Evolution of Soil Pore Structure and Shear Strength Deterioration of Compacted Soil under Controlled Wetting and Drying Cycles
Abstract
1. Introduction
2. Materials and Methods
2.1. Materials
2.2. Samples Preparation
2.3. Application of Wetting and Drying Cycles
2.4. Measurements of Volumetric Change
2.5. X-ray Computed Tomography Imaging and Analysis
2.6. Triaxial Tests
2.7. Statistical Analysis
3. Results
3.1. Volumetric Behaviour of Soil
3.2. Evolution of Soil’s Pore Structure
3.3. Undrained Shear Strength of Soil
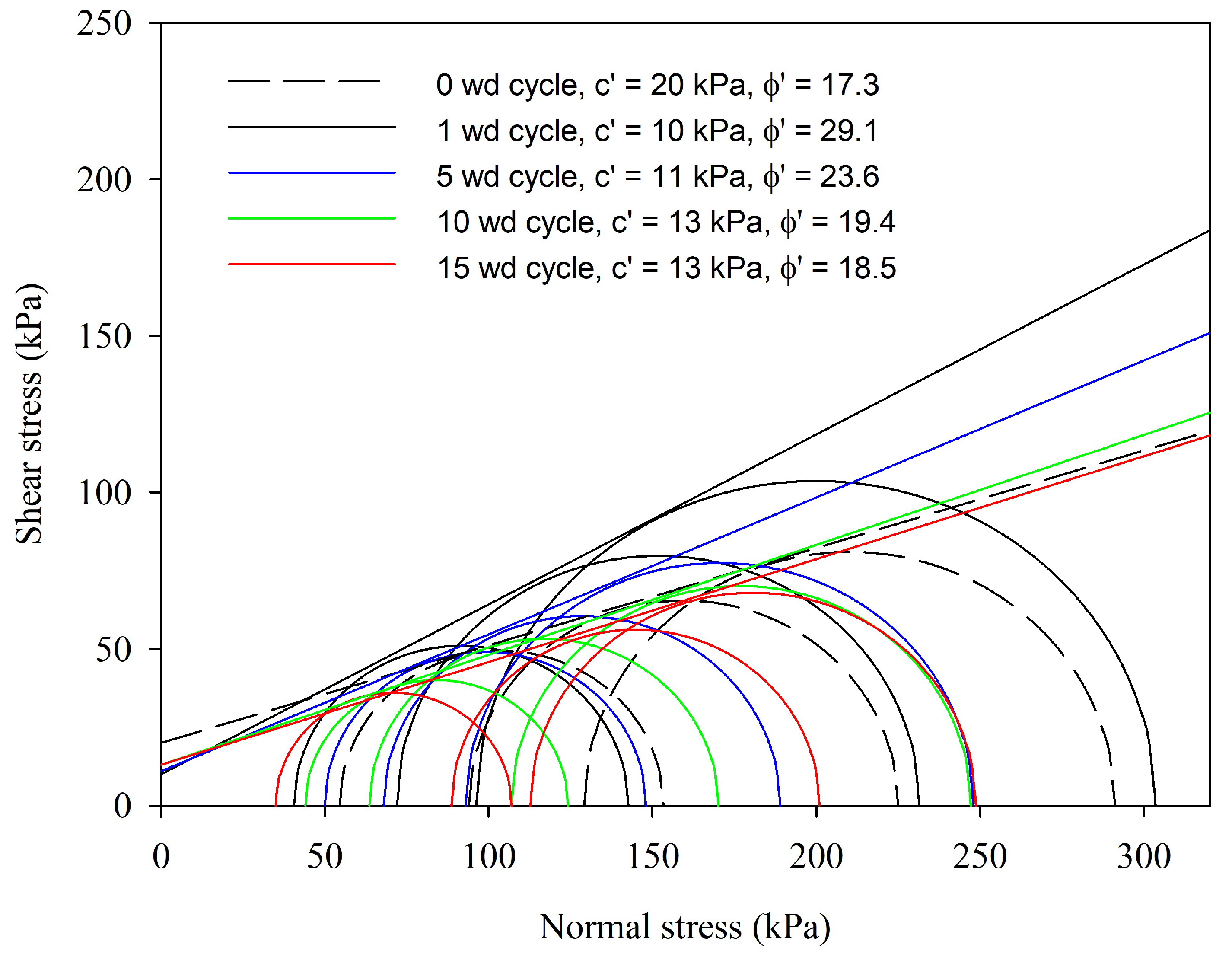
3.4. Effective Shear Strength of Soil
3.5. Correlation Analysis
4. Discussion
5. Conclusions
- The soil samples exhibited notable shrinkage and swelling when subjected to wetting and drying cycles. Volumetric strain ranged from +12% at saturation to −6% at a matric potential of −1500 kPa.
- Shrinkage and swelling induced irreversible changes in the soil pore structure, leading to higher macroporosity, larger pore diameter, increased pore volume clusters, and longer pore length in soil samples with more wetting and drying cycles.
- The soil’s average undrained shear strength decreased the most, by 34%, after the first five wetting and drying cycles at cell pressures of 25, 50, and 75 kN/m2. This reduction was followed by an 11% decrease as the cycles increased from 5 to 10. A further 8% reduction was observed for the wetting and drying cycles from 10 to 15.
- The effective angle of internal friction of the soil decreased the most, by 19%, after the first five wetting and drying cycles. A further 14% reduction was observed as the cycles increased from 5 to 10. However, during 10 to 15 wetting and drying cycles, only a nominal reduction of 3% in the effective angle of internal friction of soil was observed.
- Correlation analysis revealed significant negative correlations between the number of wetting–drying cycles, CT-derived macroporosity, pore diameter, and pore length with undrained shear strength, undrained elastic modulus, and the effective angle of internal friction of the soil.
Author Contributions
Funding
Institutional Review Board Statement
Informed Consent Statement
Data Availability Statement
Acknowledgments
Conflicts of Interest
References
- Kandalai, S.; John, N.J.; Patel, A. Effects of climate change on geotechnical infrastructures—State of the art. Environ. Sci. Pollut. Res. 2023, 30, 16878–16904. [Google Scholar] [CrossRef] [PubMed]
- Tzanis, C.; Varotsos, C.; Ferm, M.; Christodoulakis, J.; Assimakopoulos, M.N.; Efthymiou, C. Nitric acid and particulate matter measurements at Athens, Greece, in connection with corrosion studies. Atmos. Chem. Phys. 2009, 9, 8309–8316. [Google Scholar] [CrossRef]
- IPCC. Climate Change 2022: Impacts, Adaptation, and Vulnerability. In Contribution of Working Group II to the Sixth Assessment Report of the Intergovernmental Panel on Climate Change; Pörtner, H.-O., Roberts, D.C., Tignor, M., Poloczanska, E.S., Mintenbeck, K., Alegría, A., Craig, M., Langsdorf, S., Löschke, S., Möller, V., et al., Eds.; Cambridge University Press: Cambridge, UK, 2022. [Google Scholar]
- Nowamooz, H.; Masrouri, F. Influence of suction cycles on the soil fabric of compacted swelling soil. Comptes Rendus Geosci. 2010, 342, 901–910. [Google Scholar] [CrossRef]
- Zha, F.S.; Liu, J.-J.; Xu, L.; Cui, K.-r. Effect of cyclic drying and wetting on engineering properties of heavy metal contaminated soils solidified/stabilized with fly ash. J. Cent. South Univ. 2013, 20, 1947–1952. [Google Scholar] [CrossRef]
- Moayed, R.Z.; Lahiji, B.P. Effect of wetting-drying cycles on CBR values of silty subgrade soil of Karaj railway. In Proceedings of the 18th International Conference on Soil Mechanics and Geotechnical Engineering 2013, Paris, France, 2–5 September 2013. [Google Scholar]
- Hu, C.; Yuan, Y.; Mei, Y.; Wang, X.-Y.; Liu, Z. Comprehensive strength deterioration model of compacted loess exposed to drying-wetting cycles. Bull. Eng. Geol. Environ. 2019, 79, 383–398. [Google Scholar] [CrossRef]
- Gowthaman, S.; Nakashima, K.; Kawasaki, S. Effect of wetting and drying cycles on the durability of bio-cemented soil of expressway slope. Int. J. Environ. Sci. Technol. 2022, 19, 2309–2322. [Google Scholar] [CrossRef]
- Rasul, J.M.; Ghataora, G.S.; Burrow, M.P.N. The effect of wetting and drying on the performance of stabilized subgrade soils. Transp. Geotech. 2018, 14, 1–7. [Google Scholar] [CrossRef]
- Stirling, R.A.; Toll, D.G.; Glendining, S.; Helm, P.R.; Yildiz, A.; Hughes, P.N.; Asquith, J.D. Weather-driven deterioration processes affecting the performance of embankment slopes. Géotechnique 2021, 71, 57–969. [Google Scholar] [CrossRef]
- Khan, M.A.; Hossain, M.S.; Khan, M.S.; Samir, S.; Aramoon, A. Impact of wet-dry cycles on the shear strength of high plastic clay based on direct shear testing. Geotech. Front. 2017, GSP 280. [Google Scholar]
- Xu, X.; Shao, L.; Huang, J.; Xiang, X.; Liu, D.; Xian, Z.; Jian, W. Effect of wet-dry cycles on shear strength of residual soil. Soil Found. 2021, 61, 782–797. [Google Scholar] [CrossRef]
- Zhao, G.; Han, G.; Zou, W.; Wang, X. Evolution of mechanical behaviours of an expansive soil during drying-wetting, freeze–thaw, and drying-wetting-freeze–thaw cycles. Bull. Eng. Geol. Environ. 2021, 80, 8109–8121. [Google Scholar] [CrossRef]
- Niu, Z.L.; Xu, J.; Li, Y.F.; Wang, Z.F.; Wang, B. Strength deterioration mechanism of bentonite modified loess after wetting–drying cycles. Sci. Rep. 2022, 12, 3130. [Google Scholar] [CrossRef] [PubMed]
- Tu, Y.; Zhang, R.; Zhong, Z.; Chai, H. The strength behavior and desiccation crack development of silty clay subjected to wetting-drying cycles. Front. Earth Sci. 2022, 10, 852820. [Google Scholar] [CrossRef]
- Petrovic, A.M.; Siebert, J.E.; Rieke, P.E. Soil bulk density analysis in three dimensions by computed tomographic scanning. Soil Sci. Soc. Am. J. 1982, 46, 445–450. [Google Scholar] [CrossRef]
- Luo, L.; Lin, H.; Li, S. Quantification of 3-D soil macropore networks in different soil types and land uses using computed tomography. J. Hydrol. 2010, 393, 53–64. [Google Scholar] [CrossRef]
- Naveed, M.; Moldrup, P.; Schaap, M.G.; Tuller, M.; Kulkarni, R.; Vogel, H.-J.; de Jonge, L.W. Prediction of biopore- and matrix-dominated flow from X-ray CT-derived macropore network characteristics. Hydrol. Earth Sys. Sci. 2016, 20, 4017–4030. [Google Scholar] [CrossRef]
- Muddle, D.M.; Briggs, K.M. Macropore structure and permeability of clay fill samples from a historic clay fill earthwork. Transp. Geotech. 2019, 19, 96–109. [Google Scholar] [CrossRef]
- Diel, J.; Vogel, H.-J.; Schlüter, S. Impact of wetting and drying cycles on soil structure dynamics. Geoderma 2019, 345, 63–71. [Google Scholar] [CrossRef]
- Pires, L.F.; Auler, A.C.; Roque, W.L.; Mooney, S.J. X-ray microtomography analysis of soil pore structure dynamics under wetting and drying cycles. Geoderma 2020, 362, 114103. [Google Scholar] [CrossRef] [PubMed]
- Ma, R.; Cai, C.; Li, Z.; Wang, J.; Xiao, T.; Peng, G.; Yang, W. Evaluation of soil aggregate microstructure and stability under wetting and drying cycles in two Ultisols using synchrotron-based X-ray micro-computed tomography. Soil Till. Res. 2015, 149, 1–11. [Google Scholar] [CrossRef]
- Helliwell, J.R.; Sturrock, C.J.; Mairhofer, S.; Craigon, J.; Ashton, R.W.; Miller, A.J.; Whalley, R.; Mooney, S.J. The emergent rhizosphere: Imaging the development of the porous architecture at the root-soil interface. Sci. Rep. 2017, 7, 14875. [Google Scholar] [CrossRef] [PubMed]
- BS 1377-1: 2016; Methods of Test for Soils for Civil Engineering Purposes—Part 1: General Requirements and Sample Preparation. The British Standards Institution: London, UK, 2016.
- BS 1377-2: 2022; Methods of Test for Soils for Civil Engineering Purposes—Part 2: Classification Tests and Determination of Geotechnical Properties. The British Standards Institution: London, UK, 2016.
- BS 1377-3: 2022; Methods of Test for Soils for Civil Engineering Purposes—Part 3: Chemical and Electro-Chemical Tests. The British Standards Institution: London, UK, 2016.
- Peck, R.B.; Hanson, W.E. Thoronburn and T. Foundation Engineering, 2nd ed.; John Welly and Sons, Inc.: New York, NY, USA, 1974; pp. 372–384. [Google Scholar]
- BS 1377-4: 1990; Methods of Test for Soils for Civil Engineering Purposes—Compaction Related Tests. The British Standards Institution: London, UK, 2016.
- Rasband, W. ImageJ 1.54h 2023; U.S. National Institutes of Health: Bethesda, MD, USA, 2023.
- Sauvola, J.; Pietikenien, M. Adaptive document image binarization. Pattern Recognit. 2000, 33, 225–236. [Google Scholar] [CrossRef]
- Domander, R.; Felder, A.A.; Doube, M. BoneJ2—Refactoring established research software. Wellcome Open Res. 2016, 6, 37. [Google Scholar] [CrossRef]
- Renard, P.; Allard, D. Connectivity metrics for subsurface flow and transport. Adv. Water Resour. 2013, 51, 168–196. [Google Scholar] [CrossRef]
- Tang, C.-S.; Cheng, Q.; Gong, X.; Shi, B.; Inyang, H.I. Investigation on microstructure evolution of clayey soils: A review focusing on wetting/drying process. J. Rock Mech. Geotech. Eng. 2023, 15, 269–284. [Google Scholar] [CrossRef]
- Ye, W.M.; Wan, M.; Chen, B.; Cui, Y.; Wang, J. Micro-structural behaviors of densely compacted GMZ01 bentonite under drying/wetting cycles. Chin. J. Geotech. Eng. 2011, 33, 1173–1177. [Google Scholar]
- Cui, Y.J.; Yahia-Aissa, M.; Delage, P. A model for the volume change behavior of heavily compacted swelling clays. Eng. Geol. 2002, 64, 233–250. [Google Scholar] [CrossRef]
- Liu, Y. Investigation on the swelling properties and microstructure mechanism of compacted Gaomiaozi bentonite. J. Eng. Geol. 2016, 24, 451–458. [Google Scholar]
- Cuisinier, O.; Auriol, J.C.; Le Borgne, T.; Deneele, D. Microstructure and hydraulic conductivity of a compacted lime-treated soil. Eng. Geol. 2011, 123, 187–193. [Google Scholar] [CrossRef]
- Zhou, R.; Wang, B.; Han, S.; Wang, D.; Zhang, F. Mechanisms of crack development and strength deterioration in compacted expansive soils under controlled wetting-drying conditions. Eng. Fail. Anal. 2024, 159, 108133. [Google Scholar] [CrossRef]
- Huang, Z.; Zhang, H.; Liu, B.; Wei, B.; Wang, H. Using CT to test the damage characteristics of the internal structure of expansive soil induced by dry-wet cycles. AIP Adv. 2021, 11, 075305. [Google Scholar] [CrossRef]
- Lin, B.; Cerato, A.B. Applications of SEM and ESEM in the microstructural investigation of shale-weathered expansive soils along swelling-shrinkage cycles. Eng. Geol. 2014, 177, 66–74. [Google Scholar] [CrossRef]
- Zhu, R.; Cai, Z.; Huang, Y.; Zhang, C.; Guo, W.; Wang, Y. Effects of wetting-drying-freezing-thawing cycles on mechanical behaviours of expansive soil. Cold Reg. Sci. Technol. 2022, 193, 103422. [Google Scholar] [CrossRef]
- Wen, T.; Shao, L.; Guo, X.; Zhao, Y. Experimental investigations of the soil water retention curve under multiple drying–wetting cycles. Acta Geotech. 2020, 15, 3321–3326. [Google Scholar] [CrossRef]
- Shi, L.L.W.; Liang, J.; Yuan, Y.; Hao, Q. Soil macropore characteristics and aggregate stability with poly-γ-glutamic acid amendment under wetting–drying cycles. Eur. J. Soil Sci. 2023, 74, e13361. [Google Scholar] [CrossRef]
- Hafhouf, I.; Khelifa, A. Impact of drying-wetting cycles on shear properties, suction, and collapse of Sebkha soils. Heliyon 2023, 9, e13594. [Google Scholar] [CrossRef] [PubMed]
- Jayatilaka, R.; Lytton, R.; Wray, W.K. Effectiveness of controlling pavement roughness due to expansive clays with vertical moisture barriers. Tex. Dep. Transp. 1992, 1, 136963161. [Google Scholar]
- Puppala, A.J.; Thammanoon, M.; Soheil, N.; Hoyos, L.R. Threshold moisture content and matric suction potentials in expansive clays prior to initiation of cracking in pavements. Can. Geotech. J. 2011, 48, 519–531. [Google Scholar] [CrossRef]
- Jury, W.A.; Horton, R. Soil Physics; Willey: Hoboken, NJ, USA, 2004. [Google Scholar]
- Ng, C.W.W.; Zhou, C.; Chiu, C.F. Constitutive modelling of state-dependent behaviour of unsaturated soils: An overview. Acta Geotech. 2020, 15, 2705–2725. [Google Scholar] [CrossRef]
- Chiu, C.F.; Ng, C.W.W. Coupled water retention and shrinkage properties of a compacted silt under isotropic and deviatoric stress paths. Can. Geotech. J. 2012, 49, 928–938. [Google Scholar] [CrossRef]













| Wet–Dry Cycles (No.) | CT Porosity (%) | CT Macroporosity (%) | Pore Length (m) | Pore Connectivity (-) | Pore Shape Index (-) | Degree of Anisotropy (-) |
|---|---|---|---|---|---|---|
| 0 | 3.68 ± 0.08 a | 1.01 ± 0.07 a | 24.26 ± 2.1 a | 0.166 ± 0.027 a | 0.097 ± 0.001 a | 0.051 ± 0.007 a |
| 1 | 3.98 ± 0.02 ab | 1.25 ± 0.06 ab | 25.08 ± 0.3 a | 0.242 ± 0.025 b | 0.098 ± 0.002 a | 0.054 ± 0.004 a |
| 5 | 3.94 ± 0.07 bc | 1.38 ± 0.14 bcd | 37.53 ± 0.9 b | 0.198 ± 0.044 ab | 0.094 ± 0.001 b | 0.049 ± 0.012 a |
| 10 | 4.05 ± 0.18 bc | 2.03 ± 0.16 bcd | 43.66 ± 1.0 c | 0.373 ± 0.013 d | 0.093 ± 0.000 b | 0.047 ± 0.005 a |
| 15 | 4.41 ± 0.32 d | 2.55 ± 0.29 d | 55.15 ± 7.5 d | 0.297 ± 0.025 bc | 0.089 ± 0.000 bc | 0.036 ± 0.002 a |
| CT-Derived Parameters | Undrained Shear Strength Su (kPa) | Undrained Elastic Modulus Eu (MPa) | Undrained Failure Strain εf (%) | Effective Cohesion c′ (kPa) | Effective Angle of Internal Friction φ′ (Degree) |
|---|---|---|---|---|---|
| wd cycles (N) | −0.77 * | −0.91 * | 0.75 * | 0.12 | −0.81 * |
| CT porosity (%) | −0.29 | −0.27 | 0.11 | 0.01 | −0.43 |
| CT macroporosity (%) | −0.83 * | −0.9 * | 0.56 | 0.13 | −0.79 * |
| Pore connectivity (-) | 0.44 | 0.33 | 0.16 | −0.10 | 0.15 |
| Pore shape index (-) | 0.75 * | 0.77 * | −0.49 | −0.12 | 0.72 * |
| Pore diameter (m) | −0.72 * | −0.73 * | −0.3 | −0.18 | −0.75 * |
| Degree of anisotropy (-) | 0.21 | 0.22 | −0.11 | 0.24 | 0.02 |
| Pore length (m) | −0.65 * | −0.72 * | 0.66 * | 0.26 | −0.86 * |
Disclaimer/Publisher’s Note: The statements, opinions and data contained in all publications are solely those of the individual author(s) and contributor(s) and not of MDPI and/or the editor(s). MDPI and/or the editor(s) disclaim responsibility for any injury to people or property resulting from any ideas, methods, instructions or products referred to in the content. |
© 2024 by the authors. Licensee MDPI, Basel, Switzerland. This article is an open access article distributed under the terms and conditions of the Creative Commons Attribution (CC BY) license (https://creativecommons.org/licenses/by/4.0/).
Share and Cite
Turrakheil, K.S.; Shah, S.S.A.; Naveed, M. Evolution of Soil Pore Structure and Shear Strength Deterioration of Compacted Soil under Controlled Wetting and Drying Cycles. Atmosphere 2024, 15, 843. https://doi.org/10.3390/atmos15070843
Turrakheil KS, Shah SSA, Naveed M. Evolution of Soil Pore Structure and Shear Strength Deterioration of Compacted Soil under Controlled Wetting and Drying Cycles. Atmosphere. 2024; 15(7):843. https://doi.org/10.3390/atmos15070843
Chicago/Turabian StyleTurrakheil, Kanishka S., Syed Samran Ali Shah, and Muhammad Naveed. 2024. "Evolution of Soil Pore Structure and Shear Strength Deterioration of Compacted Soil under Controlled Wetting and Drying Cycles" Atmosphere 15, no. 7: 843. https://doi.org/10.3390/atmos15070843
APA StyleTurrakheil, K. S., Shah, S. S. A., & Naveed, M. (2024). Evolution of Soil Pore Structure and Shear Strength Deterioration of Compacted Soil under Controlled Wetting and Drying Cycles. Atmosphere, 15(7), 843. https://doi.org/10.3390/atmos15070843

