Future Climate Trends in the Wine-Growing Regions of the Western Cape of South Africa
Abstract
1. Introduction
2. Study Area
3. Data and Methodology
3.1. Data Used
3.2. Data Processing and Analysis
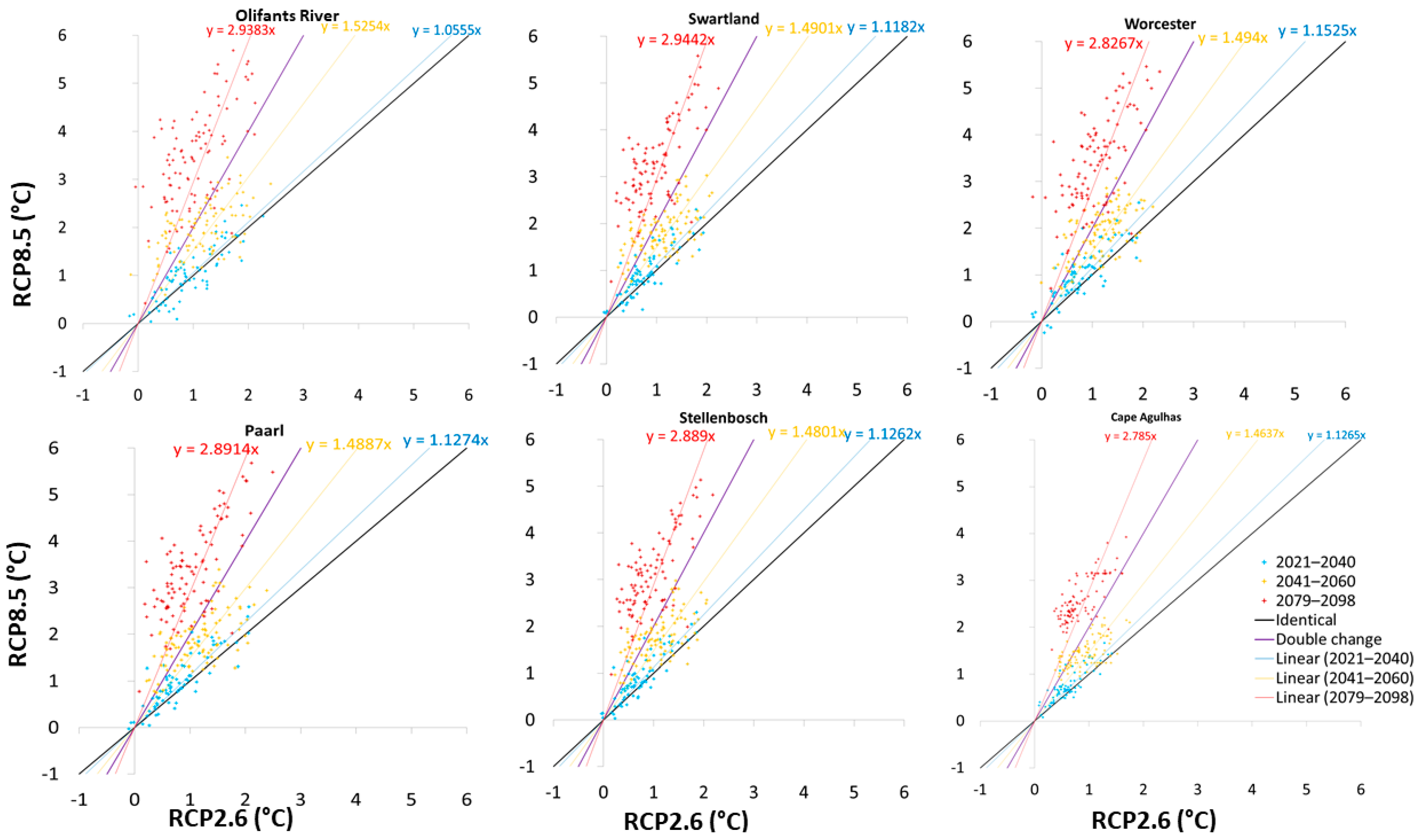
4. Results and Discussion
4.1. Temperature
4.2. Precipitation
5. Conclusions
- Significant temperature changes are projected over the wine regions, especially during the summer half-year, with regions such as Olifants River projected to experience increases above 5 °C under the RCP8.5 by the end of the century, while regions closer to the coast (e.g., Cape Agulhas) are projected to experience milder increases in temperature under the RCP8.5 in all target periods.
- The model simulations highlight substantial differences between the RCP scenarios, with the RCP8.5 projecting almost triple the warming simulated compared to the mitigation scenario, highlighting the need for region specific mitigation strategies over the wine regions, to help reducing the effect of warming on viniculture.
- The model simulations have high variability across the models and regions, with some regions such as the Olifants River projected to experience significant drying during JJA, while an increase in precipitation is projected over Cape Agulhas. This highlights uncertainty in the simulations, due to local mesoclimates.
- The projected warming and drying trends for the vineyards in Olifants River show that they are the most vulnerable to substantial reduction in grape yield. These regions will need improved adaptation strategies, including changes in varieties and vineyard management.
Supplementary Materials
Author Contributions
Funding
Institutional Review Board Statement
Informed Consent Statement
Data Availability Statement
Conflicts of Interest
References
- IPCC. Climate Change 2021: The Physical Science Basis; Masson-Delmotte, V., Zhai, P., Pirani, A., Connors, S.L., Péan, C., Berger, S., Caud, N., Chen, Y., Goldfarb, L., Gomis, M.I., et al., Eds.; Contribution of Working Group I to the Sixth Assessment Report of the Intergovernmental Panel on Climate Change; Cambridge University Press: Cambridge, UK; New York, NY, USA, 2021. [Google Scholar] [CrossRef]
- Jury, M.R. An inter-comparison of model-simulated east-west climate gradients over South Africa. Water SA 2012, 38, 467–478. [Google Scholar] [CrossRef]
- Dosio, A.; Jones, R.G.; Jack, C.; Lennard, C.; Nikulin, G.; Hewitson, B. What can we know about future precipitation in Africa? Robustness, significance and added value of projections from a large ensemble of regional climate models. Clim. Dyn. 2019, 53, 5833–5858. [Google Scholar] [CrossRef]
- Vink, N.; Deloire, A.; Bonnardot, V.; Ewert, J. Climate change and the future of South Africa’s wine industry. Int. J. Clim. Change Strateg. Manag. 2010, 4, 420–441. [Google Scholar] [CrossRef]
- The World Bank Group. Climate Risk Profile: South Africa. 2021. Available online: https://climateknowledgeportal.worldbank.org/sites/default/files/country-profiles/15932-WB_South%20Africa%20Country%20Profile-WEB.pdf (accessed on 20 August 2024).
- Sefolo, O.; Daniyan, I.; Ramdass, K.; Akinbowale, O.E.; Zerihun, M.F.; Mashigo, P. Impact of Climate Change and the Mitigation Strategies in South Africa: A Survey of Literature. In Proceedings of the 2024 International Conference on Science, Engineering and Business for Driving Sustainable Development Goals (SEB4SDG), Omu-Aran, Nigeria, 2–4 April 2024; pp. 1–14. [Google Scholar] [CrossRef]
- Mpakairi, K.S.; Dube, T.; Sibanda, M.; Mutanga, O. Remote sensing crop water productivity and water use for sustainable agriculture during extreme weather events in South Africa. Int. J. Appl. Earth Obs. Geoinf. 2024, 129, 103833. [Google Scholar] [CrossRef]
- Orimoloye, I.R.; Belle, J.A.; Orimoloye, Y.M.; Olusola, A.O.; Ololade, O.O. Drought: A Common Environmental Disaster. Atmosphere 2022, 13, 111. [Google Scholar] [CrossRef]
- Dube, K.; Nhamo, G.; Chikodzi, D. Climate change-induced droughts and tourism: Impacts and responses of Western Cape province, South Africa. J. Outdoor Recreat. Tour. 2022, 39, 100319. [Google Scholar] [CrossRef]
- Theron, H.; Hunted, J.J. Mitigation and Adaptation Practices to the Impact of Climate Change on Wine Grape Production, with Special Reference to the South African Context. S. Afr. J. Enol. Vitic. 2022, 43, 10–25. [Google Scholar] [CrossRef]
- Colibaba, L.C.; Bosoi, I.; Pușcalău, M.; Bodale, I.; Luchian, C.; Rotaru, L.; Cotea, V.V. Climatic projections vs. grapevine phenology: A regional case study. Not. Bot. Horti. Agrobot. 2024, 52, 13381. [Google Scholar] [CrossRef]
- Naude, R.; Naude, M. Impact of Climate Change and Extreme Weather Conditions on wine growing within the Stellenbosch region. J. Contemp. Manag. 2019, 16, 111–134. [Google Scholar] [CrossRef]
- Hannah, L.; Roehrdanz, P.R.; Ikegami, M.; Shepard, A.V.; Shaw, M.R.; Tabor, G.; Zhi, L.; Marquet, P.A.; Hijmans, R.J. Climate change, wine, and conservation. Proc. Natl. Acad. Sci. USA 2013, 110, 6907–6912. [Google Scholar] [CrossRef]
- Chauke, H.; Pongrácz, R. The validation of climate in the wine-growing region of the Western Cape of South Africa. Int. J. Geomath. 2024, 15, 4. [Google Scholar] [CrossRef]
- Carter, S. The Projected Influence of Climate Change on the South African Wine Industry; Interim Report, IR-06-043; IIASA: Vienna, Austria, 2006. [Google Scholar]
- Nikulin, G.; Jones, C.; Giorgi, F.; Asrar, G.; Büchner, M.; Cerezo-Mota, R.; Christensen, O.; Dqu, M.; Fernández, J.; Haensler, A.; et al. Precipitation Climatology in an Ensemble of CORDEX-Africa Regional Climate Simulations. J. Clim. 2012, 25, 6057–6078. [Google Scholar] [CrossRef]
- Remedio, A.R.; Teichmann, C.; Buntemeyer, L.; Sieck, K.; Weber, T.; Rechid, D.; Hoffmann, P.; Nam, C.; Kotova, L.; Jacob, D. Evaluation of New CORDEX Simulations Using an Updated Köppen–Trewartha Climate Classification. Atmosphere 2019, 10, 726. [Google Scholar] [CrossRef]
- Wines of South Africa (WOSA). Winegrowing Areas—Winelands of South Africa. 2022. Available online: https://www.wosa.co.za/The-Industry/Winegrowing-Areas/Winelands-of-South-Africa/ (accessed on 11 January 2022).
- van Vuuren, D.P.; Edmonds, J.; Kainuma, M.; Riahi, K.; Thomson, A.; Hibbard, K.; Hurtt, G.C.; Kram, T.; Krey, V.; Lamarque, J.F.; et al. The representative concentration pathways: An overview. Clim. Change 2011, 109, 5–31. [Google Scholar] [CrossRef]
- Riahi, K.; Rao, S.; Krey, V.; Cho, C.; Chirkov, V.; Fischer, G.; Kindermann, G.; Nakicenovic, N.; Rafaj, P. RCP 8.5—A scenario of comparatively high greenhouse gas emissions. Clim. Change 2011, 109, 33–57. [Google Scholar] [CrossRef]
- Vijai, C.; Wisetsri, W.; Elayaraja, M. Climate change and its impact on agriculture. Int. J. Agric. Sci. Vet. Med. 2023, 11, 1–8. [Google Scholar] [CrossRef]
- Nazarian, R.H.; Vizzard, J.V.; Agostino, C.P.; Lutsko, N.J. Projected Changes in Future Extreme Precipitation over the Northeast United States in the NA-CORDEX Ensemble. J. Appl. Meteorol. Climatol. 2022, 61, 1649–1668. [Google Scholar] [CrossRef]
- Cataldo, E.; Eichmeier, A.; Mattii, G.B. Effects of Global Warming on Grapevine Berries Phenolic Compounds—A Review. Agronomy 2023, 13, 2192. [Google Scholar] [CrossRef]
- Han, X.; Li, Y.-H.; Yao, M.-H.; Yao, F.; Wang, Z.-L.; Wang, H.; Li, H. Transcriptomics Reveals the Effect of Short-Term Freezing on the Signal Transduction and Metabolism of Grapevine. Int. J. Mol. Sci. 2023, 24, 3884. [Google Scholar] [CrossRef]
- Wu, C. Rapid rising in radiative forcing. Clean Energy Sci. Technol. 2024, 2, 110. [Google Scholar] [CrossRef]
- Keller, M. Managing grapevines to optimise fruit development in a challenging environment: A climate change primer for viticulturists. Aust. J. Grape Wine Res. 2010, 16, 56–69. [Google Scholar] [CrossRef]
- Naik, M.; Abiodun, B.J. Projected changes in drought characteristics over the Western Cape, South Africa. Meteorol. Appl. 2020, 27, e1802. [Google Scholar] [CrossRef]
- Zittis, G.; Hadjinicolaou, P.; Klangidou, M.; Proestos, Y.; Lelieveld, J. A multi-model, multi-scenario, and multi-domain analysis of regional climate projections for the Mediterranean. Reg. Environ. Change 2019, 19, 2621–2635. [Google Scholar] [CrossRef]
- Molla, M.; Mekoya, A. Temperature and Precipitation Projections for selected station on Middle Rift Valley Ethiopia, using RCP scenarios. Afr. J. Clim. Change Resour. Sustain. 2024, 3, 63–80. [Google Scholar] [CrossRef]
- Hawkins, E.; Sutton, R. The Potential to Narrow Uncertainty in Regional Climate Predictions. Bull. Am. Meteorol. Soc. 2009, 90, 1095–1108. [Google Scholar] [CrossRef]
- Araujo, J.A.; Abiodun, B.J.; Crespo, O. Impacts of drought on grape yields in Western Cape, South Africa. Theor. Appl. Climatol. 2016, 123, 117–130. [Google Scholar] [CrossRef]








Disclaimer/Publisher’s Note: The statements, opinions and data contained in all publications are solely those of the individual author(s) and contributor(s) and not of MDPI and/or the editor(s). MDPI and/or the editor(s) disclaim responsibility for any injury to people or property resulting from any ideas, methods, instructions or products referred to in the content. |
© 2025 by the authors. Licensee MDPI, Basel, Switzerland. This article is an open access article distributed under the terms and conditions of the Creative Commons Attribution (CC BY) license (https://creativecommons.org/licenses/by/4.0/).
Share and Cite
Chauke, H.; Pongrácz, R. Future Climate Trends in the Wine-Growing Regions of the Western Cape of South Africa. Atmosphere 2025, 16, 227. https://doi.org/10.3390/atmos16020227
Chauke H, Pongrácz R. Future Climate Trends in the Wine-Growing Regions of the Western Cape of South Africa. Atmosphere. 2025; 16(2):227. https://doi.org/10.3390/atmos16020227
Chicago/Turabian StyleChauke, Helga, and Rita Pongrácz. 2025. "Future Climate Trends in the Wine-Growing Regions of the Western Cape of South Africa" Atmosphere 16, no. 2: 227. https://doi.org/10.3390/atmos16020227
APA StyleChauke, H., & Pongrácz, R. (2025). Future Climate Trends in the Wine-Growing Regions of the Western Cape of South Africa. Atmosphere, 16(2), 227. https://doi.org/10.3390/atmos16020227

