Effects of Urban Stormwater Control Measures on Denitrification in Receiving Streams
Abstract
1. Introduction
2. Methods and Analysis
2.1. Study Sites
2.2. Sediment and Stream Water Analysis
2.3. Denitrification Assays
2.4. Statistical Analysis
3. Results
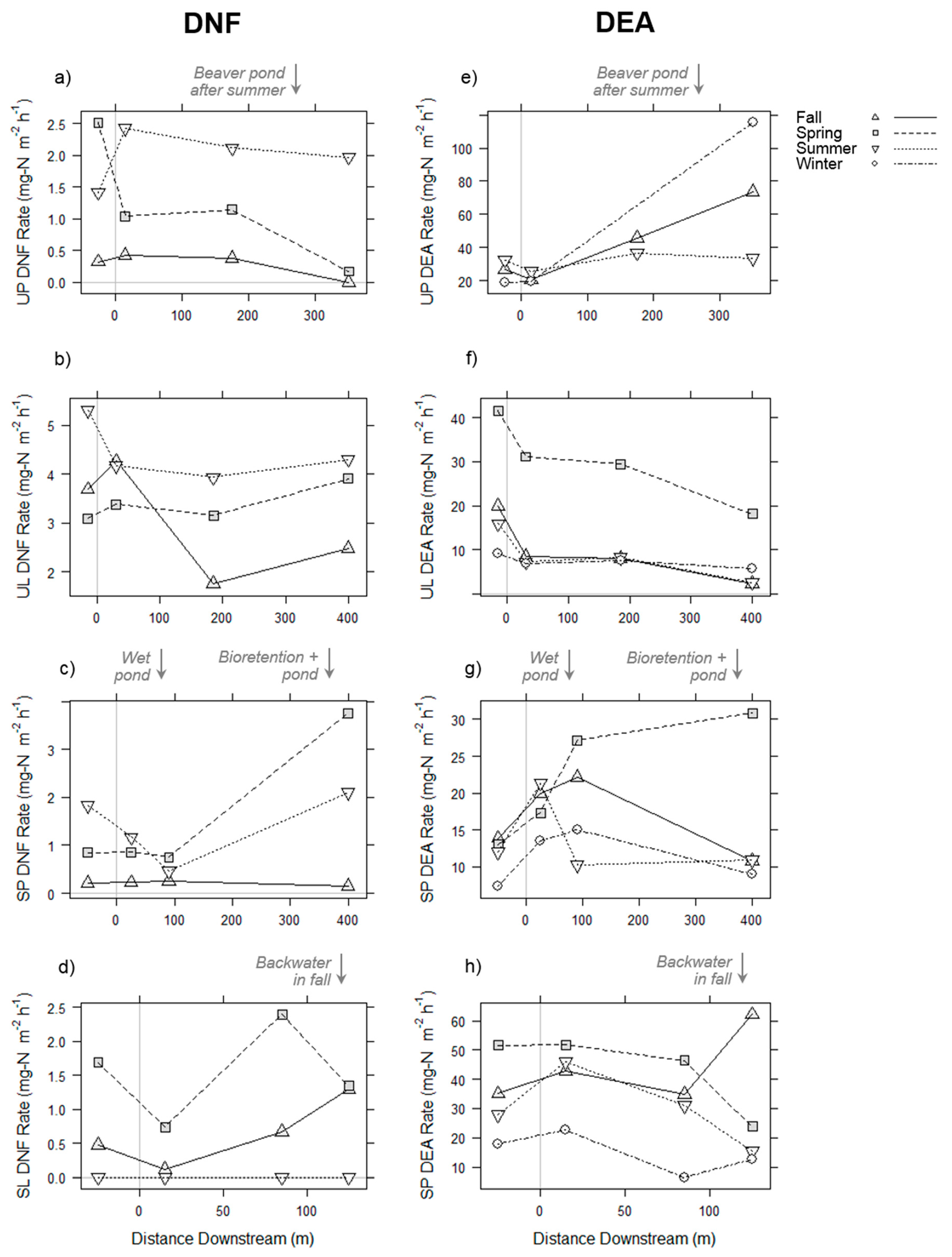
3.1. Denitrification Processes Downstream of the Stream–SCM Confluence
3.2. SCM Influence on Stream Denitrification across Development Types
4. Discussion
4.1. Influence of SCM Inputs on Instream Denitrification
4.2. Environmental Controls
4.3. Watershed Scale Controls
5. Conclusions
Supplementary Materials
Author Contributions
Funding
Acknowledgments
Conflicts of Interest
References
- Paul, M.J.; Meyer, J.L. Streams in the Urban Landscape. Annu. Rev. Ecol. Syst. 2001, 32, 333–365. [Google Scholar] [CrossRef]
- Fletcher, T.D.; Andrieu, H.; Hamel, P. Understanding, management and modelling of urban hydrology and its consequences for receiving waters: A state of the art. Adv. Water Resour. 2013, 51. [Google Scholar] [CrossRef]
- Jefferson, A.J.; Bhaskar, A.S.; Hopkins, K.G.; Fanelli, R.; Avellaneda, P.M.; McMillan, S.K. Stormwater management network effectiveness and implications for urban watershed function: A critical review. Hydrol. Process. 2017, 31. [Google Scholar] [CrossRef]
- Roy, A.H.; Rosemond, A.D.; Paul, M.J.; Leigh, D.S.; Wallace, J.B. Stream macroinvertebrate response to catchment urbanisation (Georgia, USA). Freshw. Biol. 2003, 48, 329–346. [Google Scholar] [CrossRef]
- O’Driscoll, M.; Clinton, S.; Jefferson, A.; Manda, A.; McMillan, S. Review: Urbanization effects on watershed hydrology and in-stream processes in the southern United States. Water 2010, 2, 605–648. [Google Scholar] [CrossRef]
- United States Environmental Protection Agency. The Quality of Our Nation’s Waters; EPA 841-S-00-001; Office of Water: Washington, DC, USA, 2000.
- Hatt, B.E.; Fletcher, T.D.; Walsh, C.J.; Taylor, S.L. The influence of urban density and drainage infrastructure on the concentrations and loads of pollutants in small streams. Environ. Manag. 2004. [Google Scholar] [CrossRef] [PubMed]
- Walsh, C.J.; Roy, A.H.; Feminella, J.W.; Cottingham, P.D.; Groffman, P.M.; Morgan, R.P.; Ii, R.P.M. The urban stream syndrome: Current knowledge and the search for a cure. J. N. Am. Benthol. Soc. 2005, 24, 706–723. [Google Scholar] [CrossRef]
- Reisinger, A.J.; Tank, J.L.; Hoellein, T.J.; Hall, R.O. Sediment, water column, and open-channel denitrification in rivers measured using membrane-inlet mass spectrometry. J. Geophys. Res. G Biogeosci. 2016, 121. [Google Scholar] [CrossRef]
- United States Environmental Protection Agency. National Rivers and Streams Assessment 2008–2009: A Collaborative Survey; EPA/841/R-16/007; Office of Water and Office of Research and Development: Washington, DC, USA, 2016.
- Booth, D.B.; Jackson, C.R. Urbanization of aquatic systems: Degradation thresholds, stormwater detection, and the limits of mitigation. J. Am. Water Resour. Assoc. 1997, 33, 1077–1090. [Google Scholar] [CrossRef]
- Perryman, S.E.; Rees, G.N.; Walsh, C.J.; Grace, M.R. Urban Stormwater Runoff Drives Denitrifying Community Composition Through Changes in Sediment Texture and Carbon Content. Microb. Ecol. 2011. [Google Scholar] [CrossRef] [PubMed]
- Kemp, M.J.; Dodds, W.K. Comparisons of nitrification and denitrification in prairie and agriculturally influenced streams. Ecol. Appl. 2002, 12, 998–1009. [Google Scholar] [CrossRef]
- Seitzinger, S.P. Denitrification in freshwater and coastal marine ecosystems: Ecological and geochemical significance. Limnol. Oceanogr. 1988, 33, 702–724. [Google Scholar] [CrossRef]
- Inwood, S.E.; Tank, J.L.; Bernot, M.J. Factors controlling sediment denitrification in midwestern streams of varying land use. Microb. Ecol. 2007, 53, 247–258. [Google Scholar] [CrossRef] [PubMed]
- Groffman, P.M.; Dorsey, A.M.; Mayer, P.M. N processing within geomorphic structures in urban streams. J. N. Am. Benthol. Soc. 2005, 24, 613–625. [Google Scholar] [CrossRef]
- Harrison, M.D.; Groffman, P.M.; Mayer, P.M.; Kaushal, S.S. Microbial biomass and activity in geomorphic features in forested and urban restored and degraded streams. Ecol. Eng. 2012, 38, 1–10. [Google Scholar] [CrossRef]
- National Research Council. Urban Stormwater Management in the United States; National Research Council: Washington, DC, USA, 2009; ISBN 978-0-309-12539-0. [Google Scholar]
- Walsh, C.J.; Fletcher, T.D.; Ladson, A.R. Stream restoration in urban catchments through redesigning stormwater systems: Looking to the catchment to save the stream. J. N. Am. Benthol. Soc. 2005, 24, 690–705. [Google Scholar] [CrossRef]
- Jefferson, A.J.; Bell, C.D.; Clinton, S.M.; McMillan, S.K. Application of isotope hydrograph separation to understand contributions of stormwater control measures to urban headwater streams. Hydrol. Process. 2015, 29. [Google Scholar] [CrossRef]
- Tillinghast, E.D.; Hunt, W.F.; Jennings, G.D.; D’Arconte, P. Increasing Stream Geomorphic Stability Using Storm Water Control Measures in a Densely Urbanized Watershed. J. Hydrol. Eng. 2012, 17, 1381–1388. [Google Scholar] [CrossRef]
- Bell, C.D.; McMillan, S.K.; Clinton, S.M.; Jefferson, A.J. Characterizing the Effects of Stormwater Mitigation on Nutrient Export and Stream Concentrations. Environ. Manag. 2017, 59. [Google Scholar] [CrossRef] [PubMed]
- Bettez, N.D.; Groffman, P.M. Denitrification potential in stormwater control structures and natural riparian zones in an urban landscape. Environ. Sci. Technol. 2012. [Google Scholar] [CrossRef] [PubMed]
- Strecker, E.W.; Quigley, M.M.; Urbonas, B.R.; Jones, J.E.; Clary, J.K. Determining Urban Storm Water BMP Effectiveness. J. Water Resour. Plan. Manag. 2001. [Google Scholar] [CrossRef]
- Baird, J.; Hunt, W.; Winston, R. Evaluating the Hydrologic and Water Quality Performance of Infiltrating Wet Retention Ponds. In Proceedings of the 2014 World Environment and Water Resource Congress, Portland, OR, USA, 1–5 June 2014. [Google Scholar] [CrossRef]
- Hathaway, J.M.; Hunt, W.F. Evaluation of Storm-Water Wetlands in Series in Piedmont North Carolina. J. Environ. Eng. 2010. [Google Scholar] [CrossRef]
- Horst, M.; Traver, R.; Tokarz, E. BMP Pollutant Removal Efficiency. In Proceedings of the 2008 World Environment and Water Resource Congress, Honolulu, HI, USA, 12–16 May 2008. [Google Scholar] [CrossRef]
- Bernhardt, E.S.; Heffernan, J.B.; Grimm, N.B.; Stanley, E.H.; Harvey, J.W.; Arroita, M.; Appling, A.P.; Cohen, M.J.; Mcdowell, W.H.; Hall, R.O.; et al. The metabolic regimes of flowing waters. Limnol. Oceanogr. 2018, 63, S99–S118. [Google Scholar] [CrossRef]
- McClain, M.E.; Boyer, E.W.; Dent, C.L.; Gergel, S.E.; Grimm, N.B.; Groffman, P.M.; Hart, S.C.; Harvey, J.W.; Johnston, C.A.; Mayorga, E.; et al. Biogeochemical hot spots and hot moments at the interface of terrestrial and aquatic ecosystems. Ecosystems 2003, 6, 301–312. [Google Scholar] [CrossRef]
- Rice, S.P.; Roy, A.G.; Rhoads, B.L. River Confluences, Tributaries and the Fluvial Network; Rice, S., Roy, A., Rhoads, B., Eds.; John Wiley & Sons Ltd.: West Sussex, UK, 2008; ISBN 9780470026724. [Google Scholar]
- Kiffney, P.M.; Greene, C.M.; Hall, J.E.; Davies, J.R. Tributary streams create spatial discontinuities in habitat, biological productivity, and diversity in mainstem rivers. Can. J. Fish. Aquat. Sci. 2006. [Google Scholar] [CrossRef]
- Rice, S.P.; Kiffney, P.; Greene, C.; Pess, G.R. The Ecological Importance of Tributaries and Confluences. In River Confluences, Tributaries and the Fluvial Network; Rice, S., Roy, A., Rhoads, B., Eds.; John Wiley & Sons Ltd.: West Sussex, UK, 2008; ISBN 9780470026724. [Google Scholar]
- Liu, Y.; Engel, B.A.; Flanagan, D.C.; Gitau, M.W.; McMillan, S.K.; Chaubey, I. A review on effectiveness of best management practices in improving hydrology and water quality: Needs and opportunities. Sci. Total Environ. 2017, 601–602, 580–593. [Google Scholar] [CrossRef] [PubMed]
- Koch, B.J.; Febria, C.M.; Gevrey, M.; Wainger, L.A.; Palmer, M.A. Nitrogen Removal by Stormwater Management Structures: A Data Synthesis. J. Am. Water Resour. Assoc. 2014, 50. [Google Scholar] [CrossRef]
- Bell, C.D.; McMillan, S.K.; Clinton, S.M.; Jefferson, A.J. Hydrologic response to stormwater control measures in urban watersheds. J. Hydrol. 2016, 541. [Google Scholar] [CrossRef]
- Carpenter, S.R.; Caraco, N.F.; Correll, D.L.; Howarth, R.W.; Sharpley, A.N.; Smith, V.H. Nonpoint pollution of surface waters with phosphorus and nitrogen. Ecol. Appl. 1998, 8, 559–568. [Google Scholar] [CrossRef]
- Rabalais, N.N.; Turner, R.E.; Wiseman, W.J.J. Hypoxia in the Gulf of Mexico. J. Environ. Qual. 2001, 30, 320–329. [Google Scholar] [CrossRef] [PubMed]
- Groffman, P.M.; Altabet, M.A.; Böhlke, J.K.; Butterbach-Bahl, K.; David, M.B.; Firestone, M.K.; Giblin, A.E.; Kana, T.M.; Nielsen, L.P.; Voytek, M.A. Methods for measuring denitrification: Diverse approaches to a difficult problem. Ecol. Appl. 2006, 16, 2091–2122. [Google Scholar] [CrossRef]
- O’Connor, B.L.; Hondzo, M.; Dobraca, D.; LaPara, T.M.; Finlay, J.A.; Brezonik, P.L. Quantity-activity relationship of denitrifying bacteria and environmental scaling in streams of a forested watershed. J. Geophys. Res. Biogeosci. 2006. [Google Scholar] [CrossRef]
- State Climate Office of North Carolina NC Climate Retrieval and Observations Network of the Southeast Database (CRONOS). Available online: https://climate.ncsu.edu/cronos (accessed on 4 January 2013).
- United States Department of Agriculture-National Resource Conservation Service (USDA-NRCS). Mecklenburg County Soil Survey Report. Available online: http://websoilsurvey.nrcs.usda.gov/app/ (accessed on 4 January 2013).
- Rice, E.W.; Baird, R.B.; Eaton, A.D.; Clesceri, L.S. Standard Methods for the Examination of Water and Wastewater; American Public Health Association, American Water Works Association, Water Environment Federation: Washington, DC, USA, 2012. [Google Scholar]
- Bernot, M.J.; Dodds, W.K.; Gardner, W.S.; McCarthy, M.J.; Sobolev, D.; Tank, J.L. Comparing denitrification estimates for a Texas estuary by using acetylene inhibition and Membrane Inlet Mass Spectrometry. Appl. Environ. Microbiol. 2003, 69, 5950–5956. [Google Scholar] [CrossRef] [PubMed]
- Knowles, R. Denitrification. Microbiol. Rev. 1982, 46, 43–70. [Google Scholar] [PubMed]
- R Core Team. R: A Language and Environment for Statistical Computing; R Foundation for Statistical Computing: Vienna, Austria, 2014; ISBN 3-900051-07-0. [Google Scholar]
- Hogan, D.M.; Walbridge, M.R. Best management practices for nutrient and sediment retention in urban stormwater runoff. J. Environ. Qual. 2007, 36, 386. [Google Scholar] [CrossRef] [PubMed]
- Line, D.E.; White, N.M. Effects of Development on Runoff and Pollutant Export. Water Environ. Res. 2007. [Google Scholar] [CrossRef]
- Reisinger, A.J.; Groffman, P.M.; Rosi-Marshall, E.J. Nitrogen-cycling process rates across urban ecosystems. FEMS Microbiol. Ecol. 2016, 92, fiw198. [Google Scholar] [CrossRef] [PubMed]
- Scarlett, R.D.; McMillan, S.K.; Bell, C.D.; Clinton, S.M.; Jefferson, A.J.; Rao, S. Influence of Stormwater Control Measures on Water Quality at Nested Sites in a Small Suburban Watershed. Urban Water J. 2018. in review. [Google Scholar]
- Rice, S.P.; Ferguson, R.I.; Hoey, T.B. Tributary control of physical heterogeneity and biological diversity at river confluences. Can. J. Fish. Aquat. Sci. 2006. [Google Scholar] [CrossRef]
- Hedin, L.O.; von Fischer, J.C.; Ostrom, N.E.; Kennedy, B.P.; Brown, M.G.; Robertson, G.P. Thermodynamic constraints on nitrogen transformations and other biogeochemical processes at soil-stream interfaces. Ecology 1998, 79, 684–703. [Google Scholar] [CrossRef]
- Carleton, J.N.; Grizzard, T.J.; Godrej, A.N.; Post, H.E. Factors affecting the performance of stormwater treatment wetlands. Water Res. 2001. [Google Scholar] [CrossRef]
- Morse, N.R.; McPhillips, L.E.; Shapleigh, J.P.; Walter, M.T. The Role of Denitrification in Stormwater Detention Basin Treatment of Nitrogen. Environ. Sci. Technol. 2017. [Google Scholar] [CrossRef] [PubMed]
- Flint, S.A.; McDowell, W.H. Effects of headwater wetlands on dissolved nitrogen and dissolved organic carbon concentrations in a suburban New Hampshire watershed. Freshw. Sci. 2015. [Google Scholar] [CrossRef]
- Collins, K.A.; Lawrence, T.J.; Stander, E.K.; Jontos, R.J.; Kaushal, S.S.; Newcomer, T.A.; Grimm, N.B.; Cole Ekberg, M.L. Opportunities and challenges for managing nitrogen in urban stormwater: A review and synthesis. Ecol. Eng. 2010. [Google Scholar] [CrossRef]
- Gold, A.C.; Thompson, S.P.; Piehler, M.F. Water quality before and after watershed-scale implementation of stormwater wet ponds in the coastal plain. Ecol. Eng. 2017. [Google Scholar] [CrossRef]
- Meyer, J.L.; Paul, M.J.; Taulbee, W.K. Stream ecosystem function in urbanizing landscapes. J. N. Am. Benthol. Soc. 2005, 24, 602–612. [Google Scholar] [CrossRef]
- Vietz, G.J.; Walsh, C.J.; Fletcher, T.D. Urban hydrogeomorphology and the urban stream syndrome: Treating the symptoms and causes of geomorphic change. Prog. Phys. Geogr. 2015. [Google Scholar] [CrossRef]
- Claessens, L.; Tague, C.L.; Band, L.; Groffman, P.; Kenworthy, S. Hydro-ecological linkages in urbanizing watersheds: An empirical assessment of instream nitrate loss and evidence of saturation kinetics. J. Geophys. Res. 2009, 114, G04016. [Google Scholar] [CrossRef]
- Pomeroy, C.A.; Postel, N.A.; O’Neill, P.A.; Roesner, L.A. Development of Storm-Water Management Design Criteria to Maintain Geomorphic Stability in Kansas City Metropolitan Area Streams. J. Irrig. Drain. Eng. 2008. [Google Scholar] [CrossRef]
- Tuttle, A.K.; McMillan, S.K.; Gardner, A.; Jennings, G.D. Channel complexity and nitrate concentrations drive denitrification rates in urban restored and unrestored streams. Ecol. Eng. 2014, 73, 770–777. [Google Scholar] [CrossRef]
- Arango, C.P.; Tank, J.L.; Schaller, J.L.; Royer, T.V.; Bernot, M.J.; David, M.B. Benthic organic carbon influences denitrification in streams with high nitrate concentration. Freshw. Biol. 2007, 52, 1210–1222. [Google Scholar] [CrossRef]
- McMillan, S.K.; Piehler, M.F.; Thompson, S.P.; Paerl, H.W. Denitrification of nitrogen released from senescing algal biomass in coastal agricultural headwater streams. J. Environ. Qual. 2010, 39, 274–281. [Google Scholar] [CrossRef] [PubMed]
- Royer, T.V.; Tank, J.L.; David, M.B. Transport and fate of nitrate in headwater agricultural streams in Illinois. J. Environ. Qual. 2004, 33, 1296–1304. [Google Scholar] [CrossRef] [PubMed]
- Inwood, S.E.; Tank, J.L.; Bernot, M.J. Patterns of denitrification associated with land use in 9 midwestern headwater streams. J. N. Am. Benthol. Soc. 2005, 24, 227–245. [Google Scholar] [CrossRef]
- Alexander, R.B.; Boyer, E.W.; Smith, R.A.; Schwarz, G.E.; Moore, R.B. The role of headwater streams in downstream water quality. J. Am. Water Resour. Assoc. 2007, 43, 41–59. [Google Scholar] [CrossRef] [PubMed]






| Receiving Stream | SCM Type | Land Development | Monitoring Location | Total Drainage Area (ha) | Watershed Imperviousness (%) | Average Discharge (L/s) |
|---|---|---|---|---|---|---|
| Urban wet pond (UP) | Wet detention pond | Urban 1950s | Upstream (US) | 142 | 26 | |
| Downstream-1 (DS1) | 145 | 27 | 12.4 | |||
| Downstream-2 (DS2) | 151 | 27 | ||||
| Downstream-3 (DS3) | 152 | 27 | ||||
| Urban wetland (UL) | Constructed wetland | Urban 1950s | US | 83 | 46 | |
| DS1 | 144 | 43 | 13.5 | |||
| DS2 | 190 | 37 | ||||
| DS3 | 253 | 37 | ||||
| Suburban wet pond (SP) | Wet detention pond | Suburban 2004–present | US | 101 | 12 | |
| DS1 | 111 | 14 | 6.3 | |||
| DS2 | 119 | 14 | ||||
| DS3 | 129 | 18 | ||||
| Suburban wetland (SL) | Constructed wetland | Suburban 2004–present | US | 8.7 | 24 | |
| DS1 | 14.7 | 24 | 1.1 | |||
| DS2 | 16.9 | 23 | ||||
| DS3 | 17.5 | 22 |
| Site | Monitoring Location | Seasonal DNF Rates (mg-N·m−2·h−1) | ||
|---|---|---|---|---|
| Fall | Winter | Spring | ||
| UP | US | 1.74 (2.45) de | 1.42 (0.34) bc | 2.52 (0.22) a |
| DS1 | 0.42 (0.29) d | 2.42 (0.23) a | 1.04 (0.24) c | |
| DS2 | 0.37 (0.04) d | 2.12 (0.34) ab | 1.15 (0.28) c | |
| DS3 | 0 (0) e | 1.97 (0.3) ab | 0.17 (0.001) de | |
| UL | US | 3.69 (0.34) ab | 5.3 (1.41) a | 3.09 (0.41) abc |
| DS1 | 4.27 (0.78) ab | 4.17 (0.51) ab | 3.38 (0.46) ab | |
| DS2 | 1.76 (0.38) c | 3.93 (0.36) ab | 3.49 (0.6) abc | |
| DS3 | 2.48 (0.81) bc | 4.3 (1.1) ab | 3.91 (0.22) ab | |
| SP | US | 0.21 (0.11) f | 1.83 (0.89) b | 0.84 (0.1) cd |
| DS1 | 0.22 (0.04) ef | 1.17 (0.21) bc | 0.86 (0.33) cd | |
| DS2 | 0.25 (0.03) ef | 0.47 (0.11) def | 0.75 (0.13) cde | |
| DS3 | 0.15 (0.03) f | 2.1 (0.32) b | 3.76 (0.16) a | |
| SL | US | 0.47 (0.1) de | 0 (0) f | 1.69 (0.48) ab |
| DS1 | 0.12 (0.01) ef | 0 (0) f | 1.22 (0.87) cd | |
| DS2 | 0.67 (0.1) d | 0 (0) f | 2.39 (0.32) a | |
| DS3 | 1.03 (0.45) bc | 0 (0) f | 1.34 (0.37) bc | |
| Site | Monitoring Location | Seasonal DEA Rates (mg-N·m−2·h−1) | |||
|---|---|---|---|---|---|
| Summer | Fall | Winter | Spring | ||
| UP 1 | US | 32.54 (2.60) cd | 26.71 (1.37) de | 19.19 (6.67) e | no data |
| DS1 | 25.98 (0.91) de | 20.63 (1.05) e | 19.51 (2.94) e | no data | |
| DS2 | 36.84 (3.30) cd | 45.56 (11.06) c | no data | no data | |
| DS3 | 33.45 (1.94) cd | 73.68 (10.29) b | 115.33 (16.71) a | no data | |
| UL 2 | US | 15.92 (1.04) c | 19.88 (1.30) bc | 9.24 (1.50) d | 41.59 (3.58) a |
| DS1 | 7.24 (0.54) de | 8.49 (0.81) d | 6.80 (0.07) de | 31.12 (3.60) a | |
| DS2 | 8.25 (1.19) c | 7.99 (1.24) de | 7.56 (0.78) de | 29.47 (1.45) ab | |
| DS3 | 2.62 (0.38) f | 2.35 (0.66) f | 5.79 (1.78) e | 18.14 (3.40) bc | |
| SP 2 | US | 12.02 (1.34) fgh | 13.86 (0.47) defg | 7.41 (0.73) i | 13.00 (0.94) efg |
| DS1 | 21.37 (3.17) bc | 19.99 (1.31) bcd | 13.57 (1.85) efg | 17.30 (0.79) cde | |
| DS2 | 10.23 (1.27) ghi | 22.18 (1.83) bcd | 15.03 (2.23) def | 27.12 (2.95) ab | |
| DS3 | 10.96 (1.27) fgh | 10.81 (1.00) fgh | 8.97 (1.75) hi | 30.85 (2.40) a | |
| SL 2 | US | 27.89 (2.87) ef | 35.06 (0.70) d | 17.74 (0.32) h | 51.63 (1.38) ab |
| DS1 | 45.91 (1.94) c | 42.82 (0.78) c | 22.66 (1.96) g | 51.79 (1.65) bc | |
| DS2 | 31.03 (1.93) de | 34.96 (1.21) d | 6.52 (0.49) j | 46.39 (11.95) c | |
| DS3 | 15.42 (1.82) h | 62.12 (1.73) a | 12.46 (0.88) i | 23.81 (0.71) fg | |
© 2018 by the authors. Licensee MDPI, Basel, Switzerland. This article is an open access article distributed under the terms and conditions of the Creative Commons Attribution (CC BY) license (http://creativecommons.org/licenses/by/4.0/).
Share and Cite
Rivers, E.N.; McMillan, S.K.; Bell, C.D.; Clinton, S.M. Effects of Urban Stormwater Control Measures on Denitrification in Receiving Streams. Water 2018, 10, 1582. https://doi.org/10.3390/w10111582
Rivers EN, McMillan SK, Bell CD, Clinton SM. Effects of Urban Stormwater Control Measures on Denitrification in Receiving Streams. Water. 2018; 10(11):1582. https://doi.org/10.3390/w10111582
Chicago/Turabian StyleRivers, Erin N., Sara K. McMillan, Colin D. Bell, and Sandra M. Clinton. 2018. "Effects of Urban Stormwater Control Measures on Denitrification in Receiving Streams" Water 10, no. 11: 1582. https://doi.org/10.3390/w10111582
APA StyleRivers, E. N., McMillan, S. K., Bell, C. D., & Clinton, S. M. (2018). Effects of Urban Stormwater Control Measures on Denitrification in Receiving Streams. Water, 10(11), 1582. https://doi.org/10.3390/w10111582

