Inversion of Aerosol Chemical Composition in the Beijing–Tianjin–Hebei Region Using a Machine Learning Algorithm
Abstract
1. Introduction
2. Data and Method
2.1. Observation Sites and Data Sources
2.2. Analysis Method
2.2.1. Data Preprocessing
2.2.2. Machine Learning Method
3. Results and Discussion
3.1. Characteristics of Aerosol Chemical Composition Concentration in Beijing
3.2. Correlation Between AOD, Meteorological Factors and Aerosol Chemical Component
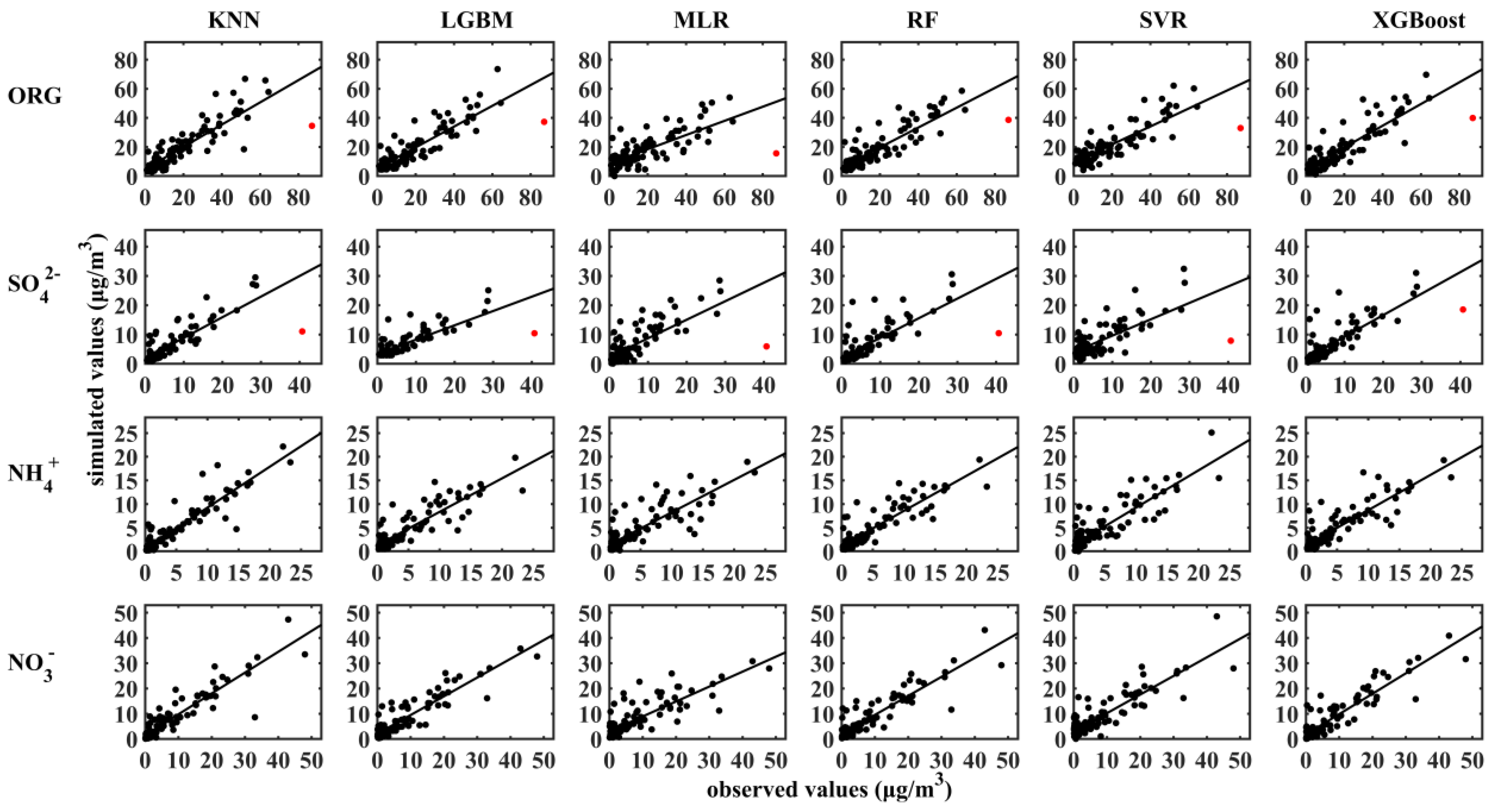
3.3. Establishment of Single Model and Comparison of Results for Different Chemical Components
3.4. Performance of Single Models in Xianghe and Xinglong
3.5. Establishment of the Combined Model and Examination of the Performance
3.6. Chemical Composition Concentration Estimation Based on Combination Model and Spatial Distribution Analysis
4. Conclusions
Author Contributions
Funding
Institutional Review Board Statement
Informed Consent Statement
Data Availability Statement
Conflicts of Interest
References
- Fan, H.; Zhao, C.; Yang, Y. A comprehensive analysis of the spatio-temporal variation of urban air pollution in China during 2014–2018. Atmos. Environ. 2020, 220, 117066. [Google Scholar] [CrossRef]
- Shao, P.; Tian, H.; Sun, Y.; Liu, H.; Wu, B.; Liu, S.; Liu, X.; Wu, Y.; Liang, W.; Wang, Y.; et al. Characterizing remarkable changes of severe haze events and chemical compositions in multi-size airborne particles (PM1, PM2.5 and PM10) from January 2013 to 2016–2017 winter in Beijing, China. Atmos. Environ. 2018, 189, 133–144. [Google Scholar] [CrossRef]
- Kong, L.; Xin, J.; Zhang, W.; Wang, Y. The empirical correlations between PM2.5, PM10 and AOD in the Beijing metropolitan region and the PM2.5, PM10 distributions retrieved by MODIS. Environ. Pollut. 2016, 216, 350–360. [Google Scholar] [CrossRef]
- Zhang, Q.; Meng, X.; Shi, S.; Kan, L.; Chen, R.; Kan, H. Overview of particulate air pollution and human health in China: Evidence, challenges, and opportunities. Innovation 2022, 3, 100312. [Google Scholar] [CrossRef] [PubMed]
- Song, C.; Wu, L.; Xie, Y.; He, J.; Chen, X.; Wang, T.; Lin, Y.; Jin, T.; Wang, A.; Liu, Y.; et al. Air pollution in China: Status and spatiotemporal variations. Environ. Pollut. 2017, 227, 334–347. [Google Scholar] [CrossRef] [PubMed]
- Kong, L.; Xin, J.; Liu, Z.; Zhang, K.; Tang, G.; Zhang, W.; Wang, Y. The PM2.5 threshold for aerosol extinction in the Beijing megacity. Atmos. Environ. 2017, 167, 458–465. [Google Scholar] [CrossRef]
- Cao, J.; Wang, Q.; Chow, J.C.; Watson, J.G.; Tie, X.-X.; Shen, Z.-X.; Wang, P.; An, Z.-S. Impacts of aerosol compositions on visibility impairment in Xi’an, China. Atmos. Environ. 2012, 59, 559–566. [Google Scholar] [CrossRef]
- Tao, J.; Zhang, L.; Ho, K.; Zhang, R.; Lin, Z.; Zhang, Z.; Lin, M.; Cao, J.; Liu, S.; Wang, G. Impact of PM2.5 chemical compositions on aerosol light scattering in Guangzhou—The largest megacity in South China. Atmos. Res. 2014, 135, 48–58. [Google Scholar] [CrossRef]
- Wang, Y.H.; Liu, Z.R.; Zhang, J.K.; Hu, B.; Ji, D.S.; Yu, Y.C.; Wang, Y.S. Aerosol physicochemical properties and implications for visibility during an intense haze episode during winter in Beijing. Atmos. Chem. Phys. 2015, 15, 3205–3215. [Google Scholar] [CrossRef]
- Che, H.; Xia, X.; Zhao, H.; Li, L.; Gui, K.; Zheng, Y.; Song, J.; Qi, B.; Zhu, J.; Miao, Y.; et al. Aerosol optical and radiative properties and their environmental effects in China: A review. Earth-Sci. Rev. 2024, 248, 104634. [Google Scholar] [CrossRef]
- Levy, H.; Horowitz, L.W.; Schwarzkopf, M.D.; Ming, Y.; Golaz, J.-C.; Naik, V.; Ramaswamy, V. The roles of aerosol direct and indirect effects in past and future climate change. J. Geophys. Res. Atmos. 2013, 118, 4521–4532. [Google Scholar] [CrossRef]
- Lee, S.Y.; Wang, C. The response of the South Asian summer monsoon to temporal and spatial variations in absorbing aerosol radiative forcing. J. Clim. 2015, 28, 6626–6646. [Google Scholar] [CrossRef]
- Li, Z.; Xia, X.; Cribb, M.; Mi, W.; Holben, B.; Wang, P.; Chen, H.; Tsay, S.-C.; Eck, T.F.; Zhao, F.; et al. Aerosol optical properties and their radiative effects in northern China. J. Geophys. Res. Atmos. 2007, 112, D22S01. [Google Scholar] [CrossRef]
- Raju, M.P.; Safai, P.D.; Sonbawne, S.M.; Naidu, C.V. Black carbon radiative forcing over the Indian Arctic station, Himadri during the Arctic Summer of 2012. Atmos. Res. 2015, 157, 29–36. [Google Scholar] [CrossRef]
- Jia, H.; Ma, X.; Yu, F.; Quaas, J. Significant underestimation of radiative forcing by aerosol–cloud interactions derived from satellite-based methods. Nat. Commun. 2021, 12, 3649. [Google Scholar] [CrossRef] [PubMed]
- Bono, R.; Tassinari, R.; Bellisario, V.; Gilli, G.; Pazzi, M.; Pirro, V.; Mengozzi, G.; Bugiani, M.; Piccioni, P. Urban air and tobacco smoke as conditions that increase the risk of oxidative stress and respiratory response in youth. Environ. Res. 2015, 137, 141–146. [Google Scholar] [CrossRef]
- Perrone, M.G.; Gualtieri, M.; Consonni, V.; Ferrero, L.; Sangiorgi, G.; Longhin, E.; Ballabio, D.; Bolzacchini, E.; Camatini, M. Particle size, chemical composition, seasons of the year and urban, rural or remote site origins as determinants of biological effects of particulate matter on pulmonary cells. Environ. Pollut. 2013, 176, 215–227. [Google Scholar] [CrossRef]
- Tang, G.; Zhao, P.; Wang, Y.; Gao, W.; Cheng, M.; Xin, J.; Li, X.; Wang, Y. Mortality and air pollution in Beijing: The long-term relationship. Atmos. Environ. 2017, 150, 238–243. [Google Scholar] [CrossRef]
- Singh, A.; Pant, P.; Pope, F.D. Air quality during and after festivals: Aerosol concentrations, composition and health effects. Atmos. Res. 2019, 227, 220–232. [Google Scholar] [CrossRef]
- Ji, D.; Zhang, J.; He, J.; Wang, X.; Pang, B.; Liu, Z.; Wang, L.; Wang, Y. Characteristics of atmospheric organic and elemental carbon aerosols in urban Beijing, China. Atmos. Environ. 2016, 125, 293–306. [Google Scholar] [CrossRef]
- Tian, S.; Pan, Y.; Liu, Z.; Wen, T.; Wang, Y. Size-resolved aerosol chemical analysis of extreme haze pollution events during early 2013 in urban Beijing, China. J. Hazard. Mater. 2014, 279, 452–460. [Google Scholar] [CrossRef]
- Jeong, C.H.; McGuire, M.L.; Godri, K.J.; Slowik, J.G.; Rehbein, P.J.G.; Evans, G.J. Quantification of aerosol chemical composition using continuous single particle measurements. Atmos. Chem. Phys. 2011, 11, 7027–7044. [Google Scholar] [CrossRef]
- Huang, X.; Liu, Z.; Liu, J.; Hu, B.; Wen, T.; Tang, G.; Zhang, J.; Wu, F.; Ji, D.; Wang, L.; et al. Chemical characterization and source identification of PM2.5 at multiple sites in the Beijing–Tianjin–Hebei region, China. Atmos. Chem. Phys. 2017, 17, 12941–12962. [Google Scholar] [CrossRef]
- Li, J.; Anderson, J.R.; Buseck, P.R. TEM study of aerosol particles from clean and polluted marine boundary layers over the North Atlantic. J. Geophys. Res. Atmos. 2003, 108, 4189. [Google Scholar] [CrossRef]
- Gieré, R.; Blackford, M.; Smith, K. TEM study of PM2.5 emitted from coal and tire combustion in a thermal power station. Environ. Sci. Technol. 2006, 40, 6235–6240. [Google Scholar] [CrossRef] [PubMed]
- Ginoux, P.; Chin, M.; Tegen, I.; Prospero, J.M.; Holben, B.; Dubovik, O.; Lin, S.-J. Sources and distributions of dust aerosols simulated with the GOCART model. J. Geophys. Res. Atmos. 2001, 106, 20255–20273. [Google Scholar] [CrossRef]
- Huneeus, N.; Chevallier, F.; Boucher, O. Estimating aerosol emissions by assimilating observed aerosol optical depth in a global aerosol model. Atmos. Chem. Phys. 2015, 12, 4585–4606. [Google Scholar] [CrossRef]
- Lanzaco, B.L.; Olcese, L.E.; Palancar, G.G.; Toselli, B.M. An Improved Aerosol Optical Depth Map Based on Machine-Learning and MODIS Data: Development and Application in South America. Aerosol Air Qual. Res. 2017, 17, 1623–1636. [Google Scholar] [CrossRef]
- Zhan, Y.; Luo, Y.; Deng, X.; Chen, H.; Grieneisen, M.L.; Shen, X.; Zhu, L.; Zhang, M. Spatiotemporal prediction of continuous daily PM2.5 concentrations across China using a spatially explicit machine learning algorithm. Atmos. Environ. 2017, 155, 129–139. [Google Scholar] [CrossRef]
- Sun, Y.; Zeng, Q.; Geng, B.; Lin, X.; Sude, B.; Chen, L. Deep learning architecture for estimating hourly ground-level PM2.5 using satellite remote sensing. IEEE Geosci. Remote Sens. Lett. 2019, 16, 1343–1347. [Google Scholar] [CrossRef]
- Huttunen, J.; Kokkola, H.; Mielonen, T.; Mononen, M.E.J.; Lipponen, A.; Reunanen, J.; Lindfors, A.V.; Mikkonen, S.; Lehtinen, K.E.J.; Kouremeti, N.; et al. Retrieval of aerosol optical depth from surface solar radiation measurements using machine learning algorithms, non-linear regression and a radiative transfer-based look-up table. Atmos. Chem. Phys. 2016, 16, 8181–8191. [Google Scholar] [CrossRef]
- Chen, G.; Li, S.; Knibbs, L.D.; Hamm, N.A.S.; Cao, W.; Li, T.; Guo, J.; Ren, H.; Abramson, M.J.; Guo, Y. A machine learning method to estimate PM2.5 concentrations across China with remote sensing, meteorological and land use information. Sci. Total Environ. 2018, 636, 52–60. [Google Scholar] [CrossRef] [PubMed]
- Xin, J.; Wang, Y.; Pan, Y.; Ji, D.; Liu, Z.; Wen, T.; Wang, Y.; Li, X.; Sun, Y.; Sun, J.; et al. The campaign on atmospheric aerosol research network of China: CARE-China. Bull. Am. Meteorol. Soc. 2015, 96, 1137–1155. [Google Scholar] [CrossRef]
- Zhang, J.K.; Sun, Y.; Liu, Z.R.; Ji, D.S.; Hu, B.; Liu, Q.; Wang, Y.S. Characterization of submicron aerosols during a month of serious pollution in Beijing, 2013. Atmos. Chem. Phys. 2014, 14, 2887–2903. [Google Scholar] [CrossRef]
- Khan, J.Z.; Sun, L.; Tian, Y.; Shi, G.; Feng, Y. Chemical characterization and source apportionment of PM1 and PM2.5 in Tianjin, China: Impacts of biomass burning and primary biogenic sources. J. Environ. Sci. 2021, 99, 196–209. [Google Scholar] [CrossRef] [PubMed]
- Bilal, M.; Nazeer, M.; Nichol, J.; Qiu, Z.; Wang, L.; Bleiweiss, M.P.; Shen, X.; Campbell, J.R.; Lolli, S. Evaluation of terra-MODIS C6 and C6.1 aerosol products against Beijing, XiangHe, and Xinglong AERONET sites in China during 2004-2014. Remote Sens. 2019, 11, 486. [Google Scholar] [CrossRef]
- Jiao, D.; Xu, N.; Yang, F.; Xu, K. Evaluation of spatial-temporal variation performance of ERA5 precipitation data in China. Sci. Rep. 2021, 11, 17956. [Google Scholar] [CrossRef]
- Kaskaoutis, D.G.; Grivas, G.; Stavroulas, I.; Liakakou, E.; Dumka, U.C.; Dimitriou, K.; Gerasopoulos, E.; Mihalopoulos, N. In situ identification of aerosol types in Athens, Greece, based on long-term optical and on online chemical characterization. Atmos. Environ. 2021, 246, 118070. [Google Scholar] [CrossRef]
- Kong, L.; Xin, J.; Gao, W.; Tang, G.; Wang, X.; Wang, Y.; Zhang, W.; Chen, W.; Jia, S. A comprehensive evaluation of aerosol extinction apportionment in Beijing using a high-resolution time-of-flight aerosol mass spectrometer. Sci. Total Environ. 2021, 783, 146976. [Google Scholar] [CrossRef]
- Ji, D.; Li, L.; Wang, Y.; Zhang, J.; Cheng, M.; Sun, Y.; Liu, Z.; Wang, L.; Tang, G.; Hu, B.; et al. The heaviest particulate air-pollution episodes occurred in northern China in January, 2013: Insights gained from observation. Atmos. Environ. 2014, 92, 546–556. [Google Scholar] [CrossRef]
- Ausati, S.; Amanollahi, J. Assessing the accuracy of ANFIS, EEMD-GRNN, PCR, and MLR models in predicting PM2.5. Atmos. Environ. 2016, 142, 465–474. [Google Scholar] [CrossRef]
- Hamidi, S.K.; Zenner, E.K.; Bayat, M.; Fallah, A. Analysis of plot-level volume increment models developed from machine learning methods applied to an uneven-aged mixed forest. Ann. For. Sci. 2021, 78, 4. [Google Scholar] [CrossRef]
- Hu, X.; Belle, J.H.; Meng, X.; Wildani, A.; Waller, L.A.; Strickland, M.J.; Liu, Y. Estimating PM2.5 concentrations in the conterminous United States using the random forest approach. Environ. Sci. Technol. 2017, 51, 6936–6944. [Google Scholar] [CrossRef] [PubMed]
- Huang, K.; Xiao, Q.; Meng, X.; Geng, G.; Wang, Y.; Lyapustin, A.; Gu, D.; Liu, Y. Predicting monthly high-resolution PM2.5 concentrations with random forest model in the North China Plain. Environ. Pollut. 2018, 242, 675–683. [Google Scholar] [CrossRef]
- Thanh Noi, P.; Kappas, M. Comparison of random forest, k-nearest neighbor, and support vector machine classifiers for land cover classification using Sentinel-2 imagery. Sensors 2017, 18, 18. [Google Scholar] [CrossRef] [PubMed]
- Zhuang, Z.; Zhang, H.; Chan, P.W.; Tai, H.; Deng, Z. A Machine Learning-Based Model for Flight Turbulence Identification Using LiDAR Data. Atmosphere 2023, 14, 797. [Google Scholar] [CrossRef]
- Li, K.; Li, L.; Hu, A.; Pan, J.; Ma, Y.; Zhang, M. Research on Modeling Weighted Average Temperature Based on the Machine Learning Algorithms. Atmosphere 2023, 14, 1251. [Google Scholar] [CrossRef]
- Huang, R.J.; Zhang, Y.; Bozzetti, C.; Ho, K.-F.; Cao, J.-J.; Han, Y.; Daellenbach, K.R.; Slowik, J.G.; Platt, S.M.; Canonaco, F.; et al. High secondary aerosol contribution to particulate pollution during haze events in China. Nature 2014, 514, 218–222. [Google Scholar] [CrossRef] [PubMed]
- Fadil, I.; Helmiawan, M.A.; Sofiyan, Y. Optimization parameters support vector regression using grid search method. In Proceedings of the 9th International Conference on Cyber and IT Service Management (CITSM), Bengkulu, Indonesia, 22–23 September 2021; IEEE: NewYork, NY, USA, 2021. [Google Scholar]
- Gao, Z.M.; Zhao, J. An improved grey wolf optimization algorithm with variable weights. Comput. Intell. Neurosci. 2019, 2019, 2981282. [Google Scholar] [CrossRef] [PubMed]
- Zhang, Y.; Li, Z.; Sun, Y.; Lv, Y.; Xie, Y. Estimation of atmospheric columnar organic matter (OM) mass concentration from remote sensing measurements of aerosol spectral refractive indices. Atmos. Environ. 2018, 179, 107–117. [Google Scholar] [CrossRef]
- Xie, Y.S.; Li, Z.Q.; Zhang, Y.X.; Zhang, Y.; Li, D.H.; Li, K.T.; Xu, H.; Zhang, Y.; Wang, Y.Q.; Chen, X.F.; et al. Estimation of atmospheric aerosol composition from ground-based remote sensing measurements of Sun-sky radiometer. J. Geophys. Res. Atmos. 2017, 122, 498–518. [Google Scholar] [CrossRef]
- Van Beelen, A.J.; Roelofs, G.J.H.; Hasekamp, O.P.; Henzing, J.S.; Röckmann, T. Estimation of aerosol water and chemical composition from AERONET Sun–sky radiometer measurements at Cabauw, the Netherlands. Atmos. Chem. Phys. 2014, 14, 5969–5987. [Google Scholar] [CrossRef]






| ORG | SO42− | NH4+ | NO3– | ||
|---|---|---|---|---|---|
| AOD | CC p | 0.70 0.0002 | 0.79 0.0000 | 0.82 0.0000 | 0.76 0.0000 |
| T2M | CC p | 0.13 0.02 | 0.21 0.003 | 0.24 0.001 | 0.24 0.001 |
| RH | CC p | 0.41 0.02 | 0.57 0.0008 | 0.50 0.0006 | 0.45 0.0001 |
| U10 | CC p | −0.27 0.09 | −0.20 0.9 | −0.25 0.08 | −0.26 0.08 |
| V10 | CC p | 0.31 0.05 | 0.28 0.03 | 0.33 0.0002 | 0.32 0.0003 |
| SP | CC p | −0.14 0.004 | −0.13 0.04 | −0.13 0.001 | −0.13 0.003 |
| BLH | CC p | −0.38 0.008 | −0.29 0.005 | −0.35 0.004 | −0.36 0.04 |
| Parameter | ORG | SO42− | NH4+ | NO3– | Scope of Optimization |
|---|---|---|---|---|---|
| SVR | |||||
| kernel | rbf | rbf | rbf | rbf | [‘linear’, ‘poly’, ‘rbf’, ‘sigmoid’] |
| gamma | 6.31 | 0.52 | 2.10 | 2.09 | [1 × 10−4, 1] |
| C | 0.73 | 1.31 | 0.72 | 0.74 | [1 × 10−2, 1 × 102] |
| RF | |||||
| n_estimators | 80 | 50 | 70 | 70 | [50, 1000] |
| max_depth | 10 | 11 | 10 | 12 | [5, 50] |
| min_samples_split | 9 | 3 | 2 | 3 | [2, 20] |
| min_samples_leaf | 1 | 2 | 2 | 1 | [1, 10] |
| max_features | 5 | 5 | 4 | 4 | [0.1, 1.0] |
| KNN | |||||
| n_neighbors | 3 | 5 | 3 | 3 | [1, 30] |
| weights | distance | distance | distance | distance | [‘uniform’, ‘distance’] |
| algorithm | auto | auto | auto | auto | [‘auto’, ‘ball_tree’, ‘kd_tree’, ‘brute’] |
| XGBoost | |||||
| objective | reg:squarederror | reg:squarederror | reg:squarederror | reg:squarederror | [‘reg:squarederror’, ‘reg:linear’, ‘reg:pseudohubererror’, ‘reg:logistic’] |
| learning_rate | 0.01 | 0.01 | 0.01 | 0.01 | [0.01, 0.3] |
| n_estimators | 350 | 340 | 355 | 390 | [50, 1000] |
| max_depth | 5 | 5 | 5 | 6 | [3, 10] |
| min_child_weight | 1 | 1 | 5 | 5 | [1, 10] |
| subsample | 0.6 | 0.9 | 0.7 | 0.7 | [0.5, 1.0] |
| colsample_bytree | 0.9 | 0.9 | 0.7 | 0.9 | [0.5, 1.0] |
| gamma | 0 | 0 | 0 | 0 | [0, 5] |
| LightGBM | |||||
| boosting_type | gdbt | gdbt | gdbt | gdbt | [‘gbdt’, ‘dart’, ‘goss’, ‘rf’] |
| objective | regression | regression | regression | regression | [‘regression’, ‘huber’, ‘fair’, ‘poisson’, ‘quantile’, ‘mape’, ‘gamma’, ‘tweedie’] |
| learning_rate | 0.01 | 0.01 | 0.01 | 0.01 | [0.01, 0.3] |
| n_estimators | 490 | 160 | 435 | 480 | [50, 1000] |
| max_depth | 8 | 8 | 8 | 8 | [−1, 15] |
| num_leaves | 19 | 18 | 20 | 28 | [20, 200] |
| max_bin | 125 | 55 | 175 | 65 | [25, 500] |
| feature_fraction | 0.7 | 0.6 | 0.6 | 0.6 | [0.5, 1.0] |
| bagging_fraction | 0.7 | 0.8 | 0.9 | 0.8 | [0.5, 1.0] |
| bagging_freq | 40 | 50 | 10 | 40 | [0, 100] |
| lambda_l1 | 0.1 | 0 | 0.1 | 0.001 | [0, 1] |
| lambda_l2 | 0.001 | 0 | 1 | 0.5 | [0, 1] |
| KNN | LGBM | MLR | RF | SVR | XGBoost | |
|---|---|---|---|---|---|---|
| oganics | y = 0.76x + 4.82 | y = 0.71x + 5.45 | y = 0.49x + 8.75 | y = 0.68x + 6.08 | y = 0.62x + 6.38 | y = 0.75x + 4.80 |
| (R2 = 0.75, p = 0.00) | (R2 = 0.75, p = 0.00) | (R2 = 0.53, p = 0.00) | (R2 = 0.74, p = 0.00) | (R2 = 0.68, p = 0.00) | (R2 = 0.75, p = 0.00) | |
| surfates | y = 0.70x + 1.81 | y = 0.59x + 3.36 | y = 0.63x + 2.39 | y = 0.67x + 2.15 | y = 0.67x + 2.15 | y = 0.73x + 1.93 |
| (R2 = 0.70, p = 0.00) | (R2 = 0.61, p = 0.00) | (R2 = 0.56, p = 0.00) | (R2 = 0.60, p = 0.00) | (R2 = 0.50, p = 0.00) | (R2 = 0.68, p = 0.00) | |
| ammonium | y = 0.86x + 0.61 | y = 0.71x + 1.30 | y = 0.68x + 1.42 | y = 0.74x + 1.19 | y = 0.79x + 1.38 | y = 0.75x + 1.25 |
| (R2 = 0.84, p = 0.00) | (R2 = 0.83, p = 0.00) | (R2 = 0.66, p = 0.00) | (R2 = 0.81, p = 0.00) | (R2 = 0.75, p = 0.00) | (R2 = 0.83, p = 0.00) | |
| nitrates | y = 0.82x + 1.54 | y = 0.74x + 2.07 | y = 0.59x + 3.00 | y = 0.75x + 2.20 | y = 0.74x + 2.86 | y = 0.81x + 1.77 |
| (R2 = 0.85, p = 0.00) | (R2 = 0.77, p = 0.00) | (R2 = 0.70, p = 0.00) | (R2 = 0.79, p = 0.00) | (R2 = 0.74, p = 0.00) | (R2 = 0.77, p = 0.00) |
| MLR | SVR | RF | KNN | XGBoost | LightGBM | ||
|---|---|---|---|---|---|---|---|
| Xianghe | |||||||
| organics | MAE R2 | 18.26 0.4 | 19.05 0.52 | 17.53 0.59 | 18.87 0.56 | 19.72 0.51 | 17.35 0.61 |
| sulfates | MAE R2 | 10.93 0.39 | 10.46 0.47 | 10.40 0.46 | 10.15 0.50 | 10.41 0.48 | 9.43 0.55 |
| ammonium | MAE R2 | 7.43 049 | 6.15 0.70 | 5.30 0.70 | 5.65 0.60 | 6.36 0.54 | 5.18 0.72 |
| nitrates | MAE R2 | 14.16 0.55 | 15.08 0.54 | 12.57 0.61 | 12.63 0.61 | 15.13 0.58 | 14.07 0.73 |
| Xinglong | |||||||
| organics | MAE R2 | 25.05 0.34 | 24.73 0.37 | 24.23 0.41 | 24.50 0.38 | 24.98 0.35 | 24.19 0.52 |
| sulfates | MAE R2 | 13.83 0.29 | 13.24 0.32 | 12.97 0.37 | 12.68 0.33 | 13.49 0.31 | 11.93 0.42 |
| ammonium | MAE R2 | 7.21 0.35 | 6.86 0.40 | 6.60 0.42 | 6.55 0.51 | 6.89 0.40 | 5.39 0.62 |
| nitrates | MAE R2 | 17.41 0.39 | 17.82 0.37 | 16.55 0.46 | 17.05 0.45 | 17.76 0.35 | 17.65 0.37 |
| Stations | Organics | Sulfates | Ammonium | Nitrates | |
|---|---|---|---|---|---|
| Beijing | MAE R2 | 13.08 0.84 | 7.87 0.69 | 4.65 0.86 | 9.93 0.85 |
| Xianghe | MAE R2 | 17.23 0.63 | 10.17 0.54 | 5.47 0.72 | 13.13 0.73 |
| Xinglong | MAE R2 | 24.05 0.52 | 12.58 0.40 | 5.71 0.62 | 16.64 0.40 |
Disclaimer/Publisher’s Note: The statements, opinions and data contained in all publications are solely those of the individual author(s) and contributor(s) and not of MDPI and/or the editor(s). MDPI and/or the editor(s) disclaim responsibility for any injury to people or property resulting from any ideas, methods, instructions or products referred to in the content. |
© 2025 by the authors. Licensee MDPI, Basel, Switzerland. This article is an open access article distributed under the terms and conditions of the Creative Commons Attribution (CC BY) license (https://creativecommons.org/licenses/by/4.0/).
Share and Cite
Li, B.; Cheng, G.; Shang, C.; Si, R.; Shao, Z.; Zhang, P.; Zhang, W.; Kong, L. Inversion of Aerosol Chemical Composition in the Beijing–Tianjin–Hebei Region Using a Machine Learning Algorithm. Atmosphere 2025, 16, 114. https://doi.org/10.3390/atmos16020114
Li B, Cheng G, Shang C, Si R, Shao Z, Zhang P, Zhang W, Kong L. Inversion of Aerosol Chemical Composition in the Beijing–Tianjin–Hebei Region Using a Machine Learning Algorithm. Atmosphere. 2025; 16(2):114. https://doi.org/10.3390/atmos16020114
Chicago/Turabian StyleLi, Baojiang, Gang Cheng, Chunlin Shang, Ruirui Si, Zhenping Shao, Pu Zhang, Wenyu Zhang, and Lingbin Kong. 2025. "Inversion of Aerosol Chemical Composition in the Beijing–Tianjin–Hebei Region Using a Machine Learning Algorithm" Atmosphere 16, no. 2: 114. https://doi.org/10.3390/atmos16020114
APA StyleLi, B., Cheng, G., Shang, C., Si, R., Shao, Z., Zhang, P., Zhang, W., & Kong, L. (2025). Inversion of Aerosol Chemical Composition in the Beijing–Tianjin–Hebei Region Using a Machine Learning Algorithm. Atmosphere, 16(2), 114. https://doi.org/10.3390/atmos16020114

