Interannual and Intraseasonal Effects of Drought and Heatwaves on Expanding Soybean Production Regions in Brazil
Abstract
1. Introduction
2. Materials and Methods
2.1. Study Area

| CZ | Municipality | State | Planting Date Window | Soil Profile | Latitude | Longitude | Elevation (m) | |
|---|---|---|---|---|---|---|---|---|
| 6801 | Palmeira das Missões | RS | 17-September | 31-December | Oxisols | −27.92 | −53.32 | 614 |
| 7801 | Cascavel | PR | 8-September | 31-December | Ultisols | −24.88 | −53.55 | 784 |
| 7601 | Cristalina | GO | 27-September | 31-December | Oxisols | −16.79 | −47.61 | 1211 |
| 7701 | Primavera do Leste | MT | 27-September | 31-December | Ultisols | −15.58 | −54.38 | 680 |
| 8701 | Sorriso | MT | 30-September | 25-December | Oxisols | −12.56 | −55.72 | 379 |
| 8401 | Barreiras | BA | 17-October | 31-January | Entisols | −12.12 | −45.03 | 474 |
| 9301 | Bom Jesus | PI | 6-November | 9-February | Entisols | −9.08 | −44.33 | 288 |
| 9401 | Balsas | MA | 17-October | 20-January | Entisols | −7.46 | −46.03 | 271 |
| 9701 | Lagoa da Confusão | TO | 8-October | 1-March | Inceptisols | −10.83 | −49.85 | 178 |
2.2. Soybean Yield Dataset
2.3. Weather Dataset
2.4. Data Quality Control
2.5. Crop Evapotranspiration (ETc)
2.6. Principal Component Analysis
2.7. Drought Indices
2.8. Heatwave Index
2.9. Spatial Processing
3. Results
3.1. Climate Characterization
3.2. Interannual and Spatial Variability of Drought and Heatwave Events
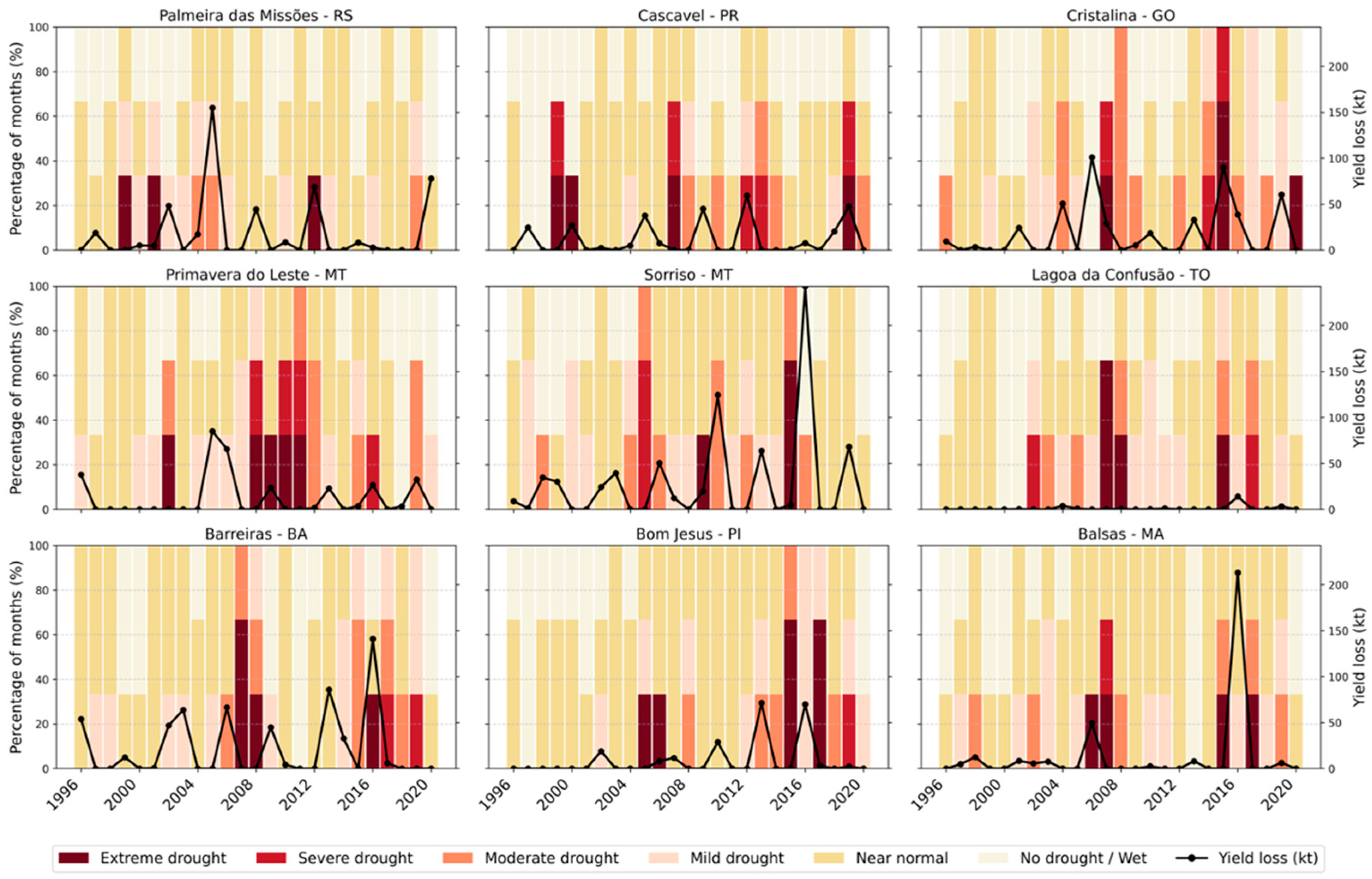
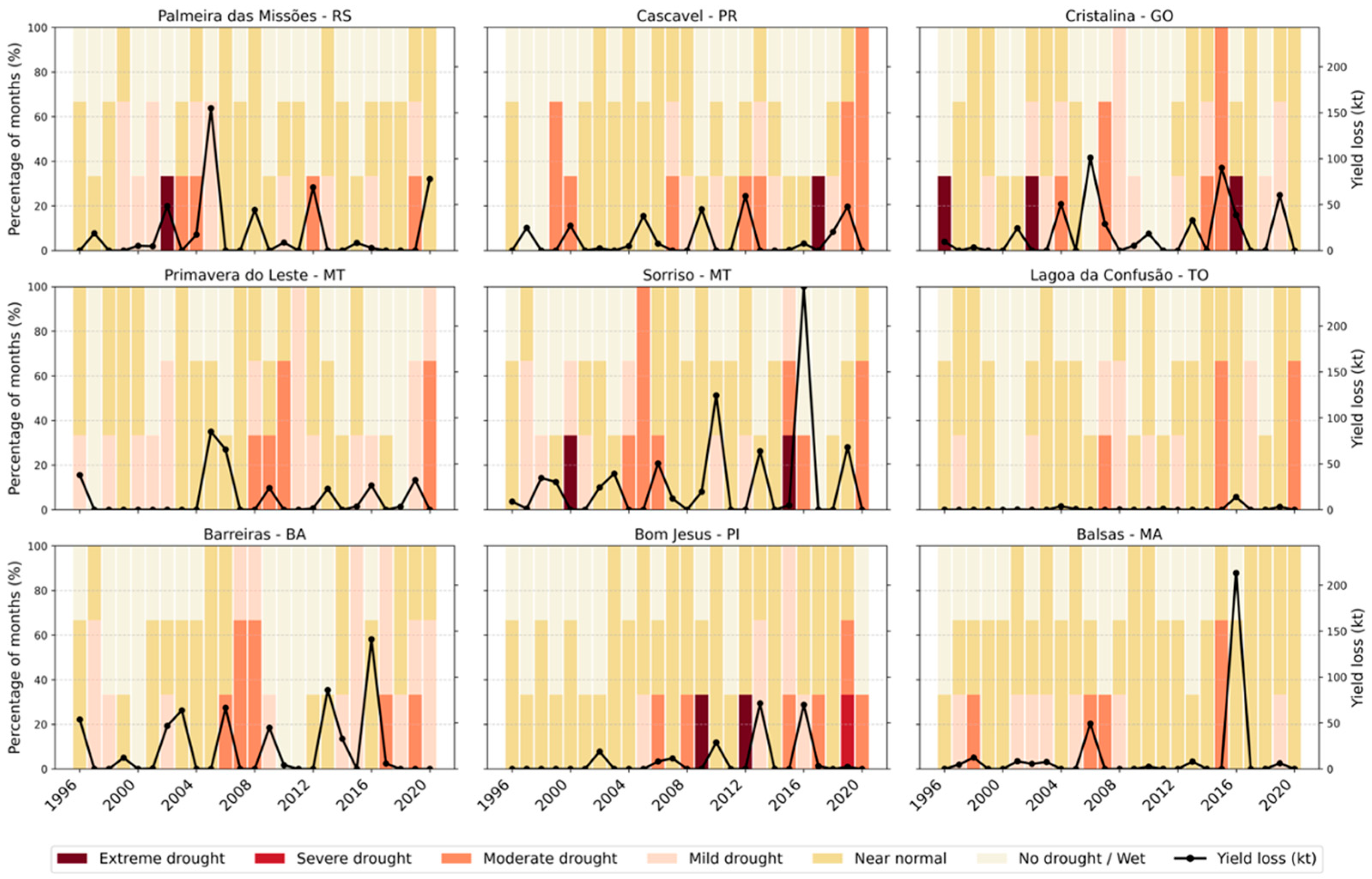
3.2.1. SPI and SPEI Relationship to Soybean Yield Losses
3.2.2. The Warm Spell Duration Index (WSDI)
3.3. Quantification of Soybean Yield Losses at the Municipal Level
3.4. Combined Climate Drivers of Droughts in Soybean Regions
4. Discussion
5. Conclusions
Supplementary Materials
Author Contributions
Funding
Institutional Review Board Statement
Informed Consent Statement
Data Availability Statement
Acknowledgments
Conflicts of Interest
Abbreviations
| BRL | Brazilian Real |
| BR-DWGD | Brazilian Daily Weather Gridded Data |
| CZ | Climate Zone |
| DHE | Drought and Heatwave Events |
| EHCE | Extreme Hydrometeorological and Climate Events |
| ENSO | El Niño-Southern Oscillation |
| ETc | Crop Evapotranspiration |
| ETo | Evapotranspiration |
| GO | Goiás |
| IBGE | Instituto Brasileiro de Geografia e Estatística |
| ITCZ | Intertropical Convergence Zone |
| Kc | Crop coefficient |
| kt | Thousand tonnes |
| MA | Maranhão |
| MATOPIBA | Maranhão, Tocantins, Piauí, and Bahia Brazilian States |
| mm | millimeter |
| MT | Mato Grosso |
| OLS | Ordinary Least Squares |
| P | Daily Precipitation |
| PCA | Principal Component Analysis |
| PI | Piauí |
| PR | Paraná |
| RS | Rio Grande do Sul |
| SACZ | South Atlantic Convergence Zone |
| SPI | Standardized Precipitation Index |
| SPEI | Standardized Precipitation Evapotranspiration Index |
| T90 | 90th Percentile of a precipitation threshold |
| Tmax | Daily Maximum Temperature |
| Tmin | Daily Minimum Temperature |
| TNn | Minimum Daily Minimum Temperature |
| TO | Tocantins |
| TXx | Maximum Daily Maximum Temperature |
| USD | U.S. Dollar |
| WSDI | Warm Spell Duration Index |
| Ydetrended | Detrended Yield |
| Yloss | Yield loss |
| Yr | Yield real |
References
- FAO—Food and Agriculture Organization of the United Nations. World Food and Agriculture—Statistical Yearbook 2023; FAO: Rome, Italy, 2023. [Google Scholar] [CrossRef]
- IISD—International Institute for Sustainable Development. Global Market Report: Soybean; International Institute for Sustainable Development: Winnipeg, MB, Canada, 2024; Available online: https://www.iisd.org/system/files/2024-02/2024-global-market-report-soybean.pdf (accessed on 4 March 2025).
- USDA—United States Department of Agriculture. World Agricultural Supply and Demand Estimates; USDA: Washington, DC, USA, 2026. Available online: https://www.usda.gov/about-usda/general-information/staff-offices/office-chief-economist/commodity-markets/wasde-report (accessed on 14 January 2026).
- IPCC—Intergovernmental Panel on Climate Change. Climate Change 2022—Impacts, Adaptation and Vulnerability: Working Group II Contribution to the Sixth Assessment Report of the Intergovernmental Panel on Climate Change; Cambridge University Press: Cambridge, UK, 2023. [Google Scholar] [CrossRef]
- Ahmed, S.M.; Dinnar, H.A.; Ahmed, A.E.; Elbushra, A.A.; Turk, K.G.B. A Deeper Understanding of Climate Variability Improves Mitigation Efforts, Climate Services, Food Security, and Development Initiatives in Sub-Saharan Africa. Climate 2024, 12, 206. [Google Scholar] [CrossRef]
- Nhemachena, C.; Nhamo, L.; Matchaya, G.; Nhemachena, C.R.; Muchara, B.; Karuaihe, S.T.; Mpandeli, S. Climate Change Impacts on Water and Agriculture Sectors in Southern Africa: Threats and Opportunities for Sustainable Development. Water 2020, 12, 2673. [Google Scholar] [CrossRef]
- CONAB—Companhia Nacional de Abastecimento. Acompanhamento da Safra Brasileira de Grãos, Brasília, DF, v. 13, safra 2025/26, n. 4, Quarto Levantamento. 2026. Available online: https://www.gov.br/conab/pt-br/atuacao/informacoes-agropecuarias/safras/safra-de-graos/boletim-da-safra-de-graos/4o-levantamento-safra-2025-26/e-book_boletim-de-safras-4o-levantamento_2026 (accessed on 10 January 2026).
- OECD/FAO—Organization for Economic Cooperation and Development and Food and Agriculture Organization of the United Nations. OECD FAO Agricultural Outlook 2022–2031; OECD Publishing: Paris, France, 2022. [Google Scholar] [CrossRef]
- Sentelhas, P.C.; Battisti, R.; Câmara, G.M.S.; Farias, J.R.B.; Hampf, A.C.; Nendel, C. The soybean yield gap in Brazil—Magnitude, causes and possible solutions for sustainable production. J. Agric. Sci. 2015, 153, 1394–1411. [Google Scholar] [CrossRef]
- de Freitas, V.F.; Cerezini, P.; Hungria, M.; Nogueira, M.A. Strategies to deal with drought-stress in biological nitrogen fixation in soybean. Appl. Soil Ecol. 2022, 172, 104352. [Google Scholar] [CrossRef]
- Ferreira, R.C.; Sibaldelli, R.N.R.; Crusiol, L.G.T.; Neumaier, N.; Farias, J.R.B. Soybean Yield Losses Related to Drought Events in Brazil: Spatial–Temporal Trends over Five Decades and Management Strategies. Agriculture 2024, 14, 2144. [Google Scholar] [CrossRef]
- Nóia-Júnior, R.d.S.; Christo, B.F.; Pezzopane, J.E.M. Extreme weather events in southern Brazil warn of agricultural collapse. Next Res. 2025, 2, 100217. [Google Scholar] [CrossRef]
- Fischer, E.M.; Beyerle, U.; Knutti, R. Robust spatially aggregated projections of climate extremes. Nat. Clim. Change 2013, 3, 1033–1038. [Google Scholar] [CrossRef]
- Stuart, L.; Hobbins, M.; Niebuhr, E.; Ruane, A.C.; Pulwarty, R.; Hoell, A.; Thiaw, W.; Rosenzweig, C.; Muñoz-Arriola, F.; Jahn, M.; et al. Enhancing Global Food Security: Opportunities for the American Meteorological Society. Bull. Am. Meteorol. Soc. 2024, 105, E760–E777. [Google Scholar] [CrossRef]
- Gumma, M.K.; Nukala, R.M.; Panjala, P.; Bellam, P.K.; Gajjala, S.; Dubey, S.K.; Sehgal, V.K.; Mohammed, I.; Deevi, K.C. Optimizing Crop Yield Estimation through Geospatial Technology: A Comparative Analysis of a Semi-Physical Model, Crop Simulation, and Machine Learning Algorithms. Agriengineering 2024, 6, 786–802. [Google Scholar] [CrossRef]
- Müller, C.; Jägermeyr, J.; Franke, J.A.; Ruane, A.C.; Balkovic, J.; Ciais, P.; Dury, M.; Falloon, P.; Folberth, C.; Hank, T.; et al. Substantial Differences in Crop Yield Sensitivities Between Models Call for Functionality-Based Model Evaluation. Earth’s Futur. 2024, 12, e2023EF003773. [Google Scholar] [CrossRef]
- Chisanga, C.B.; Phiri, E.; Chinene, V.R.N. Evaluating APSIM-and-DSSAT-CERES-Maize Models under Rainfed Conditions Using Zambian Rainfed Maize Cultivars. Nitrogen 2021, 2, 392–414. [Google Scholar] [CrossRef]
- Alvre, J.; Broska, L.; Rübbelke, D.; Vögele, S. Studying extreme events: An interdisciplinary review of recent research. Heliyon 2024, 10, e41024. [Google Scholar] [CrossRef] [PubMed]
- Wallach, D.; Asseng, S.; Ruane, A.C. Uncertainty of Climate Change Impacts on Crop Production. In Uncertainty in Climate Change Research: An Integrated Approach; Springer: Cham, Switzerland, 2025. [Google Scholar] [CrossRef]
- McKee, T.B.; Doesken, N.J.; Kleist, J. The relationship of drought frequency and duration to time scales. In Proceedings of the 8th Conference on Applied Climatology, Anaheim, CA, USA, 17–22 January 1993; Available online: https://www.droughtmanagement.info/literature/AMS_Relationship_Drought_Frequency_Duration_Time_Scales_1993.pdf (accessed on 10 March 2024).
- Vicente-Serrano, S.M.; Beguería, S.; López-Moreno, J.I. A multiscalar drought index sensitive to global warming: The standardized precipitation evapotranspiration index. J. Clim. 2010, 23, 1696–1718. [Google Scholar] [CrossRef]
- Blain, G.C.; Sobierajski, G.d.R.; Martins, L.L. The PowerSDI: An R-package for implementing and calculating the SPI and SPEI using data from the NASAPOWER project. Bragantia 2024, 83, e20230260. [Google Scholar] [CrossRef]
- Fernandes, V.R.; Cunha, A.P.M.D.A.; Pineda, L.A.C.; Leal, K.R.D.; Costa, L.C.O.; Broedel, E.; França, D.D.A.; Alvalá, R.C.d.S.; Seluchi, M.E.; Marengo, J. Secas e os Impactos na Região Sul do Brasil. Rev. Bras. Clim. 2021, 28, 561–584. [Google Scholar] [CrossRef]
- Tomasella, J.; Cunha, A.P.M.A.; Simões, P.A.; Zeri, M. Assessment of trends, variability and impacts of droughts across Brazil over the period 1980–2019. Nat. Hazards 2023, 116, 2173–2190. [Google Scholar] [CrossRef]
- Zhang, X.; Alexander, L.; Hegerl, G.C.; Jones, P.; Tank, A.K.; Peterson, T.C.; Trewin, B.; Zwiers, F.W. Indices for monitoring changes in extremes based on daily temperature and precipitation data. Wires Clim. Change 2011, 2, 851–870. [Google Scholar] [CrossRef]
- Alvares, C.A.; Stape, J.L.; Sentelhas, P.C.; Moraes, G.J.L.; Sparovek, G. Köppen’s climate classification map for Brazil. Meteorol. Z. 2013, 22, 711–728. [Google Scholar] [CrossRef]
- van Wart, J.; van Bussel, L.G.J.; Wolf, J.; Licker, R.; Grassini, P.; Nelson, A.; Boogaard, H.; Gerber, J.; Mueller, N.D.; Claessens, L.; et al. Use of agro-climatic zones to upscale simulated crop yield potential. Field Crops Res. 2013, 143, 44–55. [Google Scholar] [CrossRef]
- van Bussel, L.G.; Grassini, P.; Van Wart, J.; Wolf, J.; Claessens, L.; Yang, H.; Boogaard, H.; de Groot, H.; Saito, K.; Cassman, K.G.; et al. From field to atlas: Upscaling of location-specific yield gap estimates. Field Crops Res. 2015, 177, 98–108. [Google Scholar] [CrossRef]
- Cunha, A.; Alvalá, R.; Nobre, C.; Carvalho, M. Monitoring vegetative drought dynamics in the Brazilian semiarid region. Agric. For. Meteorol. 2015, 214, 494–505. [Google Scholar] [CrossRef]
- CONAB—Companhia Nacional de Abastecimento. Calendário de Plantio e Colheita de Grãos no Brasil 2022. 2022. Available online: https://www.gov.br/conab/pt-br/acesso-a-informacao/institucional/publicacoes/arquivos-de-paginas/calendariozplantiozezcolheitazjunz2022.pdf (accessed on 10 July 2024).
- EMBRAPA. Sistema Brasileiro de Classificação de Solos, 5th ed.; Embrapa: Brasília, Brazil, 2018; Available online: https://www.embrapa.br/busca-de-publicacoes/-/publicacao/1094003/sistema-brasileiro-de-classificacao-de-solos (accessed on 10 July 2024).
- IBGE—Instituto Brasileiro de Geografia e Estatística. PAM—Municipal Agricultural Production. 2022. Available online: https://www.ibge.gov.br/en/statistics/economic/agriculture-forestry-and-fishing/16773-municipal-agricultural-production-temporary-and-permanent-crops.html (accessed on 3 March 2024).
- Lobell, D.B.; Roberts, M.J.; Schlenker, W.; Braun, N.; Little, B.B.; Rejesus, R.M.; Hammer, G.L. Greater sensitivity to drought accompanies maize yield increase in the U.S. midwest. Science 2014, 344, 516–519. [Google Scholar] [CrossRef] [PubMed]
- Xavier, A.C.; Scanlon, B.R.; King, C.W.; Alves, A.I. New improved Brazilian daily weather gridded data (1961–2020). Int. J. Clim. 2022, 42, 8390–8404. [Google Scholar] [CrossRef]
- NOAA. Oceanic Niño Index (ONI). National Oceanic and Atmospheric Administration, 2025. Available online: https://www.cpc.ncep.noaa.gov/products/analysis_monitoring/ensostuff/ONI_v5.php (accessed on 11 November 2025).
- Altman, D.G.; Bland, J.M. Statistics notes: The normal distribution. BMJ 1995, 310, 298. [Google Scholar] [CrossRef]
- Alves, É.D.S.; Rodrigues, L.N.; Cunha, F.F.; Farias, D.B. Evaluation of Models to Estimate the Actual Evapotranspiration of Soybean Crop Subjected to Different Water Deficit Conditions. An. Acad. Bras. Cienc. 2021, 93, e20201801. [Google Scholar] [CrossRef]
- Souza, S.A.; Rodrigues, L.N.; da Cunha, F.F. Assessing the precision irrigation potential for increasing crop yield and water savings through simulation. Precis. Agric. 2022, 24, 533–559. [Google Scholar] [CrossRef]
- Gomes, L.D.; Flumignan, D.L.; Comunello, É.; Garcia, R.A. Calibration of the cropwat model for the study of soybean production systems. Eng. Agric. 2023, 43, e20220059. [Google Scholar] [CrossRef]
- Pandey, V.; Srivastava, P.K.; Mall, R.K.; Munoz-Arriola, F.; Han, D. Multi-Satellite Precipitation Products for Meteorological Drought Assessment and Forecasting in Central India. Geocarto Int. 2020, 37, 1899–1918. [Google Scholar] [CrossRef]
- Parisoto, G.J.; Munoz-Arriola, F.; Pilau, F.G. Interannual and Intraseasonal Effects of Drought and Heatwaves on Expanding Soybean Production Regions in Brazil, 1st ed.; Data set; Zenodo: Geneva, Switzerland, 2026. [Google Scholar] [CrossRef]
- Jolliffe, I.T.; Cadima, J. Principal component analysis: A review and recent developments. Philos. Trans. R. Soc. A Math. Phys. Eng. Sci. 2016, 374, 20150202. [Google Scholar] [CrossRef]
- Wilks, D.S. Statistical Methods in the Atmospheric Sciences. International Geophysics Series, 2nd ed.; Academic Press: Cambridge, MA, USA, 2011. [Google Scholar]
- Huang, J.; Zhuo, W.; Li, Y.; Huang, R.; Sedano, F.; Su, W.; Dong, J.; Tian, L.; Huang, Y.; Zhu, D.; et al. Comparison of three remotely sensed drought indices for assessing the impact of drought on winter wheat yield. Int. J. Digit. Earth 2020, 13, 504–526. [Google Scholar] [CrossRef]
- WMO-No 1090; Standardized Precipitation Index User Guide. WMO—World Meteorological Organization: Geneva, Switzerland, 2012. Available online: https://library.wmo.int/idurl/4/39629 (accessed on 24 July 2025).
- Kaur, L.; Rishi, M.S.; Chaudhary, B.S. Assessment of meteorological and agricultural droughts using remote sensing and their impact on groundwater in an agriculturally productive part of Northwest India. Agric. Water Manag. 2022, 274, 107956. [Google Scholar] [CrossRef]
- Beguería, S.; Vicente-Serrano, S.M.; Reig, F.; Latorre, B. Standardized precipitation evapotranspiration index (SPEI) revisited: Parameter fitting, evapotranspiration models, tools, datasets and drought monitoring. Int. J. Clim. 2014, 34, 3001–3023. [Google Scholar] [CrossRef]
- Ximenes, P.d.S.M.P.; da Silva, A.S.A.; Ashkar, F.; Stosic, T. Best-fit probability distribution models for monthly rainfall of Northeastern Brazil. Water Sci. Technol. 2021, 84, 1541–1556. [Google Scholar] [CrossRef]
- Vieira, R.M.daS.P.; Tomasella, J.; Cunha, A.P.M.A.; Barbosa, A.A.; Pompeu, J.; Ferreira, Y.; Santos, F.C.; Alves, L.M.; Ometto, J. Socio-Environmental Vulnerability to Drought Conditions and Land Degradation: An Assessment in Two Northeastern Brazilian River Basins. Sustainability 2023, 15, 8029. [Google Scholar] [CrossRef]
- Blain, G.C.; de Avila, A.M.H.; Pereira, V.R. Using the normality assumption to calculate probability-based standardized drought indices: Selection criteria with emphases on typical events. Int. J. Clim. 2018, 38, E418–E436. [Google Scholar] [CrossRef]
- Guzmám, D.A.; Mohor, G.S.; Taffarello, D.; Mendiondo, E.M. Economic impacts of drought risks for water utilities through Severity-Duration-Frequency framework under climate change scenarios. Hydrol. Earth Syst. Sci. Discuss. 2017. preprint. [Google Scholar] [CrossRef]
- Zhang, L.; Shen, Y.; Chen, Q.; Wang, F. Influence factors and mechanisms of 2015–2016 extreme flood in Pearl River Basin based on the WSDI from GRACE. J. Hydrol. Reg. Stud. 2023, 47, 101376. [Google Scholar] [CrossRef]
- Russo, S.; Dosio, A.; Graversen, R.G.; Sillmann, J.; Carrao, H.; Dunbar, M.B.; Singleton, A.; Montagna, P.; Barbola, P.; Vogt, J.V. Magnitude of extreme heat waves in present climate and their projection in a warming world. J. Geophys. Res. Atmos. 2014, 119, 12500–12512. [Google Scholar] [CrossRef]
- Perkins, S.E.; Alexander, L.V.; Nairn, J.R. Increasing frequency, intensity and duration of observed global heatwaves and warm spells. Geophys. Res. Lett. 2012, 39, 10. [Google Scholar] [CrossRef]
- Wang, H.I.; Manolas, C.; Xanthidis, D. Statistical Analysis with Python. In Handbook of Computer Programming with Python; Chapman and Hall/CRC: Boca Raton, FL, USA, 2022; pp. 373–408. [Google Scholar] [CrossRef]
- MAPA—Ministério da Agricultura e Pecuária. Zoneamento Agrícola. 2024. Available online: https://mapa-indicadores.agricultura.gov.br/publico/extensions/Zarc/Zarc.html (accessed on 18 March 2025).
- Kaster, M.; Farias, J.R.B. Regionalização dos Testes de Valor de Cultivo e Uso e da Indicação de Cultivares de Soja—Terceira Aproximação; Embrapa Soja. Documentos, 330; Embrapa Soja: Londrina, Brazil, 2012; Available online: https://www.infoteca.cnptia.embrapa.br/infoteca/handle/doc/917252 (accessed on 31 March 2025).
- SEI—Stockholm Environment Institute. Brazilian soy Exports and Deforestation. 2025. Available online: https://www.sei.org/features/brazilian-soy-exports-and-deforestation/ (accessed on 8 February 2025).
- Zscheischler, J.; Martius, O.; Westra, S.; Bevacqua, E.; Raymond, C.; Horton, R.M.; van den Hurk, B.; AghaKouchak, A.; Jézéquel, A.; Mahecha, M.D.; et al. A typology of compound weather and climate events. Nat. Rev. Earth Environ. 2020, 1, 333–347. [Google Scholar] [CrossRef]
- Pousa, R.; Costa, M.H.; Pimenta, F.M.; Fontes, V.C.; De Brito, V.F.A.; Castro, M. Climate Change and Intense Irrigation Growth in Western Bahia, Brazil: The Urgent Need for Hydroclimatic Monitoring. Water 2019, 11, 933. [Google Scholar] [CrossRef]
- Collazo, S.; Barrucand, M.; Rusticucci, M. Hot and dry compound events in South America: Present climate and future projections, and their association with the Pacific Ocean. Nat. Hazards 2023, 119, 299–323. [Google Scholar] [CrossRef]
- Eisenhauer, D.E.; Martin, D.L.; Heeren, D.M.; Hoffman, G.J. Irrigation Systems Management; American Society of Agricultural and Bio-logical Engineers (ASABE): St. Joseph, MI, USA, 2021. [Google Scholar]
- Jerszurki, D.; de Souza, J.L.M.; Silva, L.d.C.R. Sensitivity of ASCE-Penman–Monteith reference evapotranspiration under different climate types in Brazil. Clim. Dyn. 2019, 53, 943–956. [Google Scholar] [CrossRef]
- Cunha, A.P.M.A.; Buermann, W.; Marengo, J.A. Changes in compound drought-heat events over Brazil’s Pantanal wetland: An assessment using remote sensing data and multiple drought indicators. Clim. Dyn. 2024, 62, 739–757. [Google Scholar] [CrossRef]
- Perondi, D.; Júnior, R.d.S.N.; Zotarelli, L.; Mulvaney, M.J.; Fraisse, C.W. Soybean maturity groups and sowing dates to minimize ENSO and extreme weather events effects on yield variability in the Southeastern US. Agric. For. Meteorol. 2022, 324, 109104. [Google Scholar] [CrossRef]
- Rio, A.D.; Sentelhas, P.C.; Farias, J.R.B.; Sibaldelli, R.N.R.; Ferreira, R.C. Alternative sowing dates as a mitigation measure to reduce climate change impacts on soybean yields in southern Brazil. Int. J. Clim. 2016, 36, 3664–3672. [Google Scholar] [CrossRef]
- Pereira, A.R.; Angelocci, L.R.; Sentelhas, P.C. Agrometeorologia: Fundamentos e Aplicações Práticas; Agropecuária: Guaíba, Brazil, 2002; Available online: https://repositorio.usp.br/item/001400861 (accessed on 8 May 2024).
- Smith, M.; Steduto, P. Yield response to water: The original FAO water production function. FAO Irrigation and Drainage Paper 66. 2012. Available online: http://www.fao.org/4/i2800e/i2800e02.pdf (accessed on 16 July 2024).
- Rossato, L.; Alvalá, R.C.D.S.; Marengo, J.A.; Zeri, M.; do Amaral Cunha, A.P.M.; Pires, L.B.M.; Barbosa, H.A. Impact of soil moisture on crop yields over Brazilian semiarid. Front. Environ. Sci. 2017, 5, 73. [Google Scholar] [CrossRef]
- Marengo, J.A.; Galdos, M.V.; Challinor, A.; Cunha, A.P.; Marin, F.R.; Vianna, M.d.S.; Alvala, R.C.S.; Alves, L.M.; Moraes, O.L.; Bender, F. Drought in Northeast Brazil: A review of agricultural and policy adaptation options for food security. Clim. Resil. Sustain. 2022, 1, e17. [Google Scholar] [CrossRef]
- Walker, D.W.; Oliveira, J.L.; Cavalcante, L.; Kchouk, S.; Neto, G.R.; Melsen, L.A.; Fernandes, F.B.P.; Mitroi, V.; Gondim, R.S.; Martins, E.S.P.R.; et al. It’s not all about drought: What “drought impacts” monitoring can reveal. Int. J. Disaster Risk Reduct. 2024, 103, 104338. [Google Scholar] [CrossRef]
- Tavares, P.d.S.; Acosta, R.; Nobre, P.; Resende, N.C.; Chou, S.C.; Lyra, A.d.A. Water balance components and climate extremes over Brazil under 1.5 °C and 2.0 °C of global warming scenarios. Reg. Environ. Change 2023, 23, 40. [Google Scholar] [CrossRef]
- Vicente-Serrano, S.M.; McVicar, T.R.; Miralles, D.G.; Yang, Y.; Tomas-Burguera, M. Unraveling the influence of atmospheric evaporative demand on drought and its response to climate change. WIREs Clim. Change 2020, 11, e632. [Google Scholar] [CrossRef]
- dos Santos, V.; Gastmans, D.; Durán-Quesada, A.M.; Sánchez-Murillo, R.; Rozanski, K.; Kracht, O.; Quintão, D.d.A. Isotopic composition of convective rainfall in the inland tropics of Brazil. Atmos. Meas. Tech. 2024, 24, 6663–6680. [Google Scholar] [CrossRef]
- Kayano, M.T.; Capistrano, V.B. How the Atlantic multidecadal oscillation (AMO) modifies the ENSO influence on the South American rainfall. Int. J. Clim. 2014, 34, 162–178. [Google Scholar] [CrossRef]
- Marengo, J.A.; Espinoza, J.C. Extreme seasonal droughts and floods in Amazonia: Causes, trends and impacts. Int. J. Clim. 2016, 36, 1033–1050. [Google Scholar] [CrossRef]
- da Costa, J.A.C.; Andreoli, R.V.; Kayano, M.T.; de Souza, I.P.; de Souza, R.A.F.; Cerón, W.L. The South American precipitation trends under (or not) El Niño-Southern Oscillation influences and relationship with large-scale circulation. Int. J. Clim. 2024, 44, 3154–3168. [Google Scholar] [CrossRef]
- Kayano, M.T.; Andreoli, R.V.; Cerón, W.L.; Mamani, L.; de Souza, I.P.; Cevalho, W.; Souza, R.A.F.; de Moraes, D.S. Contrasting Rainfall Anomaly Patterns Over South America Related to Central and Eastern Atlantic Niño Modes. Int. J. Clim. 2024, 44, 5441–5453. [Google Scholar] [CrossRef]
- Barichivich, J.; Gloor, E.; Peylin, P.; Brienen, R.J.W.; Schöngart, J.; Espinoza, J.C.; Pattnayak, K.C. Recent intensification of Amazon flooding extremes driven by strengthened Walker circulation. Sci. Adv. 2018, 4, eaat8785. [Google Scholar] [CrossRef]
- Marengo, J.A.; Cunha, A.P.; Cuartas, L.A.; Leal, K.R.D.; Broedel, E.; Seluchi, M.E.; Michelin, C.M.; Baião, C.F.D.P.; Angulo, E.C.; Almeida, E.K.; et al. Extreme Drought in the Brazilian Pantanal in 2019–2020: Characterization, Causes, and Impacts. Front. Water 2021, 3, 639204. [Google Scholar] [CrossRef]
- Silva, D.S.; Arima, E.Y.; dos Reis, T.N.P.; Rattis, L. Temperature effect on Brazilian soybean yields, and farmers’ responses. Int. J. Agric. Sustain. 2023, 21, 2173370. [Google Scholar] [CrossRef]
- Farias, D.B.d.S.; Rodrigues, L.N.; Aleman, C.C.; Cecon, P.R. Estimation of soybean crop water deficit sensitivity index. Sci. Agric. 2024, 81, e20230103. [Google Scholar] [CrossRef]
- Reis, L.; e Silva, C.M.S.; Bezerra, B.; Mutti, P.; Spyrides, M.H.; Silva, P.; Magalhães, T.; Ferreira, R.; Rodrigues, D.; Andrade, L. Influence of climate variability on soybean yield in MATOPIBA, Brazil. Atmosphere 2020, 11, 1130. [Google Scholar] [CrossRef]
- Cunha, A.P.M.A.; Zeri, M.; Leal, K.D.; Costa, L.; Cuartas, L.A.; Marengo, J.A.; Tomasella, J.; Vieira, R.M.; Barbosa, A.A.; Cunningham, C.; et al. Extreme Drought Events over Brazil from 2011 to 2019. Atmosphere 2019, 10, 642. [Google Scholar] [CrossRef]
- Vogel, E.; Donat, M.G.; Alexander, L.V.; Meinshausen, M.; Ray, D.K.; Karoly, D.; Meinshausen, N.; Frieler, K. The effects of climate extremes on global agricultural yields. Environ. Res. Lett. 2019, 14, 054010. [Google Scholar] [CrossRef]
- Pilau, F.G.; Marin, F.R.; Grubert, D.A.d.V.; Dalmago, G.A.; Romanelli, T.L. Impact of ENSO-related rainfall variability on soybean yield in the state of Rio Grande do Sul, Brazil. Agrometeoros 2022, 30, 173–182. [Google Scholar] [CrossRef]
- Hofmann, G.S.; Silva, R.C.; Weber, E.J.; Barbosa, A.A.; Oliveira, L.F.B.; Alves, R.J.V.; Hasenack, H.; Schossler, V.; Aquino, F.E.; Cardoso, M.F. Changes in atmospheric circulation and evapotranspiration are reducing rainfall in the Brazilian Cerrado. Sci. Rep. 2023, 13, 11236. [Google Scholar] [CrossRef]
- Ray, D.K.; Mueller, N.D.; West, P.C.; Foley, J.A. Yield trends are insufficient to double global crop production by 2050. PLoS ONE 2013, 8, e66428. [Google Scholar] [CrossRef]
- Heino, M.; Kinnunen, P.; Anderson, W.; Ray, D.K.; Puma, M.J.; Varis, O.; Siebert, S.; Kummu, M. Increased probability of hot and dry weather extremes during the growing season threatens global crop yields. Sci. Rep. 2023, 13, 3583. [Google Scholar] [CrossRef]
- Quiggin, D.; De Meyer, K.; Hubble-Rose, L.; Froggatt, A. Climate Change Risk Assessment 2021; Chatham House: London, UK, 2021; Available online: https://www.chathamhouse.org/sites/default/files/2021-09/2021-09-14-climate-change-risk-assessment-quiggin-et-al.pdf (accessed on 10 August 2025).
- Mainardes, C. Drought Causes $80bn in Soybean Losses over a Decade. Valor International. 2024. Available online: https://valorinternational.globo.com/agribusiness/news/2024/12/09/drought-causes-80bn-in-soybean-losses-over-a-decade.ghtml (accessed on 18 August 2025).
- Anderson, W.B.; Seager, R.; Baethgen, W.; Cane, M.; You, L. Synchronous crop failures and climate-forced production variability. Sci. Adv. 2019, 5, eaaw1976. [Google Scholar] [CrossRef]
- Lesk, C.; Rowhani, P.; Ramankutty, N. Influence of extreme weather disasters on global crop production. Nature 2016, 529, 84–87. [Google Scholar] [CrossRef]
- Andrade, J.F.; Mourtzinis, S.; Edreira, J.I.R.; Conley, S.P.; Gaska, J.; Kandel, H.J.; Lindsey, L.E.; Naeve, S.; Nelson, S.; Singh, M.P.; et al. Field validation of a farmer supplied data approach to close soybean yield gaps in the US North Central region. Agric. Syst. 2022, 200, 103434. [Google Scholar] [CrossRef]
- Hatfield, J.L.; Boote, K.J.; Kimball, B.A.; Ziska, L.H.; Izaurralde, R.C.; Ort, D.; Thomson, A.M.; Wolfe, D. Climate Impacts on Agriculture: Implications for Crop Production. Agron. J. 2011, 103, 351–370. [Google Scholar] [CrossRef]
- Monteiro, A.F.M.; Torres, R.R.; Martins, F.B.; Marrafon, V.H.d.A. Climate change impacts on evapotranspiration in Brazil. Res. Sq. 2022. preprint. [Google Scholar] [CrossRef]
- Gesualdo, G.C.; Benso, M.R.; Mendiondo, E.M.; Brunner, M.I. Spatially compounding drought events in Brazil. Water Resour. Res. 2024, 60, e2023WR036629. [Google Scholar] [CrossRef]
- Laipelt, L.; Fleischmann, A.; de Andrade, B.C.; Vergopolan, N.; Biudes, M.S.; Aragão, L.E.O.C.; Collischonn, W.; Ruhoff, A. Increased Amazon evapotranspiration since 1990 in a warming climate. Environ. Res. Lett. 2025, 20, 104025. [Google Scholar] [CrossRef]
- Laipelt, L.; Fleischmann, A.S.; Ruhoff, A. Assessing the Performance of Multiple Satellite-Based Evapotranspiration Models over Tropical Forests. Remote Sens. 2026, 18, 30. [Google Scholar] [CrossRef]
- Battisti, R.; Sentelhas, P.C.; Boote, K.J. Inter-comparison of performance of soybean crop simulation models and their ensemble in southern Brazil. Field Crops Res. 2017, 200, 28–37. [Google Scholar] [CrossRef]
- Guo, C.; Zhang, L.; Zhou, X.; Zhu, Y.; Cao, W.; Qiu, X.; Cheng, T.; Tian, Y. Integrating remote sensing information with crop model to monitor wheat growth and yield based on simulation zone partitioning. Precis. Agric. 2018, 19, 55–78. [Google Scholar] [CrossRef]
- Jägermeyr, J.; Müller, C.; Ruane, A.C.; Elliott, J.; Balkovic, J.; Castillo, O.; Faye, B.; Foster, I.; Folberth, C.; Franke, J.A.; et al. Climate impacts on global agriculture emerge earlier in new generation of climate and crop models. Nat. Food 2021, 2, 873–885. [Google Scholar] [CrossRef]
- Keys, P.W.; Galaz, V.; Dyer, M.; Matthews, N.; Folke, C.; Nyström, M.; Cornell, S.E. Anthropocene risk. Nat. Sustain. 2019, 2, 667–673. [Google Scholar] [CrossRef]
- Jarquín, D.; Crossa, J.; Lacaze, X.; Du Cheyron, P.; Daucourt, J.; Lorgeou, J.; Piraux, F.; Guerreiro, L.; Pérez, P.; Calus, M.; et al. A reaction norm model for genomic selection using high-dimensional genomic and environmental data. Theor. Appl. Genet. 2014, 127, 595–607. [Google Scholar] [CrossRef]
- Sarzaeim, P.; Muñoz-Arriola, F.; Jarquín, D. Climate and genetic data enhancement using deep learning analytics to improve maize yield predictability. J. Exp. Bot. 2022, 73, 5336–5354. [Google Scholar] [CrossRef] [PubMed]










| SPI/SPEI | Drought Class |
|---|---|
| >1.00 | No drought/wet |
| 1.00 to −0.49 | Near normal |
| −0.50 to −0.99 | Mild drought |
| −1.00 to −1.49 | Moderate drought |
| −1.50 to −1.99 | Severe drought |
| −2.0 and less | Extreme drought |
| Municipality | Mean Annual P (mm yr−1) | Mean Season P (mm yr−1) | Effective P 60% (mm yr−1) 1 | Mean ETc (mm yr−1) 2 | Effective P 60% vs. ETc (mm yr−1) 3 |
|---|---|---|---|---|---|
| Palmeira das Missões—RS | 1788.2 | 1245.1 | 747 | 481.9 | 265.1 |
| Cascavel—PR | 1746.3 | 1126.1 | 675.6 | 443.8 | 231.8 |
| Cristalina—GO | 1368.2 | 1136.8 | 682.1 | 400.7 | 281.4 |
| Primavera do Leste—MT | 1485.3 | 1313.9 | 788.4 | 406.0 | 382.4 |
| Sorriso—MT | 1664.7 | 1486.6 | 891.9 | 362.8 | 529.1 |
| Lagoa da Confusão—TO | 1581.4 | 1542.8 | 925.7 | 501.4 | 424.3 |
| Barreiras—BA | 926.6 | 914.7 | 548.8 | 539.5 | 9.3 |
| Bom Jesus—PI | 814.5 | 743.3 | 446.0 | 498.6 | −52.6 |
| Balsas—MA | 1082.8 | 1058.0 | 634.8 | 465.7 | 169.1 |
| Municipality | 1989/90 to 1999/00 | 2000/01 to 2010/11 | 2010/11 to 2020/21 | Total 30 Crop Seasons | ||||
|---|---|---|---|---|---|---|---|---|
| kt | % | kt | % | kt | % | kt | % | |
| Palmeira das Missões—RS | 18.8 | 2.8 | 278.1 | 13.8 | 157.8 | 6.7 | 454.6 | 9.0 |
| Cascavel—PR | 24.7 | 3.2 | 97.3 | 4.1 | 115.2 | 4.1 | 237.2 | 4.0 |
| Cristalina—GO | 13.0 | 3.1 | 228.7 | 7.5 | 222.0 | 4.0 | 463.7 | 5.2 |
| Primavera do Leste—MT | 37.8 | 2.2 | 174.0 | 2.6 | 86.8 | 1.4 | 298.6 | 2.0 |
| Sorriso—MT | 74.9 | 2.6 | 270.3 | 1.6 | 379.4 | 2.3 | 724.5 | 2.0 |
| Lagoa da Confusão—TO | 0.0 | 0.0 | 5.6 | 2.2 | 17.0 | 1.9 | 22.6 | 2.0 |
| Barreiras—BA | 66.0 | 4.3 | 227.0 | 6.7 | 265.6 | 6.3 | 558.7 | 6.1 |
| Bom Jesus—PI | 0.0 | 0.0 | 67.4 | 11.2 | 146.8 | 12.0 | 214.2 | 11.7 |
| Balsas—MA | 17.1 | 5.6 | 73.4 | 2.7 | 227.5 | 6.0 | 318.0 | 4.7 |
| Total | 252.2 | 3.0 | 1421.9 | 3.8 | 1618.1 | 3.7 | 3292.3 | 3.7 |
| Municipality | Metric | Yloss 1 | Yr 2 | SPEI 6M 3 | SPI 6M 4 | WSDI 5 |
|---|---|---|---|---|---|---|
| Palmeira das Missões—RS | Slope | 0.031 | 55.138 | 0.019 | 0.016 | 0.014 |
| Palmeira das Missões—RS | R2 value 6 | 0.000 | 0.395 | 0.028 | 0.025 | 0.011 |
| Palmeira das Missões—RS | p-value < 0.05 7 | 0.898 | 0.000 | 0.118 | 0.016 | 0.106 |
| Cascavel—PR | Slope | −0.231 | 51.455 | 0.001 | 0.007 | 0.017 |
| Cascavel—PR | R2 value | 0.015 | 0.642 | 0.000 | 0.004 | 0.038 |
| Cascavel—PR | p-value < 0.05 | 0.064 | 0.000 | 0.928 | 0.322 | 0.003 |
| Cristalina—GO | Slope | −0.535 | 49.919 | −0.039 | −0.034 | 0.001 |
| Cristalina—GO | R2 value | 0.030 | 0.566 | 0.123 | 0.107 | 0.000 |
| Cristalina—GO | p-value < 0.05 | 0.012 | 0.000 | 0.006 | 0.000 | 0.893 |
| Primavera do Leste—MT | Slope | −0.003 | 22.562 | 0.007 | 0.007 | 0.016 |
| Primavera do Leste—MT | R2 value | 0.000 | 0.514 | 0.004 | 0.005 | 0.010 |
| Primavera do Leste—MT | p-value < 0.05 | 0.986 | 0.000 | 0.553 | 0.284 | 0.118 |
| Sorriso—MT | Slope | −1.078 | 34.607 | −0.016 | −0.002 | 0.018 |
| Sorriso—MT | R2 value | 0.036 | 0.661 | 0.022 | 0.000 | 0.009 |
| Sorriso—MT | p-value < 0.05 | 0.006 | 0.000 | 0.163 | 0.807 | 0.173 |
| Lagoa da Confusão—TO | Slope | −0.061 | 42.331 | 0.008 | 0.005 | 0.024 |
| Lagoa da Confusão—TO | R2 value | 0.043 | 0.781 | 0.006 | 0.002 | 0.008 |
| Lagoa da Confusão—TO | p-value < 0.05 | 0.006 | 0.000 | 0.464 | 0.516 | 0.231 |
| Barreiras—BA | Slope | −0.217 | 60.532 | 0.000 | 0.003 | 0.043 |
| Barreiras—BA | R2 value | 0.003 | 0.604 | 0.000 | 0.001 | 0.017 |
| Barreiras—BA | p-value < 0.05 | 0.383 | 0.000 | 0.973 | 0.699 | 0.046 |
| Bom Jesus—PI | Slope | −0.419 | 26.836 | −0.030 | −0.026 | 0.015 |
| Bom Jesus—PI | R2 value | 0.040 | 0.055 | 0.067 | 0.065 | 0.003 |
| Bom Jesus—PI | p-value < 0.05 | 0.004 | 0.003 | 0.045 | 0.000 | 0.405 |
| Balsas—MA | Slope | −0.680 | 36.588 | 0.019 | 0.019 | 0.045 |
| Balsas—MA | R2 value | 0.023 | 0.385 | 0.029 | 0.034 | 0.031 |
| Balsas—MA | p-value < 0.05 | 0.021 | 0.000 | 0.109 | 0.005 | 0.006 |
Disclaimer/Publisher’s Note: The statements, opinions and data contained in all publications are solely those of the individual author(s) and contributor(s) and not of MDPI and/or the editor(s). MDPI and/or the editor(s) disclaim responsibility for any injury to people or property resulting from any ideas, methods, instructions or products referred to in the content. |
© 2026 by the authors. Licensee MDPI, Basel, Switzerland. This article is an open access article distributed under the terms and conditions of the Creative Commons Attribution (CC BY) license.
Share and Cite
Parisoto, G.J.; Muñoz-Arriola, F.; Pilau, F.G. Interannual and Intraseasonal Effects of Drought and Heatwaves on Expanding Soybean Production Regions in Brazil. Atmosphere 2026, 17, 367. https://doi.org/10.3390/atmos17040367
Parisoto GJ, Muñoz-Arriola F, Pilau FG. Interannual and Intraseasonal Effects of Drought and Heatwaves on Expanding Soybean Production Regions in Brazil. Atmosphere. 2026; 17(4):367. https://doi.org/10.3390/atmos17040367
Chicago/Turabian StyleParisoto, Greici Joana, Francisco Muñoz-Arriola, and Felipe Gustavo Pilau. 2026. "Interannual and Intraseasonal Effects of Drought and Heatwaves on Expanding Soybean Production Regions in Brazil" Atmosphere 17, no. 4: 367. https://doi.org/10.3390/atmos17040367
APA StyleParisoto, G. J., Muñoz-Arriola, F., & Pilau, F. G. (2026). Interannual and Intraseasonal Effects of Drought and Heatwaves on Expanding Soybean Production Regions in Brazil. Atmosphere, 17(4), 367. https://doi.org/10.3390/atmos17040367

