Climate Projections and Time Series Analysis over Roma Fiumicino Airport Using COSMO-CLM: Insights from Advanced Statistical Methods
Abstract
1. Introduction
2. The Methodology Employed
2.1. The RCM and Simulation Set-Up
2.2. The Case Study Area and Observational Datasets
2.3. Statistical Methods for the Analysis of the Results
3. Model Evaluation
4. Analysis of Climate Projections
4.1. Analysis of Daily Time Series and FFT
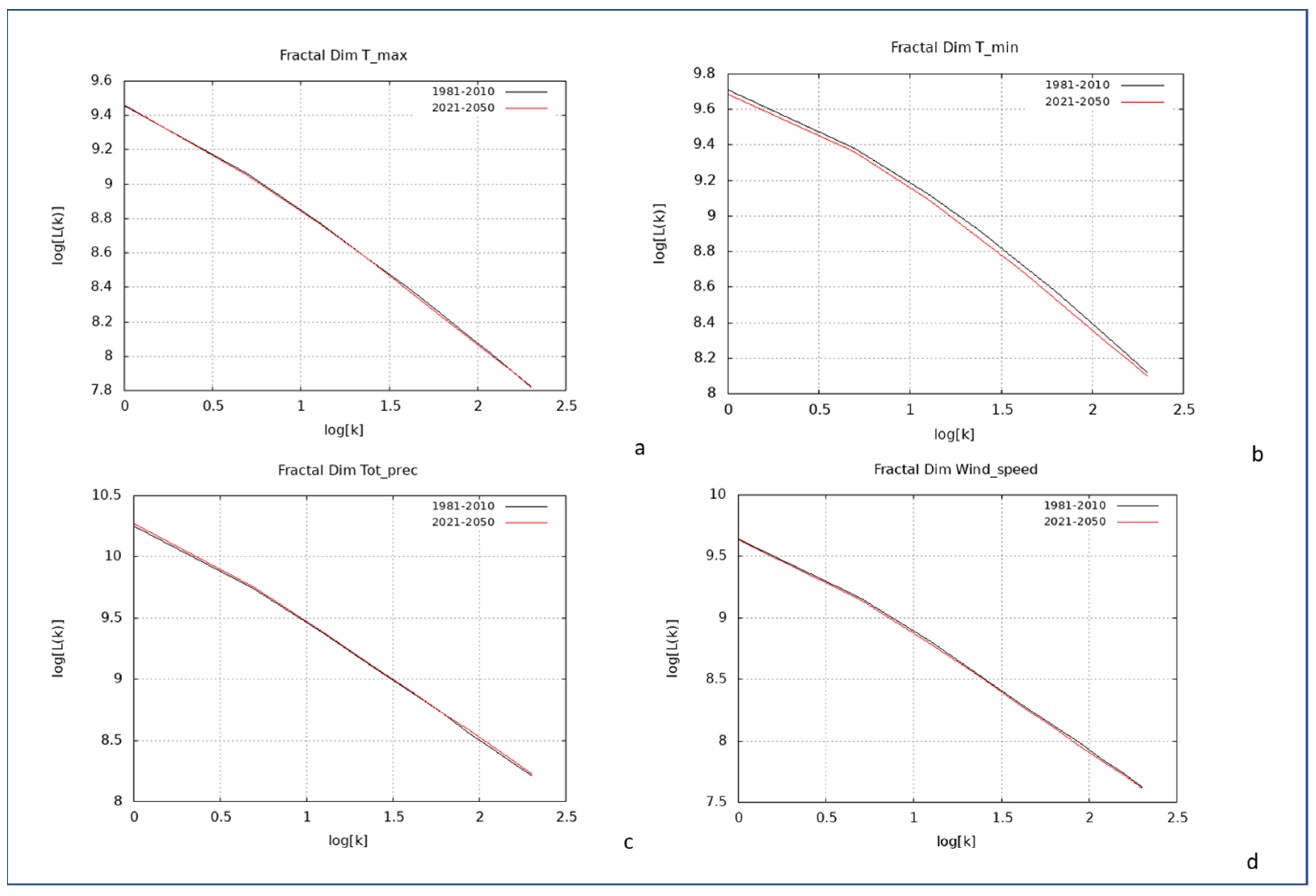
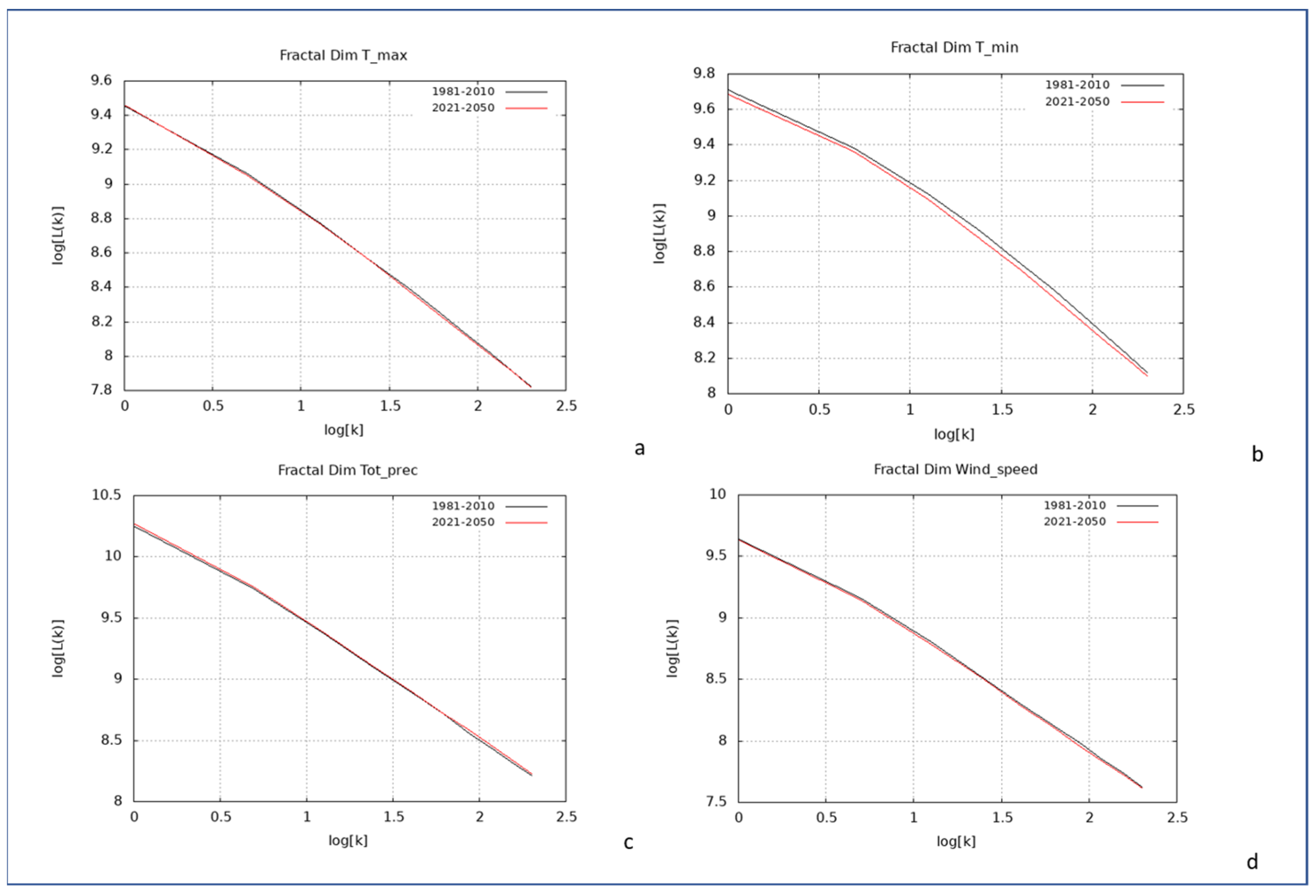
4.2. Evaluation of Fractal Dimensions
5. Conclusions and Discussion
Funding
Institutional Review Board Statement
Informed Consent Statement
Data Availability Statement
Acknowledgments
Conflicts of Interest
References
- Gratton, G.; Padhra, A.; Rapsomanikis, S.; Williams, P. The impacts of climate change on Greek airports. Clim. Change 2020, 160, 219–231. [Google Scholar] [CrossRef]
- Lelieveld, J.; Hadjinicolaou, P.; Kostopoulou, E.; Chenoweth, J.; El Maayar, M.; Giannakopoulos, C.; Hannides, C.; Lange, M.A.; Tanarhte, M.; Tyrlis, E.; et al. Climate change and impacts in the Eastern Mediterranean and the Middle East. Clim. Change 2012, 114, 667–687. [Google Scholar] [CrossRef] [PubMed]
- Lopez, A. Vulnerability of Airports on Climate Change: An Assessment Methodology. Transp. Res. Procedia 2016, 14, 24–31. [Google Scholar] [CrossRef]
- Giorgi, F.; Jones, C.; Asrar, G.R. Addressing climate information needs at the regional level: The CORDEX framework. WMO Bull. 2009, 58, 175–183. [Google Scholar]
- Benavides-Bravo, F.G.; Martinez-Peon, D.; Benavides-Ríos, Á.G.; Walle-García, O.; Soto-Villalobos, R.; Aguirre-López, M.A. A Climate-Mathematical Clustering of Rainfall Stations in the Río Bravo-San Juan Basin (Mexico) by Using the Higuchi Fractal Dimension and the Hurst Exponent. Mathematics 2021, 9, 2656. [Google Scholar] [CrossRef]
- Shu, Z.; Chan, P.W. Application of fractal analysis on wind speed time series. Adv. Wind. Eng. 2025, 2, 100028. [Google Scholar] [CrossRef]
- Higuchi, T. Approach to an irregular time series on the basis of the fractal theory. Phys. D Nonlinear Phenom. 1988, 31, 277–283. [Google Scholar] [CrossRef]
- Bucchignani, E.; Zollo, A.L.; Montesarchio, M. Analysis of Expected Climate Extreme Variability with Regional Climate Simulations over Napoli Capodichino Airport: A Contribution to a Climate Risk Assessment Framework. Earth 2021, 2, 980–996. [Google Scholar] [CrossRef]
- De Vivo, C.; Barbato, G.; Ellena, M.; Capozzi, V.; Budillon, G.; Mercogliano, P. Application of climate risk assessment framework for selected Italian airports: A focus on extreme temperature events. Clim. Serv. 2023, 30, 100390. [Google Scholar] [CrossRef]
- Rockel, B.; Will, A.; Hense, A. The regional climate model COSMO-CLM (CCLM). Meteorol. Z. 2008, 17, 347–348. [Google Scholar] [CrossRef]
- Steppeler, J.; Doms, G.; Schättler, U.; Bitzer, H.W.; Gassmann, A.; Damrath, U.; Gregoric, G. Meso-gamma scale forecasts using the nonhydrostatic model LM. Meteorol. Atmos. Phys. 2003, 82, 75–96. [Google Scholar] [CrossRef]
- Hersbach, H.; Bell, B.; Berrisford, P.; Hirahara, S.; Horanyi, A.; Muñoz-Sabater, J.; Nicolas, J.; Peubey, C.; Radu, R.; Schepers, D.; et al. The ERA5 global reanalysis. Q. J. R. Meteorol. Soc. 2020, 146, 1999–2049. [Google Scholar] [CrossRef]
- Tiedtke, M. A comprehensive mass flux scheme for cumulus parameterization in large-scale models. Mon. Weather Rev. 1989, 117, 1779–1799. [Google Scholar] [CrossRef]
- Doscher, R.; Acosta, M.; Alessandri, A.; Anthoni, P.; Arsouze, T.; Bergman, T.; Bernardello, R.; Boussetta, S.; Caron, L.-P.; Carver, G.; et al. The EC-Earth3 Earth System Model for the Climate Model Intercomparison Project 6. Geos. Mod. Dev. 2022, 15, 2973–3020. [Google Scholar] [CrossRef]
- Rinaldi, L.; Mezzalama, R. Assessing physical climate risks at airports: A case study of Rome. J. Airpt. Manag. 2025, 19, 144–155. [Google Scholar] [CrossRef]
- De Vivo, C.; Barbato, G.; Ellena, M.; Capozzi, V.; Budillon, G.; Mercogliano, P. Climate-Risk Assessment Framework for Airports under Extreme Precipitation Events: Application to Selected Italian Case Studies. Sustainability 2023, 15, 7300. [Google Scholar] [CrossRef]
- Cornes, R.C.; van der Schrier, G.; van den Besselaar, E.J.M.; Jones, P.D. An ensemble version of the E-OBS temperature and precipitation data sets. J. Geophys. Res. Atmos. 2018, 123, 9391–9409. [Google Scholar] [CrossRef]
- Desiato, F.; Lena, F.; Toreti, A. SCIA: A system for a better knowledge of the Italian climate. Boll. Geofis. Teor. Applicata 2007, 48, 351–358. [Google Scholar]
- Bergè, P.; Pomeau, Y.; Vidal, C. Order Within Chaos—Towards a Deterministic Approach to Turbulence; John Wiley: New York, NY, USA, 1984. [Google Scholar]
- Ruelle, D.; Takens, T. On the nature of turbulence. Commun. Math. Phys. 1971, 20, 167. [Google Scholar] [CrossRef]
- Petrovic, D.; Fersch, B.; Kunstmann, H. Heat wave characteristics: Evaluation of regional climate model performances for Germany. Nat. Hazards Earth Syst. Sci. 2024, 24, 265–289. [Google Scholar] [CrossRef]
- Garbero, V.; Milelli, M.; Bucchignani, E.; Mercogliano, P.; Varentsov, M.; Rozinkina, I.; Rivin, G.; Blinov, D.; Wouters, H.; Schulz, J.-P.; et al. Evaluating the Urban Canopy Scheme TERRA_URB in the COSMO Model for Selected European Cities. Atmosphere 2021, 12, 237. [Google Scholar] [CrossRef]
- Mascolo, V.; Le Priol, C.; D’Andrea, F.; Bouchet, F. Comparing the influence of Atlantic Multidecadal Variability and spring soil moisture on European summer heat waves. arXiv 2024, arXiv:2405.10821. [Google Scholar] [CrossRef]
- Moreno-Chamarro, E.; Arsouze, T.; Acosta, M.; Bretonniere, P.-A.; Castrillo, M.; Ferrer, E.; Frigola, A.; Kuznetsova, D.; Martin-Martinez, E.; Ortega, P.; et al. The very-high-resolution configuration of the EC-Earth global model for HighResMIP. Geosc. Mod. Dev. 2025, 18, 461–482. [Google Scholar] [CrossRef]
- Moss, R.; Edmonds, J.; Hibbard, K.; Manning, M.; Rose, S.; van Vuuren, D.P.; Carter, T.; Emori, S.; Kainuma, M.; Kram, T.; et al. The next generation of scenarios for climate change research and assessment. Nature 2010, 463, 747–756. [Google Scholar] [CrossRef]
- Kolmogorov, A.N. Local Structure of Turbulence in an Incompressible Fluid at Very High Reynolds Number. Dokl. Akad. Nauk SSSR 1941, 30, 299–303. [Google Scholar] [CrossRef]
- Stull, R. An Introduction to Boundary Layer Meteorology; Kluwer Academic Publishers: Dordrecht, The Netherlands, 1988; 666p. [Google Scholar]
- Tijera, M.; Maqueda, G.; Yague, C.; Cano, J. Analysis of Fractal Dimension of the Wind Speed and Its Relationships with Turbulent and Stability Parameters. In Fractal Analysis and Chaos in Geosciences; Ouadfeul, S.A., Ed.; Intechopen: London, UK, 2021. [Google Scholar] [CrossRef][Green Version]
- Shu, Z.R.; Chan, P.W.; Li, Q.S.; He, Y.C.; Yan, B.W.; Li, L.; Lu, C.; Zhang, L.; Yang, H.L. Characterization of vertical wind velocity variability based on fractal dimension analysis. J. Wind. Eng. Ind. Aerodyn. 2021, 213, 104608. [Google Scholar] [CrossRef]
- Xia, D.; Yu, W.; Lin, L.; Lin, X.; Hu, Y. Fractal Characteristics of Wind Speed Time Series Under Typhoon Climate in Southeastern China. Fractal Fract. 2025, 9, 175. [Google Scholar] [CrossRef]
- Seneviratne, S.I.; Zhang, X. Weather and Climate Extreme Events in a Changing Climate. In Climate Change 2021: The Physical Science Basis; Contribution of Working Group I to the Sixth Assessment Report of the Intergovernmental Panel on Climate Change; Masson-Delmotte, V., Zhai, P., Pirani, A., Connors, S.L., Péan, C., Berger, S., Caud, N., Chen, Y., Goldfarb, L., Gomis, M.I., et al., Eds.; Cambridge University Press: Cambridge, UK; New York, NY, USA, 2021; pp. 1513–1766. [Google Scholar]
- Sarangi, C.; Qian, Y.; Li, J.; Leung, L.R.; Chakraborty, T.C.; Liu, Y. Urbanization amplifies nighttime heat stress on warmer days over the US. Geophys. Res. Lett. 2021, 48, e2021GL095678. [Google Scholar] [CrossRef]
- Ahmed, N.M.; Altamura, P.; Giampaoletti, M.; Hemeida, F.A.; Mohamed, A.F.A. Optimizing human thermal comfort and mitigating the urban heat island effect on public open spaces in Rome, Italy through sustainable design strategies. Sci. Rep. 2024, 14, 19931. [Google Scholar] [CrossRef]
- Jacob, D.; Petersen, J.; Eggert, B.; Alias, A.; Christensen, O.B.; Bouwer, L.M.; Braun, A.; Colette, A.; Déqué, M.; Georgievski, G.; et al. EURO-CORDEX: New high-resolution climate change projections for European impact research. Reg. Environ. Change 2014, 14, 563–578. [Google Scholar] [CrossRef]
- Knutti, R.; Abramowitz, G.; Collins, M.; Eyring, V.; Gleckler, P.J.; Hewitson, B.; Mearns, L. Good practice guidance paper on assessing and combining multi model climate projections. In Meeting Report of the Intergovernmental Panel on Climate Change Expert Meeting on Assessing and Combining Multi Model Climate Projections; Stocker, T.F., Qin, D., Plattner, G.K., Tignor, M., Midgley, P.M., Eds.; IPCC Working Group I Technical Support Unit; University of Bern: Bern, Switzerland, 2010. [Google Scholar]
- Petković, D.; Nikolić, V.; Mitić, V.V.; Kocić, L. Estimation of fractal representation of wind speed fluctuation by artificial neural network with different training algorithms. Flow Meas. Instrum. 2017, 54, 172–176. [Google Scholar] [CrossRef]








| BIAS | ERA5 DJF | ERA5 JJA | GCM DJF | GCM JJA |
|---|---|---|---|---|
| T_2m | −0.78 | −0.33 | −1.01 | −2.44 |
| Tmax_2m | −1.51 | −0.35 | −1.80 | −2.58 |
| Tmin_2m | 0.15 | 0.31 | 0.01 | −1.74 |
| Total precipitation | 0.80 | 10.33 | 2.83 | 5.66 |
| Main Period (Days) | T1 | T2 | T3 |
|---|---|---|---|
| Tmax_2m | 365 | 182 | 121 |
| Tmin_2m | 365 | 182 | - |
| Total precipitation | 365 | 182 | - |
| 10 m Wind speed | 365 | 182 | - |
| Fractal Dimension | 1981–2010 | 2021–2050 |
|---|---|---|
| Tmax_2m | 0.7223 | 0.7249 |
| Tmin_2m | 0.7099 | 0.7139 |
| Total precipitation | 0.9020 | 0.9028 |
| Wind speed | 0.8960 | 0.8988 |
Disclaimer/Publisher’s Note: The statements, opinions and data contained in all publications are solely those of the individual author(s) and contributor(s) and not of MDPI and/or the editor(s). MDPI and/or the editor(s) disclaim responsibility for any injury to people or property resulting from any ideas, methods, instructions or products referred to in the content. |
© 2025 by the author. Licensee MDPI, Basel, Switzerland. This article is an open access article distributed under the terms and conditions of the Creative Commons Attribution (CC BY) license (https://creativecommons.org/licenses/by/4.0/).
Share and Cite
Bucchignani, E. Climate Projections and Time Series Analysis over Roma Fiumicino Airport Using COSMO-CLM: Insights from Advanced Statistical Methods. Atmosphere 2025, 16, 843. https://doi.org/10.3390/atmos16070843
Bucchignani E. Climate Projections and Time Series Analysis over Roma Fiumicino Airport Using COSMO-CLM: Insights from Advanced Statistical Methods. Atmosphere. 2025; 16(7):843. https://doi.org/10.3390/atmos16070843
Chicago/Turabian StyleBucchignani, Edoardo. 2025. "Climate Projections and Time Series Analysis over Roma Fiumicino Airport Using COSMO-CLM: Insights from Advanced Statistical Methods" Atmosphere 16, no. 7: 843. https://doi.org/10.3390/atmos16070843
APA StyleBucchignani, E. (2025). Climate Projections and Time Series Analysis over Roma Fiumicino Airport Using COSMO-CLM: Insights from Advanced Statistical Methods. Atmosphere, 16(7), 843. https://doi.org/10.3390/atmos16070843
