Evaluation and Projection of the Influence of the August Asian–Pacific Oscillation on Precipitation in Northern Xinjiang Based on CMIP6 Simulations
Abstract
1. Introduction
2. Data and Methods
2.1. Data
2.2. Methods
3. Results
3.1. The Impact of August APO on September Precipitation and Atmospheric Circulation Based on Observations
3.2. Evaluation and Projection of the August APO
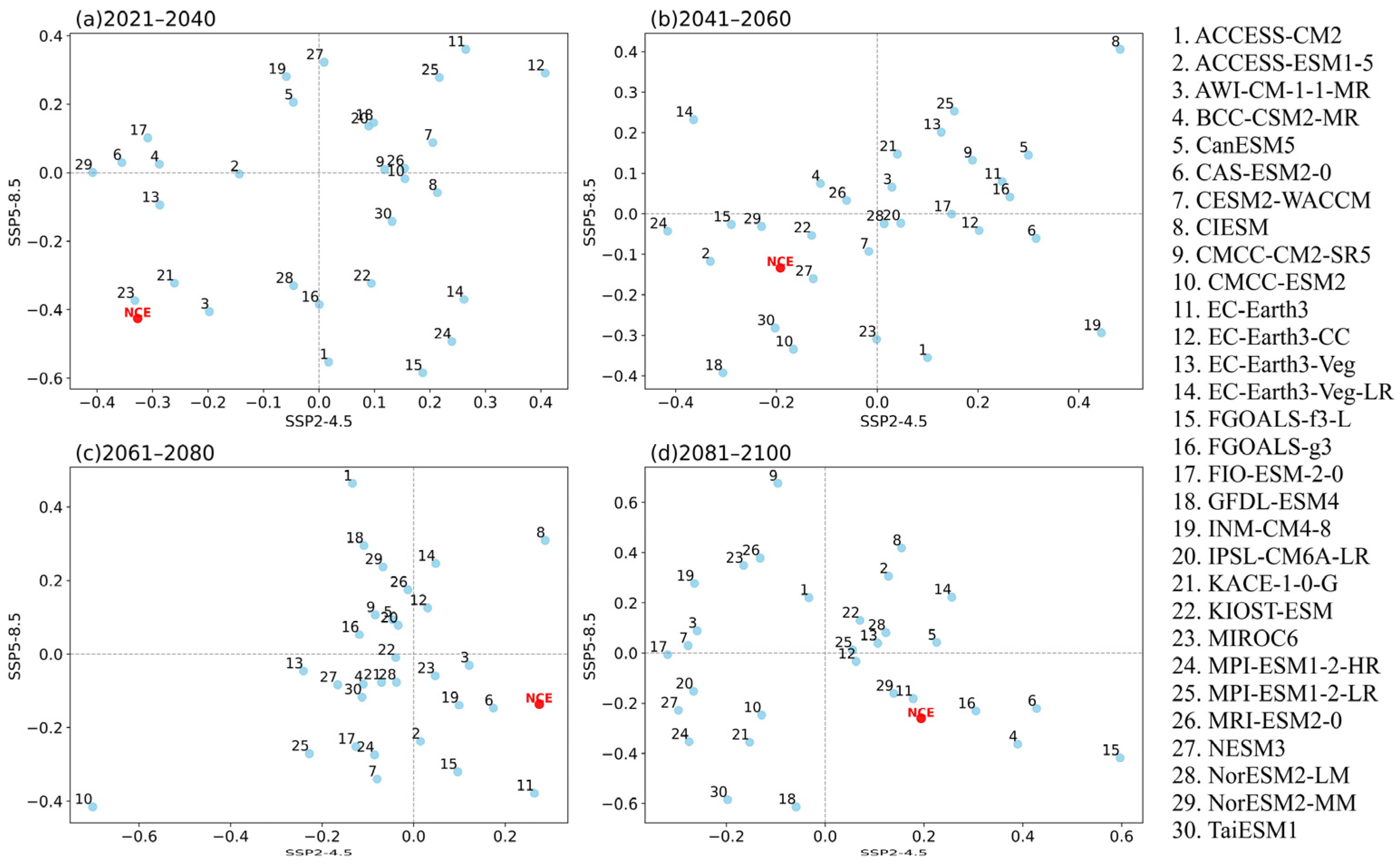
3.3. Evaluation and Projection of the Impact of August APO on September Precipitation over Northern Xinjiang
4. Conclusions
Author Contributions
Funding
Institutional Review Board Statement
Informed Consent Statement
Data Availability Statement
Acknowledgments
Conflicts of Interest
References
- Zhao, P.; Zhu, Y.; Zhang, R. An Asian-Pacific Teleconnection in Summer Tropospheric Temperature and Associated Asian Climate Variability. Clim. Dyn. 2007, 29, 293–303. [Google Scholar] [CrossRef]
- Zhao, P.; Wang, B.; Zhou, X. Boreal summer continental monsoon rainfall and hydroclimate anomalies associated with the Asian-Pacific Oscillation. Clim. Dyn. 2012, 39, 1197–1207. [Google Scholar] [CrossRef]
- Zhou, X.; Zhao, P.; Liu, G. Asian-Pacific Oscillation index and variation of East Asian summer monsoon over the past millennium. Chin. Sci. Bull. 2009, 54, 3768–3771. [Google Scholar] [CrossRef]
- Zhou, B.; Zhao, P. Influence of the Asian-Pacific oscillation on spring precipitation over central eastern China. Adv. Atmos. Sci. 2010, 27, 575–582. [Google Scholar] [CrossRef]
- Liu, G.; Zhao, P.; Dong, C. The relationship between the Asian-Pacific oscillation and January precipitation anomalies over southern China. Acta Meteorol. Sin. 2013, 71, 462–475. [Google Scholar] [CrossRef]
- Zhou, B.; Cui, X.; Zhao, P. Relationship between the Asian-Pacific oscillation and the tropical cyclone frequency in the western North Pacific. Sci. China Ser. D-Earth Sci. 2008, 51, 380–385. [Google Scholar] [CrossRef]
- Zhou, B.; Zhao, P.; Cui, X. Linkage between the Asian-Pacific Oscillation and the sea surface temperature in the North Pacific. Chin. Sci. Bull. 2010, 55, 1193–1198. [Google Scholar] [CrossRef]
- Li, Y.; Hua, W.; Luo, F.; Zhu, L. Interannual relationship between the Asian–Pacific Oscillation and summer sea surface temperature in the North Atlantic. Environ. Res. Lett. 2024, 19, 014060. [Google Scholar] [CrossRef]
- Zhao, P.; Yang, S.; Wang, H.; Zhang, Q. Interdecadal Relationships between the Asian–Pacific Oscillation and Summer Climate Anomalies over Asia, North Pacific, and North America during a Recent 100 Years. J. Clim. 2011, 24, 4793–4799. [Google Scholar] [CrossRef]
- Zhou, B.; Wang, Z. On the significance of the interannual relationship between the Asian–Pacific Oscillation and the North Atlantic Oscillation. J. Geophys. Res. Atmos. 2015, 120, 6489–6499. [Google Scholar] [CrossRef]
- Li, P.; Zhou, B.; Zhang, D.; Huang, Y.; Xie, W.; Song, Z.; Liu, Y. On the association of Pacific Decadal Oscillation with the interdecadal variability in Asian-Pacific Oscillation. Atmos. Res. 2024, 310, 107635. [Google Scholar]
- Zhao, P.; Chen, J.M.; Xiao, D.; Nan, S.L.; Zou, Y.; Zhou, B.T. Summer Asian-Pacific oscillation and its relationship with atmospheric circulation and monsoon rainfall. Acta Meteorol. Sin. 2008, 22, 455–471. [Google Scholar]
- Eyring, V.; Bony, S.; Meehl, G.A.; Senior, C.A.; Stevens, B.; Stouffer, R.J.; Taylor, K.E. Overview of the Coupled Model Intercomparison Project Phase 6 (CMIP6) experimental design and organization. Geosci. Model Dev. 2016, 9, 1937–1958. [Google Scholar] [CrossRef]
- Agel, L.; Barlow, M. How well do CMIP6 historical runs match observed Northeast US Precipitation and extreme precipitation–related circulation? J. Clim. 2020, 33, 9835–9848. [Google Scholar] [CrossRef]
- Chen, Z.; Zhou, T.; Zhang, L.; Chen, X.; Zhang, W.; Jiang, J. Global land monsoon precipitation changes in CMIP6 projections. Geophys. Res. Lett. 2020, 47, e2019GL086902. [Google Scholar] [CrossRef]
- Hu, Q.; Hua, W.; Yang, K.; Ming, J.; Ma, P.; Zhao, Y.; Fan, G. An assessment of temperature simulations by CMIP6 climate models over the Tibetan Plateau and differences with CMIP5 climate models. Theor. Appl. Climatol. 2022, 148, 223–236. [Google Scholar] [CrossRef]
- Zhu, Y.; Hua, W. Influence of August Asian–Pacific Oscillation on September Precipitation in Northern Xinjiang. Atmosphere 2025, 16, 1042. [Google Scholar] [CrossRef]
- O’Neill, B.C.; Kriegler, E.; Riahi, K.; Ebi, K.L.; Hallegatte, S.; Carter, T.R.; Mathur, R.; van Vuuren, D.P. A new scenario framework for climate change research: The concept of shared socioeconomic pathways. Clim. Change 2014, 122, 387–400. [Google Scholar] [CrossRef]
- Gidden, M.J.; Riahi, K.; Smith, S.J.; Fujimori, S.; Luderer, G.; Kriegler, E.; van Vuuren, D.P.; Van Den Berg, M.; Feng, L.; Klein, D.; et al. Global emissions pathways under different socioeconomic scenarios for use in CMIP6: A dataset of harmonized emissions trajectories through the end of the century. Geosci. Model Dev. 2019, 12, 1443–1475. [Google Scholar] [CrossRef]
- Kalnay, E.; Kanamitsu, M.; Kistler, R.; Collins, W.; Deaven, D.; Gandin, L.; Iredell, M.; Saha, S.; White, G.; Woollen, J.; et al. The NCEP/NCAR 40-year reanalysis project. Bull. Am. Meteorol. Soc. 1996, 77, 437–472. [Google Scholar] [CrossRef]
- Wu, J.; Gao, X.J. A gridded daily observation dataset over China region and comparison with the other datasets. Chin. J. Geophys. 2013, 56, 1102–1111. (In Chinese) [Google Scholar] [CrossRef]
- Taylor, K.E. Summarizing multiple aspects of model performance in a single diagram. J. Geophys. Res. Atmos. 2001, 106, 7183–7192. [Google Scholar] [CrossRef]
- Chen, W.; Jiang, Z.; Li, L. Probabilistic projections of climate change over China under the SRES A1B scenario using 28 AOGCMs. J. Clim. 2011, 24, 4741–4756. [Google Scholar] [CrossRef]
- Jiang, Z.; Li, W.; Xu, J.; Li, L. Extreme precipitation indices over China in CMIP5 models. Part I: Model evaluation. J. Clim. 2015, 28, 8603–8619. [Google Scholar] [CrossRef]






| Model Number | Model Name | Institution/Country | Horizontal Resolution (lat × lon) |
|---|---|---|---|
| 1 | ACCESS-CM2 | CSIRO-ARCCSS/Australia | 144 × 192 |
| 2 | ACCESS-ESM1-5 | CSIRO/Australia | 144 × 192 |
| 3 | AWI-CM-1-1-MR | AWI/Germany | 192 × 384 |
| 4 | BCC-CSM2-MR | BCC/China | 160 × 320 |
| 5 | CanESM5 | CCCma/Canada | 64 × 128 |
| 6 | CAS-ESM2-0 | CAS/China | 128 × 256 |
| 7 | CESM2-WACCM | NCAR/USA | 192 × 288 |
| 8 | CIESM | THU/China | 192 × 288 |
| 9 | CMCC-CM2-SR5 | CMCC/Italy | 192 × 288 |
| 10 | CMCC-ESM2 | CMCC/Italy | 192 × 288 |
| 11 | EC-Earth3-CC | EC-Earth-Consortium/Europe | 256 × 512 |
| 12 | EC-Earth3-Veg-LR | EC-Earth-Consortium/Europe | 256 × 512 |
| 13 | EC-Earth3-Veg | EC-Earth-Consortium/Europe | 256 × 512 |
| 14 | EC-Earth3 | EC-Earth-Consortium/Europe | 160 × 320 |
| 15 | FGOALS-f3-L | CAS/China | 180 × 288 |
| 16 | FGOALS-g3 | CAS/China | 80 × 180 |
| 17 | FIO-ESM2-0 | FIO-QJNM/China | 192 × 288 |
| 18 | CDFL-ESM4 | NOAA-GFDL/USA | 180 × 288 |
| 19 | INM-CM4-8 | INM/Russia | 120 × 180 |
| 20 | IPSL-CM6A-LR | IPSL/France | 143 × 144 |
| 21 | KACE-1-0-G | NIMS-KMA/Republic of Korea | 144 × 192 |
| 22 | KIOST-ESM | KIOST/Republic of Korea | 96 × 192 |
| 23 | MIROC6 | MIROC/Japan | 128 × 256 |
| 24 | MPI-ESM1-2-HR | MPI-M/Germany | 192 × 384 |
| 25 | MPI-ESM1-2-LR | MPI-M/Germany | 96 × 192 |
| 26 | MRI-ESM2-0 | MRI/Japan | 160 × 320 |
| 27 | NESM3 | NUIST/China | 96 × 192 |
| 28 | NorESM2-LM | NCC/Norway | 96 × 144 |
| 29 | NorESM2-MM | NCC/Norway | 192 × 288 |
| 30 | TaiESM1 | AS-RCEC/China | 192 × 288 |
| 2021–2040 | 2041–2060 | 2061–2080 | 2081–2100 | |
|---|---|---|---|---|
| SSP2-4.5 | −0.33 | −0.19 | 0.27 | 0.19 |
| SSP5-8.5 | −0.43 | −0.13 | −0.14 | −0.26 |
Disclaimer/Publisher’s Note: The statements, opinions and data contained in all publications are solely those of the individual author(s) and contributor(s) and not of MDPI and/or the editor(s). MDPI and/or the editor(s) disclaim responsibility for any injury to people or property resulting from any ideas, methods, instructions or products referred to in the content. |
© 2025 by the authors. Licensee MDPI, Basel, Switzerland. This article is an open access article distributed under the terms and conditions of the Creative Commons Attribution (CC BY) license.
Share and Cite
Zhu, Y.; Hua, W. Evaluation and Projection of the Influence of the August Asian–Pacific Oscillation on Precipitation in Northern Xinjiang Based on CMIP6 Simulations. Atmosphere 2026, 17, 9. https://doi.org/10.3390/atmos17010009
Zhu Y, Hua W. Evaluation and Projection of the Influence of the August Asian–Pacific Oscillation on Precipitation in Northern Xinjiang Based on CMIP6 Simulations. Atmosphere. 2026; 17(1):9. https://doi.org/10.3390/atmos17010009
Chicago/Turabian StyleZhu, Yichu, and Wei Hua. 2026. "Evaluation and Projection of the Influence of the August Asian–Pacific Oscillation on Precipitation in Northern Xinjiang Based on CMIP6 Simulations" Atmosphere 17, no. 1: 9. https://doi.org/10.3390/atmos17010009
APA StyleZhu, Y., & Hua, W. (2026). Evaluation and Projection of the Influence of the August Asian–Pacific Oscillation on Precipitation in Northern Xinjiang Based on CMIP6 Simulations. Atmosphere, 17(1), 9. https://doi.org/10.3390/atmos17010009

