Abstract
This study evaluated the wind speed simulation performance of the Weather Research and Forecasting (WRF) model at three resolutions in Hebei Province based on wind speed data from 2022. The results show that the simulation effectiveness of the WRF model for wind speeds at different heights varies significantly under different seasons and topographic conditions. In general, the model simulates the wind speed at the high level most accurately, followed by the mid level, and the simulation of low level wind speed shows the largest bias. Increasing the model resolution significantly improves the simulation of low-level wind speed, and the 5 km resolution performs best at most stations; while for the mid-level and high-level wind speeds, increasing the resolution does not significantly improve the simulation effect, and the high-resolution simulation has a greater bias at some stations. In terms of topographic features, wind speeds are generally better simulated in mountainous areas than in the plains during spring, summer, and autumn, while the opposite is true in winter. These findings provide scientific reference for WRF model optimal resolution selection and wind resource assessment.
1. Introduction
Against the backdrop of a sustained global economy and a steadily growing population, mankind’s increasing demand for energy has made climate change and global warming the primary environmental issues facing society today [1,2,3]. Climate change leads to the frequent occurrence of haze, dust storms and other disaster events, and these phenomena not only seriously jeopardize the ecological environment and human health but also have their development and evolution process significantly affected by wind factors [4,5]. As the core element of atmospheric movement, wind has an important impact on the formation of regional climate characteristics, diffusion and transport of atmospheric pollutants, and energy utilization, etc. Therefore, the accurate simulation and prediction of wind conditions and wind distribution characteristics are of great significance for coping with climate change, protecting the ecological environment and maintaining the sustainable development of human beings.
Early assessment of wind resources mainly collected on-site wind data through techniques such as wind towers and laser detection, but these methods greatly depleted manpower and material resources, and the data obtained had limitations [6,7]. In recent years, with the rapid development of computer technology, numerical simulation has been widely used in weather and climate research and forecasting, which provides a solid technical support for large-scale and high-precision atmospheric simulation. Among them, the Weather Research and Forecasting (WRF) model is one of the most commonly used numerical models for simulating wind conditions and wind resource assessment studies [8,9,10,11,12,13,14,15,16].
Wind simulation using the WRF model is a complex process, with different parameterization schemes influencing the simulation results by altering key physical processes such as radiative transfer, turbulent mixing, and so on [17,18,19]. Gholami et al. [20] investigated the sensitivity of the WRF model, simulating 10 m wind speeds over the Persian Gulf to different boundary conditions and Planetary Boundary Layer (PBL) parameterization schemes, and showed that the configuration including the Yonsei University (YSU) scheme and the ERA-Interim reanalysis data provided the best estimation of wind speeds, while the configuration including the YSU and the NCEP-FNL data provided the smallest estimation error of wind direction. Fernández-González et al. [21] found that no single combination of parameterizations performs best under all weather conditions by performing sensitivity analyses of physical schemes as well as initial and boundary conditions for the Alaiz mountain range in the northern Iberian Peninsula. Cheng et al. [22] investigated the sensitivity of WRF to physical parameterization schemes in wind prediction through two case studies, and showed that the sensitivity to physical schemes is low under strong cold front conditions in winter, while wind is strongly influenced by cloud and precipitation physical schemes under thunderstorm conditions in summer. In addition, horizontal resolution is also one of the important factors affecting the wind simulation results, and scholars at home and abroad have carried out a large number of related studies. For example, Solbakken et al. [23] evaluated the simulation effect of WRF model with different grid resolutions on wind resources in complex terrain, and found that the reduction in the resolution from 27 km to 9 km and then to 3 km significantly reduced the simulation error, while from 3 km to 1 km, although the error was not further reduced, the 1 km resolution can better reproduce the wind characteristics and showed a clear high and low wind speed region. Yuan et al. [24] simulated the wind farm based on the WRF model with three horizontal resolutions of 1000 m, 500 m and 200 m. The results showed that the simulation results of all three resolutions could capture the wind farm characteristics well. Marjanovic et al. [25] found that the use of high-resolution simulations in simple terrain did not result in a significant improvement, while the use of high-resolution simulations in complex terrain resulted in a significant improvement, but only for locally driven events, by simulating two wind farms along the west coast of North America. Although existing studies have explored the effects of different horizontal resolutions on the simulation performance of the WRF model, most of these studies focus on the simulation performance of the WRF model with different horizontal resolutions on the surface wind speeds, and the in-depth analysis of the simulation performance of the mid-level and high-level wind speeds is still insufficient. In addition, most of the studies in Hebei Province focus on temperature and precipitation, and there are relatively few studies on wind speed [26,27].
In this study, Hebei Province in China was selected as the study area, which has distinct climatic characteristics and complex mountainous terrain [28,29]. The study takes into account the significant topographic differences and seasonal variations in Hebei Province, and systematically evaluates the simulation performance of the WRF model with three horizontal resolutions of 45 km, 15 km, and 5 km for the simulation of low-level, mid-level and high-level wind speeds in Hebei Province. This helps to optimize the resolution selection of the regional WRF model, provides a scientific basis for the assessment of wind energy resources, and also provides reliable decision support for disaster prevention and mitigation, agricultural production planning, etc., and promotes the sustainable development of renewable energy strategy and ecological civilization construction.
2. Materials and Methods
In this study, we use WRF model version 4.5.1 (National Center for Atmospheric Research, Boulder, CO, USA) and employ the default parameterization schemes of the WRF model for simulation (Table 1). The WRF simulation area includes Hebei, Beijing, and Tianjin areas. Three horizontal grid spacings of 45 km, 15 km and 5 km are used in the simulation (Figure 1). The latitude and longitude of the center of the simulation area are 39.3° N and 116.6° E. For the 45 km resolution simulation, 16 grid points are set in the east–west direction and 20 grid points in the north–south direction; for the 15 km resolution simulation, 48 grid points are set in the east–west direction and 60 grid points in the north–south direction; and for the 5 km resolution simulation, 144 grid points are set in the east–west direction and 180 grid points in the north–south direction. The simulations are performed using Lambert projection with a model top layer of 50 hPa and the model output set to once per hour.
Table 1.
WRF model parameterization schemes.
Figure 1.
The topography of the model domain (unit: meters) (a) at 45 km resolution, (b) at 15 km resolution, and (c) at 5 km resolution.
The initial and boundary conditions used in the simulations are from the European Center for Medium-Range Weather Forecasts (ECMWF) reanalysis data (ERA5), which is a complete global dataset that integrates global observational data and model data, and records the global atmospheric, land surface, and ocean wave conditions in detail [38,39]. The ERA5 dataset is widely used as the driving data for regional climate simulation studies in China [40]. The ERA5 data used in this study have a spatial resolution of 0.25° and a temporal resolution of 3 h. The topography data for the simulation domains are derived from the WRF model’s default geographical datasets, and the land use type data are derived from the CGLC-MODIS-LCZ dataset.
This study selects 2022 as the study period, conducting simulations in January 2022 (winter), April 2022 (spring), July 2022 (summer), and October 2022 (autumn), with each simulation lasting one month, including the last day of the previous month as the spin-up period. To comprehensively evaluate the WRF model’s wind speed simulation performance at different height levels, three representative fixed heights were selected for analysis after careful examination of observational data availability and continuity, combined with recommendations from professional observation personnel: the 150 m height is located within the atmospheric boundary layer, where wind speed is mainly influenced by surface roughness, topography and local thermal forcing, representing low-level wind resource characteristics; the 1830 m height is close to the typical boundary layer height, situated in the transition zone from the boundary layer to the free atmosphere, where wind speed is influenced by both surface and large-scale circulation, representing mid-level wind resource characteristics; the 3630 m height is located within the free atmosphere, where wind speed is mainly controlled by large-scale atmospheric circulation with relatively small surface influence, representing high-level wind resource characteristics. By comparing the simulation results of wind speeds at these three height levels across different seasons in Hebei Province under three resolutions of 45 km, 15 km, and 5 km, the study evaluates the WRF model’s wind speed simulation performance at different resolutions.
In this study, L-band wind profiler radar data are used for model validation. Wind profiler radar, also known as wind profiler, is a remote sensing instrument that utilizes the scattering effect of electromagnetic waves caused by atmospheric refractive index fluctuations due to atmospheric turbulence, employing Doppler radar technology to detect the vertical distribution of atmospheric wind speed, wind direction, and vertical airflow parameters. According to the frequency bands of the emitted electromagnetic waves, they are classified into different types such as L-band and P-band, with L-band wind profiler radar operating at a frequency of 1–2 GHz. Wind profile radar provides wind-based vertical profile data with high temporal resolution, and also has the advantages of high observation accuracy, short observation interval, high automation and low operation cost, which is an important part of the comprehensive meteorological observation system. The wind speed data from thirteen stations in Hebei Province, including Zhangbei, Luquan, Cheng’an, Chongli, Fengning, Lulong, Weichang, Tangshan, Baoding, Huanghua and Jizhou, as well as Beijing and Xiqing in BeijingTianjin, are selected for the study (Table 2) (Figure 2). The temporal resolution of the data is 1 h, and the vertical resolution is 120 m.
Table 2.
Information on mountain and plain observation stations, including actual station elevations and corresponding model heights at 45 km, 15 km, and 5 km horizontal resolutions.
Figure 2.
Distribution of observation stations and topographic elevation across Hebei Province, Beijing and Tianjin. Red dots indicate station locations.
In order to evaluate the simulation performance of the WRF model, the wind speed data obtained from the model simulation are compared with the data from the actual observation stations in Hebei Province in this study. We use bilinear interpolation to interpolate the WRF model grid data to the exact geographical locations of each observation station, thereby reducing errors caused by mismatches between grid and station locations and obtaining more accurate simulation results.
In this study, the bias and root mean square error (RMSE) are selected to systematically evaluate the simulation performance of the WRF model at different resolutions. Specifically, bias indicates the difference between the model simulation results and the observed data. RMSE measures the square root of average of variances between observation and simulations. Bias and RMSE are defined as follows:
where Mi denotes the model simulated value, Oi denotes the observed value, and N denotes the number of observations.
3. Results
3.1. Simulation Performance of the WRF Model at Three Resolutions for Wind Speeds at Different Heights in Various Stations
In this section, we evaluate the ability of the WRF model to simulate wind speeds at different heights at thirteen stations in Hebei Province using three resolutions of 45 km, 15 km and 5 km. The differences between the model simulation results and the observed data are systematically compared by two statistical indexes, bias, and RMSE. The results show that there are significant differences in the simulation performance of the model in different seasons and at different stations. In the following, we will analyze the simulation effect at different resolutions for each station in four seasons.
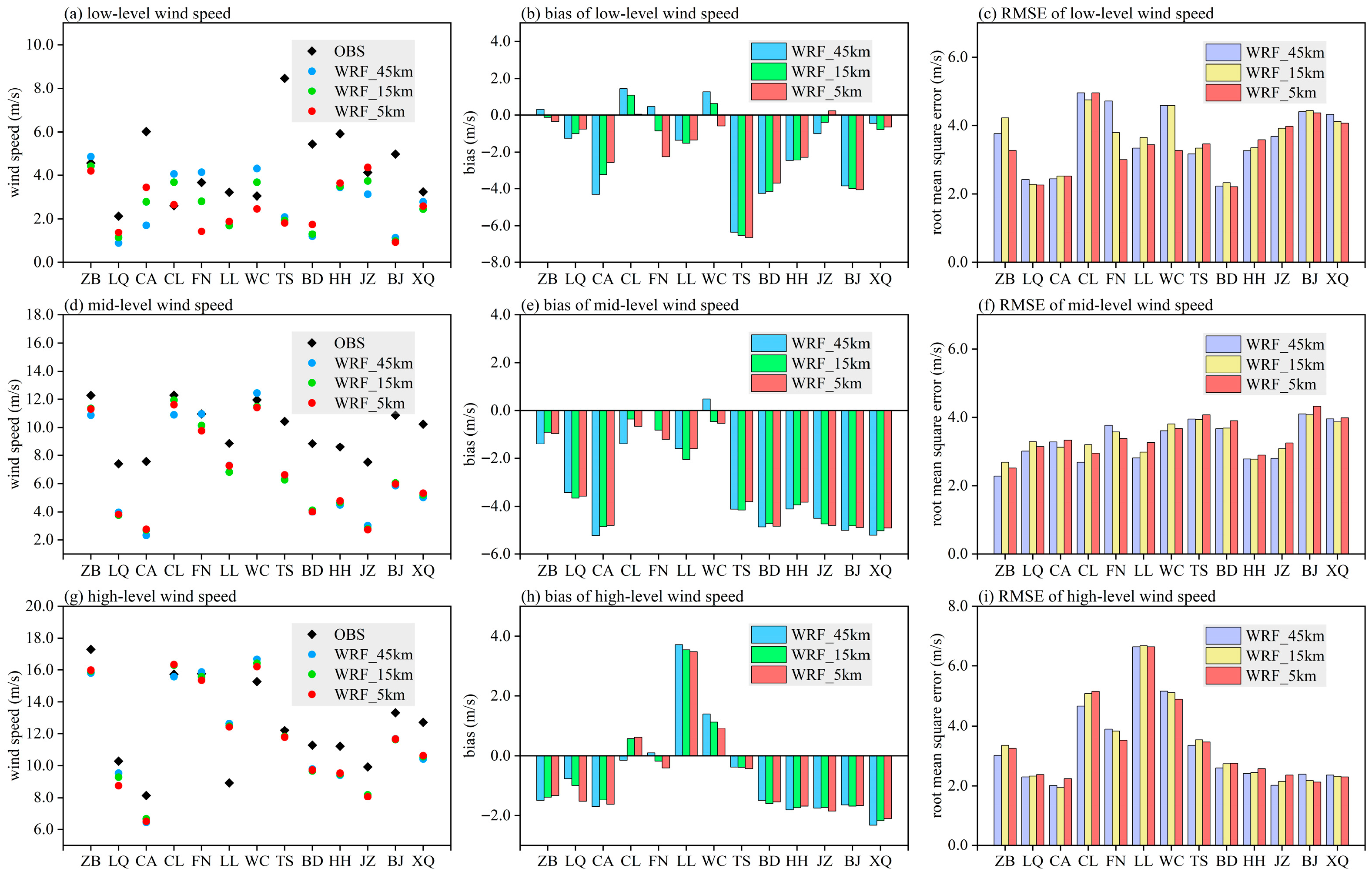
3.1.1. Spring
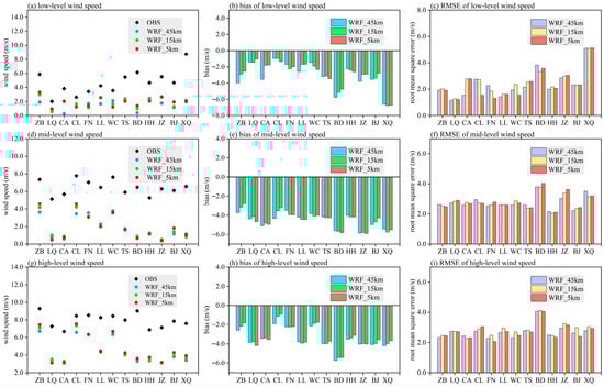
Figure 3 shows the simulation results of the WRF model at three resolutions for wind speeds at different heights in spring. The observed low-level wind speed varies significantly among the thirteen stations, with the highest wind speed of 8.47 m/s at Tangshan station (Figure 3a). The simulation results of the WRF model at three resolutions are generally lower than the observed values, with negative bias at most stations, especially at Tangshan, Baoding and Beijing stations, where the bias reaches about −6.0 m/s. With the increase in resolution, the simulation performance of the model on the low-level wind speed improves, and the 5 km resolution simulation results show the smallest bias at eight stations. However, the bias of the high-resolution simulations at Fengning, Tangshan, Beijing and Zhangbei stations is larger than that of the low-resolution simulations (Figure 3b). The RMSE shows that the root mean square error values of most stations between 2.0 and 5.0 m/s, with the 5 km resolution simulations showing the lowest RMSE values at seven stations, which further indicates that the high-resolution model has a better overall performance for simulating the low-level winds in the spring (Figure 3c).
Figure 3.
Comparison of simulated low-level, mid-level and high-level wind speeds with observed data at three resolutions in spring: (a,d,g) values, (b,e,h) bias, (c,f,i) root mean square error. In the figure, ZB represents Zhangbei station, LQ represents Luquan station, CA represents Cheng’an station, CL represents Chongli station, FN represents Fengning station, LL represents Lulong station, WC represents Weichang station, TS represents Tangshan station, BD represents Baoding station, HH represents Huanghua station, JZ represents Jizhou station, BJ represents Beijing station, and XQ represents Xiqing station.
The mid-level wind speed observations are generally higher than the low-level wind speeds, mostly distributed in the range of 6.0–12.0 m/s (Figure 3d). The WRF simulations at the three different resolutions show good agreement, but all of them underestimate the wind speeds, and all stations show negative bias except for the simulation results at 45 km resolution at the Weichang station (Figure 3e). The differences in simulation bias between different resolutions are small, with the 15 km resolution simulation showing the smallest bias at five stations and the 5 km resolution simulation showing the smallest bias at four stations. In addition, the RMSE of the three resolutions are also relatively close, with the 45 km resolution simulation having the smallest RMSE values at seven stations and the 15 km resolution simulation having the smallest RMSE values at five stations. These results suggest that increasing the horizontal resolution has a relatively limited effect on improving the simulation performance of mid-level wind speeds.
The range of high-level wind speeds in the observed data is 8.0–18.0 m/s, which is significantly higher than that of the low-level and mid-level winds. The agreement between the WRF model simulations and observations is relatively best among the three height levels (Figure 3g). At most stations, the WRF model at all three resolutions underestimate the wind speeds, but the overall underestimation is smaller than that of the low-level and mid-level winds. However, the simulation results at Lulong and Weichang stations show significant positive bias (Figure 3h). The difference in the effect of the high-level wind speed simulation at different resolutions is not obvious, and the largest bias of the simulation at 5 km resolution even occurs at some stations. The RMSE values of the high-level wind speed simulations between 2.0 and 7.0 m/s, and the RMSE values of the three resolutions do not differ much, with the 45 km resolution simulations having the smallest RMSE values at eight stations (Figure 3i).
Taken together, the WRF model underestimates wind speeds to varying degrees in all three height levels, with the high-level wind speeds simulated relatively best in comparison. Increasing the model resolution is effective in improving the simulation of low-level wind speeds, with the 5 km resolution simulations showing smaller biases and root mean square errors at most stations. However, for mid-level and high-level wind speeds, the difference in simulation performance between different resolutions is small, and increasing the resolution does not significantly improve the simulation performance, and even the high-resolution simulations show larger bias at individual sites. This may be due to the fact that the simulation performance of the WRF model for wind speeds at different height levels is affected by several factors, and increasing the horizontal resolution alone is not enough to improve the simulation accuracy in general.
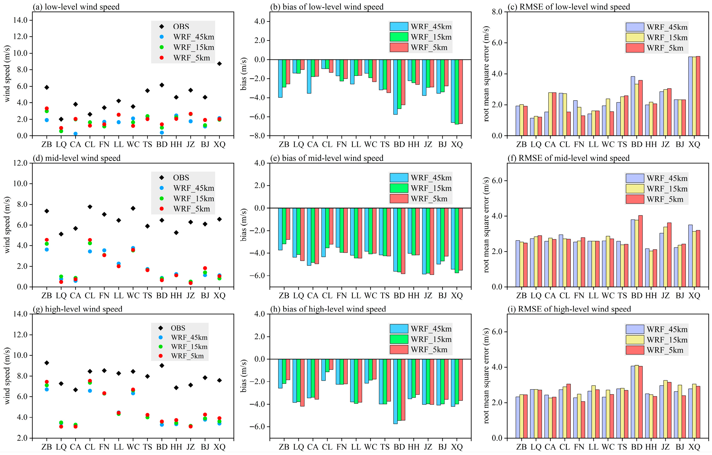
3.1.2. Summer
Figure 4 shows the simulation results of the WRF model at three resolutions for wind speeds at different heights in summer. The observations of low-level wind speeds at all stations are generally higher than the simulations, with most of them in the range of 3.0–6.0 m/s, while the simulated values are mostly in the range of 0.0–3.0 m/s (Figure 4a). The simulations at all three resolutions show significant negative bias, most prominently at Xiqing station, where the bias about −7.0 m/s (Figure 4b). The effect of improving resolution on the simulation is different at each station. At the stations of Zhangbei, Luquan, Cheng’an, Lulong, Baoding, Beijing and Jizhou, increasing the simulation resolution from 45 km to 5 km significantly improves the simulation performance, and the bias reduces significantly, but the simulation bias increases by improving the resolution at the stations of Chongli, Fengning, Weichang, Tangshan, Huanghua and Xiqing (Figure 4b). In addition, the RMSE values of most stations are mainly between 1.5 and 3.5 m/s, and the differences in the root mean square errors among different resolutions are not obvious (Figure 4c). However, it is worth noting that the RMSE of Xiqing station in the three resolutions are much higher than those of other stations, with values of 5.11 m/s, 5.10 m/s and 5.14 m/s, respectively.
Figure 4.
Same as Figure 3 but in summer.
The observed mid-level wind speeds are higher than the simulated values, consistent with the low-level wind speed simulation results (Figure 4d). The WRF model at all three resolutions significantly underestimate the mid-level wind speeds, and all stations show significant negative biases (Figure 4e). While simulation accuracy improves with increasing resolution at Zhangbei, Chongli and Beijing stations, the differences in simulation accuracy between resolutions are generally not significant at other stations (Figure 4e). The root mean square error values for simulated mid-level wind speeds range mainly from 2.0 m/s to 4.0 m/s, with Huanghua station exhibiting the lowest RMSE and Baoding station showing the highest (Figure 4f). Overall, there are no significant differences in RMSE between the three resolutions (Figure 4f).
The observed values of high-level wind speeds are concentrated in the range of 6.0–10.0 m/s and are all higher than the simulated values (Figure 4g). At all stations, the simulations at all three resolutions underestimate the wind speeds, with most of the negative bias ranging from −1.0 m/s to −4.0 m/s (Figure 4h). While there is an enhancement in simulation accuracy with increased resolution at certain stations, the impact on high-level wind speed simulation across different resolutions is not notably distinct (Figure 4h). The root mean square error analysis reveals that RMSE values for high-level wind speed simulations predominantly range between 2.0 m/s and 3.0 m/s, except for Baoding station where the RMSE value is about 4.0 m/s. Although RMSE values for the 45 km and 5 km resolution simulations are marginally lower than those for the 15 km resolution simulation at most stations, the overall RMSE differences among the three resolutions are not significant (Figure 4i).
Overall, the WRF model simulations of summer wind speeds at all three resolutions generally show a significant underestimation trend, with observed wind speeds higher than the simulated values at all height levels. The impact of increasing the model resolution on the simulation accuracy varies across different stations, but there is no substantial disparity in simulation performance among varying resolutions.
3.1.3. Autumn
Figure 5 exhibits the simulation results of the WRF model at three resolutions for wind speeds at different heights in autumn. The observational data indicate discrepancies between low-level wind speeds at various stations. Specifically, wind speeds at Chongli, Fengning and Weichang stations are lower than simulated values, whereas speeds at other stations exceed the simulated values (Figure 5a). Across three resolutions in the WRF simulations, wind speeds are generally underestimated at most stations, but overestimation of wind speeds occurs in the 45 km simulations at Chongli, Fengning and Weichang stations (Figure 5b). Increasing the resolution notably improves simulation results at Luquan, Cheng’an, Huanghua and Jizhou stations. The 5 km resolution exhibits the minimum bias at six stations. The root mean square error values for most stations are in the range of 2.0–4.0 m/s. Particularly, RMSE for the 5 km resolution at Zhangbei, Chongli, Fengning and Weichang stations are significantly lower compared to the other resolutions (Figure 5c).
Figure 5.
Same as Figure 3, but in autumn.
In the mid-level wind simulations, the observed wind speeds are generally higher than the simulated values, especially at the Jizhou and Beijing stations (Figure 5d). The WRF model with three resolutions consistently underestimates wind speed, with all stations exhibiting a negative bias, although relatively smaller than that of low-level winds. Overall, the simulation effect is the best at Zhangbei station and the worst at Jizhou station, but there is no significant improvement in the simulation accuracy of mid-level wind speeds across all stations with increasing resolution. Analysis of root mean square error indicates that the RMSE values for wind speed simulations at the mid-level are typically within the range of 2.0 m/s to 4.0 m/s, with no significant discrepancies observed between different resolutions.
The simulation of high-level wind speeds demonstrates a notably superior agreement between simulated and observed values compared to low-level and mid-level wind speeds, with the values mainly ranging from 8.0 m/s to 16.0 m/s (Figure 5g). The simulated performances of the three resolutions at each station differ significantly, with the wind speeds at Zhangbei, Chongli, Lulong and Weichang stations being generally overestimated, while the Luquan, Cheng’an, Tangshan, Baoding, Jizhou and Beijing stations exhibit underestimated wind speeds (Figure 5h). It is interesting to note that the range of bias for high-level wind speed simulations is about −2.0 m/s–2.0 m/s, which is much smaller than that of the low-level and mid-level wind speeds. This is particularly evident at Tangshan, Huanghua, and Xiqing stations, where the simulation bias is nearly negligible. Increasing the resolution does not significantly improve the simulation results, and even the simulation bias at high resolution is slightly larger at Luquan, Cheng’an, Chongli, Lulong, Baoding, Beijing, and Jizhou stations (Figure 5h). The RMSE values across stations at different resolutions are generally consistent, and most of them are in the range of 2.0 m/s to 5.0 m/s. However, the RMSE of Chongli station are abnormally high at all three resolutions, reaching 6.17 m/s, 6.62 m/s and 6.75 m/s, respectively (Figure 5i).
In summary, the performance of the WRF model for simulating autumn wind speeds at all three resolutions varies significantly with height. Low-level wind simulations are underestimated at most stations, and increasing resolution improves simulations at some stations, with 5 km resolution performing best at several stations. The mid-level wind speed simulations are generally underestimated, and increasing the resolution does not bring significant improvement. The simulation bias of high-level wind speeds is significantly smaller than that of low-level and mid-level wind speeds, and increasing the resolution does not significantly improve their simulation performance.
3.1.4. Winter
Figure 6 shows the simulation results of the WRF model at three resolutions for wind speeds at different heights in winter. The observed low-level wind speeds at most stations are in the range of 2.0–4.0 m/s, but the simulation results of the WRF model at different resolutions show large discrepancies (Figure 6a). At the stations of Zhangbei, Chongli, Fengning and Weichang, the simulation results at the three resolutions generally overestimate the wind speeds and show a significant positive bias, while at the stations of Cheng’an, Tangshan, Baoding, Huanghua, Jizhou, Beijing and Xiqing, they show a significant negative bias (Figure 6b). With the increase in resolution, the simulations at Zhangbei, Chongli, Fengning and Weichang stations show significant improvement, while the simulation bias is larger at Tangshan, Huanghua, Jizhou, Beijing and Xiqing stations with high resolution (Figure 6b). From the RMSE results, most of the stations have the smallest root mean square error in the 5 km resolution simulation, and the RMSE of all stations except Lulong station gradually decrease with the increase in resolution, but Lulong station is the opposite (Figure 6c).
Figure 6.
Same as Figure 3, but in winter.
The observed mid-level wind speeds are generally higher than the low-level wind speeds, mostly in the range of 6.0–12.0 m/s. The results of the three simulations with different resolutions show relatively better consistency in the simulation of the mid-level wind speeds, and the discrepancy between the simulation and the observation is reduced compared with that of the low-level winds (Figure 6d). The bias of the mid-level wind speed is smaller compared to the low-level wind, which is about−2.0 m/s–3.0 m/s. At the Luquan, Cheng’an and Jizhou stations, the WRF model at three resolutions underestimate the wind speeds, which is basically consistent with the simulation results of the low-level wind speeds, while all other stations show overestimation of the wind speeds (Figure 6e). The difference in simulation bias between the different resolutions decreases, with the 45 km and 5 km resolution simulations exhibiting the smallest simulation bias at eight and four stations, respectively. In addition, the majority of stations simulated at different resolutions have RMSE values in the range of 2.0–4.0 m/s, with almost half of the stations exhibiting minimal RMSE in the 5 km resolution simulation, while the other half have minimal RMSE values in the 45 km simulation (Figure 6f).
The high-level wind speeds in winter range from 9.0 m/s to 18.0 m/s, which are significantly higher than the low-level and mid-level wind speeds, and the WRF model tends to overestimate the wind speeds at all three resolutions (Figure 6g). Unlike the other three seasons, the WRF model generally overestimates wind speeds at all three resolutions. Almost all stations show positive biases, but the Chongli station simulation with a resolution of 45 km shows a slight negative bias (Figure 6h). The simulation differences among the three resolutions are not significant, and in comparison, the 5 km resolution exhibits the smallest bias at seven stations (Figure 6h). The root mean square error analysis shows that the RMSE values of the simulation results at all stations do not differ much among the different resolutions, and even slightly higher for the 5 km resolution than for the 45 km resolution at most stations (Figure 6i). It is noteworthy that the RMSE of the simulation results for all three resolutions are significantly higher at Lulong and Tangshan stations than at other stations (Figure 6i).
Comprehensive analysis of the winter wind speed simulation results shows that the WRF model exhibits obvious variability in different height levels and resolutions. In the low-level wind simulation, the three resolutions have different performance at different stations, and the improved resolution significantly improves the simulation performance at Zhangbei, Chongli, Fengning and Weichang stations. The bias of the mid-level wind speed is generally reduced compared with that of the low-level wind speed, and the simulation differences among the three resolutions are not obvious. In addition, the WRF model at the three resolutions generally overestimates the high-level wind speeds, and the simulation effect of wind speeds varies little among different resolutions.
3.2. Simulation Performance of the WRF Model at Three Resolutions for Wind Speeds at Different Heights in Mountains and Plains
In order to deeply investigate the influence of topography on wind speed simulation, this section categorizes the observation stations into mountainous and plains areas and systematically evaluates the performance of the WRF model in simulating wind speeds at different heights at three resolutions. By comparing the simulation results of the mountainous stations with those of the plains stations, the influence of topographic factors on the wind speed simulation and its relationship with the model resolution are revealed. It is found that there are obvious regional differences in the simulation effect of the WRF model in mountainous and plain areas, and the improvement of wind speed simulation in the two types of terrain by the three resolutions is also different, which we analyze in detail by seasons in the following sections.
3.2.1. Spring
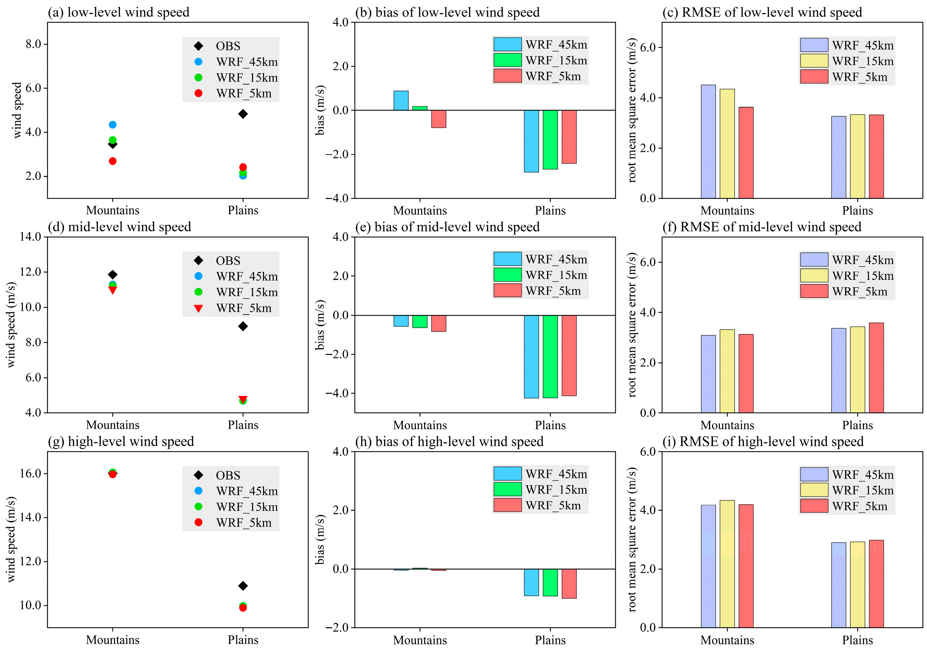
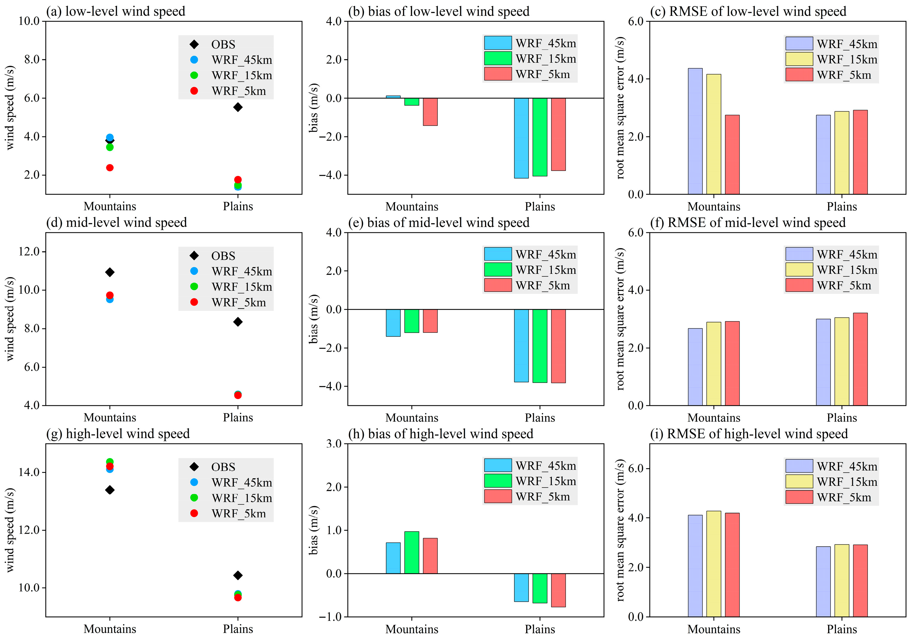
Figure 7 shows the simulation results of the WRF model at three resolutions for wind speed at different heights in mountain and plain in spring. The observed wind speed at the low-level in mountainous areas is 3.47 m/s. The 45 km and 15 km resolution WRF model overestimate the wind speed, while the 5 km resolution simulation underestimates the wind speed. The observed wind speed at the low-level of the plain is 4.84 m/s, and the simulation results of the three resolutions underestimate the wind speed (Figure 7a). In the mountains, the 45 km and 15 km resolution WRF model shows positive bias, which decreases with increasing resolution (0.88 m/s and 0.18 m/s), while the 5 km resolution WRF model shows negative bias (−0.79 m/s) (Figure 7b) (Table 3). In the plains, the simulations at all resolutions underestimate wind speeds, showing significant negative bias, and the simulation bias becomes smaller and smaller as the resolution increases (Figure 7b) (Table 3). From RMSE analysis results, the RMSE values of low-level wind speed in mountainous areas decrease gradually with increasing resolution, while RMSE values in the plains have little difference (Figure 7c).
Figure 7.
Comparison of simulated low-level, mid-level and high-level wind speeds in mountainous and plain areas with observed data at three resolutions in spring: (a,d,g) values, (b,e,h) bias, (c,f,i) root mean square error.
Table 3.
Bias (unit: m/s) and RMSE (unit: m/s) values of spring mean wind speed in the mountains and plains; low values of bias and RMSE are highlighted in bold.
The observed values of mid-level wind speed in the mountains and plains are 11.86 m/s and 8.93 m/s, respectively, and the simulated values at the three resolutions are smaller than the observed values (Figure 7d). The WRF model with three resolutions generally underestimates the mid-level wind speed in the mountains and plains, and the simulation results show negative bias, and the simulation bias of plains is much higher than that of mountainous areas (Figure 7e). As the resolution increases, the simulation bias of the mid-level wind speed increases gradually in mountains but decreases in the plains (Figure 7e). In addition, the root mean square errors of the three resolution simulation results are similar, with the 45 km resolution simulation showing the smallest RMSE values for both mountain and plain regions (3.09 m/s, 3.37 m/s) (Figure 7f) (Table 3).
The observed values of high-level wind speed in the mountains and plains are 16.02 m/s and 10.90 m/s, respectively, and all the simulated values are relatively close to the observed values (Figure 7g). In the mountains, the 15 km resolution simulation slightly overestimates the wind speed, with a simulation bias of 0.03 m/s, while the 45 km and 5 km resolution simulations slightly underestimate the wind speeds, with simulation biases of −0.04 m/s and −0.05 m/s, respectively (Figure 7h) (Table 3). In the plains, all simulations underestimate the wind speed, with the 45 km resolution performing slightly better than the other two resolutions (Figure 7h). Overall, the simulation bias of the high-level wind speed is significantly smaller than that of the low-level and mid-level wind. The root mean square errors of all the simulations are not much different in the mountainous areas and plains, with the RMSE value of 45 km resolution being the smallest in both the mountains and plains (4.18 m/s, 2.90 m/s) (Figure 7i) (Table 3).
In a comprehensive analysis, the low-level wind speed simulation shows a bias that changes from overestimation to underestimation with the increase in resolution in mountains, whereas the bias of wind speed is generally underestimated in the plains and decreases with the increase in resolution. The mid-level wind speed simulation shows negative bias in both mountains and plains, especially in plains. The bias in mountainous areas increases with increasing resolution, while the bias in the plains decreases with increasing resolution. The high-level wind speed simulation is the best, with a significantly smaller bias than that of the low-level and mid-level wind, and slightly underestimates the wind speed in the mountains at high resolution, and underestimates them in the plains in general.
3.2.2. Summer
Figure 8 shows the simulation results of the WRF model at three resolutions for wind speed at different heights in mountain and plain in summer. The low-level wind speeds are 3.86 m/s and 5.04 m/s in summer in the mountains and plains, respectively, and the simulated values are lower than the observed values at all three resolutions (Figure 8a). The simulated results at all resolutions show significant negative bias in both mountains and plains, with biases ranging from −2.01 m/s to −2.07 m/s in the mountains, and even larger biases ranging from −3.07 m/s to −3.62 m/s in the plains (Figure 8b) (Table 4). It is worth noting that the bias of wind speed in mountainous areas gradually increases with increasing resolution, but the RMSE values gradually decrease. While the simulated bias in the plains gradually decreases, the RMSE value gradually increases (Figure 8b,c).
Figure 8.
Same as Figure 7, but in summer.
Table 4.
Bias (unit: m/s) and RMSE (unit: m/s) values of summer mean wind speed in the mountains and plains, low values of bias and RMSE are highlighted in bold.
The mid-level wind speed simulation results show that the wind speed is 7.44 m/s in the mountains and slightly lower than that in the plains (5.99 m/s), and the simulated values are significantly smaller than the observed values at all resolutions (Figure 8d). In summer, all simulations generally underestimate wind speed in both mountains and plains, showing significant negative bias (Figure 8e). In addition, the simulation differences among resolutions are small, and the resolution increase does not significantly improve the simulation performance, in which the simulation bias of 5 km resolution in mountainous areas is slightly smaller than the other two resolutions (Figure 8e). The RMSE analysis indicates that the RMSE values of mountainous areas and plains are generally in the range of 2.5–3.0 m/s, and the error in plains is slightly larger than that in mountains, but the resolution does not have a significant effect on it (Figure 8e) (Table 4).
The simulated performance of high-level wind speed improves compared to low-level and mid-level wind speed, but there is still a significant underestimation. The observed data show that the high-level wind speed in the mountains is 8.69 m/s, while the simulated value at three resolutions is only 6.47–7.01 m/s, and the wind speed in the plains is 7.63 m/s, while the simulated value is only 3.56–3.73 m/s (Figure 8g). All simulations show significant negative bias in both mountains and plains, which is consistent with the simulation results for low-level and mid-level wind speed (Figure 8h). It is worth noting that in the high-level wind speed simulation, the bias in the mountains and plains gradually decreases with increasing resolution, but the difference in RMSE values between the three resolutions in the two regions is not significant (Figure 8i).
Overall, the WRF model generally underestimates wind speed in all height levels at all resolutions, with more serious underestimation in the plains. In the low-level wind speed simulations, the mountain wind speed simulations show increasing bias but decreasing RMSE values with increasing resolution, while the plains show the opposite trend. The mid-level wind simulation performs the worst, showing significant negative bias, and increasing the resolution has a limited effect on improving the simulation performance, with a slight advantage only in the mountains at 5 km resolution. The high-level wind speed simulation is relatively better, with the bias decreasing with increasing resolution, but the difference in RMSE values between resolutions is not significant.
3.2.3. Autumn
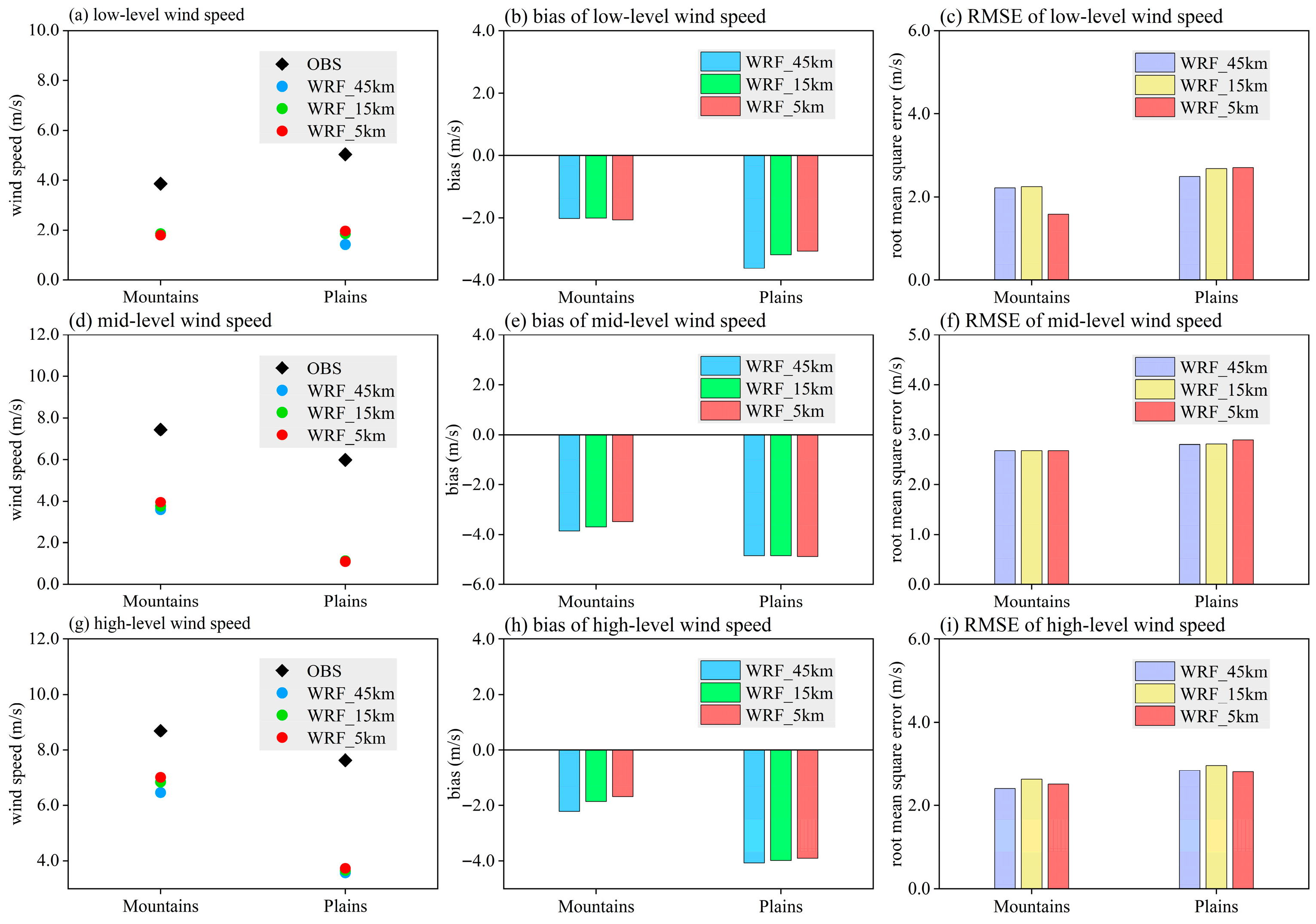
Figure 9 exhibits the simulation results of the WRF model at three resolutions for wind speed at different heights in mountain and plain in autumn. The observed low-level wind speed in the mountains is 3.82 m/s. The simulated value at 45 km resolution is slightly larger than the observed value, and the simulated values at 15 km and 5 km resolution are smaller than the observed value. The observed value of low-level wind speed in the plains is 5.54 m/s, and the simulated values at all resolutions are significantly smaller than the observed values (Figure 9a). In addition, the 45 km resolution simulation exhibits a positive bias (0.14 m/s) in the mountains, while the 15 km and 5 km resolutions exhibit negative biases (−0.37 m/s, −1.43 m/s), with the 5 km resolution simulation having the largest bias (Figure 9b) (Table 5). The bias in the plains is much larger than that in the mountains, and all resolutions underestimate the wind speed, which shows a significant negative bias, but the bias gradually decreases with the increase in resolution (Figure 9b). In terms of root mean square error, the RMSE values in the mountains show a decreasing trend with increasing resolution, while the RMSE values in the plains show an increasing trend (Figure 9c).
Figure 9.
Same as Figure 7, but in autumn.
Table 5.
Bias (unit: m/s) and RMSE (unit: m/s) values of autumn mean wind speed in the mountains and plains, low values of bias and RMSE are highlighted in bold.
The simulation results of mid-level wind speed show different characteristics from those of low-level wind, with all simulated values being smaller than the observed values in both mountains and plains (Figure 9d). All three resolutions underestimate wind speed in both mountains and plains, and the negative bias is much larger in plains than in mountains. Differences between resolutions are not significant, and increasing resolution does not significantly improve the simulation performance of mid-level wind speeds in the mountains and plains (Figure 9e). It is worth noting that although the bias in the plains is larger than that in the mountains, the RMSE values do not differ much, and the ranges of the RMSE values in the mountains and plains are2.68–2.92 m/s and 3.00–3.21 m/s, respectively, and the effect of the resolution on the RMSE is not obvious (Figure 9f) (Table 5).
In the high-level wind speed simulations, all simulated values are slightly higher than the observed values in the mountains and slightly lower than the observed values in the plains, but their agreement with the observed values is higher than that of the low-level and mid-level wind speeds (Figure 9g). All simulations show consistent positive bias in the mountains and consistent negative bias in the plains, and the magnitude of the bias is smaller than that of the low-level and mid-level wind speed simulations (Figure 9h). In both mountains and plains, there is generally no significant difference in the bias and RMSE values between different resolutions, and increasing the resolution does not effectively improve the simulation of high-level wind speed (Figure 9h,i).
Taken together, the WRF model shows significant differences in simulating wind speed in mountains and plains at different resolutions. In the low-level wind speed simulation, the bias of wind speed in mountainous areas changes from positive to negative and increases with increasing resolution, while the bias of wind speed in plains generally underestimates but decreases with increasing resolution. The mid-level wind speed is underestimated in both mountains and plains, and the improvement of the simulation effect by increasing the resolution is limited. High-level wind speed is the most accurately simulated, while mountain wind speed is slightly overestimated and plains wind speed is slightly underestimated. The differences in the simulation results between the three resolutions are not significant.
3.2.4. Winter
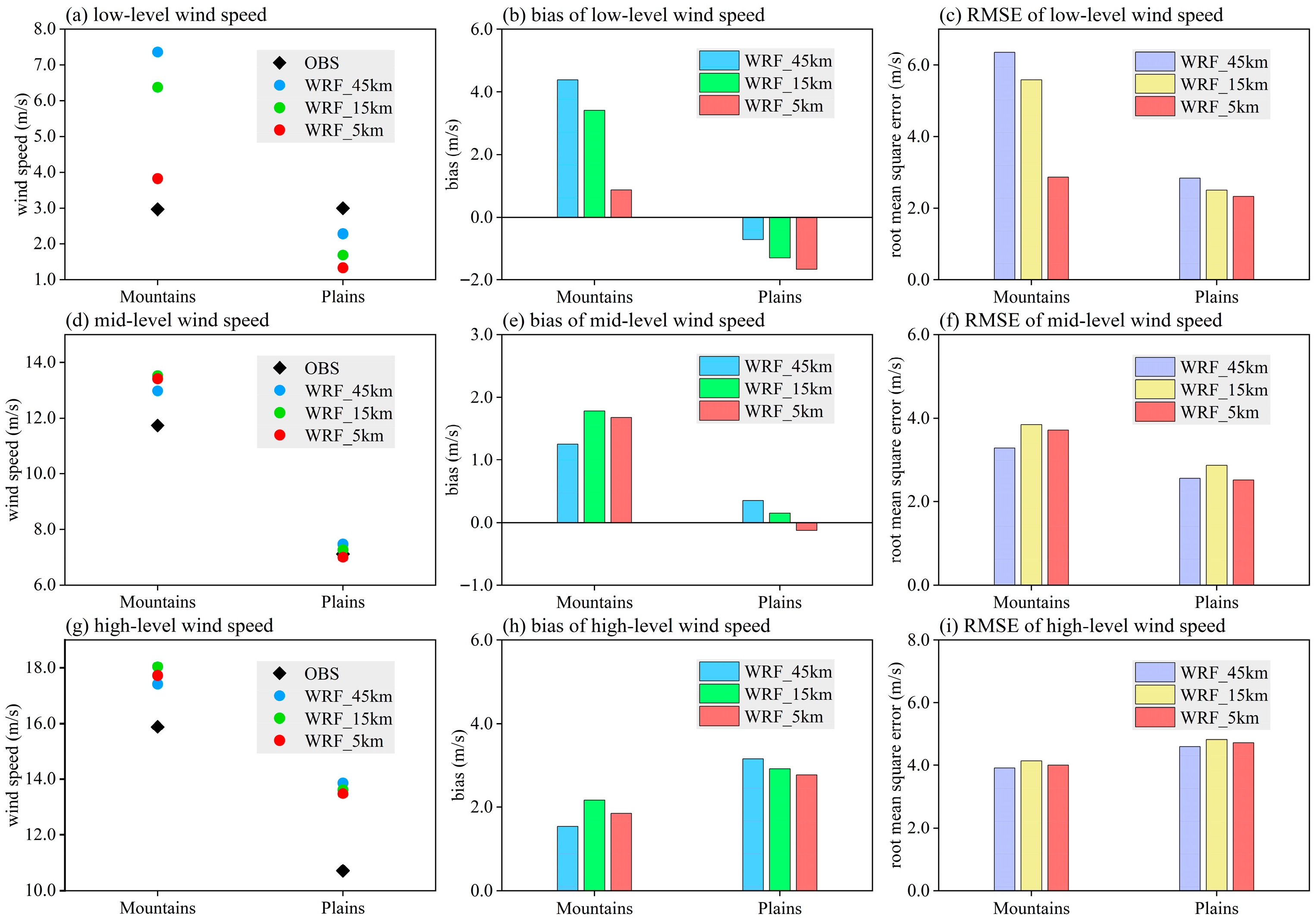
Figure 10 shows the simulation results of the WRF model at three resolutions for wind speed at different heights in mountain and plain in winter. The observed wind speed in the mountains is 2.97 m/s, and all the simulated values are larger than the observed values. The observed wind speed in the plains is 3.00 m/s, and the simulated values are smaller than the observations (Figure 10a). In the mountains, all three resolutions overestimate wind speed with bias ranging from 0.86 m/s to 4.39 m/s, and the bias and RMSE values decrease significantly with increasing resolution (Figure 10b,c) (Table 6). In the plains, the three resolutions underestimate wind speed with bias ranging from −0.72 m/s to −1.67 m/s, but the bias increases significantly with increasing resolution, while the RMSE values decrease gradually (Figure 10b,c) (Table 6).
Figure 10.
Same as Figure 7, but in winter.
Table 6.
Bias (unit: m/s) and RMSE (unit: m/s) values of winter mean wind speed in the mountains and plains, low values of bias and RMSE are highlighted in bold.
The observed value of the mid-level wind speed in the mountains is 11.74 m/s, and all the simulated values are higher than the observed values, while the observed value of the mid-level wind speed in the plains is 7.12 m/s, and the simulated values are very close to the observed values (Figure 10d). The simulated results at all resolutions in the mountains show positive bias, with the smallest bias (1.25 m/s) at 45 km resolution and the largest bias (1.78 m/s) at 15 km resolution (Figure 10e) (Table 6). The 45 km and 15 km resolution simulations in the plains show a slight positive bias (0.35 m/s, 0.15 m/s), while the 5 km resolution shows a slight negative bias (−0.13 m/s) (Figure 10e) (Table 6). Increasing the resolution improves the simulation performance of wind speed in the plains to some extent, but has no significant effect on the simulation of wind speed in the mountains (Figure 10e). In addition, the RMSE values of different resolutions in the mountains and plains do not differ much, among which the 45 km resolution has the smallest RMSE values in the mountains (3.29 m/s) and the 5 km resolution has the smallest RMSE value in the plains (2.52 m/s), while the 15 km resolution has the largest RMSE values in the mountains and plains (3.85 m/s and 2.87 m/s) (Figure 10f) (Table 6).
In the high-level wind speed simulations, the observed values are 15.88 m/s and 10.71 m/s in the mountains and plains, and all the simulated values are higher than the observed values (Figure 10g). In the mountains, the simulations at all resolutions overestimate the wind speed, and there is no significant difference in the bias and RMSE values between the different resolutions, with the 45 km resolution showing the relatively smallest bias and RMSE values (Figure 10h) (Table 6). In the plains, all simulations similarly overestimate wind speed, with the 5 km resolution having the relatively smallest bias (2.77 m/s) (Figure 10h) (Table 6).
In conclusion, the WRF model shows obvious geographical differences in winter wind speed simulations. The low-level wind speed in mountains is generally overestimated, but the bias gradually decreases with increasing resolution. On the contrary, the low-level wind speed in the plains is underestimated, and the increase in resolution leads to a further increase in the bias. For mid-level wind speed, the mountainous areas always show positive bias, while the plains change from a slight positive bias to negative bias with increasing resolution. In the high-level wind simulations, the model overestimates wind speeds in both mountains and plains, but the differences in the simulation results between resolutions are not significant, suggesting that increasing resolution has limited improvement in the high-level wind simulations.
4. Discussion and Conclusions
In this study, Hebei Province is selected as the study area, and the WRF model is used to conduct sensitivity analysis of wind speed at low-level, mid-level and high-level using three horizontal resolutions. By systematically comparing the simulation results with the observed data, the influence of the model resolution on the simulation effect of wind speed at different heights is deeply explored.
The results show that the simulation ability of the WRF model for wind speed in Hebei Province exhibits significant differences in different seasons and different height levels. In general, the model simulates wind speed best at high-level, followed by mid-level, and the bias of wind speed at low-level is the largest. Among the four seasons, the bias of high-level wind speed is relatively small in spring and autumn, while the simulation effect is relatively poor in summer, and the wind speeds at all height levels are significantly underestimated, which may be related to the complexity of the East Asian monsoon circulation in summer [41,42].
Sensitivity analyses on horizontal resolution show that increasing resolution improves the simulation of wind speeds differently at different height levels. For low-level wind speed, increasing the resolution is usually effective in improving the simulation, with 5 km resolution being the best performance at most stations. However, for wind speeds in the mid-level and high-level, increasing the resolution does not improve the simulation performance significantly, and the bias of the high-resolution simulation is even larger at some stations. This indicates that the model uncertainty in wind speed simulation cannot be fully resolved by increasing the horizontal resolution alone.
In terms of topographic features, the WRF model shows different characteristics in wind speed simulation in mountainous and plain areas. In the spring, summer and autumn seasons, the model generally simulates wind speeds at all height levels better in the mountains than in the plains, while the opposite is true in winter. In the low-level wind speed simulation, the wind speed in the mountains changes from overestimation to underestimation with increasing resolution in spring and autumn, while the wind speed in the plains is generally underestimated and the bias decreases with increasing resolution. Especially in winter, the model severely overestimates the low-level wind speed in the mountains, but the high-resolution simulation significantly reduces this bias. For mid-level wind speed simulations, the model underestimates wind speeds to varying degrees in both mountainous areas and plains, except in winter, but increasing resolution does not lead to significant improvements. In addition, the model generally overestimates high-level wind speed in the mountains in autumn and winter, and underestimates high-level wind speed in the plains in spring, summer, and autumn, again with little effect of resolution change.
It is worth noting that the WRF model shows significant seasonal differences in simulating wind speed in Hebei Province. Except for winter, the model mostly underestimates wind speeds in spring, summer, and autumn, especially in summer, when the simulated wind speeds for all height levels show significant negative biases. In contrast, winter tends to overestimate wind speeds in the mountains, while the simulations of wind speed in the three height levels in the plains have different effects. The seasonal differences in bias characteristics are primarily attributed to the varying atmospheric stability and thermal forcing conditions throughout the year. In summer, the enhanced thermal convection and complex boundary layer processes associated with higher temperatures may lead to increased atmospheric turbulence that is not fully captured by the model’s parameterization schemes, resulting in systematic underestimation of wind speeds [43]. Conversely, winter conditions with more stable atmospheric stratification and reduced thermal mixing may cause the model to overestimate wind speeds [44]. Additionally, the seasonal variation in the East Asian monsoon circulation patterns significantly influences the regional wind patterns [41], with the model showing different sensitivities to these large-scale atmospheric dynamics across seasons. Furthermore, the simulation performance of the model varies significantly among different stations, reflecting the important influence of local meteorological conditions and topographic features on the simulation performance [45,46].
The results of this study are generally consistent with the findings of previous studies. For example, Marjanovic et al. [25] found that the use of high-resolution simulations in simple terrain does not lead to significant improvements, while in complex terrain there is only a significant effect on locally driven events. Solbakken et al. [23] also showed that an increase in the resolution from 27 km to 3 km significantly reduces the simulation error, while a further increase from 3 km to 1 km has limited effect. This suggests that the simulation performance of the WRF model for wind speeds at different heights is affected by a variety of factors, and that when choosing the model resolution, the balanced relationship between a variety of factors, such as the research objectives, computational resources, and simulation accuracy, needs to be considered comprehensively, and it is not simply a matter of pursuing a higher resolution. In addition, it is worth noting that only a single parameterization scheme is used in this study for the experiment. However, many previous studies have shown that physical parameterization settings, such as boundary layer scheme and microphysical scheme, have a significant effect on the wind speed simulation results [47,48,49,50,51,52], so future studies can explore the combined effects of multiple parameterization schemes and different resolutions to optimize the simulation performance of wind speed at different height levels in Hebei Province. Another limitation of this study is that only the year 2022 was selected for the simulation, which lacks the analysis of the long time series. In the future, the study period can be expanded to carry out long-term simulations in order to obtain more statistically significant conclusions. This will provide a more scientific basis for regional climate modeling and wind resource assessment, which is an important reference value for research and application in the fields of climate change response, wind resource development and environmental protection.
Author Contributions
Conceptualization, N.Z. and X.S.; methodology, X.S.; software, X.M.; validation, Y.Y., Y.J. and Z.Z.; formal analysis, N.Z. and X.S.; investigation, W.N.; writing—original draft preparation, N.Z., X.S., X.M., Y.Y. and Y.J.; writing—review and editing, N.Z., X.S. and Z.Z.; visualization, X.S.; funding acquisition, N.Z., X.M. and W.N. All authors have read and agreed to the published version of the manuscript.
Funding
This work was supported by the Natural Science Foundation of Hebei Province (D2024304014).
Institutional Review Board Statement
Not applicable.
Informed Consent Statement
Not applicable.
Data Availability Statement
The datasets generated during this study are available from the authors upon reasonable request.
Acknowledgments
We particularly thank the European Centre for Medium-Range Weather Forecasts for providing the ERA5 reanalysis data.
Conflicts of Interest
The authors declare no conflicts of interest.
References
- Osobajo, O.A.; Otitoju, A.; Otitoju, M.A.; Oke, A. The Impact of Energy Consumption and Economic Growth on Carbon Dioxide Emissions. Sustainability 2020, 12, 7965. [Google Scholar] [CrossRef]
- Balint, T.; Lamperti, F.; Mandel, A.; Napoletano, M.; Roventini, A.; Sapio, A. Complexity and the Economics of Climate Change: A Survey and a Look Forward. Ecol. Econ. 2017, 138, 252–265. [Google Scholar] [CrossRef]
- Yu, E.T. High-resolution seasonal snowfall simulation over Northeast China. Chin. Sci. Bull. 2013, 58, 1412–1419. [Google Scholar] [CrossRef]
- Wang, X.P.; Mauzerall, D.L. Evaluating impacts of air pollution in China on public health: Implications for future air pollution and energy policies. Atmos. Environ. 2006, 40, 1706–1721. [Google Scholar] [CrossRef]
- Cai, W.J.; Li, K.; Liao, H.; Wang, H.J.; Wu, L.X. Weather conditions conducive to Beijing severe haze more frequent under climate change. Nat. Clim. Change 2017, 7, 257–262. [Google Scholar] [CrossRef]
- Khan, K.S.; Tariq, M. Wind resource assessment using SODAR and meteorological mast—A case study of Pakistan. Renew. Sustain. Energy Rev. 2018, 81, 2443–2449. [Google Scholar] [CrossRef]
- Carvalho, D.; Rocha, A.; Gómez-Gesteira, M.; Santos, C.S. WRF wind simulation and wind energy production estimates forced by different reanalyses: Comparison with observed data for Portugal. Appl. Energy 2014, 117, 116–126. [Google Scholar] [CrossRef]
- Zhou, X.; Yang, K.; Beljaars, A.; Li, H.D.; Lin, C.G.; Huang, B.; Wang, Y. Dynamical impact of parameterized turbulent orographic form drag on the simulation of winter precipitation over the western Tibetan Plateau. Clim. Dyn. 2019, 53, 707–720. [Google Scholar] [CrossRef]
- Wang, Q.; Luo, K.; Yuan, R.Y.; Zhang, S.X.; Fan, J.R. Wake and performance interference between adjacent wind farms: Case study of Xinjiang in China by means of mesoscale simulations. Energy 2019, 166, 1168–1180. [Google Scholar] [CrossRef]
- Olsen, B.T.; Hahmann, A.N.; Sempreviva, A.M.; Badger, J.; Jørgensen, H.E. An intercomparison of mesoscale models at simple sites for wind energy applications. Wind Energy Sci. 2017, 2, 211–228. [Google Scholar] [CrossRef]
- Nor, K.M.; Shaaban, M.; Rahman, H.A. Feasibility assessment of wind energy resources in Malaysia based on NWP models. Renew. Energy 2014, 62, 147–154. [Google Scholar] [CrossRef]
- Li, H.D.; Claremar, B.; Wu, L.C.; Hallgren, C.; Körnich, H.; Ivanell, S.; Sahlée, E. A sensitivity study of the WRF model in offshore wind modeling over the Baltic Sea. Geosci. Front. 2021, 12, 101229. [Google Scholar] [CrossRef]
- Kong, X.H.; Wang, A.H.; Bi, X.Q.; Sun, B.Y.; Wei, J.F. The Hourly Precipitation Frequencies in the Tropical-Belt Version of WRF: Sensitivity to Cumulus Parameterization and Radiation Schemes. J. Clim. 2022, 35, 285–304. [Google Scholar] [CrossRef]
- Hernández Galvez, G.; Saldaña Flores, R.; Miranda Miranda, U.; Sarracino Martínez, O.; Castillo Téllez, M.; Almenares López, D.; Gómez, A.K.T. Wind resource assessment and sensitivity analysis of the levelised cost of energy. A case study in Tabasco, Mexico. Renew. Energy Focus 2019, 29, 94–106. [Google Scholar] [CrossRef]
- Giannaros, T.M.; Melas, D.; Ziomas, I. Performance evaluation of the Weather Research and Forecasting (WRF) model for assessing wind resource in Greece. Renew. Energy 2017, 102, 190–198. [Google Scholar] [CrossRef]
- Charabi, Y.; Al Hinai, A.; Al-Yahyai, S.; Al Awadhi, T.; Choudri, B.S. Offshore wind potential and wind atlas over the Oman Maritime Zone. Energy Ecol. Environ. 2019, 4, 1–14. [Google Scholar] [CrossRef]
- Yu, E.; Bai, R.; Chen, X.; Shao, L. Impact of physical parameterizations on wind simulation with WRF V3.9.1.1 under stable conditions at planetary boundary layer gray-zone resolution: A case study over the coastal regions of North China. Geosci. Model Dev. 2022, 15, 8111–8134. [Google Scholar] [CrossRef]
- Yang, B.; Qian, Y.; Berg, L.K.; Ma, P.-L.; Wharton, S.; Bulaevskaya, V.; Yan, H.; Hou, Z.; Shaw, W.J. Sensitivity of Turbine-Height Wind Speeds to Parameters in Planetary Boundary-Layer and Surface-Layer Schemes in the Weather Research and Forecasting Model. Bound.-Lay. Meteorol. 2017, 162, 117–142. [Google Scholar] [CrossRef]
- Taraphdar, S.; Pauluis, O.M.; Xue, L.L.; Liu, C.H.; Rasmussen, R.; Ajayamohan, R.S.; Tessendorf, S.; Jing, X.Q.; Chen, S.S.; Grabowski, W.W. WRF Gray-Zone Simulations of Precipitation Over the Middle-East and the UAE: Impacts of Physical Parameterizations and Resolution. J. Geophys. Res.-Atmos. 2021, 126, e2021JD034648. [Google Scholar] [CrossRef]
- Gholami, S.; Ghader, S.; Khaleghi-Zavareh, H.; Ghafarian, P. Sensitivity of WRF-simulated 10 m wind over the Persian Gulf to different boundary conditions and PBL parameterization schemes. Atmos. Res. 2021, 247, 105147. [Google Scholar] [CrossRef]
- Fernández-González, S.; Martín, M.L.; García-Ortega, E.; Merino, A.; Lorenzana, J.; Sánchez, J.L.; Valero, F.; Rodrigo, J.S. Sensitivity Analysis of the WRF Model: Wind-Resource Assessment for Complex Terrain. J. Appl. Meteorol. Climatol. 2018, 57, 733–753. [Google Scholar] [CrossRef]
- Cheng, W.Y.Y.; Liu, Y.B.; Liu, Y.W.; Zhang, Y.X.; Mahoney, W.R.; Warner, T.T. The impact of model physics on numerical wind forecasts. Renew. Energy 2013, 55, 347–356. [Google Scholar] [CrossRef]
- Solbakken, K.; Birkelund, Y.; Samuelsen, E.M. Evaluation of surface wind using WRF in complex terrain: Atmospheric input data and grid spacing. Environ. Model. Softw. 2021, 145, 105182. [Google Scholar] [CrossRef]
- Yuan, R.Y.; Ji, W.J.; Luo, K.; Wang, J.W.; Zhang, S.X.; Wang, Q.; Fan, J.R.; Ni, M.J.; Cen, K.F. Coupled wind farm parameterization with a mesoscale model for simulations of an onshore wind farm. Appl. Energy 2017, 206, 113–125. [Google Scholar] [CrossRef]
- Marjanovic, N.; Wharton, S.; Chow, F.K. Investigation of model parameters for high-resolution wind energy forecasting: Case studies over simple and complex terrain. J. Wind. Eng. Ind. Aerodyn. 2014, 134, 10–24. [Google Scholar] [CrossRef]
- Li, Y.; Tian, Z.; Chen, X.; Su, X.; Yu, E. Investigation on the Sensitivity of Precipitation Simulation to Model Parameterization and Analysis Nudging over Hebei Province, China. Atmosphere 2024, 15, 512. [Google Scholar] [CrossRef]
- Ma, H.; Ding, Z.; Wang, Z.; Huang, H.; Guo, Z. Numerical simulation of formation of a strong convective rainfall of south central Hebei province. Sci. Meteorol. Sin. 2011, 31, 332–338. [Google Scholar]
- Wang, E.L.; Yu, Q.; Wu, D.R.; Xia, J. Climate, agricultural production and hydrological balance in the North China Plain. Int. J. Climatol. 2008, 28, 1959–1970. [Google Scholar] [CrossRef]
- Jeong, S.J.; Ho, C.H.; Piao, S.L.; Kim, J.; Ciais, P.; Lee, Y.B.; Jhun, J.G.; Park, S.K. Effects of double cropping on summer climate of the North China Plain and neighbouring regions. Nat. Clim. Change 2014, 4, 615–619. [Google Scholar] [CrossRef]
- Zhang, C.; Wang, Y.; Hamilton, K. Improved Representation of Boundary Layer Clouds over the Southeast Pacific in ARW-WRF Using a Modified Tiedtke Cumulus Parameterization Scheme. Mon. Weather Rev. 2011, 139, 3489–3513. [Google Scholar] [CrossRef]
- Tiedtke, M. A Comprehensive Mass Flux Scheme for Cumulus Parameterization in Large-Scale Models. Mon. Weather Rev. 1989, 117, 1779–1800. [Google Scholar] [CrossRef]
- Thompson, G.; Field, P.R.; Rasmussen, R.M.; Hall, W.D. Explicit Forecasts of Winter Precipitation Using an Improved Bulk Microphysics Scheme. Part II: Implementation of a New Snow Parameterization. Mon. Weather Rev. 2008, 136, 5095–5115. [Google Scholar] [CrossRef]
- Iacono, M.J.; Delamere, J.S.; Mlawer, E.J.; Shephard, M.W.; Clough, S.A.; Collins, W.D. Radiative forcing by long-lived greenhouse gases: Calculations with the AER radiative transfer models. J. Geophys. Res.-Atmos. 2008, 113, D13103. [Google Scholar] [CrossRef]
- Mesinger, F. Forecasting Upper Tropospheric Turbulence Within the Framework of the Mellor-Yamada 2.5 Closure; WMO: Geneva, Switzerland, 1993. [Google Scholar]
- Monin, A.S.; Obukhov, A.M. Basic laws of turbulent mixing in the surface layer of the atmosphere. Tr. Akad. Nauk SSSR Geophiz. Inst. 1954, 24, 163–187. [Google Scholar]
- Janjić, Z.I. The Step-Mountain Eta Coordinate Model: Further Developments of the Convection, Viscous Sublayer, and Turbulence Closure Schemes. Mon. Weather Rev. 1994, 122, 927–945. [Google Scholar] [CrossRef]
- Janić, Z.I. Nonsingular Implementation of the Mellor-Yamada Level 2.5 Scheme in the NCEP Meso Model; NCEP Technical Note 437; NOAA: Camp Springs, MD, USA, 2002; 61p. [Google Scholar]
- Soci, C.; Hersbach, H.; Simmons, A.; Poli, P.; Bell, B.; Berrisford, P.; Horányi, A.; Muñoz-Sabater, J.; Nicolas, J.; Radu, R.; et al. The ERA5 global reanalysis from 1940 to 2022. Q. J. R. Meteorol. Soc. 2024, 150, 4014–4048. [Google Scholar] [CrossRef]
- Hersbach, H.; Bell, B.; Berrisford, P.; Hirahara, S.; Horanyi, A.; Munoz-Sabater, J.; Nicolas, J.; Peubey, C.; Radu, R.; Schepers, D.; et al. The ERA5 global reanalysis. Q. J. R. Meteorol. Soc. 2020, 146, 1999–2049. [Google Scholar] [CrossRef]
- Ou, T.; Chen, D.; Chen, X.; Lin, C.; Yang, K.; Lai, H.-W.; Zhang, F. Simulation of summer precipitation diurnal cycles over the Tibetan Plateau at the gray-zone grid spacing for cumulus parameterization. Clim. Dyn. 2020, 54, 3525–3539. [Google Scholar] [CrossRef]
- Ding, Y.H.; Chan, J.C.L. The East Asian summer monsoon: An overview. Meteorol. Atmos. Phys. 2005, 89, 117–142. [Google Scholar] [CrossRef]
- Ding, Y.H. The variability of the Asian summer monsoon. J. Meteorol. Soc. Jpn. 2007, 85B, 21–54. [Google Scholar] [CrossRef]
- Carvalho, D.; Rocha, A.; Gómez-Gesteira, M.; Santos, C. A sensitivity study of the WRF model in wind simulation for an area of high wind energy. Environ. Model. Softw. 2012, 33, 23–34. [Google Scholar] [CrossRef]
- Holtslag, A.A.M.; Svensson, G.; Baas, P.; Basu, S.; Beare, B.; Beljaars, A.C.M.; Bosveld, F.C.; Cuxart, J.; Lindvall, J.; Steeneveld, G.J.; et al. Stable Atmospheric Boundary Layers and Diurnal Cycles: Challenges for Weather and Climate Models. Bull. Am. Meteorol. Soc. 2013, 94, 1691–1706. [Google Scholar] [CrossRef]
- Santos-Alamillos, F.J.; Pozo-Vázquez, D.; Ruiz-Arias, J.A.; Lara-Fanego, V.; Tovar-Pescador, J. Analysis of WRF Model Wind Estimate Sensitivity to Physics Parameterization Choice and Terrain Representation in Andalusia (Southern Spain). J. Appl. Meteorol. Climatol. 2013, 52, 1592–1609. [Google Scholar] [CrossRef]
- Jiménez, P.A.; González-Rouco, J.F.; Montávez, J.P.; García-Bustamante, E.; Navarro, J. Climatology of wind patterns in the northeast of the Iberian Peninsula. Int. J. Climatol. 2009, 29, 501–525. [Google Scholar] [CrossRef]
- Rajeevan, M.; Kesarkar, A.; Thampi, S.B.; Rao, T.N.; Radhakrishna, B.; Rajasekhar, M. Sensitivity of WRF cloud microphysics to simulations of a severe thunderstorm event over Southeast India. Ann. Geophys. 2010, 28, 603–619. [Google Scholar] [CrossRef]
- Pan, L.L.; Liu, Y.B.; Roux, G.; Cheng, W.; Liu, Y.W.; Hu, J.; Jin, S.L.; Feng, S.L.; Du, J.; Peng, L.X. Seasonal variation of the surface wind forecast performance of the high-resolution WRF-RTFDDA system over China. Atmos. Res. 2021, 259, 105673. [Google Scholar] [CrossRef]
- Li, J.N.; Ding, C.H.; Li, F.Z.; Chen, Y.L. Effects of single- and double-moment microphysics schemes on the intensity of super typhoon Sarika(2016). Atmos. Res. 2020, 238, 104894. [Google Scholar] [CrossRef]
- Dzebre, D.E.K.; Adaramola, M.S. A preliminary sensitivity study of Planetary Boundary Layer parameterisation schemes in the weather research and forecasting model to surface winds in coastal Ghana. Renew. Energy 2020, 146, 66–86. [Google Scholar] [CrossRef]
- Carvalho, D.; Rocha, A.; Gómez-Gesteira, M.; Silva Santos, C. Sensitivity of the WRF model wind simulation and wind energy production estimates to planetary boundary layer parameterizations for onshore and offshore areas in the Iberian Peninsula. Appl. Energy 2014, 135, 234–246. [Google Scholar] [CrossRef]
- Carvalho, D.; Rocha, A.; Gómez-Gesteira, M.; Santos, C.S. Offshore wind energy resource simulation forced by different reanalyses: Comparison with observed data in the Iberian Peninsula. Appl. Energy 2014, 134, 57–64. [Google Scholar] [CrossRef]
Disclaimer/Publisher’s Note: The statements, opinions and data contained in all publications are solely those of the individual author(s) and contributor(s) and not of MDPI and/or the editor(s). MDPI and/or the editor(s) disclaim responsibility for any injury to people or property resulting from any ideas, methods, instructions or products referred to in the content. |
© 2025 by the authors. Licensee MDPI, Basel, Switzerland. This article is an open access article distributed under the terms and conditions of the Creative Commons Attribution (CC BY) license (https://creativecommons.org/licenses/by/4.0/).









