Climate Impact on the Seasonal and Interannual Variation in NDVI and GPP in Mongolia
Abstract
1. Introduction
2. Data and Methodology
2.1. Study Region
2.2. Datasets
2.3. Climate Indices and Their Relationship with NDVI and GPP
3. Results
3.1. Changes in Annual Mean Values
3.2. Changes in Monthly Mean Values
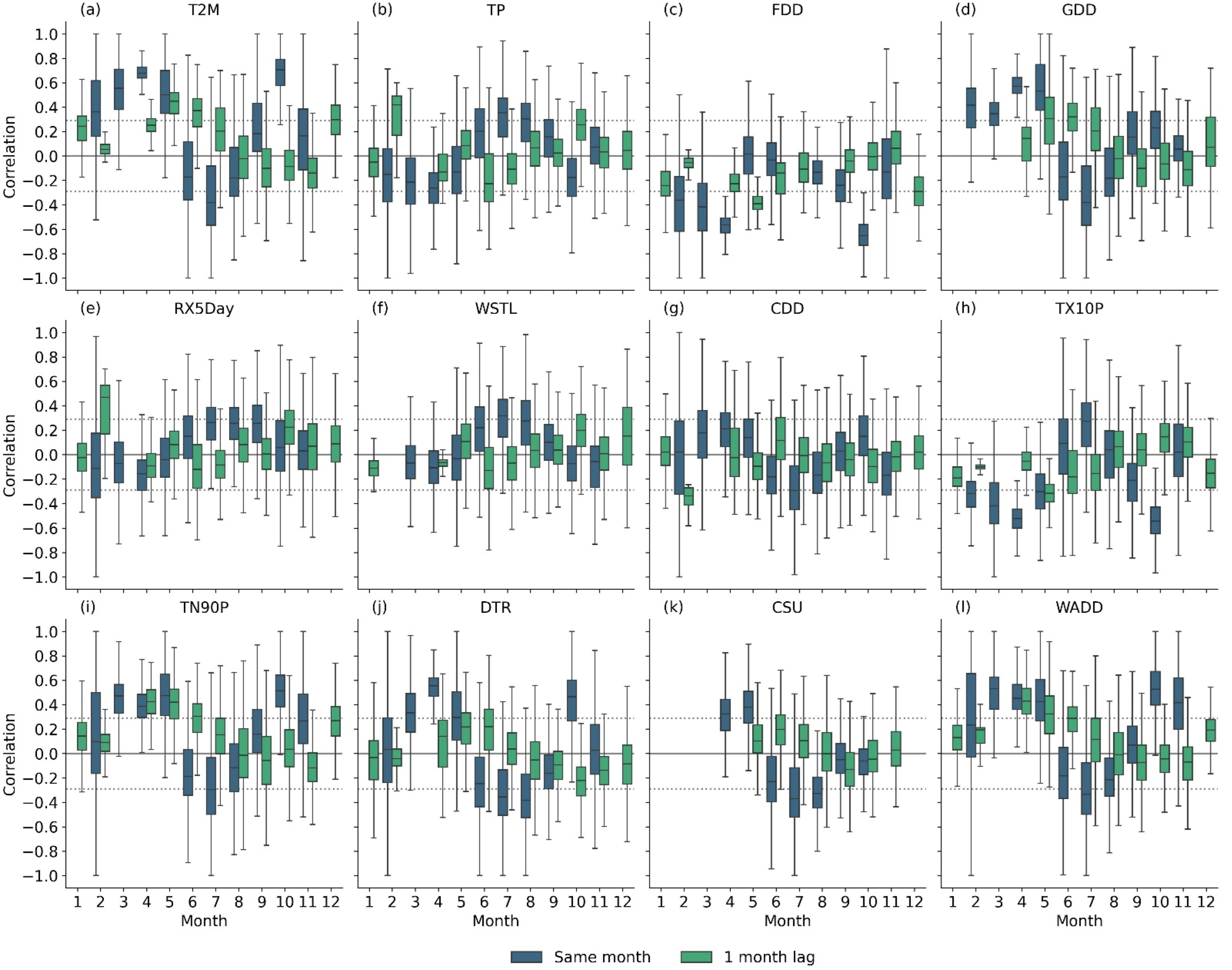
3.3. Relationship Between NDVI and Different Climate Indices
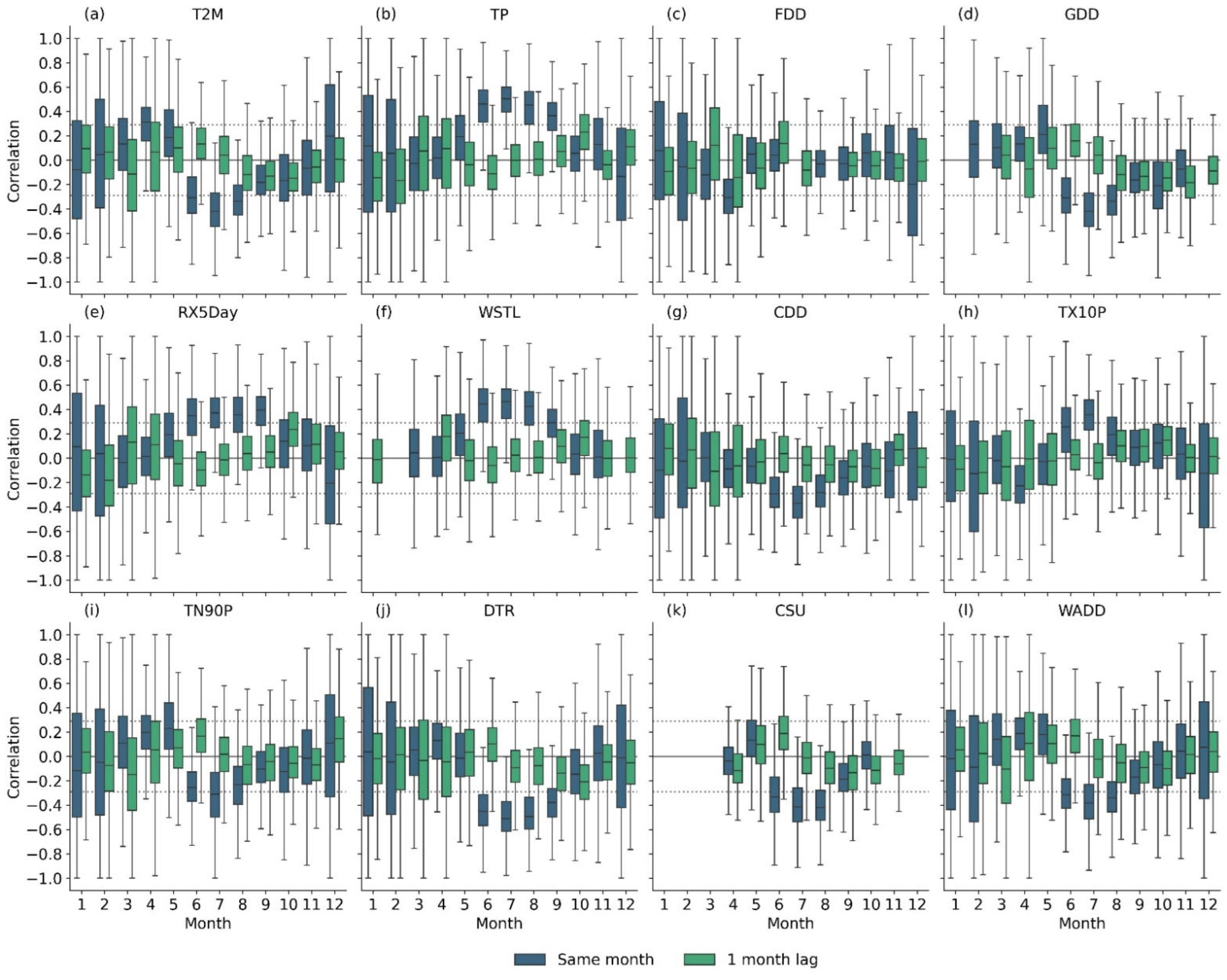
3.4. Relationship Between GPP and Different Climate Indices
4. Discussion
5. Conclusions
Author Contributions
Funding
Institutional Review Board Statement
Informed Consent Statement
Data Availability Statement
Acknowledgments
Conflicts of Interest
Abbreviations
| CDD | Consecutive dry days |
| CSU | Consecutive summer days |
| DTR | Mean daily temperature range |
| FDD | Freezing degree days |
| GDD | Growing degree days |
| GPP | Gross Primary Productivity |
| MODIS | Moderate Resolution Imaging Spectroradiometer |
| NDVI | Normalized Difference Vegetation Index |
| RX5Day | The highest precipitation amount over 5 days |
| T2M | Mean air temperature at 2 m |
| TN90P | Days with very warm nights |
| TP | Total precipitation |
| TX10P | Very cold days |
| WADD | Number of warm and dry days |
| WSTL | Wet spell total length |
References
- MacDougall, A.S.; Esch, E.; Chen, Q.; Carroll, O.; Bonner, C.; Ohlert, T.; Siewert, M.; Sulik, J.; Schweiger, A.K.; Borer, E.T.; et al. Widening Global Variability in Grassland Biomass since the 1980s. Nat. Ecol. Evol. 2024, 8, 1877–1888. [Google Scholar] [CrossRef]
- Bao, G.; Qin, Z.; Bao, Y.; Zhou, Y.; Li, W.; Sanjjav, A. NDVI-Based Long-Term Vegetation Dynamics and Its Response to Climatic Change in the Mongolian Plateau. Remote Sens. 2014, 6, 8337–8358. [Google Scholar] [CrossRef]
- Bao, G.; Bao, Y.; Sanjjava, A.; Qin, Z.; Zhou, Y.; Xu, G. NDVI-Indicated Long-Term Vegetation Dynamics in Mongolia and Their Response to Climate Change at Biome Scale. Int. J. Climatol. 2015, 35, 4293–4306. [Google Scholar] [CrossRef]
- Wang, H.; Chen, A.; Wang, Q.; He, B. Drought Dynamics and Impacts on Vegetation in China from 1982 to 2011. Ecol. Eng. 2015, 75, 303–307. [Google Scholar] [CrossRef]
- Nanzad, L.; Zhang, J.; Tuvdendorj, B.; Nabil, M.; Zhang, S.; Bai, Y. NDVI Anomaly for Drought Monitoring and Its Correlation with Climate Factors over Mongolia from 2000 to 2016. J. Arid Environ. 2019, 164, 69–77. [Google Scholar] [CrossRef]
- Eckert, S.; Hüsler, F.; Liniger, H.; Hodel, E. Trend Analysis of MODIS NDVI Time Series for Detecting Land Degradation and Regeneration in Mongolia. J. Arid Environ. 2015, 113, 16–28. [Google Scholar] [CrossRef]
- Enebish, B.; Dashkhuu, D.; Renchin, M.; Russell, M.; Singh, P. Impact of Climate on the NDVI of Northern Mongolia. J. Indian Soc. Remote Sens. 2020, 48, 333–340. [Google Scholar] [CrossRef]
- Hilker, T.; Natsagdorj, E.; Waring, R.H.; Lyapustin, A.; Wang, Y. Satellite Observed Widespread Decline in Mongolian Grasslands Largely Due to Overgrazing. Glob. Change Biol. 2014, 20, 418–428. [Google Scholar] [CrossRef] [PubMed]
- Meng, X.; Gao, X.; Li, S.; Lei, J. Spatial and Temporal Characteristics of Vegetation NDVI Changes and the Driving Forces in Mongolia during 1982–2015. Remote Sens. 2020, 12, 603. [Google Scholar] [CrossRef]
- Miao, L.; Sun, Z.; Ren, Y.; Schierhorn, F.; Müller, D. Grassland Greening on the Mongolian Plateau despite Higher Grazing Intensity. Land Degrad. Dev. 2021, 32, 792–802. [Google Scholar] [CrossRef]
- Vandandorj, S.; Gantsetseg, B.; Boldgiv, B. Spatial and Temporal Variability in Vegetation Cover of Mongolia and Its Implications. J. Arid Land 2015, 7, 450–461. [Google Scholar] [CrossRef]
- Barman, R.; Jain, A.K.; Liang, M. Climate-Driven Uncertainties in Modeling Terrestrial Gross Primary Production: A Site Level to Global-Scale Analysis. Glob. Change Biol. 2014, 20, 1394–1411. [Google Scholar] [CrossRef]
- Meng, F.; Luo, M.; Wang, Y.; Sa, C.; Bao, S.; Bao, Y.; Liu, T. Revisiting the Main Driving Factors Influencing the Dynamics of Gross Primary Productivity in the Mongolian Plateau. Agric. For. Meteorol. 2023, 341, 109689. [Google Scholar] [CrossRef]
- Sun, Z.; Wang, X.; Yamamoto, H.; Tani, H.; Zhong, G.; Yin, S.; Guo, E. Spatial Pattern of GPP Variations in Terrestrial Ecosystems and Its Drivers: Climatic Factors, CO2 Concentration and Land-Cover Change, 1982–2015. Ecol. Inform. 2018, 46, 156–165. [Google Scholar] [CrossRef]
- Bao, G.; Tuya, A.; Bayarsaikhan, S.; Dorjsuren, A.; Mandakh, U.; Bao, Y.; Li, C.; Vanchindorj, B. Variations and Climate Constraints of Terrestrial Net Primary Productivity over Mongolia. Quat. Int. 2020, 537, 112–125. [Google Scholar] [CrossRef]
- Zhao, X.; Luo, M.; Meng, F.; Sa, C.; Bao, S.; Bao, Y. Spatiotemporal Changes of Gross Primary Productivity and Its Response to Drought in the Mongolian Plateau under Climate Change. J. Arid Land 2024, 16, 46–70. [Google Scholar] [CrossRef]
- Bai, Y.; Liu, M.; Guo, Q.; Wu, G.; Wang, W.; Li, S. Diverse Responses of Gross Primary Production and Leaf Area Index to Drought on the Mongolian Plateau. Sci. Total Environ. 2023, 902, 166507. [Google Scholar] [CrossRef] [PubMed]
- Yembuu, B. General Geographical Characteristics of Mongolia. In The Physical Geography of Mongolia; Yembuu, B., Ed.; Springer International Publishing: Cham, Switzerland, 2021; pp. 1–8. ISBN 978-3-030-61434-8. [Google Scholar]
- Beck, H.E.; McVicar, T.R.; Vergopolan, N.; Berg, A.; Lutsko, N.J.; Dufour, A.; Zeng, Z.; Jiang, X.; van Dijk, A.I.J.M.; Miralles, D.G. High-Resolution (1 Km) Köppen-Geiger Maps for 1901–2099 Based on Constrained CMIP6 Projections. Sci. Data 2023, 10, 724. [Google Scholar] [CrossRef]
- Morinaga, Y.; Tian, S.-F.; Shinoda, M. Winter Snow Anomaly and Atmospheric Circulation in Mongolia. Int. J. Climatol. 2003, 23, 1627–1636. [Google Scholar] [CrossRef]
- Ministry of Environment and Tourism of Mongolia. Fourth National Communication of Mongolia; Ministry of Environment and Tourism of Mongolia: Ulaanbaatar, Mongolia, 2024; p. 493.
- Han, J.; Dai, H.; Gu, Z. Sandstorms and Desertification in Mongolia, an Example of Future Climate Events: A Review. Environ. Chem. Lett. 2021, 19, 4063–4073. [Google Scholar] [CrossRef]
- Didan, K. MODIS/Terra Vegetation Indices 16-Day L3 Global 1km SIN Grid. V061. NASA Land Processes Distributed Active Archive Center. 2021. Available online: https://www.earthdata.nasa.gov/data/catalog/lpcloud-mod13a2-061 (accessed on 17 November 2025).
- Running, S.; Zhao, M. MODIS/Terra Gross Primary Productivity Gap-Filled 8-Day L4 Global 500m SIN Grid. V061. NASA Land Processes Distributed Active Archive Center. 2021. Available online: https://www.earthdata.nasa.gov/data/catalog/lpcloud-mod17a2hgf-061 (accessed on 17 November 2025).
- Muñoz-Sabater, J. ERA5-Land Hourly Data from 1950 to Present. Copernicus Climate Change Service (C3S) Climate Data Store (CDS). 2025. Available online: https://cds.climate.copernicus.eu/datasets/reanalysis-era5-land?tab=overview (accessed on 17 November 2025).
- Muñoz-Sabater, J.; Dutra, E.; Agustí-Panareda, A.; Albergel, C.; Arduini, G.; Balsamo, G.; Boussetta, S.; Choulga, M.; Harrigan, S.; Hersbach, H.; et al. ERA5-Land: A State-of-the-Art Global Reanalysis Dataset for Land Applications. Earth Syst. Sci. Data 2021, 13, 4349–4383. [Google Scholar] [CrossRef]
- Zhao, P.; He, Z. A First Evaluation of ERA5-Land Reanalysis Temperature Product Over the Chinese Qilian Mountains. Front. Earth Sci. 2022, 10, 907730. [Google Scholar] [CrossRef]
- Xin, Y.; Yang, Y.; Chen, X.; Yue, X.; Liu, Y.; Yin, C. Evaluation of IMERG and ERA5 Precipitation Products over the Mongolian Plateau. Sci. Rep. 2022, 12, 21776. [Google Scholar] [CrossRef]
- Clelland, A.A.; Marshall, G.J.; Baxter, R. Evaluating the Performance of Key ERA-Interim, ERA5 and ERA5-Land Climate Variables across Siberia. Int. J. Climatol. 2024, 44, 2318–2342. [Google Scholar] [CrossRef]
- Alexander, L.V.; Zhang, X.; Peterson, T.C.; Caesar, J.; Gleason, B.; Klein Tank, A.M.G.; Haylock, M.; Collins, D.; Trewin, B.; Rahimzadeh, F.; et al. Global Observed Changes in Daily Climate Extremes of Temperature and Precipitation. J. Geophys. Res. Atmos. 2006, 111, D05109. [Google Scholar] [CrossRef]
- Klein Tank, A.M.G.; Zwiers, F.W.; Zhang, X. Guidelines on Analysis of Extremes in a Changing Climate in Support of Informed Decisions for Adaptation; World Meteorological Organization (WMO) WMO/TD-No. 1500: Geneva, Switzerland, 2009. [Google Scholar]
- Taddei, R. Maximum Value Interpolated (MVI): A Maximum Value Composite Method Improvement in Vegetation Index Profiles Analysis. Int. J. Remote Sens. 1997, 18, 2365–2370. [Google Scholar] [CrossRef]
- Munkhjargal, E.; Shinoda, M.; Iijima, Y.; Nandintseteseg, B. Recently Increased Cold Air Outbreaks over Mongolia and Their Specific Synoptic Pattern. Int. J. Climatol. 2020, 40, 5502–5514. [Google Scholar] [CrossRef]
- Kusch, E.; Davy, R.; Seddon, A.W.R. Vegetation-Memory Effects and Their Association with Vegetation Resilience in Global Drylands. J. Ecol. 2022, 110, 1561–1574. [Google Scholar] [CrossRef]
- Liu, H.; Zhang, A.; Liu, C.; Zhao, Y.; Zhao, A.; Wang, D. Analysis of the Time-Lag Effects of Climate Factors on Grassland Productivity in Inner Mongolia. Glob. Ecol. Conserv. 2021, 30, e01751. [Google Scholar] [CrossRef]
- Wen, Y.; Liu, X.; Xin, Q.; Wu, J.; Xu, X.; Pei, F.; Li, X.; Du, G.; Cai, Y.; Lin, K.; et al. Cumulative Effects of Climatic Factors on Terrestrial Vegetation Growth. J. Geophys. Res. Biogeosci. 2019, 124, 789–806. [Google Scholar] [CrossRef]
- Natsagdorj, L.; Dulamsuren, J. Some Aspect of Assessment of the Dzud Phenomena. Pap. Inst. Meteorol. Hydrol. 2001, 23, 3–18. [Google Scholar]
- Cortés, J.; Mahecha, M.; Reichstein, M.; Brenning, A. Accounting for Multiple Testing in the Analysis of Spatio-Temporal Environmental Data. Environ. Ecol. Stat. 2020, 27, 293–318. [Google Scholar] [CrossRef]
- Li, C.; Li, L.; Wu, X.; Tsunekawa, A.; Wei, Y.; Liu, Y.; Peng, L.; Chen, J.; Bai, K. Increasing Precipitation Promoted Vegetation Growth in the Mongolian Plateau during 2001–2018. Front. Environ. Sci. 2023, 11, 1153601. [Google Scholar] [CrossRef]
- Jiang, L.; Guli, J.; Bao, A.; Guo, H.; Ndayisaba, F. Vegetation Dynamics and Responses to Climate Change and Human Activities in Central Asia. Sci. Total Environ. 2017, 599–600, 967–980. [Google Scholar] [CrossRef]
- Grossiord, C.; Buckley, T.N.; Cernusak, L.A.; Novick, K.A.; Poulter, B.; Siegwolf, R.T.W.; Sperry, J.S.; McDowell, N.G. Plant Responses to Rising Vapor Pressure Deficit. New Phytol. 2020, 226, 1550–1566. [Google Scholar] [CrossRef] [PubMed]
- Pan, S.; Pan, N.; Tian, H.; Friedlingstein, P.; Sitch, S.; Shi, H.; Arora, V.K.; Haverd, V.; Jain, A.K.; Kato, E.; et al. Evaluation of Global Terrestrial Evapotranspiration Using State-of-the-Art Approaches in Remote Sensing, Machine Learning and Land Surface Modeling. Hydrol. Earth Syst. Sci. 2020, 24, 1485–1509. [Google Scholar] [CrossRef]
- Chen, X.; Tao, X.; Yang, Y. Distribution and Attribution of Gross Primary Productivity Increase Over the Mongolian Plateau, 2001–2018. IEEE Access 2022, 10, 25125–25134. [Google Scholar] [CrossRef]
- Bao, G.; Chen, J.; Chopping, M.; Bao, Y.; Bayarsaikhan, S.; Dorjsuren, A.; Tuya, A.; Jirigala, B.; Qin, Z. Dynamics of Net Primary Productivity on the Mongolian Plateau: Joint Regulations of Phenology and Drought. Int. J. Appl. Earth Obs. Geoinf. 2019, 81, 85–97. [Google Scholar] [CrossRef]
- Lin, C.; Dugarsuren, N. Deriving the Spatiotemporal NPP Pattern in Terrestrial Ecosystems of Mongolia Using MODIS Imagery. Photogramm. Eng. Remote Sens. 2015, 81, 587–598. [Google Scholar] [CrossRef]
- Gong, H.; Wang, G.; Fan, C.; Zhuo, X.; Sha, L.; Kuang, Z.; Bi, J.; Cheng, T. Temporal Accumulation and Lag Effects of Precipitation on Carbon Fluxes in Terrestrial Ecosystems across Semi-Arid Regions in China. Agric. For. Meteorol. 2024, 356, 110189. [Google Scholar] [CrossRef]
- Wei, X.; He, W.; Zhou, Y.; Ju, W.; Xiao, J.; Li, X.; Liu, Y.; Xu, S.; Bi, W.; Zhang, X.; et al. Global Assessment of Lagged and Cumulative Effects of Drought on Grassland Gross Primary Production. Ecol. Indic. 2022, 136, 108646. [Google Scholar] [CrossRef]
- Li, C.; Liu, Y.; Zhu, T.; Zhou, M.; Dou, T.; Liu, L.; Wu, X. Considering Time-Lag Effects Can Improve the Accuracy of NPP Simulation Using a Light Use Efficiency Model. J. Geogr. Sci. 2023, 33, 961–979. [Google Scholar] [CrossRef]






| Climate Index | Abbreviation | Description |
|---|---|---|
| Freezing degree days | FDD | Cumulative sum of temperature degrees for the mean daily temperature below 0 °C |
| Growing degree days | GDD | Cumulative sum of temperature degrees for the mean daily temperature above 5 °C |
| The highest precipitation amount over 5 days | RX5Day | The highest precipitation amount accumulated over a 5-day moving window |
| Consecutive summer days | CSU | Maximum number of consecutive days with maximum daily temperature above 25 °C |
| Number of warm and dry days | WADD | Number of days where the mean temperature is above the 75th percentile and precipitation is below the 25th percentile |
| Mean daily temperature range | DTR | Mean diurnal temperature range |
| Consecutive dry days | CDD | Maximum number of consecutive dry days (total precipitation < 1 mm) |
| Wet spell total length | WSTL | Total number of days in wet periods. The total precipitation amount has to be >10 mm, and the duration of the wet spell has to be ≥3 days |
| Days with very warm nights | TN90P | Number of days with daily minimum temperature over the 90th percentile |
| Very cold days | TX10P | Number of days with daily maximum temperature below the 10th percentile |
| Dataset | Variables | Spatial Resolution | Temporal Resolution |
|---|---|---|---|
| MOD13A2 (version 6.1) | Normalized Difference Vegetation Index (NDVI) | 1 km | 16 day composite (from 18 February 2000) |
| MOD17A2HG (version 6.1) | Gross Primary Production (GPP) | 500 m | 8 days composite (from 1 January 2000) |
| ERA5 Land Reanalysis | Mean, min, and max temperature, precipitation | 0.1° × 0.1° | Hourly (2000–2024) |
Disclaimer/Publisher’s Note: The statements, opinions and data contained in all publications are solely those of the individual author(s) and contributor(s) and not of MDPI and/or the editor(s). MDPI and/or the editor(s) disclaim responsibility for any injury to people or property resulting from any ideas, methods, instructions or products referred to in the content. |
© 2025 by the authors. Licensee MDPI, Basel, Switzerland. This article is an open access article distributed under the terms and conditions of the Creative Commons Attribution (CC BY) license (https://creativecommons.org/licenses/by/4.0/).
Share and Cite
Kilpys, J.; Rimkus, E.; Byambasuren, O.; Lkhamjav, J.; Soyol-Erdene, T.-O. Climate Impact on the Seasonal and Interannual Variation in NDVI and GPP in Mongolia. Atmosphere 2025, 16, 1307. https://doi.org/10.3390/atmos16111307
Kilpys J, Rimkus E, Byambasuren O, Lkhamjav J, Soyol-Erdene T-O. Climate Impact on the Seasonal and Interannual Variation in NDVI and GPP in Mongolia. Atmosphere. 2025; 16(11):1307. https://doi.org/10.3390/atmos16111307
Chicago/Turabian StyleKilpys, Justinas, Egidijus Rimkus, Oyunsanaa Byambasuren, Jambajamts Lkhamjav, and Tseren-Ochir Soyol-Erdene. 2025. "Climate Impact on the Seasonal and Interannual Variation in NDVI and GPP in Mongolia" Atmosphere 16, no. 11: 1307. https://doi.org/10.3390/atmos16111307
APA StyleKilpys, J., Rimkus, E., Byambasuren, O., Lkhamjav, J., & Soyol-Erdene, T.-O. (2025). Climate Impact on the Seasonal and Interannual Variation in NDVI and GPP in Mongolia. Atmosphere, 16(11), 1307. https://doi.org/10.3390/atmos16111307

