Cold Waves in Poznań (Poland) and Thermal Conditions in the City during Selected Cold Waves
Abstract
1. Introduction
- characteristics of occurrence of cold days and cold waves in Poznań in the years 1966/67–2015/16;
- characteristics of occurrence of cold days and cold waves in the city in the years 2008/09–2015/16;
- analysis of thermal conditions in the city during selected days of cold waves based on satellite images.
2. Research Area, Data and Methods
3. Results
3.1. Tmax in the Winter Season in the Years 1966/67–2015/16 (Poznań-Ławica)
3.2. Cold Days and Cold Waves in the Years 1966–2015 (Poznań-Ławica)
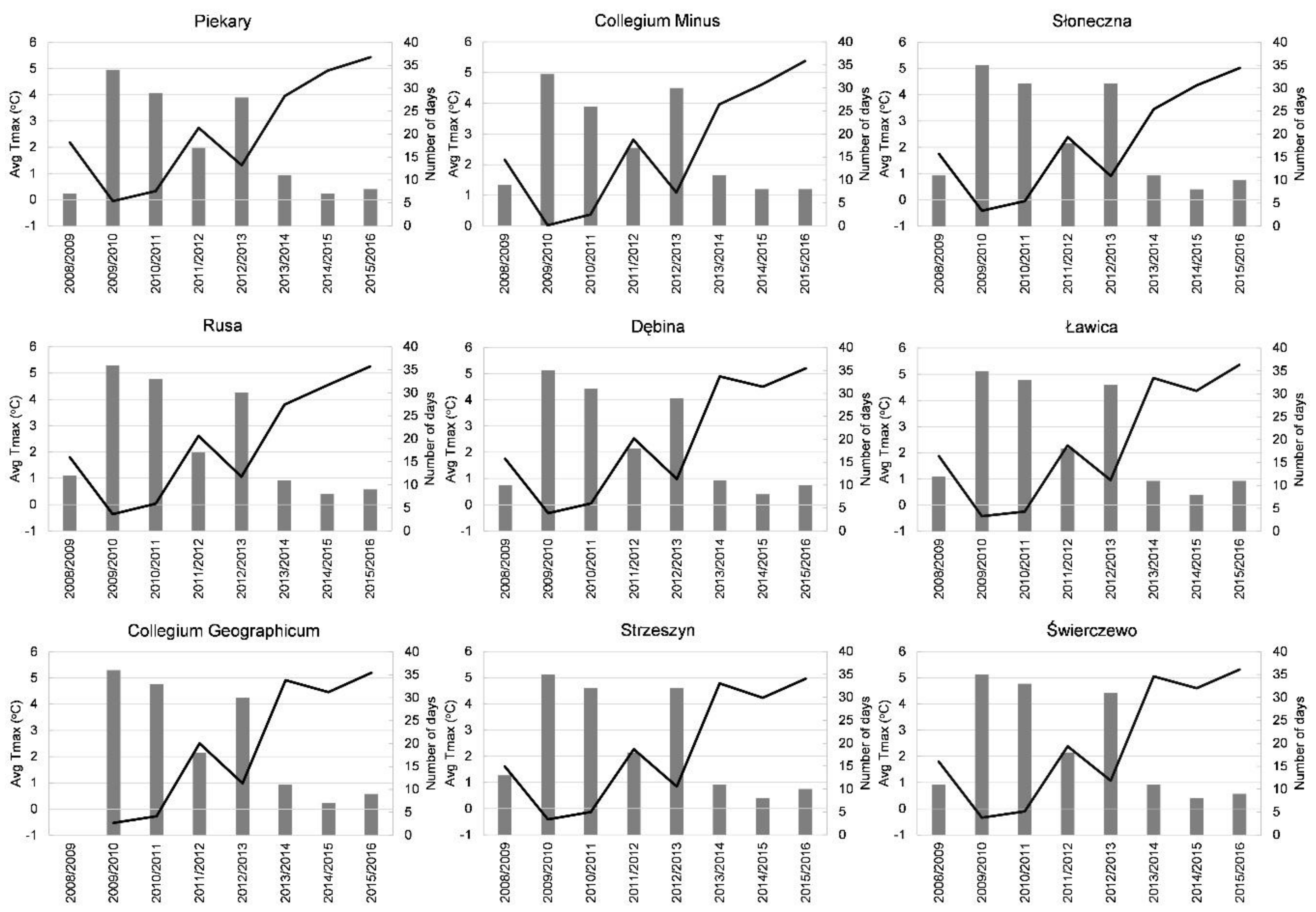
3.3. Tmax and Cold Days in the City in the Years 2008/09–2015/16
3.4. Cold Waves of 2010 and 2011
3.4.1. Tmax in the Cold Waves
3.4.2. Daily air temperature on 9 February 2010 and 21 February 2011
3.4.3. Land Surface Temperature and Land Use
3.4.4. Weather situation on 9 February 2010 and 21 February 2011
4. Discussion and Summary
Author Contributions
Acknowledgments
Conflicts of Interest
References
- IPCC. Climate Change 2013: The Physical Science Basis. Contribution of Working Group I to the Fifth Assessment Report of the Intergovernmental Panel in Climate Change; Cambridge University Press: Cambridge, UK, 2013. [Google Scholar]
- Matuszko, D.; Piotrowicz, K. Long-term variability of meteotropic situations in Kraków. Przegląd Geograficzny 2012, 84, 413–422. [Google Scholar]
- Tomczyk, A.M. Impact of macro-scale circulation types on the occurrence of frosty days in Poland. Bull. Geogr. Phys. Geogr. Ser. 2015, 9, 55–65. [Google Scholar]
- Owczarek, M.; Filipiak, J. Contemporary changes of thermal conditions in Poland, 1951–2015. Bull. Geogr. Phys. Geogr. Ser. 2016, 10, 31–50. [Google Scholar]
- Bielec-Bąkowska, Z.; Łupikasza, E. Frosty, freezing and severe freezing days and their synoptic implications in Małopolska, southern Poland, 1951–2000. Bull. Geogr. Phys. Geogr. Ser. 2009, 1, 39–62. [Google Scholar]
- Bielec-Bąkowska, Z.; Piotrowicz, K. Extreme temperatures in Poland 1951–2006. Pr. Geograficzne 2013, 132, 59–98. [Google Scholar]
- Informacja Tygodniowa, Zagrożenia—Skutki—Ocena; Rządowe Centrum Bezpieczeństwa; 2016. Available online: http://rcb.gov.pl/wp-content/uploads/BIULETYN-ANALITYCZNY-nr-14.pdf (accessed on 15 January 2018).
- Informacja Tygodniowa, Zagrożenia—Skutki—Ocena; Rządowe Centrum Bezpieczeństwa; 2017. Available online: http://rcb.gov.pl/wp-content/uploads/BIULETYN-ANALITYCZNY-nr-18.pdf (accessed on 15 January 2018).
- Ostrzeżenia Meteorologiczne. Available online: http://www.pogodynka.pl/ostrzezenia (accessed on 27 Frebuary 2018).
- Błażejczyk, K.; Kuchcik, M.; Milewski, P.; Dudek, W.; Kręcisz, B.; Błażejczyk, A.; Szmyd, J.; Degórska, B.; Pałczyński, C. Urban Heat Island in Warsaw—Climatic and Urban Conditionings; Wyd. Akademickie SEDNO Warszawa: Warsaw, Poland, 2014; p. 177. ISBN 978-83-7963-018-9. [Google Scholar]
- Kawashima, S.; Ishida, T.; Minomura, M.; Miwa, T. Relations between surface temperature and air temperature on a local scale during winter nights. J. Appl. Meteorol. Climatol. 2000, 39, 1570–1579. [Google Scholar]
- Voogt, J.A.; Oke, T.R. Thermal remote sensing of urban climates. Remote Sens. Environ. 2003, 86, 370–384. [Google Scholar]
- Dobrovolny, P. The surface urban heat island in the city of Brno (Czech Republic) derived from land surface temperatures and selected reasons for its spatial variability. Theor. Appl. Climatol. 2013, 112, 89–98. [Google Scholar]
- Walawender, J. Application of LANDSAT satellite data and GIS techniques for estimation of thermal conditions in urban area (using an example of Krakow agglomeration). Pr. Geograficzne 2009, 122, 81–98. [Google Scholar]
- Fabrizi, R.; De Santis, A.; Gomez, A. Satellite and ground-based sensors for the urban heat island analysis in the city of Madrid. Urban Remote Sens. Event 2011, 349–352. [Google Scholar]
- Majkowska, A.; Kolendowicz, L.; Półrolniczak, M.; Hauke, J.; Czernecki, B. The urban heat island in the city of Poznań as derived from Landsat 5 TM. Theor. Appl. Climatol. 2017, 128, 769–783. [Google Scholar] [CrossRef]
- Politi, E.; Cutler, M.E.J.; Rowan, J.S. Using the NOAA advanced very highresolution radiometer to characterize temporal and spatial trends in water temperature of large European lakes. Remote Sens. Environ. 2012, 126, 1–11. [Google Scholar] [CrossRef]
- Ptak, M.; Choiński, A.; Piekarczyk, J.; Pryłowski, T. Applying Landsat Satellite Thermal Images in the Analysis of Polish Lake Temperatures. Pol. J. Environ. Stud. 2017, 26, 2159–2165. [Google Scholar] [CrossRef]
- Bartoszek, K.; Siłuch, M.; Bednarczyk, P. Characteristics of the onset of the growing season in Poland based on the application of remotely sensed data in the context of weather conditions and land cover types. Eur. J. Remote Sens. 2015, 48, 327–344. [Google Scholar] [CrossRef]
- Półrolniczak, M.; Tomczyk, A.M.; Kolendowicz, L. Thermal Conditions in the City of Poznań (Poland) during Selected Heat Waves. Atmosphere 2018, 9, 11. [Google Scholar] [CrossRef]
- United Nations. World Population Prospects 2017. Available online: https://esa.un.org/unpd/wpp/Publications/Files/WPP2017_KeyFindings.pdf (accessed on 5 November 2017).
- Główny Urząd Statystyczny. Rocznik Statystyczny Rzeczypospolitej Polskiej 2015. Available online: https://stat.gov.pl/ (accessed on 5 November 2017).
- Kondracki, J. Regional Geography of Poland; Wydawnictwo Naukowe PWN: Warszawa, Poland, 2002; p. 441. [Google Scholar]
- Salmi, T.; Maiittii, A.; Anttila, P.; Ruoho-Airola, T.; Amnel, T. Detecting Trends of Annual Values of Atmospheric Pollutants by the Mann-Kendall Test and Sen’s Slope Estimates—The Excel Template Application MAKESENS; Publications on Air Quality No. 31; Finnish Meteorological Institute: Helsinki, Finland, 2002; pp. 1–35.
- Urban Atlas 2012. Available online: https://www.eea.europa.eu/data-and-maps/data/urban-atlas (accessed on 5 December 2017).
- Michalska, B. Tendencies of air temperature changes in Poland. Prace Stud. Geograficzne 2011, 47, 67–75. [Google Scholar]
- Wójcik, R.; Miętus, M. Some features of long-term variability in air temperature in Poland (1951–2010). Przegląd Geograficzny 2014, 86, 339–364. [Google Scholar]
- Wibig, J.; Podstawczyńska, A.; Rzepa, M.; Piotrowski, P. Heatwaves in Poland—Frequency, trends and relationships with atmospheric circulation. Geogr. Pol. 2009, 82, 33–46. [Google Scholar] [CrossRef]
- Lhotka, O.; Kyselý, J. Characterizing joint effects of spatial extent, temperature magnitude and duration of heat waves and cold spells over Central Europe. Int. J. Climatol. 2015, 35, 1232–1244. [Google Scholar] [CrossRef]
- Spinoni, J.; Lakatos, M.; Szentimrey, T.; Bihari, Z.; Szalai, S.; Vogt, J.; Antofie, T. Heat and cold waves trends in the Carpathian Region from 1961 to 2010. Int. J. Climatol. 2015, 35, 4197–4209. [Google Scholar] [CrossRef]
- Migała, K.; Urban, G.; Tomczyński, K. Long-term air temperature variation in the Karkonosze mountains according to atmospheric circulation. Theor. Appl. Climatol. 2016, 125, 337–351. [Google Scholar] [CrossRef]
- Krzyżewska, A.; Wereski, S. Heat waves and frost waves in selected Polish stations against bioclimatic regions background (2000–2010). Przegląd Geofizyczny 2014, 1–2, 9–109. [Google Scholar]









| No. | Location | Latitude (N) | Longitude (E) | Distance from the City Center–Piekary (km)/Direction | Land Cover |
|---|---|---|---|---|---|
| 1. | Piekary | 52°24′19.96″ | 16°55′3960″ | 0.0/- | Industrial, commercial, public, military, and private units |
| 2. | Collegium Minus | 52°24′31.13″ | 16°54′53.22″ | 0.9/W | Industrial, commercial, public, military, and private units |
| 3. | Słoneczna | 52°23′40.27″ | 16°52′29.69″ | 3.9/W | Green urban areas |
| 4. | Rusa | 52°23′29.65″ | 16°59′0.75″ | 4.0/SE | Discontinuous Dense Urban Fabric |
| 5. | Dębina | 52°21′19.88″ | 16°54′46.14″ | 5.7/S | Green urban areas |
| 6. | Ławica | 52°24′59.46″ | 16°50′4.71″ | 6.9/W | Airports |
| 7. | Collegium Geographicum | 52°27′46.80″ | 16°56′28.92″ | 6.7/N | Industrial, commercial, public, military, and private units |
| 8. | Strzeszyn | 52°27′15.14″ | 16°50′50.79″ | 7.7/NW | Discontinuous Dense Urban Fabric |
| 9. | Świerczewo | 52°22′11.90″ | 16°53′56.11″ | 4.5/S | Continuous urban fabric |
| Years | Number of Cold Waves | Total Duration of Cold Waves (Days) | Average Length (Days) | Average Tmax (°C) | Average Tmin (°C) |
|---|---|---|---|---|---|
| 1966/67–1975/76 | 12 | 113 | 9.4 | −5.6 | −11.8 |
| 1976/77–1985/86 | 16 | 158 | 9.9 | −5.0 | −11.4 |
| 1986/87–1995/96 | 11 | 87 | 7.9 | −5.5 | −11.9 |
| 1996/97–2005/06 | 8 | 80 | 10.0 | −5.5 | −11.2 |
| 2006/07–2015/16 | 12 | 113 | 9.4 | −5.7 | −11.4 |
| 1966/67–2015/16 | 59 | 551 | 9.3 | −5.5 | −11.5 |
© 2018 by the authors. Licensee MDPI, Basel, Switzerland. This article is an open access article distributed under the terms and conditions of the Creative Commons Attribution (CC BY) license (http://creativecommons.org/licenses/by/4.0/).
Share and Cite
Tomczyk, A.M.; Półrolniczak, M.; Kolendowicz, L. Cold Waves in Poznań (Poland) and Thermal Conditions in the City during Selected Cold Waves. Atmosphere 2018, 9, 208. https://doi.org/10.3390/atmos9060208
Tomczyk AM, Półrolniczak M, Kolendowicz L. Cold Waves in Poznań (Poland) and Thermal Conditions in the City during Selected Cold Waves. Atmosphere. 2018; 9(6):208. https://doi.org/10.3390/atmos9060208
Chicago/Turabian StyleTomczyk, Arkadiusz M., Marek Półrolniczak, and Leszek Kolendowicz. 2018. "Cold Waves in Poznań (Poland) and Thermal Conditions in the City during Selected Cold Waves" Atmosphere 9, no. 6: 208. https://doi.org/10.3390/atmos9060208
APA StyleTomczyk, A. M., Półrolniczak, M., & Kolendowicz, L. (2018). Cold Waves in Poznań (Poland) and Thermal Conditions in the City during Selected Cold Waves. Atmosphere, 9(6), 208. https://doi.org/10.3390/atmos9060208

