D- and F-Region Ionospheric Response to the Severe Geomagnetic Storm of April 2023
Abstract
1. Introduction
2. Data and Methodology
2.1. Geomagnetic Storm Indices
2.2. VLF/LF Data
2.3. Ionosonde Data
3. Results
3.1. Diurnal Variations of VLF/LF Signals
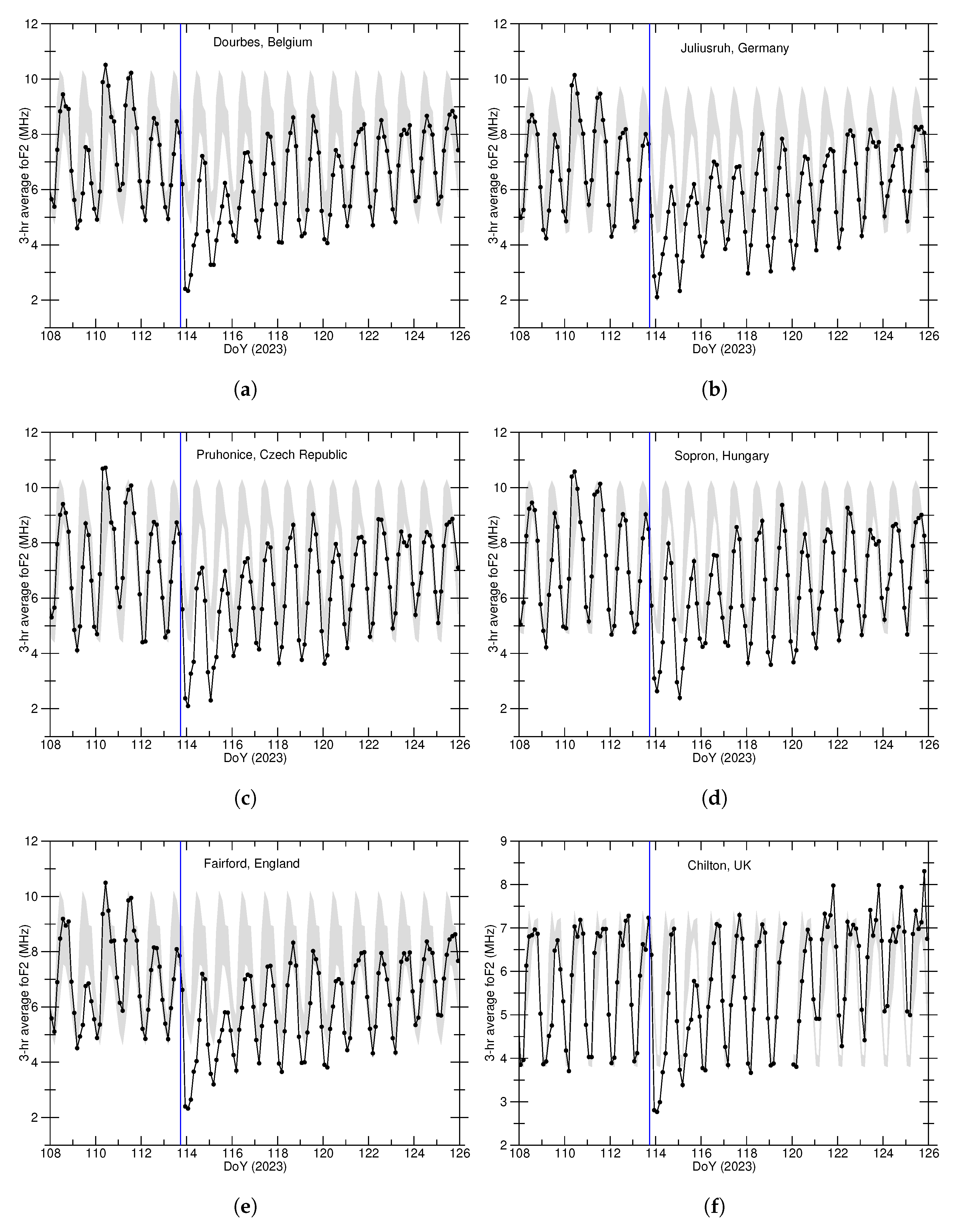
3.2. Variation of foF2
4. Discussions and Conclusions
- The mid-latitude VLF/LF propagation paths considered in this study exhibit varying degrees of response to the superstorm of 23 April 2023. The variations of VLF signals along different paths may depend on several factors. Even minor differences in their Great Circle Paths, transmitting powers, and initial launch angles could lead to variations in how they are affected by ionospheric disturbances.
- In the short propagation paths, higher-frequency LF signals (FTA: 63.85 kHz and NSY: 45.9 kHz) show stronger perturbations compared to VLF signals (3–30 kHz). LF signals are attenuated (∼3–5 dB) throughout the daytime, while VLF signals are only affected during the sunrise and sunset period (Figure 3b,d). The GBZ-St. Georgen path (GBZ: 19.58 kHz) exhibits relatively lower noise compared to FTA-St. Georgen, likely due to differences in ionospheric interaction heights and propagation characteristics.
- VLF signals exhibit stronger variations in the post-storm period along the long trans-oceanic paths over the mid-latitude region compared to long propagation paths in the low-latitude region. The level of disturbance is influenced by the latitude of the receiving station and the strength of geomagnetic disturbances along the path. For instance, despite both being long paths, NAA-St. Georgen (5500 km, mid-latitude) shows stronger perturbations than NAA-UTP (4450 km, low-latitude) due to the greater impact of geomagnetic disturbances at mid-latitudes.
- Both the transmitters, GBZ (19.58 kHz) and GQD (22.1 kHz), are located close to each other in the UK, and VLF signals from both received at Meudon show different behavior in diurnal variations. The variation in daytime signals along GQD–Meudon is more prominent. These differences can happen due to minor differences in their Great Circle Paths, transmitting powers, and initial launch angles of the signals, which could lead to signal variations, as observed along the two paths affected by ionospheric disturbances. The ionospheric reflection height and electron density variations may differ slightly for each frequency, which can further lead to differences in the observed signal deviation.
- The 2-hour mid-day average signal amplitudes deviated by approximately (∼3–5 dB) from the average quiet-day signals (see Figure 7). This deviation was observed consistently in the time-series plots of multiple propagation paths, including FTA-St. Georgen (Figure 3a), NAA-St. Georgen (Figure 4c), GQD-Meudon (Figure 5c), and NSY-Meudon (Figure 5e).
- No significant variation of VLF/LF signals is observed in the long or short path propagation paths in the low latitudes (Figure 6b,d), corroborating Tatsuta et al. [33]. The storm-induced signatures may not always be straightforward; the 2-hour midday average plot indicated by green circles connected by green dotted lines in Figure 6a,c remained straight, which supports our statement that no significant perturbations were observed along these paths.
- Fluctuation in the 3-hour averaged foF2 value in the mid-latitude crossed level on 23 and 24 April, indicating upper ionospheric disturbances during the storm (Figure 8) for a prolonged period. Both daytime and nighttime values of foF2 varied up to ∼3 MHz at the mid-latitude Digisonde stations (see Figure 10). Again, no considerable change in foF2 has been observed in the low-latitude ionosonde stations.
- The peak variation of VLF/LF signals is observed on April 25–26 (DoY 115–116), as indicated by black arrows in Figure 3, Figure 4 and Figure 5 and Figure 7. The black arrows are not indicated in Figure 4a, Figure 5a, and Figure 6a,c, since significant deviation could not be determined from the plot. The fluctuation of foF2 variation at the mid-latitude region peaked shortly after the commencement of the storm, indicating a faster response of the F-region ionosphere to the geomagnetic storm.
- There is a difference in noise levels between the NAU–UTP (LF, 40.8 kHz) and NAA–UTP (VLF, 24.0 kHz) paths during the night interval. LF signals (such as the 40.8 kHz NAU signal) experience higher attenuation due to interactions with the lower ionosphere (D-region) during nighttime, leading to increased signal fluctuations. In contrast, VLF signals (24.0 kHz from NAA) are less affected by such variations and can maintain more stable propagation conditions.
- In the mid-latitude, prominent ionospheric disturbances have been detected in both the lower and upper ionosphere.
Author Contributions
Funding
Institutional Review Board Statement
Informed Consent Statement
Data Availability Statement
Acknowledgments
Conflicts of Interest
References
- Gonzalez, W.D.; Joselyn, J.A.; Kamide, Y.; Kroehl, H.W.; Rostoker, G.; Tsurutani, B.T.; Vasyliunas, V.M. What is a geomagnetic storm? J. Geophys. Res. Space Phys. 1994, 99, 5771–5792. [Google Scholar] [CrossRef]
- Ghag, K.; Raghav, A.; Bhaskar, A.; Soni, S.L.; Sathe, B.; Shaikh, Z.; Dhamane, O.; Tari, P. Quasi-planar ICME sheath: A cause of the first two-step extreme geomagnetic storm of the 25th solar cycle observed on 23 April 2023. Adv. Space Res. 2024, 73, 6288–6297. [Google Scholar] [CrossRef]
- Chapman, S.; Bartels, J. Geomagnetism, Vol. II: Analysis of the Data, and Physical Theories; Oxford University Press: Oxford, UK, 1940. [Google Scholar]
- Gonzalez, W.D.; Tsurutani, B.T.; Clúa de Gonzalez, A.L. Interplanetary origin of geomagnetic storms. Space Sci. Rev. 1999, 88, 529–562. [Google Scholar] [CrossRef]
- Baruah, Y.; Roy, S.; Sinha, S.; Palmerio, E.; Pal, S.; Oliveira, D.M.; Nandy, D. The Loss of Starlink Satellites in February 2022: How Moderate Geomagnetic Storms Can Adversely Affect Assets in Low-Earth Orbit. Space Weather 2024, 22, e2023SW003716. [Google Scholar] [CrossRef]
- Parks, G. MAGNETOSPHERE. In Encyclopedia of Atmospheric Sciences; Holton, J.R., Ed.; Academic Press: Oxford, UK, 2003; pp. 1229–1237. [Google Scholar] [CrossRef]
- Kivelson, M.G.; Bagenal, F. Chapter 28—Planetary Magnetospheres. In Encyclopedia of the Solar System, 2nd ed.; McFadden, L.A., Weissman, P.R., Johnson, T.V., Eds.; Academic Press: San Diego, CA, USA, 2007; pp. 519–540. [Google Scholar] [CrossRef]
- Chenette, D.L.; Datlowe, D.W.; Robinson, R.M.; Schumaker, T.L.; Vondrak, R.R.; Winningham, J.D. Atmospheric energy input and ionization by energetic electrons during the geomagnetic storm of 8–9 November 1991. Geophys. Res. Lett. 1993, 20, 1323–1326. [Google Scholar] [CrossRef]
- Laštovička, J. Effects of geomagnetic storms in the lower ionosphere, middle atmosphere and troposphere. J. Atmos. Terr. Phys. 1996, 58, 831–843. [Google Scholar] [CrossRef]
- Sokolov, S.N. Magnetic storms and their effects in the lower ionosphere: Differences in storms of various types. Geomagn. Aeron. 2011, 51, 741–752. [Google Scholar] [CrossRef]
- Mondal, S.K.; Pal, S.; Sen, A.; Rahaman, M.; Midya, S.K. Long-lasting disturbances in the mid-latitude sub-ionospheric VLF radio signals due to the super geomagnetic storm of 17 March 2015. Adv. Space Res. 2021, 68, 2295–2308. [Google Scholar] [CrossRef]
- WMO. International Meteorological Vocabulary; World Meteorological Organization: Geneva, Switzerland, 1992. [Google Scholar]
- Fagundes, P.R.; Cardoso, F.A.; Fejer, B.G.; Venkatesh, K.; Ribeiro, B.A.G.; Pillat, V.G. Positive and negative GPS-TEC ionospheric storm effects during the extreme space weather event of March 2015 over the Brazilian sector. J. Geophys. Res. Space Phys. 2016, 121, 5613–5625. [Google Scholar] [CrossRef]
- Prölss, G. On explaining the negative phase of ionospheric storms. Planet. Space Sci. 1976, 24, 607–609. [Google Scholar] [CrossRef]
- Ratovsky, K.G.; Klimenko, M.V.; Yasyukevich, Y.V.; Klimenko, V.V.; Vesnin, A.M. Statistical Analysis and Interpretation of High-, Mid- and Low-Latitude Responses in Regional Electron Content to Geomagnetic Storms. Atmosphere 2020, 11, 1308. [Google Scholar] [CrossRef]
- Prölss, G. Ionospheric F-Region Storms: Unsolved Problems. In Characterising the Ionosphere; Meeting Proceedings RTO-MP-IST-056; Paper 10; RTO: Neuilly-sur-Seine, France, 2006; pp. 10-1–10-20. [Google Scholar]
- Frissell, N.A.; Kaeppler, S.R.; Sanchez, D.F.; Perry, G.W.; Engelke, W.D.; Erickson, P.J.; Coster, A.J.; Ruohoniemi, J.M.; Baker, J.B.H.; West, M.L. First Observations of Large Scale Traveling Ionospheric Disturbances Using Automated Amateur Radio Receiving Networks. Geophys. Res. Lett. 2022, 49, e2022GL097879. [Google Scholar] [CrossRef]
- Thaganyana, G.P.; Habarulema, J.B.; Ngwira, C.; Azeem, I. Equatorward Medium to Large-Scale Traveling Ionospheric Disturbances of High Latitude Origin During Quiet Conditions. J. Geophys. Res. Space Phys. 2022, 127, e2021JA029558. [Google Scholar] [CrossRef]
- Rodger, A.; Moffett, R.; Quegan, S. The role of ion drift in the formation of ionisation troughs in the mid- and high-latitude ionosphere—A review. J. Atmos. Terr. Phys. 1992, 54, 1–30. [Google Scholar] [CrossRef]
- Prölss, G.W.; Brace, L.H.; Mayr, H.G.; Carignan, G.R.; Killeen, T.L.; Klobuchar, J.A. Ionospheric storm effects at subauroral latitudes: A case study. J. Geophys. Res. Space Phys. 1991, 96, 1275–1288. [Google Scholar] [CrossRef]
- Nayak, C.; Tsai, L.C.; Su, S.Y.; Galkin, I.A.; Tan, A.T.K.; Nofri, E.; Jamjareegulgarn, P. Peculiar features of the low-latitude and midlatitude ionospheric response to the St. Patrick’s Day geomagnetic storm of 17 March 2015. J. Geophys. Res. Space Phys. 2016, 121, 7941–7960. [Google Scholar] [CrossRef]
- Oikonomou, C.; Haralambous, H.; Paul, A.; Ray, S.; Alfonsi, L.; Cesaroni, C.; Sur, D. Investigation of the negative ionospheric response of the 8 September 2017 geomagnetic storm over the European sector. Adv. Space Res. 2022, 70, 1104–1120. [Google Scholar] [CrossRef]
- Habarulema, J.B.; Zhang, Y.; Matamba, T.; Buresova, D.; Lu, G.; Katamzi-Joseph, Z.; Fagundes, P.R.; Okoh, D.; Seemala, G. Absence of High Frequency Echoes From Ionosondes During the 23–25 April 2023 Geomagnetic Storm; What Happened? J. Geophys. Res. Space Phys. 2024, 129, e2023JA032277. [Google Scholar] [CrossRef]
- Davies, K. Ionospheric Radio; Electromagnetic Waves; Institution of Engineering and Technology: Stevenage, UK, 1990. [Google Scholar] [CrossRef]
- Mitra, A.P. Ionospheric Effects of Solar Flares; Springer: Dordrecht, The Netherlands, 1974; Volume 46. [Google Scholar] [CrossRef]
- Clilverd, M.A.; Rodger, C.J.; Thomson, N.R.; Lichtenberger, J.; Steinbach, P.; Cannon, P.; Angling, M.J. Total solar eclipse effects on VLF signals: Observations and modeling. Radio Sci. 2001, 36, 773–788. [Google Scholar] [CrossRef]
- Davorka, G.; Šulić, D.; Žigman, V. Influence of solar X-ray flares on the earth-ionosphere waveguide. Serbian Astron. J. 2005, 171, 29–35. [Google Scholar] [CrossRef]
- Pal, S.; Chakrabarti, S.K.; Mondal, S.K. Modeling of sub-ionospheric VLF signal perturbations associated with total solar eclipse, 2009 in Indian subcontinent. Adv. Space Res. 2012, 50, 196–204. [Google Scholar] [CrossRef]
- Pal, S.; Maji, S.K.; Chakrabarti, S.K. First ever VLF monitoring of the lunar occultation of a solar flare during the 2010 annular solar eclipse and its effects on the D-region electron density profile. Planet. Space Sci. 2012, 73, 310–317. [Google Scholar] [CrossRef]
- Mondal, S.K.; Chakrabarti, S.K.; Sasmal, S. Detection of ionospheric perturbation due to a soft gamma ray repeater SGR J1550-5418 by very low frequency radio waves. Astrophys. Space Sci. 2012, 341, 259–264. [Google Scholar] [CrossRef]
- Belrose, J.; Thomas, L. Ionization changes in the middle lattitude D-region associated with geomagnetic storms. J. Atmos. Terr. Phys. 1968, 30, 1397–1413. [Google Scholar] [CrossRef]
- Kikuchi, T.; Evans, D.S. Quantitative study of substorm-associated VLF phase anomalies and precipitating energetic electrons on November 13, 1979. J. Geophys. Res. Space Phys. 1983, 88, 871–880. [Google Scholar] [CrossRef]
- Tatsuta, K.; Hobara, Y.; Pal, S.; Balikhin, M. Sub-ionospheric VLF signal anomaly due to geomagnetic storms: A statistical study. Ann. Geophys. 2015, 33, 1457–1467. [Google Scholar] [CrossRef]
- Inan, U.S.; Shafer, D.C.; Yip, W.Y.; Orville, R.E. Subionospheric VLF signatures of nighttime D region perturbations in the vicinity of lightning discharges. J. Geophys. Res. Space Phys. 1988, 93, 11455–11472. [Google Scholar] [CrossRef]
- Hobara, Y.; Iwasaki, N.; Hayashida, T.; Hayakawa, M.; Ohta, K.; Fukunishi, H. Interrelation between ELF transients and ionospheric disturbances in association with sprites and elves. Geophys. Res. Lett. 2001, 28, 935–938. [Google Scholar] [CrossRef]
- Pal, S.; Hobara, Y.; Chakrabarti, S.K.; Schnoor, P.W. Effects of the major sudden stratospheric warming event of 2009 on the subionospheric very low frequency/low frequency radio signals. J. Geophys. Res. Space Phys. 2017, 122, 7555–7566. [Google Scholar] [CrossRef]
- Sen, A.; Pal, S.; Mondal, S.K. Mid-latitude ionospheric disturbances during the major Sudden Stratospheric Warming event of 2018 observed by sub-ionospheric VLF/LF signals. Adv. Space Res. 2024, 73, 767–779. [Google Scholar] [CrossRef]
- Iijima, T.; Potemra, T.A. The amplitude distribution of field-aligned currents at northern high latitudes observed by Triad. J. Geophys. Res. (1896-1977) 1976, 81, 2165–2174. [Google Scholar] [CrossRef]
- Matzka, J.; Stolle, C.; Yamazaki, Y.; Bronkalla, O.; Morschhauser, A. The Geomagnetic Kp Index and Derived Indices of Geomagnetic Activity. Space Weather 2021, 19, e2020SW002641. [Google Scholar] [CrossRef]
- Borovsky, J.E.; Shprits, Y.Y. Is the Dst Index Sufficient to Define All Geospace Storms? J. Geophys. Res. Space Phys. 2017, 122, 11,543–11,547. [Google Scholar] [CrossRef]
- Gonzalez, W.; Tsurutani, B.; Clúa de Gonzalez, A. Geomagnetic storms contrasted during solar maximum and near solar minimum. Adv. Space Res. 2002, 30, 2301–2304. [Google Scholar] [CrossRef]
- Barman, K.; Adhikary, S.; Das, B.; Pal, S.; Haldar, P.K. Low-latitude sub-ionospheric VLF radio signal disturbances due to solar flares: Effects on the attenuation and phase velocities of the waveguide modes. J. Atmos. Sol.-Terr. Phys. 2025, 268, 106433. [Google Scholar] [CrossRef]
- Thomson, N.R.; Rodger, C.J.; Clilverd, M.A. Daytime D region parameters from long-path VLF phase and amplitude. J. Geophys. Res. Space Phys. 2011, 116, A11305. [Google Scholar] [CrossRef]
- Fung, S.F.; Benson, R.F.; Galkin, I.A.; Green, J.L.; Reinisch, B.W.; Song, P.; Sonwalkar, V. Chapter 4—Radio-frequency imaging techniques for ionospheric, magnetospheric, and planetary studies. In Understanding the Space Environment Through Global Measurements; Colado-Vega, Y., Gallagher, D., Frey, H., Wing, S., Eds.; Elsevier: Amsterdam, The Netherlands, 2022; pp. 101–216. [Google Scholar] [CrossRef]
- Molchanov, O.A.; Hayakawa, M. Subionospheric VLF signal perturbations possibly related to earthquakes. J. Geophys. Res. Space Phys. 1998, 103, 17489–17504. [Google Scholar] [CrossRef]
- Hayakawa, M.; Molchanov, O. Effect of earthquakes on lower ionosphere as found by subionospheric VLF propagation. Adv. Space Res. 2000, 26, 1273–1276. [Google Scholar] [CrossRef]
- Das, B.; Sen, A.; Haldar, P.K.; Pal, S. VLF radio signal anomaly associated with geomagnetic storm followed by an earthquake at a subtropical low latitude station in northeastern part of India. Indian J. Phys. 2022, 96, 13–24. [Google Scholar] [CrossRef]
- Pulinets, S.; Davidenko, D. Ionospheric precursors of earthquakes and Global Electric Circuit. Adv. Space Res. 2014, 53, 709–723. [Google Scholar] [CrossRef]
- Goncharenko, L.P.; Coster, A.J.; Chau, J.L.; Valladares, C.E. Impact of sudden stratospheric warmings on equatorial ionization anomaly. J. Geophys. Res. Space Phys. 2010, 115, A00G07. [Google Scholar] [CrossRef]
- Rodger, C.J.; Clilverd, M.A.; Thomson, N.R.; Gamble, R.J.; Seppälä, A.; Turunen, E.; Meredith, N.P.; Parrot, M.; Sauvaud, J.A.; Berthelier, J.J. Radiation belt electron precipitation into the atmosphere: Recovery from a geomagnetic storm. J. Geophys. Res. Space Phys. 2007, 112, A11307. [Google Scholar] [CrossRef]
- Nwankwo, V.U.J.; Denig, W.; Chakrabarti, S.K.; Ogunmodimu, O.; Ajakaiye, M.P.; Fatokun, J.O.; Anekwe, P.I.; Obisesan, O.E.; Oyanameh, O.E.; Fatoye, O.V. Diagnostic study of geomagnetic storm-induced ionospheric changes over very low-frequency signal propagation paths in the mid-latitude D region. Ann. Geophys. 2022, 40, 433–461. [Google Scholar] [CrossRef]
- Prölss, G.W. Physics of the Earth’s Space Environment: An Introduction; Springer: Berlin/Heidelberg, Germany, 2004. [Google Scholar] [CrossRef]
- Maurya, A.K.; Venkatesham, K.; Kumar, S.; Singh, R.; Tiwari, P.; Singh, A.K. Effects of St. Patrick’s Day Geomagnetic Storm of March 2015 and of June 2015 on Low-Equatorial D Region Ionosphere. J. Geophys. Res. Space Phys. 2018, 123, 6836–6850. [Google Scholar] [CrossRef]
- Schunk, R.W.; Nagy, A.F. Ionospheres: Physics, Plasma Physics, and Chemistry; Cambridge University Press: Cambridge, UK, 2009. [Google Scholar]
- Yue, X.; Wang, W.; Lei, J.; Burns, A.; Zhang, Y.; Wan, W.; Liu, L.; Hu, L.; Zhao, B.; Schreiner, W.S. Long-lasting negative ionospheric storm effects in low and middle latitudes during the recovery phase of the 17 March 2013 geomagnetic storm. J. Geophys. Res. Space Phys. 2016, 121, 9234–9249. [Google Scholar] [CrossRef]










| Sl. No. | Transmitter | Receiver | Path Length (Approx. km) & Direction | UTC Offset (Hour) at Receiver Location |
|---|---|---|---|---|
| 1 |
FTA (63.85 kHz) Saint Assise, France N, E | DE_St_Georgen St. Georgen, Germany N, E | 440 km W-E | 1.0 |
| 2 | GBZ (19.58 kHz) Anthorn, UK N, W | 1100 km N-E | 1.0 | |
| 3 | GQD (22.1 kHz) Skelton, UK N, W | 1080 km N-E | 1.0 | |
| 4 | NAA (24.0 kHz) Cutler, ME, USA N, W | 5500 km W-E | 1.0 | |
| 5 | GBZ (19.58 kHz) Anthorn, UK N, W | SID_MEUDON Meudon, France N, E | 780 km N-E | 2.0 |
| 6 | GQD (22.1 kHz) Skelton, UK N, W | 750 km N-E | 2.0 | |
| 7 | NSY (45.9 kHz) Niscemi, Italy N, E | 1650 km E-N | 2.0 | |
| 8 | NAU (40.8 kHz) Aguada, PR, USA N, W | UTP Pereira, Risaralda, Colombia N, W | 1720 km N-W | 19.0 |
| 9 | NAA (24.0 kHz) Cutler, ME, USA N, W | 4450 km N-W | 19.0 |
Disclaimer/Publisher’s Note: The statements, opinions and data contained in all publications are solely those of the individual author(s) and contributor(s) and not of MDPI and/or the editor(s). MDPI and/or the editor(s) disclaim responsibility for any injury to people or property resulting from any ideas, methods, instructions or products referred to in the content. |
© 2025 by the authors. Licensee MDPI, Basel, Switzerland. This article is an open access article distributed under the terms and conditions of the Creative Commons Attribution (CC BY) license (https://creativecommons.org/licenses/by/4.0/).
Share and Cite
Sen, A.; Pal, S.; Das, B.; Mondal, S.K. D- and F-Region Ionospheric Response to the Severe Geomagnetic Storm of April 2023. Atmosphere 2025, 16, 716. https://doi.org/10.3390/atmos16060716
Sen A, Pal S, Das B, Mondal SK. D- and F-Region Ionospheric Response to the Severe Geomagnetic Storm of April 2023. Atmosphere. 2025; 16(6):716. https://doi.org/10.3390/atmos16060716
Chicago/Turabian StyleSen, Arnab, Sujay Pal, Bakul Das, and Sushanta K. Mondal. 2025. "D- and F-Region Ionospheric Response to the Severe Geomagnetic Storm of April 2023" Atmosphere 16, no. 6: 716. https://doi.org/10.3390/atmos16060716
APA StyleSen, A., Pal, S., Das, B., & Mondal, S. K. (2025). D- and F-Region Ionospheric Response to the Severe Geomagnetic Storm of April 2023. Atmosphere, 16(6), 716. https://doi.org/10.3390/atmos16060716

