Modeling Streambank and Artificial Gravel Deposit Erosion for Sediment Replenishment
Abstract
:1. Introduction
2. Materials and Methods
2.1. Numerical Model
2.2. Reference Laboratory Experiments and Numerical Model Setup
2.2.1. Streambank Erosion in a Straight Trapezoidal Channel
2.2.2. Erosion of Artificial Gravel Deposits
2.3. Evaluation of Morphodynamic Simulations
3. Results
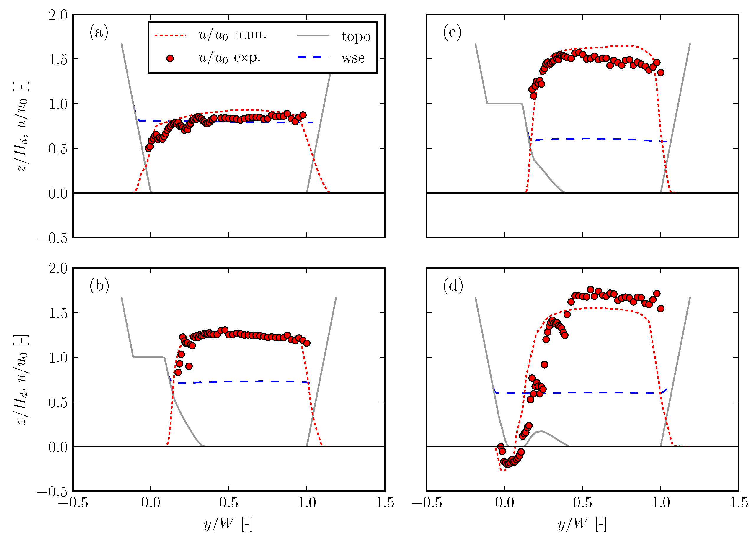
3.1. Streambank Erosion in a Straight Channel
3.2. Erosion of Artificial Gravel Deposits
3.2.1. Erosion Process
3.2.2. Sediment Supply to the Downstream Reach
Influence of Gravel Deposit Geometry and Grain Size Distribution
Influence of Discharge
4. Discussion
4.1. Effect of Grid Resolution
4.2. Comparison with Numerical Models from the Literature
4.3. Grain Sorting Effects
5. Conclusions
- Bank collapse should make use of reasonable assumptions for the critical angles of the dry and wet material and , respectively;
- The lateral bed slope effect on the bed load transport direction required a reasonable value for the Ikeda parameter in the range of ;
- The effect of grid resolution should be investigated in a sensitivity analysis;
- A high resolution of the computational grid for the gravel deposit is required, e.g., 15–20 cells over the width of the gravel deposit;
- Consider grain sorting effects on hydraulic friction in the case of non-uniform sediment: dynamically determine the equivalent sand roughness based on the actual local grain size composition, e.g., 2.5 ;
- Use the non-uniform bed load formula to account for sorting effects, e.g., Equation (3), with the bed load pre-factor and bed load exponent within a reasonable range (, );
- Overall, the erosion of the gravel deposit is sensitive to the water discharge and hence to the flood hydrograph used for modeling.
Acknowledgments
Author Contributions
Conflicts of Interest
References
- Bunte, K. State of the Science Review Gravel Mitigation and Augmentation below Hydroelectric Dams: A Geomorphological Perspective; Prepared for Stream Systems Technology Center, Technical Report; Engineering Research Center, Colorado State University: Fort Collins, CO, USA, 2004. [Google Scholar]
- Kondolf, M.G.; Minear, T.J. Coarse Sediment Augmentation on the Trinity River below Lewiston Dam: Geomorphic Perspectives and Review of Past Projects; Prepared for Trinity River Restoration Program, Technical Report; College of Environmental Design, University of California: Berkeley, CA, USA, 2004. [Google Scholar]
- Kondolf, G.M.; Angermeier, P.L.; Cummins, K.; Dunne, T.; Healey, M.; Kimmerer, W.; Moyle, P.B.; Murphy, D.; Patten, D.; Railsback, S.; et al. Projecting cumulative benefits of multiple river restoration projects: An example from the Sacramento-San Joaquin river system in California. Environ. Manag. 2008, 42, 933–945. [Google Scholar] [CrossRef] [PubMed]
- Roni, P.; Hanson, K.; Beechie, T. Global review of the physical and biological effectiveness of stream habitat rehabilitation techniques. N. Am. J. Fish. Manag. 2008, 28, 856–890. [Google Scholar] [CrossRef]
- Zeug, S.C.; Sellheim, K.; Watry, C.; Rook, B.; Hannon, J.; Zimmerman, J.; Cox, D.; Merz, J. Gravel augmentation increases spawning utilization by anadromous salmonids: A case study from California, USA. River Res. Appl. 2014, 30, 707–718. [Google Scholar] [CrossRef]
- Hackl, S. Geschiebebewirtschaftung an der Reuss (’Bed load management at the Reuss River’). Umwelt Aargau 2013, 62, 9–12. (In German) [Google Scholar]
- Schälchli, U.; Breitenstein, M.; Kirchhofer, A. Kiesschüttungen zur Reaktivierung des Geschiebehaushalts der Aare—Die kieslaichenden Fische freut’s (’Gravel deposits to reactivate bed load transport at the Aare River—The fish are happy’). Wasser Energie Luft 2010, 102, 209–213. (In German) [Google Scholar]
- Pulg, U. Die Restaurierung von Kiesleichplätzen (’Restoration of Spawing Grounds for Fish’); Technical Report; Landesfischereiverband Bayern e.V.: München, Germany, 2007. [Google Scholar]
- Krause, A.F. History of Mechanical Sediment Augmentation and Extraction on the Trinity River, California, 1912–2011; Technical Report TR-TRRP-2012-2 (Revised); Bureau of Reclamation, Trinity River Restoration Program: Weaverville, CA, USA, 2012. [Google Scholar]
- Ock, G.; Kondolf, G.M.; Takemon, Y.; Sumi, T. Missing link of coarse sediment augmentation to ecological functions in regulated rivers below dams: Comparative approach in Nunome River, Japan and Trinity River, California, US. In Proceedings of the 12th International Symposium on River Sedimentation, Kyoto, Japan, 2–5 September 2013; Fukuoka, S., Nakagawa, H., Sumi, T., Zhang, H., Eds.; CRC Press: Boca Raton, FL, USA, 2013; pp. 21–34. [Google Scholar]
- Pizzuto, J.E. Numerical simulation of gravel river widening. Water Resour. Res. 1990, 26, 1971–1980. [Google Scholar] [CrossRef]
- Kovacs, A.; Parker, G. A new vectorial bedload formulation and its application to the time evolution of straight river channels. J. Fluid Mech. 1994, 267, 153–183. [Google Scholar] [CrossRef]
- Vigilar, G.; Diplas, P. Stable channels with mobile bed: Formulation and numerical solution. J. Hydraul. Eng.-ASCE 1997, 123, 189–199. [Google Scholar] [CrossRef]
- Vigilar, G.; Diplas, P. Stable channels with mobile bed: Model verification and graphical solution. J. Hydraul. Eng.-ASCE 1998, 124, 1097–1108. [Google Scholar] [CrossRef]
- Choi, S.U.; Joung, Y. Numerical prediction of morphological change of straight trapezoidal open-channel. J. Hydro-Environ. Res. 2012, 6, 111–118. [Google Scholar] [CrossRef]
- Abderrezzak, K.E.K.; Moran, A.D.; Tassi, P.; Ata, R.; Hervouet, J.M. Modelling river bank erosion using a 2D depth-averaged numerical model of flow and non-cohesive, non-uniform sediment transport. Adv. Water Resour. 2016, 93, 75–88. [Google Scholar] [CrossRef]
- Enlow, H.K.; Fox, G.A.; Guertault, L. Watershed variability in streambank erodibility and implications for erosion prediction. Water 2017, 9, 605. [Google Scholar] [CrossRef]
- Samadi, A.; Amiri-Tokaldany, E.; Darby, S.E. Identifying the effects of parameter uncertainty on the reliability of riverbank stability modelling. Geomorphology 2009, 106, 219–230. [Google Scholar] [CrossRef]
- Wu, W. Computational River Dynamics; Taylor & Francis: London, UK, 2008. [Google Scholar]
- Volz, C.; Rousselot, P.; Vetsch, D.; Faeh, R. Numerical modelling of non-cohesive embankment breach with the dual-mesh approach. J. Hydraul. Res. 2012, 50, 587–598. [Google Scholar] [CrossRef]
- Thorne, C.R.; Tovey, N.K. Stability of composite river banks. Earth Surf. Process. Landf. 1981, 6, 469–484. [Google Scholar] [CrossRef]
- Darby, S.E.; Alabyan, A.M.; Van de Wiel, M.J. Numerical simulation of bank erosion and channel migration in meandering rivers. Water Resour. Res. 2002, 38, 1163. [Google Scholar] [CrossRef]
- Langendoen, E.J.; Alonso, C.V. Modeling the evolution of incised streams: I. Model formulation and validation of flow and streambed evolution components. J. Hydraul. Eng.-ASCE 2008, 134, 749–762. [Google Scholar] [CrossRef]
- Midgley, T.L.; Fox, G.A.; Heeren, D.M. Evaluation of the bank stability and toe erosion model (BSTEM) for predicting lateral retreat on composite streambanks. Geomorphology 2012, 145-146, 107–114. [Google Scholar] [CrossRef]
- Sutarto, T.; Papanicolaou, A.; Wilson, C.; Langendoen, E. Stability analysis of semicohesive streambanks with CONCEPTS: Coupling field and laboratory investigations to quantify the onset of fluvial erosion and mass failure. J. Hydraul. Eng.-ASCE 2014, 140, 04014041. [Google Scholar] [CrossRef]
- Ikeda, S. Self-formed straight channels in sandy beds. J. Hydraul. Div. 1981, 107, 389–406. [Google Scholar]
- Friedl, F. Sediment Replenishment by Artificial Gravel Deposits and Induced Bank Erosion in Swiss Lowland Rivers; VAW Mitteilungen 245; Boes, R.M., Ed.; Laboratory of Hydraulics, Hydrology and Glaciology (VAW): Zurich, Switzerland, 2017. [Google Scholar]
- Vetsch, D.; Siviglia, A.; Ehrbar, D.; Facchini, M.; Kammerer, S.; Koch, A.; Peter, S.; Vanzo, D.; Vonwiller, L.; Gerber, M.; et al. BASEMENT Basic Simulation Environment for Computation of Environmental Flow and Natural Hazard Simulation (2017), Version 2.7, 2006–2017; Laboratory of Hydraulics, Hydrology and Glaciology (VAW): Zurich, Switzerland, 2017. [Google Scholar]
- Hirano, M. River bed degradation with armoring. Proc. Jpn. Soc. Civ. Eng. 1971, 195, 55–65. [Google Scholar] [CrossRef]
- Meyer-Peter, E.; Mueller, R. Formulas for bed-load transport. In Proceedings of the 2nd Meeting of the International Association of Hydraulic Structures Research (IAHSR), Stockholm, Sweden, 7–9 June 1948; pp. 39–64. [Google Scholar]
- Wong, M.; Parker, G. Reanalysis and correction of bed-load relation of Meyer-Peter and Mueller using their own database. J. Hydraul. Eng. 2006, 132, 1159–1168. [Google Scholar] [CrossRef]
- Einstein, H.A. The Bed-Load Function for Sediment Transportation in Open Channel Flows; Technical Report Technical Bulletin No. 1026; United States Departement of Agriculture: Washington, DC, USA, 1950.
- Ashida, K.; Michiue, M. Study on hydraulic resistance and bedload transport rate in alluvial streams. Proc. Jpn. Soc. Civ. Eng. 1972, 206, 59–69. (In Japanese) [Google Scholar] [CrossRef]
- Egiazaroff, I. Calculation of nonuniform sediment concentrations. J. Hydraul. Div. 1965, 91, 225–247. [Google Scholar]
- Ribberink, J. Mathematical Modelling of One-Dimensional Morphological Changes in Rivers with nOn-Uniform Sediment. Ph.D. Thesis, Delft University of Technology, Delft, The Netherlands, 1987. [Google Scholar]
- Cheng, N.S. Representative grain size and equivalent roughness height of a sediment bed. J. Hydraul. Eng. 2016, 142, 06015016. [Google Scholar] [CrossRef]
- Yalin, M.; da Silva, A. Fluvial Processes; International Association of Hydraulic Engineering and Research (IAHR): Delft, The Netherlands, 2001. [Google Scholar]
- Van Rijn, L.C. Handbook Sediment Transport by Currents and Waves, 2nd ed.; Number Report H 461; Delft Hydraulics: Delft, The Netherlands, 1989. [Google Scholar]
- Ikeda, S. Lateral bed-load transport on side slopes. J. Hydraul. Div. 1982, 108, 1369–1373. [Google Scholar]
- Parker, G. Disscusion of ’Lateral bed-load transport on side slopes’ from Ikeda (1982). J. Hydraul. Eng.-ASCE 1984, 110, 197–199. [Google Scholar] [CrossRef]
- Johannesson, H.; Parker, G. Linear theory of river meanders. River Meander. 1989, 12, 181–214. [Google Scholar]
- Sekine, M.; Parker, G. Bed-load transport on transverse slope. J. Hydraul. Eng.-ASCE 1992, 118, 513–535. [Google Scholar] [CrossRef]
- Talmon, A.; Struiksma, N.; Van Mierlo, M. Laboratory measurements of the direction of sediment transport on transverse alluvial-bed slopes. J. Hydraul. Res. 1995, 33, 495–517. [Google Scholar] [CrossRef]
- Friedl, F.; Weitbrecht, V.; Boes, R.M. Erosion pattern of artificial gravel deposits. Int. J. Sediment Res. 2017. [Google Scholar] [CrossRef]
- Parker, G. 1D Sediment Transport Morphodynamics with Applications to Rivers and Turbidity Currents (Electronic). 2004. Available online: http://hydrolab.illinois.edu/people/parkerg/morphodynamics_e-book.htm (accessed on 16 January 2018).
- Sutherland, J.; Peet, A.; Soulsby, R. Evaluating the performance of morphological models. Coast. Eng. 2004, 51, 917–939. [Google Scholar] [CrossRef]
- Parker, G. Surface-based bedload transport relation for gravel rivers. J. Hydraul. Res. 1990, 28, 417–436. [Google Scholar] [CrossRef]
- Langendoen, E.J.; Mendoza, A.A.; Abad, J.D.; Tassi, P.; Wang, D.; Ata, R.; Abderrezzak, K.E.K.; Hervouet, J.M. Improved numerical modeling of morphodynamics of rivers with steep banks. Adv. Water Resour. 2015, 5, 5–15. [Google Scholar] [CrossRef]
- Koch, F.; Flokstra, C. Bed level computations for curved alluvial channels. In Proceedings of the XIX IAHR Congress, New Delhi, India, 2–7 February 1981. [Google Scholar]
- Ikeda, S. Lateral bed-load transport on side slopes-closure. J. Hydraul. Eng.-ASCE 1984, 110, 200–202. [Google Scholar] [CrossRef]
- Adami, L. Long Term Morphodynamics of Alternate Bars in Straightened Rivers: A Multiple Perspective. Ph.D. Thesis, University of Trento, Trento, Italy, 2016. [Google Scholar]
- Mosselman, E.; Le, T.B. Five common mistakes in fluvial morphodynamic modeling. Adv. Water Resour. 2016, 93, 15–20. [Google Scholar] [CrossRef]
- Vanzo, D.; Adami, L.; Siviglia, A.; Zolezzi, G.; Vetsch, D. The role of numerical diffusion in river alternate bar simulations. In Proceedings of the 10th Symposium on River, Coastal and Estuarine Morphodynamics, Trento-Padova, Italy, 15–22 September 2017. [Google Scholar]
- Schmautz, M. Self-Dynamic Widening in A Straight River Reach—Development and Analysis of A Numerical Model. Ph.D. Thesis, TU München, München, Germany, 2003. (In German). [Google Scholar]
- Baar, A.W.; de Smit, J.; Uijttewaal, W.S.J.; Kleinhans, M.G. Sediment transport of fine sand to fine gravel on transverse bed slopes in rotating annular flume experiments. Water Resour. Res. 2018, 54, 19–45. [Google Scholar] [CrossRef]
- Requena, P. Seitenerosion in Kiesführenden Flüssen—Prozessverständnis und Quantitative Beschreibung (’Lateral Erosion in Gravel-Bed Rivers—Process Understanding and Quantitative Description’); Laboratory of Hydraulics, Hydrology and Glaciology (VAW): Zurich, Switzerland, 2008. (In German) [Google Scholar]
- Laboratory of Hydraulics, Hydrology and Glaciology (VAW). Flussbauliches Monitoring Dynamisierung Töss Mittlere Aue (’River Monitoring of Dynamics at the Widening Mittlere Aue at the Töss River’); VAW Report No. 4291/1; Office of Waste, Water, Energy and Air (WWEA): Zurich, Switzerland, 2012. unpublished. (In German) [Google Scholar]




















| Grid | Mean Element Size (cm) | Number of Elements |
|---|---|---|
| fine | 1.4 | 55,000 |
| medium | 2.2 | 35,000 |
| coarse | 3.4 | 22,000 |
| Exp. NO. | Geometry | (m) | (m) | (m) | (mm) | (-) | Q (m3/s) | (m) |
|---|---|---|---|---|---|---|---|---|
| 2 | trapezoidal | 10.0 | 3.75 | 50.0 | 37.5 | 2.38 | 356 | 2.5 |
| 5 | trapezoidal | 12.5 | 3.75 | 50.0 | 37.5 | 2.38 | 356 | 2.5 |
| 7 | trapezoidal | 15.0 | 3.75 | 50.0 | 37.5 | 2.38 | 228 | 1.9 |
| 8 | trapezoidal | 15.0 | 3.75 | 50.0 | 37.5 | 2.38 | 356 | 2.5 |
| 9 | trapezoidal | 15.0 | 3.75 | 50.0 | 37.5 | 2.38 | 703 | 3.75 |
| 11 | trapezoidal | 15.0 | 2.50 | 50.0 | 37.5 | 2.38 | 356 | 2.5 |
| 14 | trapezoidal | 15.0 | 1.25 | 50.0 | 37.5 | 2.38 | 356 | 2.5 |
| 17 | trapezoidal | 12.5 | 3.75 | 200.0 | 37.5 | 2.38 | 356 | 2.5 |
| 25 | trapezoidal | 15.0 | 3.75 | 50.0 | 50.0 | 2.25 | 356 | 2.5 |
| 28 | trapezoidal | 15.0 | 3.75 | 50.0 | 25.0 | 2.03 | 356 | 2.5 |
| 37 | rectangular | 15.0 | 3.75 | 50.0 | 37.5 | 2.38 | 228 | 1.9 |
| 38 | rectangular | 15.0 | 3.75 | 50.0 | 37.5 | 2.38 | 356 | 2.5 |
| 39 | rectangular | 15.0 | 3.75 | 50.0 | 37.5 | 2.38 | 703 | 3.75 |
| 47 | trapezoidal | 12.5 | 3.75 | 100.0 | 37.5 | 2.38 | 356 | 2.5 |
© 2018 by the authors. Licensee MDPI, Basel, Switzerland. This article is an open access article distributed under the terms and conditions of the Creative Commons Attribution (CC BY) license (http://creativecommons.org/licenses/by/4.0/).
Share and Cite
Vonwiller, L.; Vetsch, D.F.; Boes, R.M. Modeling Streambank and Artificial Gravel Deposit Erosion for Sediment Replenishment. Water 2018, 10, 508. https://doi.org/10.3390/w10040508
Vonwiller L, Vetsch DF, Boes RM. Modeling Streambank and Artificial Gravel Deposit Erosion for Sediment Replenishment. Water. 2018; 10(4):508. https://doi.org/10.3390/w10040508
Chicago/Turabian StyleVonwiller, Lukas, David F. Vetsch, and Robert M. Boes. 2018. "Modeling Streambank and Artificial Gravel Deposit Erosion for Sediment Replenishment" Water 10, no. 4: 508. https://doi.org/10.3390/w10040508
APA StyleVonwiller, L., Vetsch, D. F., & Boes, R. M. (2018). Modeling Streambank and Artificial Gravel Deposit Erosion for Sediment Replenishment. Water, 10(4), 508. https://doi.org/10.3390/w10040508

