using stable isotopes to determine sources of fog drip in a tropical seasonal rain forest of Xishuangbanna, SW China. Agric. For. Meteorol. 2007, 143, 80–91. [Google Scholar] [CrossRef]
- Dawson, T.E.; Burgess, S.S.; Tu, K.P. Nighttime transpiration in woody plants from contrasting ecosystems. Tree Physiol. 2007, 27, 561–575. [Google Scholar] [CrossRef]














| Type | Research Site | Mean Day Value (mm/d) | Mean Year Value (mm) | Literature |
|---|---|---|---|---|
| City | Forest land (Guangzhou China) | 0.034 | (Ye, 2007) | |
| Industrial district (Guangzhou China) | 0.022 | |||
| Business district (Guangzhou China) | 0.013 | |||
| Residential district (Guangzhou China) | 0.009 | |||
| Farmland | Corn field (lowa state USA) | 0.01–0.6 | (Erik D, 2009) | |
| Soybean field (lowa state USA) | 0.003–0.8 | |||
| paddy field (Los Banos Philippines) | 0.041–0.218 | |||
| island | Ajaccio island France | 0.036–0.07 | 8.4–9.8 | (Beysens, 2005) |
| Polynesia island France | 0.068 | 5.58 | (Clus, 2008) | |
| Dalmatian beach Croatia | 0.001–0.592 | 9.3–20 | (Muselli, 2009) | |
| desert | Kothara desert India | 0.022–0.25 | (Sharan, 2007) | |
| Lanzhou China | 0.22–0.25 | (Li, 2002) | ||
| Tropic Zone | Xishuangbanna China | 1.36 | 89.4 | (Liu, 2006; 2007) |
| Tree Species | Density (Tree/hm) | DBH * (cm) | Height (m) | Crown Diameter (m) (Length × Width) |
|---|---|---|---|---|
| Lolium perenne | ±70% (coverage) | ±0.05 | ||
| Q. variabilis | 2500 | ±4.9 | ±2.5 | ±1.2 × 1.3 |
| P. orientalis | 2500 | ±5.2 | ±2.5 | ±1.0 × 1.3 |
| P. tabulaeformis | 2500 | ±5.5 | ±2.4 | ±1.3 × 1.5 |
| Size | Air Temperature (°C) | Soil Temperature (5 cm) (°C) | Relative Humidity (%) | Wind Speed (m/s) | Atmospheric Pressure (hPa) | |
|---|---|---|---|---|---|---|
| HP quantity over day time scale | Pearson correlation | −0.108 | −0.245 ** | 0.089 | −0.128 * | 0.071 |
| p value | 0.147 | 0.000 | 0.239 | 0.09 | 0.346 | |
| N | 176 | 176 | 176 | 176 | 176 | |
| Canopy and soil condensation quantity over day time scale | Pearson correlation | −0.152 * | −0.138 * | 0.079 | −0.115 * | 0.05 |
| p value | 0.035 | 0.424 | 0.295 | 0.046 | 0.508 | |
| N | 176 | 176 | 176 | 176 | 176 | |
| Soil water vapor absorption quantity over day time scale | Pearson correlation | −0.034 | −0.173 * | 0.007 | −0.022 | 0.011 |
| p value | 0.077 | 0.033 | 0.932 | 0.706 | 0.885 | |
| N | 176 | 176 | 176 | 176 | 176 | |
| HP duration over day time scale | Pearson correlation | −0.140 * | −0.220 ** | 0.130 | −0.275 ** | −0.00 5 |
| p value | 0.003 | 0.005 | 0.372 | 0.807 | 0.977 | |
| N | 31 | 31 | 31 | 31 | 31 |
© 2019 by the authors. Licensee MDPI, Basel, Switzerland. This article is an open access article distributed under the terms and conditions of the Creative Commons Attribution (CC BY) license (http://creativecommons.org/licenses/by/4.0/).
Share and Cite
Jia, J.; Yan, W.; Chen, X.; Liu, W. Characteristics of Horizontal Precipitation in Semi-Humid Forestland in Northern China. Water 2019, 11, 975. https://doi.org/10.3390/w11050975
Jia J, Yan W, Chen X, Liu W. Characteristics of Horizontal Precipitation in Semi-Humid Forestland in Northern China. Water. 2019; 11(5):975. https://doi.org/10.3390/w11050975
Chicago/Turabian StyleJia, Jianbo, Wende Yan, Xiaoyong Chen, and Wenna Liu. 2019. "Characteristics of Horizontal Precipitation in Semi-Humid Forestland in Northern China" Water 11, no. 5: 975. https://doi.org/10.3390/w11050975
APA StyleJia, J., Yan, W., Chen, X., & Liu, W. (2019). Characteristics of Horizontal Precipitation in Semi-Humid Forestland in Northern China. Water, 11(5), 975. https://doi.org/10.3390/w11050975

