Raindrop Size Distribution Characteristics for Typhoons over the Coast in Eastern China
Abstract
1. Introduction
2. Materials and Methods
2.1. Instruments and Datasets
2.2. Methods
3. Results
3.1. Overview of Typhoons
3.2. Distribution of Dm and Nw
3.3. Composite Raindrop Spectra
3.4. µ-Λ Relationship
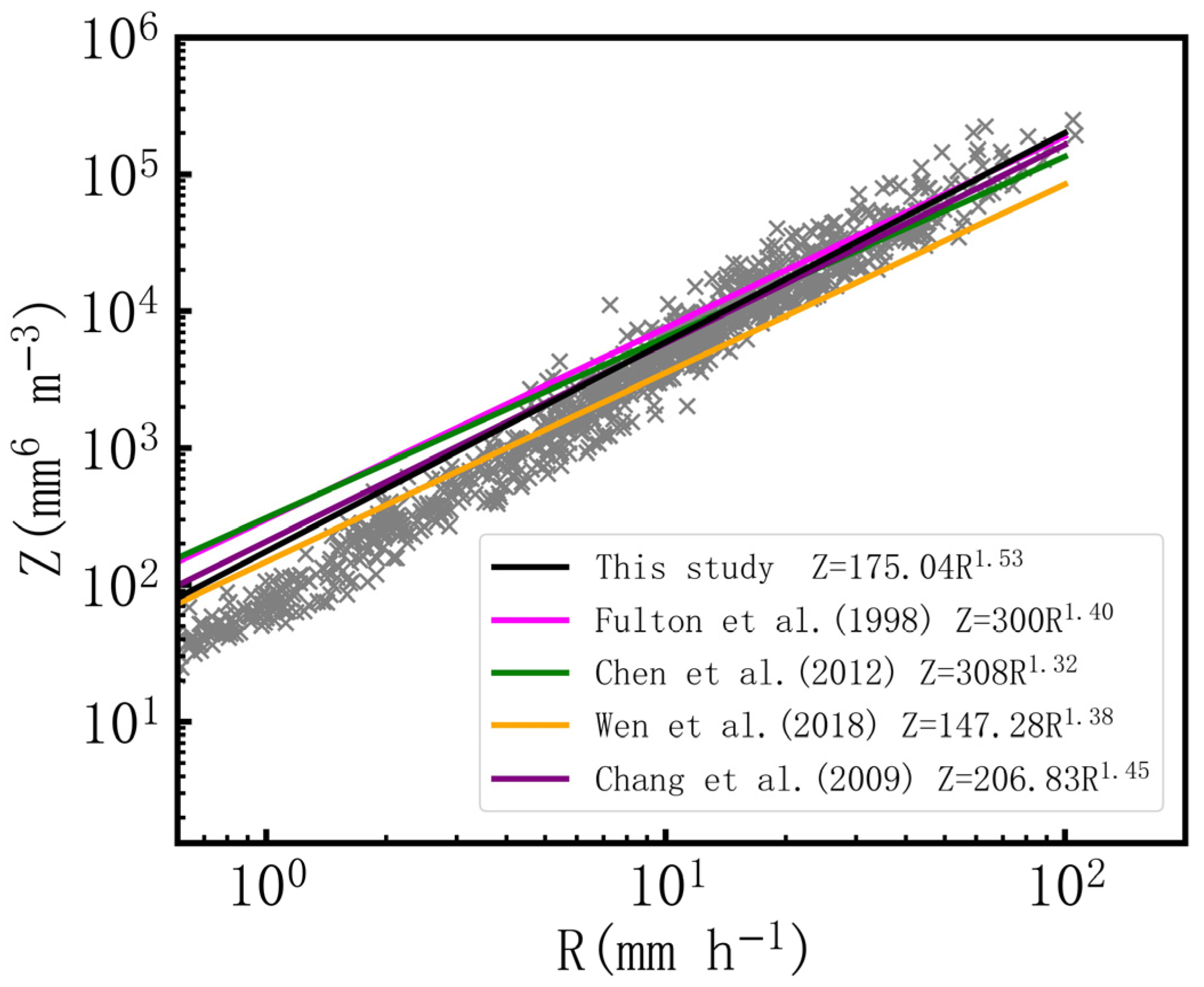
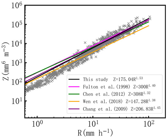
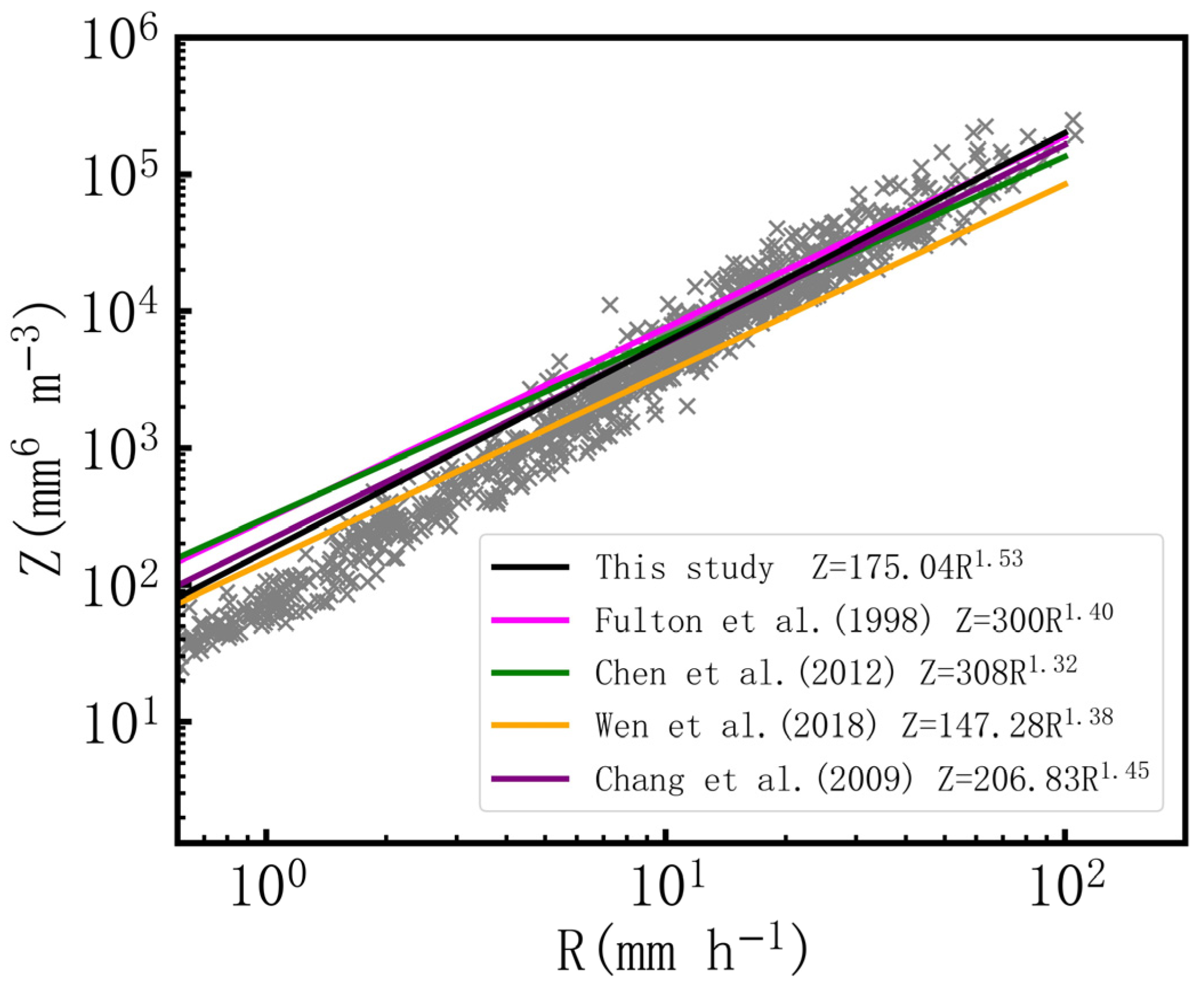
3.5. Z-R Relationship
4. Conclusions and Discussions
- (1)
- Across all rainfall types, including stratiform and convective rainfall, log10Nw shows negative skewness, while Dm shows positive skewness. The average Dm for the whole rainfall is 1.43 mm, with an average log10Nw of 3.42. These values are larger than those found in stratiform rainfall (Dm = 1.33 mm, log10Nw = 3.33) but smaller than those observed in convective rainfall (Dm = 1.99 mm, log10Nw = 3.58). Compared to other regions, eastern coastal China experiences typhoon rainfall with lower concentrations and larger-sized raindrops. Therefore, the log10Nw-Dm data for convective rainfall in the region lies within the range of the “continental” and “maritime” clusters;
- (2)
- By separately fitting the average diameter and corresponding mean number concentration of convective and stratiform rainfall, the results reveal that the raindrop spectra of convective rainfall closely match the three-parameter gamma distribution model, while the mid-sized raindrops of stratiform rainfall generally conform to the gamma distribution model. Additionally, the convective R substantially exceeds that of stratiform and whole rainfall, primarily driven by the larger diameter of raindrops in convective rainfall, along with higher liquid water content and concentration. The µ-Λ relationship for convective rainfall from typhoons on the eastern coast of China is represented by Λ = 0.023μ2 + 0.541μ + 1.594. This finding closely resembles typhoon rainfalls in Taiwan and Fujian along the southeastern coastal China but exhibits notable disparities compared to typhoon rainfall in continental China (Jiangsu and Guangdong);
- (3)
- A least-squares fit is conducted on datasets where the number of raindrops in whole samples exceeded 1000, resulting in the Z-R relationship for eastern coastal China during typhoons being Z = 175.04R1.53. This relationship closely aligns with the Z-R relationship observed in Taiwan. Using the Z-R relationship for Fujian tends to underestimate R below 10 mm h−1 and overestimate those above 30 mm h−1. Conversely, the NEXRAD system’s Z-R relationship generally underestimates typhoon rainfall in eastern coastal China, while the Z-R relationships from continental China (Jiangsu and Guangdong) tend to overestimate it.
Author Contributions
Funding
Institutional Review Board Statement
Informed Consent Statement
Data Availability Statement
Conflicts of Interest
References
- Qin, W.; Cai, Y.; He, L. The Relationship between the Typhoons Affecting South China and the Pacific Decadal Oscillation. Atmosphere 2024, 15, 285. [Google Scholar] [CrossRef]
- Wang, Y.; Xia, B.; Chen, Y.; Chen, H.; Xie, J. Revisiting the Characteristics of Super Typhoon Saola (2023) Using GPM, Himawari-9 and FY-4B Satellite Data. Atmosphere 2024, 15, 290. [Google Scholar] [CrossRef]
- Chen, B.; Yang, J.; Pu, J. Statistical Characteristics of Raindrop Size Distribution in the Meiyu Season Observed in Eastern China. J. Meteorol. Soc. Jpn. 2013, 91, 215–227. [Google Scholar] [CrossRef]
- Tokay, A.; Bashor, P.G.; Habib, E.; Kasparis, T. Raindrop size distribution measurements in tropical cyclones. Mon. Weather. Rev. 2008, 136, 1669–1685. [Google Scholar] [CrossRef]
- Ulbrich, C.W.; Atlas, D. Microphysics of Raindrop Size Spectra: Tropical Continental and Maritime Storms. J. Appl. Meteorol. Climatol. 2007, 46, 1777–1791. [Google Scholar] [CrossRef]
- Ren, F.; Wu, G.; Dong, W.; Wang, X.; Wang, Y.; Ai, W.; Li, W. Changes in tropical cyclone precipitation over China. Geophys. Res. Lett. 2006, 33. [Google Scholar] [CrossRef]
- Lau, D.-S.; Chan, W.-S.; Wong, Y.-C.; Lam, C.-C.; Chan, P.-W. Hindcast Insights from Storm Surge Forecasting of Super Typhoon Saola (2309) in Hong Kong with the Sea, Lake and Overland Surges from Hurricanes Model. Atmosphere 2024, 15, 17. [Google Scholar] [CrossRef]
- Zheng, H.P.; Zhang, Y.; Zhang, L.F.; Lei, H.C.; Wu, Z.H. Precipitation microphysical processes in the inner rainband of tropical cyclone Kajiki (2019) over the South China Sea revealed by polarimetric radar. Adv. Atmos. Sci. 2021, 38, 65–80. [Google Scholar] [CrossRef]
- Janapati, J.; Seela, B.K.; Lin, P.; Lee, M. Microphysical features of typhoon and non-typhoon rainfall observed in Taiwan, an island in the northwest Pacific. Hydrol. Earth Syst. Sci. 2021, 25, 4025–4040. [Google Scholar] [CrossRef]
- Seela, B.K.; Janapati, J.; Kalath Unnikrishnan, C.; Lin, P.-L.; Le Loh, J.; Chang, W.-Y.; Kumar, U.; Reddy, K.K.; Lee, D.-I.; Venkatrami Reddy, M. Raindrop Size Distributions of North Indian Ocean Tropical Cyclones Observed at the Coastal and Inland Stations in South India. Remote Sens. 2021, 13, 3178. [Google Scholar] [CrossRef]
- Liu, X.; Xue, L.; Chen, B.; Zhang, Y. Characteristics of raindrop size distributions in Chongqing observed by a dense network of disdrometers. J. Geophys. Res. Atmos. 2021, 126, e2021JD035172. [Google Scholar] [CrossRef]
- Bao, X.; Wu, L.; Tang, B.; Ma, L.; Wu, D.; Tang, J. Variable Raindrop Size Distributions in Different Rainbands Associated with Typhoon Fitow (2013). J. Geophys. Res. Atmos. 2019, 124, 262–281. [Google Scholar] [CrossRef]
- Wen, L.; Zhao, K.; Chen, G.; Wang, M.; Zhou, B.; Huang, H. Drop size distribution characteristics of seven typhoons in China. J. Geophys. Res. Atmos. 2018, 123, 6529–6548. [Google Scholar] [CrossRef]
- Thurai, M.; Gatlin, P.N.; Bringi, V.N. Separating stratiform and convective rain types based on the drop size distribution characteristics using 2D video disdrometer data. Atmos. Res. 2016, 169, 416–423. [Google Scholar] [CrossRef]
- Cheng, P.; Chang, Y.; Liu, Q. A case study of raindrop size distribution and orographic impact characteristics in spring stratiform precipitation over the Qilian mountains. Chin. J. Atmos. Sci. 2021, 45, 1232–1248. (In Chinese) [Google Scholar]
- Zhang, A.; Chen, C.; Wu, L. Regional Variability of Raindrop Size Distribution from a Network of Disdrometers over Complex Terrain in Southern China. Remote Sens. 2023, 15, 2678. [Google Scholar] [CrossRef]
- Abin, T.; Vijay, P.K.; Kaustav, C. Characterization of raindrop size distributions and its response to cloud microphysical properties. Atmos. Res. 2021, 249, 105292. [Google Scholar]
- Tokay, A.; Short, D.A. Evidence from Tropical Raindrop Spectra of the Origin of Rain from Stratiform versus Convective Clouds. J. Appl. Meteorol. 1996, 35, 355–371. [Google Scholar] [CrossRef]
- Zhang, G.; Sun, J.; Brandes, E.A. Improving Parameterization of Rain Microphysics with Disdrometer and Radar Observations. J. Atmos. Sci. 2006, 63, 1273–1290. [Google Scholar] [CrossRef]
- Tang, Q.; Xiao, H.; Guo, C.; Feng, L. Characteristics of the raindrop size distributions and their retrieved polarimetric radar parameters in northern and southern China. Atmos. Res. 2014, 135, 59–75. [Google Scholar] [CrossRef]
- Zhang, A.; Hu, J.; Chen, S.; Hu, D.; Liang, Z. Statistical Characteristics of Raindrop Size Distribution in the Monsoon Season Observed in Southern China. Remote Sens. 2019, 11, 432. [Google Scholar] [CrossRef]
- Li, X.; Chen, S.; Li, Z.; Huang, C.; Hu, J. Statistical Characteristics of Warm Season Raindrop Size Distribution in the Beibu Gulf, South China. Remote Sens. 2022, 14, 4752. [Google Scholar] [CrossRef]
- Chang, W.-Y.; Wang, T.-C.C.; Lin, P.-L. Characteristics of the raindrop size distribution and drop shape relation in typhoon systems in the western Pacific from the 2D video disdrometer and NCU C-band polarimetric radar. J. Atmos. Ocean. Technol. 2009, 26, 1973–1993. [Google Scholar] [CrossRef]
- Bringi, V.N.; Chandrasekar, V.; Hubbert, J.; Gorgucci, E.; Randeu, W.L.; Schoenhuber, M. Raindrop Size Distribution in Different Climatic Regimes from Disdrometer and Dual-Polarized Radar Analysis. J. Atmos. Sci. 2003, 60, 354–365. [Google Scholar] [CrossRef]
- Zhang, G.; Vivekanandan, J.; Brandes, E. A method for estimating rain rate and drop size distribution from polarimetric radar measurements. IEEE Trans. Geosci. Remote Sens. 2001, 39, 830–841. [Google Scholar] [CrossRef]
- Zhang, G.; Vivekanandan, J.; Brandes, E.A.; Meneghini, R.; Kozu, T. The Shape–Slope Relation in Observed Gamma Raindrop Size Distributions: Statistical Error or Useful Information? J. Atmos. Ocean. Technol. 2003, 20, 1106–1119. [Google Scholar] [CrossRef]
- Feng, F.; Hu, S.; Liu, X.; Xiao, H. Precipitation Microphysical Characteristics of Typhoon Mangkhut in Southern China Using 2D Video Disdrometers. Atmosphere 2020, 11, 975. [Google Scholar] [CrossRef]
- Chen, B.; Wang, Y.; Ming, J. Microphysical characteristics of the raindrop size distribution in Typhoon Morakot (2009). J. Trop. Meteorol. 2012, 18, 162–171. [Google Scholar]
- Wang, G.; Zhang, D.; Sun, J. A Multiscale Analysis of a Nocturnal Extreme Rainfall Event of 14 July 2017 in Northeast China. Mon. Weather. Rev. 2021, 149, 173–187. [Google Scholar] [CrossRef]
- Mao, J.; Chen, Y.; Zhang, A.; Chen, S. Comparative Analysis of Rainfall Droplet Spectra of Typhoon Wipha (201907) in Chongzuo and Fangchenggang, China. Chin. J. Atmos. Sci. 2023, 47, 1–12. (In Chinese) [Google Scholar]
- Fu, Z.; Wan, R.; Xiao, Y. Comparison of precipitation measurement by DSG5 and Parsivel present weather instrument. Torrential Rain Disasters 2022, 41, 434–444. (In Chinese) [Google Scholar]
- Löffler-Mang, M.; Joss, J. An Optical Disdrometer for Measuring Size and Velocity of Hydrometeors. J. Atmos. Ocean. Technol. 2000, 17, 130–139. [Google Scholar] [CrossRef]
- Lü, J.; Zhou, Y.; Fu, Z.; Lu, C.; Huang, Q. Variability of Raindrop Size Distribution during a Regional Freezing Rain Event in the Jianghan Plain of Central China. Adv. Atmos. Sci. 2023, 40, 725–742. [Google Scholar] [CrossRef]
- Maki, M.; Keenan, T.D.; Sasaki, Y.; Nakamura, K. Characteristics of the Raindrop Size Distribution in Tropical Continental Squall Lines Observed in Darwin, Australia. J. Appl. Meteorol. 2001, 40, 1393–1412. [Google Scholar] [CrossRef]
- Cao, Q.; Zhang, G.; Brandes, E.; Schuur, T.; Ryzhkov, A.; Ikeda, K. Analysis of Video Disdrometer and Polarimetric Radar Data to Characterize Rain Microphysics in Oklahoma. J. Appl. Meteorol. Climatol. 2008, 47, 2238–2255. [Google Scholar] [CrossRef]
- Battaglia, A.; Rustemeier, E.; Tokay, A.; Blahak, U.; Simmer, C. PARSIVEL Snow Observations: A Critical Assessment. J. Atmos. Ocean. Technol. 2010, 27, 333–344. [Google Scholar] [CrossRef]
- Nešpor, V.; Krajewski, W.F.; Kruger, A. Wind-Induced Error of Raindrop Size Distribution Measurement Using a Two-Dimensional Video Disdrometer. J. Atmos. Ocean. Technol. 2000, 17, 1483–1492. [Google Scholar] [CrossRef]
- Jaffrain, J.; Berne, A. Experimental Quantification of the Sampling Uncertainty Associated with Measurements from PARSIVEL Disdrometers. J. Hydrometeorol. 2010, 12, 352–370. [Google Scholar] [CrossRef]
- Yuter, S.E.; Kingsmill, D.E.; Nance, L.B.; Löffler-Mang, M. Observations of Precipitation Size and Fall Speed Characteristics within Coexisting Rain and Wet Snow. J. Appl. Meteorol. Clim. 2006, 45, 1450–1464. [Google Scholar] [CrossRef]
- Tokay, A.; Bashor, P.G. An experimental study of small-scale variability of raindrop size distribution. J. Appl. Meteorol. Climatol. 2010, 49, 2348–2365. [Google Scholar] [CrossRef]
- Ulbrich, C.W. Natural Variations in the Analytical Form of the Raindrop Size Distribution. J. Clim. Appl. Meteorol. 1983, 22, 1764–1775. [Google Scholar] [CrossRef]
- Brandes, E.A.; Zhang, G.; Vivekanandan, J. Comparison of Polarimetric Radar Drop Size Distribution Retrieval Algorithms. J. Atmos. Ocean. Technol. 2004, 21, 584–598. [Google Scholar] [CrossRef]
- Ulbrich, C.W.; Atlas, D. Rainfall Microphysics and Radar Properties: Analysis Methods for Drop Size Spectra. J. Appl. Meteorol. 1998, 37, 912–923. [Google Scholar] [CrossRef]
- Vivekanandan, J.; Zhang, G.; Brandes, E. Polarimetric Radar Estimators Based on a Constrained Gamma Drop Size Distribution Model. J. Appl. Meteorol. 2004, 43, 217–230. [Google Scholar] [CrossRef]
- Huang, X.; Yin, J.; Ma, L.; Huang, Z. Comprehensive Statistical Analysis of Rain Drop Size Distribution Parameters and Their Application to Weather Radar Measurement in Nanjing. Chin. J. Atmos. Sci. 2019, 43, 691–704. (In Chinese) [Google Scholar]
- Loh, J.L.; Lee, D.; You, C.-H. Inter-comparison of DSDs between Jincheon and Miryang at South Korea. Atmos. Res. 2019, 227, 52–65. [Google Scholar] [CrossRef]
- Hu, Z.; Srivastava, R. Evolution of raindrop size distribution by coalescence, breakup, and evaporation: Theory and observations. J. Atmos. Sci. 1995, 52, 1761–1783. [Google Scholar] [CrossRef]
- Bringi, V.; Chandrasekar, V. Polarimetric Doppler Weather Radar: Principles and Applications; Cambridge University Press: Cambridge, UK, 2001. [Google Scholar]
- Chen, Y.; Duan, J.; An, J.; Liu, H. Raindrop Size Distribution Characteristics for Tropical Cyclones and Meiyu-Baiu Fronts Impacting Tokyo, Japan. Atmosphere 2019, 10, 391. [Google Scholar] [CrossRef]
- Seela, B.K.; Janapati, J.; Lin, P.-L.; Lan, C.-H.; Shirooka, R.; Hashiguchi, H.; Reddy, K.K. Raindrop Size Distribution Characteristics of the Western Pacific Tropical Cyclones Measured in the Palau Islands. Remote Sens. 2022, 14, 470. [Google Scholar] [CrossRef]
- Kumar, L.S.; Lee, Y.H.; Ong, J.T. Two-Parameter Gamma Drop Size Distribution Models for Singapore. IEEE Trans. Geosci. Remote Sens. 2011, 49, 3371–3380. [Google Scholar] [CrossRef]
- Testud, J.; Oury, S.; Amayenc, P.; Black, R.A. The concept of “normalized” distributions to describe raindrop spectra: A tool for cloud physics and cloud remote sensing. J. Appl. Meteor. 2001, 40, 1118–1140. [Google Scholar] [CrossRef]
- Brawn, D.; Upton, G.J. Estimation of an atmospheric gamma drop size distribution using disdrometer data. Atmos. Res. 2008, 87, 66–79. [Google Scholar] [CrossRef]
- Huang, C.; Chen, S.; Zhang, A.; Pang, Y. Statistical Characteristics of Raindrop Size Distribution in Monsoon Season over South China Sea. Remote Sens. 2021, 13, 2878. [Google Scholar] [CrossRef]
- Fulton, R.A.; Breidenbach, J.P.; Seo, D.-J.; Miller, D.A.; O’Bannon, T. The WSR-88D Rainfall Algorithm. Weather Forecast. 1998, 13, 377–395. [Google Scholar] [CrossRef]
- Steiner, M.; Smith, J.A.; Uijlenhoet, R. A microphysical interpretation of radar reflectivity-rain rate relationships. J. Atmos. Sci. 2004, 61, 1114–1131. [Google Scholar] [CrossRef]
- Wen, L.; Zhao, K.; Zhang, G.; Liu, S.; Chen, G. Impacts of instrument limitations on estimated raindrop size distribution, radar parameters, and model microphysics during Mei-Yu season in East China. J. Atmos. Ocean. Technol. 2017, 34, 1021–1037. [Google Scholar] [CrossRef]








| Rain Types | NT | R | Dm | W | log10Nw |
|---|---|---|---|---|---|
| Convective | 566 | 19.72 | 1.99 | 0.85 | 3.58 |
| Stratiform | 165 | 1.46 | 1.33 | 0.08 | 3.33 |
| Whole | 234 | 4.04 | 1.43 | 0.19 | 3.42 |
| Studies | Region | a | b |
|---|---|---|---|
| Fulton et al. [55] | NEXRAD | 300 | 1.4 |
| Chang et al. [23] | Taiwan, Southeastern China | 206.83 | 1.45 |
| Chen et al. [28] | Fujian, Southeastern China | 308 | 1.32 |
| Wen et al. [13] | Continental China (Jiangsu and Guangdong) | 147.28 | 1.38 |
| This study | eastern coast of China | 175.04 | 1.53 |
Disclaimer/Publisher’s Note: The statements, opinions and data contained in all publications are solely those of the individual author(s) and contributor(s) and not of MDPI and/or the editor(s). MDPI and/or the editor(s) disclaim responsibility for any injury to people or property resulting from any ideas, methods, instructions or products referred to in the content. |
© 2024 by the authors. Licensee MDPI, Basel, Switzerland. This article is an open access article distributed under the terms and conditions of the Creative Commons Attribution (CC BY) license (https://creativecommons.org/licenses/by/4.0/).
Share and Cite
Wang, D.; Chen, S.; Kong, Y.; Gu, X.; Li, X.; Nan, X.; Yue, S.; Shen, H. Raindrop Size Distribution Characteristics for Typhoons over the Coast in Eastern China. Atmosphere 2024, 15, 951. https://doi.org/10.3390/atmos15080951
Wang D, Chen S, Kong Y, Gu X, Li X, Nan X, Yue S, Shen H. Raindrop Size Distribution Characteristics for Typhoons over the Coast in Eastern China. Atmosphere. 2024; 15(8):951. https://doi.org/10.3390/atmos15080951
Chicago/Turabian StyleWang, Dongdong, Sheng Chen, Yang Kong, Xiaoli Gu, Xiaoyu Li, Xuejing Nan, Sujia Yue, and Huayu Shen. 2024. "Raindrop Size Distribution Characteristics for Typhoons over the Coast in Eastern China" Atmosphere 15, no. 8: 951. https://doi.org/10.3390/atmos15080951
APA StyleWang, D., Chen, S., Kong, Y., Gu, X., Li, X., Nan, X., Yue, S., & Shen, H. (2024). Raindrop Size Distribution Characteristics for Typhoons over the Coast in Eastern China. Atmosphere, 15(8), 951. https://doi.org/10.3390/atmos15080951

