Effect of Spatial Variation of Convective Adjustment Time on the Madden–Julian Oscillation: A Theoretical Model Analysis
Abstract
:1. Introduction
2. Model Framework, Methods and Datasets
2.1. FCDM Model
2.2. Data
2.3. Spatial Distribution of CAT
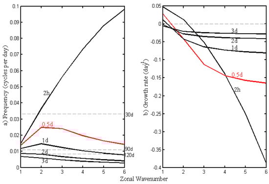
3. Spatially Uniform CAT
4. Warm Pool-Like CAT
5. Concluding Remarks
Acknowledgments
Author Contributions
Conflicts of Interest
References
- Madden, R.A.; Julian, P.R. Detection of a 40–50 day oscillation in the zonal wind in the tropical pacific. J. Atmos. Sci. 1971, 28, 702–708. [Google Scholar] [CrossRef]
- Madden, R.A.; Julian, P.R. Description of global-scale circulation cells in the tropics with a 40–50 day period. J. Atmos. Sci. 1972, 29, 1109–1123. [Google Scholar] [CrossRef]
- Zhang, C. Madden–Julian oscillation: Bridging weather and climate. Bull. Am. Meteorol. Soc. 2013, 94, 1849–1870. [Google Scholar] [CrossRef]
- Waliser, D.E.; Moncrieff, M.W.; Burridge, D.; Fink, A.H.; Gochis, D.; Goswami, B.N.; Guan, B.; Harr, P.; Heming, J.; Hsu, H.H. The “year” of tropical convection (May 2008–April 2010): Climate variability and weather highlights. Bull. Am. Meteorol. Soc. 2012, 93, 1189–1218. [Google Scholar] [CrossRef]
- Zhang, C. Madden-julian oscillation. Rev. Geophys. 2005, 43, 453–468. [Google Scholar] [CrossRef]
- Donald, A.; Meinke, H.; Power, B.; Maia, A.D.H.N.; Wheeler, M.C.; White, N.; Stone, R.C.; Ribbe, J. Near-global impact of the Madden-Julian Oscillation on rainfall. Geophys. Res. Lett. 2006, 33, 72–88. [Google Scholar] [CrossRef]
- Jiang, X.; Waliser, D.E.; Xavier, P.K.; Petch, J.; Klingaman, N.P.; Woolnough, S.J.; Guan, B.; Bellon, G.; Crueger, T.; Demott, C. Vertical structure and physical processes of the Madden-Julian Oscillation: Exploring key model physics in climate simulations. J. Geophys. Res. Atmos. 2015, 120, 4718–4748. [Google Scholar] [CrossRef]
- Charney, J.G.; Eliassen, A. On the growth of the hurricane depression. J. Atmos. Sci. 1964, 21, 68–75. [Google Scholar] [CrossRef]
- Lindzen, R.S. Wave-cisk in the tropics. J. Atmos. Sci. 1974, 31, 156–179. [Google Scholar] [CrossRef]
- Lau, K.; Peng, L. Origin of low-frequency (intraseasonal) oscillations in the tropical atmosphere. Part I: Basic theory. J. Atmos. Sci. 1987, 44, 950–972. [Google Scholar] [CrossRef]
- Chang, C.P.; Lim, H. Kelvin wave-cisk: A possible mechanism for the 30–50 day oscillations. J. Atmos. Sci. 1988, 45, 1709–1720. [Google Scholar] [CrossRef]
- Emanuel, K.A.; David Neelin, J.; Bretherton, C.S. On large-scale circulations in convecting atmospheres. Q. J. R. Meteorol. Soc. 1994, 120, 1111–1143. [Google Scholar] [CrossRef]
- Hayashi, Y.; Golder, D. United mechanisms for the generation of low-and high-frequency tropical waves. Part I: Control experiments with moist convective adjustment. J. Atmos. Sci. 1997, 54, 1262–1276. [Google Scholar] [CrossRef]
- Wang, B. Dynamics of tropical low-frequency waves: An analysis of the moist kelvin wave. J. Atmos. Sci. 1988, 45, 2051–2065. [Google Scholar] [CrossRef]
- Matsuno, T. Quasi-geostrophic motions in the equatorial area. J. Meteorol. Soc. Jpn. 1966, 44, 25–43. [Google Scholar] [CrossRef]
- Gill, A.E. Some simple solutions for heat-induced tropical circulation. Q. J. R. Meteorol. Soc. 1980, 106, 447–462. [Google Scholar] [CrossRef]
- Wang, B.; Rui, H. Dynamics of the coupled moist kelvin-rossby wave on an equatorial β-plane. J. Atmos. Sci. 1990, 47, 397–413. [Google Scholar] [CrossRef]
- Liu, F.; Wang, B. A frictional skeleton model for the Madden-Julian Oscillation. J. Atmos. Sci. 2012, 69, 2749–2758. [Google Scholar] [CrossRef]
- Wang, B.; Li, T. Convective interaction with boundary-layer dynamics in the development of a tropical intraseasonal system. J. Atmos. Sci. 1994, 51, 1386–1400. [Google Scholar] [CrossRef]
- Sobel, A.; Maloney, E. An idealized semi-empirical framework for modeling the Madden-Julian Oscillation. J. Atmos. Sci. 2012, 69, 1691–1705. [Google Scholar] [CrossRef]
- Sobel, A.; Maloney, E. Moisture modes and the eastward propagation of the MJO. J. Atmos. Sci. 2013, 70, 187–192. [Google Scholar] [CrossRef]
- Fuchs, Z.; Raymond, D.J. Large-scale modes in a rotating atmosphere with radiative convective instability and wishe. J. Atmos. Sci. 2005, 62, 4084–4094. [Google Scholar] [CrossRef]
- Fuchs, Ž.; Raymond, D.J. A simple model of intraseasonal oscillations. J. Adv. Model. Earth Syst. 2017, 9, 1195–1211. [Google Scholar] [CrossRef]
- Adames, Á.F.; Kim, D. The mjo as a dispersive, convectively coupled moisture wave: Theory and observations. J. Atmos. Sci. 2016, 73, 913–941. [Google Scholar] [CrossRef]
- Liu, F.; Wang, B. Role of horizontal advection of seasonal-mean moisture in the Madden-Julian Oscillation: A theoretical model analysis. J. Clim. 2016, 29, 6277–6293. [Google Scholar] [CrossRef]
- Nakazawa, T. Tropical super clusters within intraseasonal variations over the western pacific. J. Meteorol. Soc. Jpn. 1988, 66, 823–839. [Google Scholar] [CrossRef]
- Majda, A.J.; Biello, J.A. A multiscale model for tropical intraseasonal oscillations. Proc. Natl. Acad. Sci. USA 2004, 101, 4736–4741. [Google Scholar] [CrossRef] [PubMed]
- Majda, A.J.; Stechmann, S.N.; Khouider, B. Madden-Julian Oscillation analog and intraseasonal variability in a multicloud model above the equator. Proc. Natl. Acad. Sci. USA 2007, 104, 9919–9924. [Google Scholar] [CrossRef] [PubMed]
- Majda, A.J.; Stechmann, S.N. The skeleton of tropical intraseasonal oscillations. Proc. Natl. Acad. Sci. USA 2009, 106, 8417–8422. [Google Scholar] [CrossRef] [PubMed]
- Wang, B.; Liu, F. A model for scale interaction in the Madden-Julian Oscillation. J. Atmos. Sci. 2011, 68, 2524–2536. [Google Scholar] [CrossRef]
- Liu, F.; Wang, B. A model for the interaction between 2-day waves and moist kelvin waves. J. Atmos. Sci. 2012, 69, 611–625. [Google Scholar] [CrossRef]
- Liu, F.; Wang, B. Impacts of upscale heat and momentum transfer by moist kelvin waves on the Madden–Julian Oscillation: A theoretical model study. Clim. Dyn. 2013, 40, 213–224. [Google Scholar] [CrossRef]
- Liu, F.; Huang, G.; Feng, L. Critical roles of convective momentum transfer in sustaining the multi-scale madden–julian oscillation. Theor. Appl. Climatol. 2012, 108, 471–477. [Google Scholar] [CrossRef]
- Yang, D.; Ingersoll, A.P. Testing the hypothesis that the mjo is a mixed rossby-gravity wave packet. J. Atmos. Sci. 2011, 68, 226–239. [Google Scholar] [CrossRef]
- Yang, D.; Ingersoll, A.P. Triggered convection, gravity waves, and the MJO: A shallow water model. J. Atmos. Sci. 2013, 70, 2476–2486. [Google Scholar] [CrossRef]
- Yang, D.; Ingersoll, A.P. A theory of the MJO horizontal scale. Geophys. Res. Lett. 2014, 41, 1059–1064. [Google Scholar] [CrossRef]
- Liu, F.; Wang, B. Effects of moisture feedback in a frictional coupled kelvin–rossby wave model and implication in the Madden–Julian Oscillation dynamics. Clim. Dyn. 2016, 48, 513–522. [Google Scholar] [CrossRef]
- Wang, B.; Chen, G. A general theoretical framework for understanding essential dynamics of Madden-Julian Oscillation. Clim. Dyn. 2016, 49, 2309–2328. [Google Scholar] [CrossRef]
- Wang, B.; Fei, L.; Chen, G. A trio-interaction theory for Madden-Julian Oscillation. Geosci. Lett. 2016, 3, 34. [Google Scholar] [CrossRef]
- Wei, Y.; Liu, F.; Mu, M.; Ren, H.-L. Planetary scale selection of the Madden–Julian Oscillation in an air-sea coupled dynamic moisture model. Clim. Dyn. 2017, 1–16. [Google Scholar] [CrossRef]
- Betts, A. A new convective adjustment scheme. Part I: Observational and theoretical basis. Q. J. R. Meteorol. Soc. 1986, 112, 677–691. [Google Scholar]
- Betts, A.; Miller, M. A new convective adjustment scheme. Part II: Single column tests using gate wave, bomex, atex and arctic air-mass data sets. Q. J. R. Meteorol. Soc. 1986, 112, 693–709. [Google Scholar]
- Frierson, D.M.; Majda, A.J.; Pauluis, O.M. Large scale dynamics of precipitation fronts in the tropical atmosphere: A novel relaxation limit. Commun. Math. Sci. 2004, 2, 591–626. [Google Scholar] [CrossRef]
- Neelin, J.D.; Yu, J.-Y. Modes of tropical variability under convective adjustment and the Madden-Julian Oscillation. Part i: Analytical theory. J. Atmos. Sci. 1994, 51, 1876–1894. [Google Scholar] [CrossRef]
- Neelin, J.D.; Zeng, N. A quasi-equilibrium tropical circulation model—formulation. J. Atmos. Sci. 2000, 57, 1741–1766. [Google Scholar] [CrossRef]
- Jiang, X.; Zhao, M.; Maloney, E.D.; Waliser, D.E. Convective moisture adjustment time-scale as a key factor in regulating model amplitude of the Madden-Julian Oscillation. Geophys. Res. Lett. 2016, 43, 10412–10419. [Google Scholar] [CrossRef]
- Adames, Á.F. Precipitation budget of the Madden-Julian Oscillation. J. Atmos. Sci. 2017, 74, 1799–1817. [Google Scholar] [CrossRef]
- Kang, I.-S.; Liu, F.; Ahn, M.-S.; Yang, Y.-M.; Wang, B. The role of sst structure in convectively coupled kelvin–rossby waves and its implications for MJO formation. J. Clim. 2013, 26, 5915–5930. [Google Scholar] [CrossRef]
- Li, T.; Zhou, C. Planetary scale selection of the madden-julian oscillation. J. Atmos. Sci. 2009, 66, 2429–2443. [Google Scholar] [CrossRef]
- Majda, A.J.; Stechmann, S.N. Nonlinear dynamics and regional variations in the MJO skeleton. J. Atmos. Sci. 2011, 68, 3053–3071. [Google Scholar] [CrossRef]
- Dee, D.P.; Uppala, S.M.; Simmons, A.J.; Berrisford, P.; Poli, P.; Kobayashi, S.; Andrae, U.; Balmaseda, M.A.; Balsamo, G.; Bauer, P.; et al. The era-interim reanalysis: Configuration and performance of the data assimilation system. Q. J. R. Meteorol. Soc. 2011, 137, 553–597. [Google Scholar] [CrossRef]
- Huffman, G.A.; Adler, R.; Bolvin, D.T.; Gu, G.; Nelkin, E.; Bowman, K.; Hong, Y.; Stocker, T.; Wolff, D. The trmm multi-satellite precipitation analysis (tmpa): Quasi-global, multiyear, combined-sensor precipitation estimates at fine scale. J. Hydrometeorol. 2007, 8, 38–55. [Google Scholar] [CrossRef]
- Sobel, A.; Wang, S.; Kim, D. Moist static energy budget of the MJO during dynamo. J. Atmos. Sci. 2014, 71, 4276–4291. [Google Scholar] [CrossRef]
- Kiladis, G.N.; Wheeler, M.C.; Haertel, P.T.; Straub, K.H.; Roundy, P.E. Convectively coupled equatorial waves. Rev. Geophys. 2009, 47, 2003. [Google Scholar] [CrossRef]
- Powell, S.W. Successive mjo propagation in merra-2 reanalysis. Geophys. Res. Lett. 2017. [Google Scholar] [CrossRef]
- Mapes, B.; Tulich, S.; Lin, J.; Zuidema, P. The mesoscale convection life cycle: Building block or prototype for large-scale tropical waves? Dyn. Atmos. Oceans 2006, 42, 3–29. [Google Scholar] [CrossRef]
- Zhang, G.J.; Song, X. Interaction of deep and shallow convection is key to Madden-Julian Oscillation simulation. Geophys. Res. Lett. 2009, 36, 269–277. [Google Scholar] [CrossRef]
- Benedict, J.J.; Randall, D.A. Observed characteristics of the MJO relative to maximum rainfall. J. Atmos. Sci. 2007, 64, 2332–2354. [Google Scholar] [CrossRef]
- Del Genio, A.D.; Chen, Y.; Kim, D.; Yao, M.-S. The mjo transition from shallow to deep convection in cloudsat/calipso data and giss gcm simulations. J. Clim. 2012, 25, 3755–3770. [Google Scholar] [CrossRef]
- Khouider, B.; Majda, A.J. A simple multicloud parameterization for convectively coupled tropical waves. Part I: Linear analysis. J. Atmos. Sci. 2006, 63, 1308–1323. [Google Scholar] [CrossRef]








© 2017 by the authors. Licensee MDPI, Basel, Switzerland. This article is an open access article distributed under the terms and conditions of the Creative Commons Attribution (CC BY) license (http://creativecommons.org/licenses/by/4.0/).
Share and Cite
Wang, H.; Wei, Y.; Liu, F. Effect of Spatial Variation of Convective Adjustment Time on the Madden–Julian Oscillation: A Theoretical Model Analysis. Atmosphere 2017, 8, 204. https://doi.org/10.3390/atmos8100204
Wang H, Wei Y, Liu F. Effect of Spatial Variation of Convective Adjustment Time on the Madden–Julian Oscillation: A Theoretical Model Analysis. Atmosphere. 2017; 8(10):204. https://doi.org/10.3390/atmos8100204
Chicago/Turabian StyleWang, Hui, Yuntao Wei, and Fei Liu. 2017. "Effect of Spatial Variation of Convective Adjustment Time on the Madden–Julian Oscillation: A Theoretical Model Analysis" Atmosphere 8, no. 10: 204. https://doi.org/10.3390/atmos8100204
APA StyleWang, H., Wei, Y., & Liu, F. (2017). Effect of Spatial Variation of Convective Adjustment Time on the Madden–Julian Oscillation: A Theoretical Model Analysis. Atmosphere, 8(10), 204. https://doi.org/10.3390/atmos8100204

